Ba2Gd2 – xSmxGe4O13: люминесцентные свойства, перспективы использования для бесконтактной термометрии и светоизлучающих диодов
- Авторы: Чванова А.В.1, Липина О.А.1, Чуфаров А.Ю.1, Тютюнник А.П.1, Бакланова Я.В.1, Сурат Л.Л.1, Зубков В.Г.1
-
Учреждения:
- Институт химии твердого тела УрО РАН
- Выпуск: Том 68, № 3 (2023)
- Страницы: 383-392
- Раздел: НЕОРГАНИЧЕСКИЕ МАТЕРИАЛЫ И НАНОМАТЕРИАЛЫ
- URL: https://journal-vniispk.ru/0044-457X/article/view/136343
- DOI: https://doi.org/10.31857/S0044457X22601353
- EDN: https://elibrary.ru/JCHJRU
- ID: 136343
Цитировать
Полный текст
Аннотация
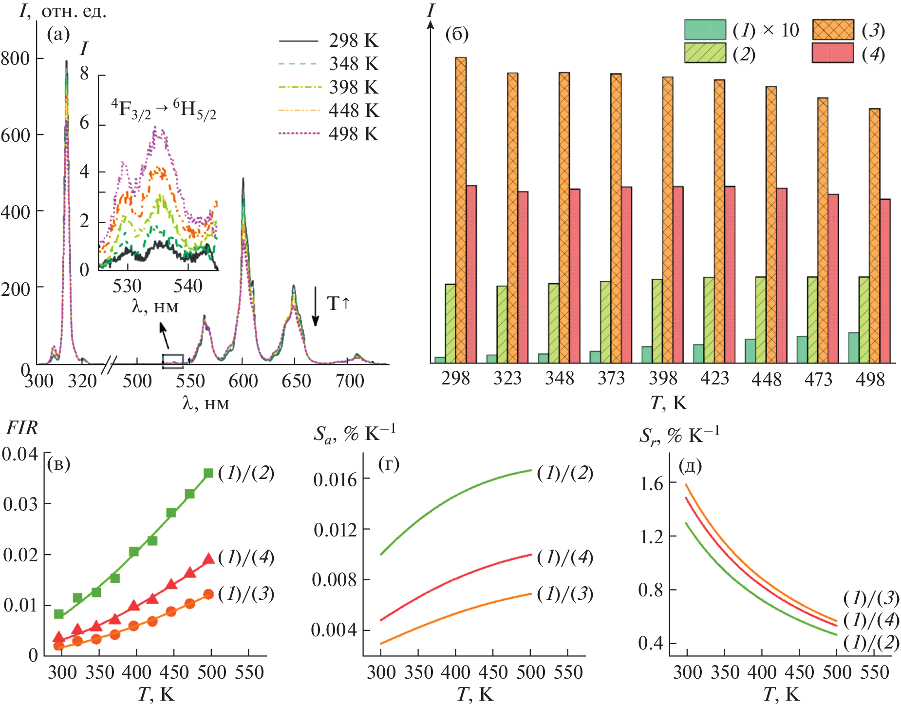
Тетрагерманаты Ba2Gd2 – xSmxGe4O13 (x = 0.025–0.8) получены твердофазным методом. Твердые растворы кристаллизуются в моноклинной сингонии (пр. гр. С2/с, Z = 4) и являются представителями немногочисленного класса неорганических соединений, содержащих в своей структуре анионы [Ge4O13]10–. Изучены фотолюминесцентные свойства германатов при возбуждении излучением с λex = 275 нм. Спектры соединений содержат широкую полосу с максимумом при 313 нм и набор линий в области 525–730 нм, соответствующие внутриконфигурационным 4f–4f-переходам в ионах Gd3+ и Sm3+. Обнаружено, что максимальной интенсивностью свечения обладает германат Ba2Gd1.95Sm0.05Ge4O13. Для данного образца изучены цветовые характеристики и исследованы температурные зависимости отношений интенсивностей основных люминесцентных полос при нагреве до 498 K. На основании полученных данных сделан вывод о возможности применения Ba2Gd1.95Sm0.05Ge4O13 в качестве материала для бесконтактной термометрии и светоизлучающих диодов.
Ключевые слова
Об авторах
А. В. Чванова
Институт химии твердого тела УрО РАН
Email: chvanova10_99@mail.ru
Россия, 620990, Екатеринбург, ул. Первомайская, 91
О. А. Липина
Институт химии твердого тела УрО РАН
Email: chvanova10_99@mail.ru
Россия, 620990, Екатеринбург, ул. Первомайская, 91
А. Ю. Чуфаров
Институт химии твердого тела УрО РАН
Email: chvanova10_99@mail.ru
Россия, 620990, Екатеринбург, ул. Первомайская, 91
А. П. Тютюнник
Институт химии твердого тела УрО РАН
Email: chvanova10_99@mail.ru
Россия, 620990, Екатеринбург, ул. Первомайская, 91
Я. В. Бакланова
Институт химии твердого тела УрО РАН
Email: chvanova10_99@mail.ru
Россия, 620990, Екатеринбург, ул. Первомайская, 91
Л. Л. Сурат
Институт химии твердого тела УрО РАН
Email: chvanova10_99@mail.ru
Россия, 620990, Екатеринбург, ул. Первомайская, 91
В. Г. Зубков
Институт химии твердого тела УрО РАН
Автор, ответственный за переписку.
