Синтез и электрические свойства композитов Nd2(WO4)3–SiO2
- Авторы: Гусева А.Ф.1, Пестерева Н.Н.1
-
Учреждения:
- Уральский федеральный университет им. первого Президента России Б.Н. Ельцина
- Выпуск: Том 68, № 3 (2023)
- Страницы: 426-432
- Раздел: НЕОРГАНИЧЕСКИЕ МАТЕРИАЛЫ И НАНОМАТЕРИАЛЫ
- URL: https://journal-vniispk.ru/0044-457X/article/view/136348
- DOI: https://doi.org/10.31857/S0044457X2260164X
- EDN: https://elibrary.ru/JDTXFT
- ID: 136348
Цитировать
Полный текст
Аннотация
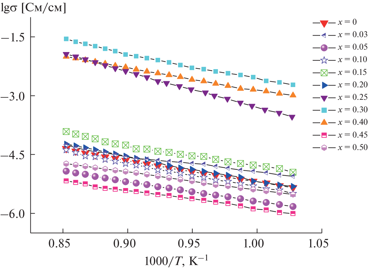
Твердофазным методом получены композиты (1 – x)Nd2(WO4)3–xSiO2 с мольной долей оксида кремния x ≤ 0.5. Фазовый состав композитов и их термодинамическая стабильность подтверждены соответственно методами рентгенофазового анализа и термогравиметрии в совокупности с дифференциальной сканирующей калориметрией. Методом сканирующей электронной микроскопии в совокупности с энергодисперсионным анализом исследована морфология композитов. Электропроводность композитов, измеренная методом электрохимического импеданса, исследована в зависимости от температуры, давления кислорода в газовой фазе и содержания дисперсной добавки – оксида кремния. Изучены температурные зависимости суммы ионных чисел переноса композитов методом ЭДС, установлен ионный характер проводимости композитов. Обнаружен композитный эффект проводимости в исследуемой системе: добавление 30 мол. % нанодисперсного оксида кремния к вольфрамату неодима приводит к росту ионной проводимости более чем на два порядка.
Об авторах
А. Ф. Гусева
Уральский федеральный университет им. первого Президента России Б.Н. Ельцина
Email: Natalie.Pestereva@urfu.ru
Россия, 620002, Екатеринбург, ул. Мира, 19
Н. Н. Пестерева
Уральский федеральный университет им. первого Президента России Б.Н. Ельцина
Автор, ответственный за переписку.
Email: Natalie.Pestereva@urfu.ru
Россия, 620002, Екатеринбург, ул. Мира, 19
Список литературы
- Boulon G., Metrat G., Muhlstein N. et al. // Conference on New Laser Technologies and Applications. 2003. https://doi.org/10.1117/12.513519
- Zhou Y., Yan B. // CrystEngComm. 2013. V. 15. № 28. P. 5694. https://doi.org/10.1039/c3ce40495a
- Kaczmarek A.M., Van Deun R. // Chem. Soc. Rev. 2013. V. 42. № 23. P. 8835. https://doi.org/10.1039/c3cs60166h
- Guzik M., Tomaszewicz E., Guyot Y. et al. // J. Mater. Chem. C. 2015. V. 3. № 16. P. 4057. https://doi.org/10.1039/c4tc02963a
- Liu J., Kaczmarek A.M., Van Deun R. // Chem. Soc. Rev. 2018. V. 47. P. 7225. https://doi.org/10.1039/c7cs00893g
- Ke J., Adnan Younis M., Kong Y. et al. // Nano-Micro Letters. 2018. V. 10. № 4. https://doi.org/10.1007/s40820-018-0222-4
- Pestereva N., Guseva A., Vyatkin I., Lopatin D. // Solid State Ionics. 2017. V. 301. P. 72. https://doi.org/10.1016/j.ssi.2017.01.009
- Уваров Н.Ф. Композиционные твердые электролиты. Новосибирск: Изд-во СО РАН, 2008. 258 с.
- Knauth P. // J. Electroceram. 2000. V. 5. № 2. P. 111. https://doi.org/10.1023/a:1009906101421
- Yaroslavtsev A.B. // Russ. Chem. Rev. 2009. V. 78. № 11. P. 1013.
- Mateyshina Y., Slobodyuk A., Kavun V., Uvarov N. // Solid State Ionics. 2018. V. 324. P. 196. https://doi.org/10.1016/j.ssi.2018.04.026
- Нейман А.Я., Пестерева Н.Н., Шарафутдинов А.Р. и др. // Электрохимия. 2005. Т. 41. С. 680.