Email: chvanova10_99@mail.ru
Россия, 620990, Екатеринбург, ул. Первомайская, 91
Список литературы
- Brites C.D.S., Millán A., Carlos L.D. // Handb. Phys. Chem. Rare Earths. 2016. V. 49. P. 339. https://doi.org/10.1016/bs.hpcre.2016.03.005
- Brites C.D.S., Lima P.P., Silva et al. // Nanoscale. 2012. V. 4. P. 4799. https://doi.org/10.1039/C2NR30663H
- Rai V.K., Rai S.B. // Appl. Phys. B. 2007. V. 87. P. 323. https://doi.org/10.1007/s00340-007-2592-z
- Dramićanin M. Chapter 6 – Lanthanide and Transition Metal Ion Doped Materials for Luminescence Temperature Sensing in Luminescence Thermometry: Methods, Materials, and Applications, Woodhead Publishing Series in Electronic and Optical Materials. 2018. P. 113–157.
- Zhu K., Zhou H., Qiu J. et al. // J. Alloys Compd. 2021. V. 890. P. 161844. https://doi.org/10.1016/j.jallcom.2021.161844
- Nikolić M.G., Jovanović D.J., Đorđević V. et al. // Phys. Scr. 2012. P. 014063. https://doi.org/10.1088/0031-8949/2012/T149/014063
- Suta M., Mejerink A. // Adv. Theory Simul. 2020. V. 3. P. 2000176. https://doi.org/10.1002/adts.202000176
- Li J., Yan J., Wen D. et al. // J. Mater. Chem. C. 2016. V. 4. P. 8611. https://doi.org/10.1039/C6TC02695H
- Ma Y., Tang S., Ji C. et al. // J. Lumin. 2022. V. 242. P. 118530. https://doi.org/10.1016/j.jlumin.2021.118530
- Ji C., Huang Z., Tian X. et al. // J. Alloys Compd. 2020. V. 825. P. 154176. https://doi.org/10.1016/j.jallcom.2020.154176
- Ji C., Huang Z., Tian X. et al. // J. Lumin. 2021. V. 232. P. 117775. https://doi.org/10.1016/j.jlumin.2020.117775
- Singh V., Lakshminarayana G., Singh N. // Optik. 2020. V. 211. P. 164272. https://doi.org/10.1016/j.ijleo.2020.164272
- Liu H., Guo S., Hao Y. et al. // J. Lumin. 2012. V. 132. № 11. P. 2908. https://doi.org/10.1016/j.jlumin.2012.06.006
- Mei L., Liu H., Liao L. et al. // Scientif. Rep. 2017. V. 7. P. 15171. https://doi.org/10.1038/s41598-017-15595-z
- Helode S.J., Kadam A.R., Dhoble S.J. // Chem. Data Collect. 2020. V. 40. P. 100881. https://doi.org/10.1016/j.cdc.2022.100881
- Денисова Л.Т., Молокеев М.С., Каргин Ю.Ф. и др. // Журн. неорган. химии. 2021. Т. 66. № 12. С. 1700. https://doi.org/10.1134/S0036023621120020
- Горбунов Ю.А., Максимов Б.А., Белов Н.В. // Докл. АН СССР. 1973. Т. 211. С. 591.
- Masuda T., Chakoumakos B.C., Nygren C.L. et al. // J. Solid State Chem. 2003. V. 176. P. 175. https://doi.org/10.1016/S0022-4596(03)00387-6
- Redhammer G.J., Roth G. // J. Solid State Chem. 2004. V. 177. P. 2714. https://doi.org/10.1016/j.jssc.2004.04.016
- Sanjeewa L.D., McGuire M.A., McMillen C.D. et al. // Chem. Mater. 2017. V. 29. P. 1404. https://doi.org/10.1021/acs.chemmater.6b05320
- Ananias D., Paz F.A.A., Carlos L.D. et al. // Eur. J. Inorg. Chem. 2018. V. 2018. № 20. P. 2444. https://doi.org/10.1002/ejic.201800153
- Tyutyunnik A.P., Chufarov A.Yu., Surat L.L. et al. // Mendeleev Commun. 2018. V. 28. P. 661. https://doi.org/10.1016/j.mencom.2018.11.035
- Lipina O.A., Surat L.L., Chufarov A.Y. et al. // Dalton Trans. 2021. V. 50. P. 10935. https://doi.org/10.1039/d1dt01780b
- Toby B.H. // J. Appl. Crystallogr. B. 2001. V. 34. P. 210. https://doi.org/10.1107/S0021889801002242
- Larson A.C., Von Dreele R.B. General Structure Analysis System (GSAS), Los Alamos National Laboratory Report LAUR 86-748, Los Alamos, NM, 2004.
- Shannon R.D. // Acta Crystallogr., Sect. A. 1976. V. 32. P. 751. https://doi.org/10.1107/S0567739476001551
- Ullah I., Shah S.K., Rooh G. et al. // Opt. Mater. 2021. V. 111. P. 110657. https://doi.org/10.1016/j.optmat.2020.110657
- Baklanova Y.V., Maksimova L.G., Lipina O.A. et al. // J. Lumin. 2020. V. 224. P. 117315. https://doi.org/10.1016/j.jlumin.2020.117315
- Wantana N., Kaewjaeng S., Kothan S. et al. // J. Lumin. 2017. V. 181. P. 382. https://doi.org/10.1016/j.jlumin.2016.09.050
- He J., Zhang S., Zhou J. et al. // Opt. Mater. 2015. V. 39. P. 81. https://doi.org/10.1016/j.optmat.2014.11.002
- Li Y., Dvořák M., Nesterenko P.N. et al. // Sens. Actuators B. 2018. V. 255. P. 1238. https://doi.org/10.1016/j.snb.2017.08.085
- Kelly K.L. // J. Opt. Soc. Am. 1943. V. 33. P. 627. https://doi.org/10.1364/JOSA.33.000627
Дополнительные файлы