- Пестерева Н.Н., Жукова А.Ю., Нейман А.Я. // Электрохимия. 2007. Т. 43. С. 1379.
- Гусевa А.Ф., Пестерева Н.Н., Востротинa Е.Л. и др. // Электрохимия. 2020. Т. 56. № 5. С. 475. https://doi.org/10.31857/S0424857020050035
- Гусева А.Ф., Пестерева Н.Н., Отческих Д.Д., Востротина Е.Л. // Электрохимия. 2019. Т. 55. № 6. С. 721.
- Köhler J., Kobayashi Y., Imanaka N., Adachi G. // Solid State Ionics. 1998. V. 113–115. P. 553. xhttps://doi.org/10.1016/S0167-2738(98)00321-
- Köhler J., Imanaka N., Adachi G. // Mater. Sci. Forum. 1999. V. 315–317. P. 537. https://doi.org/10.4028/www.scientific.net/msf.315-317.537
- Guseva A.F., Pestereva N.N., Otcheskikh D.D., Kuznetsov D.V. // Solid State Ionics. 2021. V. 364. P. 115 626. https://doi.org/10.1016/j.ssi.2021.115626
- Гусева А.Ф., Пестерева Н.Н., Пырлик Е.В., Корона Д.В. // Неорган. материалы. 2022. Т. 58. № 6. С. 633.
- Technical Bulletin Fine Particles № 11/ Basic Characteristics of Aerosil Fumed Silica. 4th ed. Essen: Evonik, 2003.
- Чеботин В.Н., Перфильев М.В. Электрохимия твердых электролитов. М.: Химия, 1978. 312 с.
- Veer D., Kumar P., Singh D. et al. // Russ. J. Inorg. Chem. 2021. V. 66. P. 2059. https://doi.org/10.1134/S003602362114014X
- Titov D.D., Shcherbakova G.I., Gumennikova E.A. et al. // Russ. J. Inorg. Chem. 2021. V. 66. P. 1141. https://doi.org/10.1134/S0036023621080295
- Obolkina T.O., Goldberg M.A., Antonova O.S. et al. // Russ. J. Inorg. Chem. 2021. V. 66. P. 1223. https://doi.org/10.1134/S0036023621080192
- Tkachenko I.A., Panasenko A.E., Odinokov M.M. et al. // Russ. J. Inorg. Chem. 2020. V. 65. P. 1142. https://doi.org/10.1134/S0036023620080173
- Medvedeva A.E., Pechen L.S., Makhonina E.V. et al. // Russ. J. Inorg. Chem. 2019. V. 64. P. 829. https://doi.org/10.1134/S003602361907012X
- Kaimieva O.S., Kruzhkov D.A., Buyanova E.S. et al. // Russ. J. Inorg. Chem. 2019. V. 64. P. 158. https://doi.org/10.1134/S0036023619020104
- Haiduk Y.S., Savitsky A.A., Khort A.A. // Russ. J. Inorg. Chem. 2019. V. 64. P. 717. https://doi.org/10.1134/S003602361906007X
- Uvarov N.F., Ulikhin A.S., Mateishina Yu.G. // Chemistry for Sustainable Development 20. 2012. P. 69.
- Mateyshina Y., Uvarov N. // Solid State Ionics. 2018. V. 324 P. 1. https://doi.org/10.1016/j.ssi.2018.05.017
- Ulihin A.S., Uvarov N.F., Rabadanov K.S. et al. // Solid State Ionics. 2022. V. 378. 115889. https://doi.org/10.1016/j.ssi.2022.115889
- Ulikhin A.S., Uvarov N.F., Kovalenko K.A., Fedin V.P. // Microporous Mesoporous Mater. 2022. V. 332. 111710. https://doi.org/10.1016/j.micromeso.2022.111710
- Улихин А.С., Уваров Н.Ф. // Электрохимия. 2021. Т. 57. № 10. С. 608.
- Neiman A.Ya., Uvarov N.F., Pestereva N.N. // Solid State Ionics. 2007. V. 177. P. 3361. https://doi.org/10.1016/j.ssi.2006.10.006
- Wong P.L., Li X.M., Guo F. // Tribology Int. 2013. V. 61. P. 116. https://doi.org/10.1016/j.triboint.2012.12.009
Дополнительные файлы










