Синтез смешанных оксидных систем на основе магния и алюминия методами низкого и высокого насыщения
- Авторы: Фадеев В.В.1, Тронов А.П.1, Толчев А.В.1, Галимов Д.М.2, Живулин В.Е.2, Морозов Р.С.2, Авдин В.В.2
-
Учреждения:
- Челябинский государственный университет
- Южно-Уральский государственный университет
- Выпуск: Том 68, № 5 (2023)
- Страницы: 613-622
- Раздел: СИНТЕЗ И СВОЙСТВА НЕОРГАНИЧЕСКИХ СОЕДИНЕНИЙ
- URL: https://journal-vniispk.ru/0044-457X/article/view/136357
- DOI: https://doi.org/10.31857/S0044457X22602036
- EDN: https://elibrary.ru/SNEVVM
- ID: 136357
Цитировать
Полный текст
Аннотация
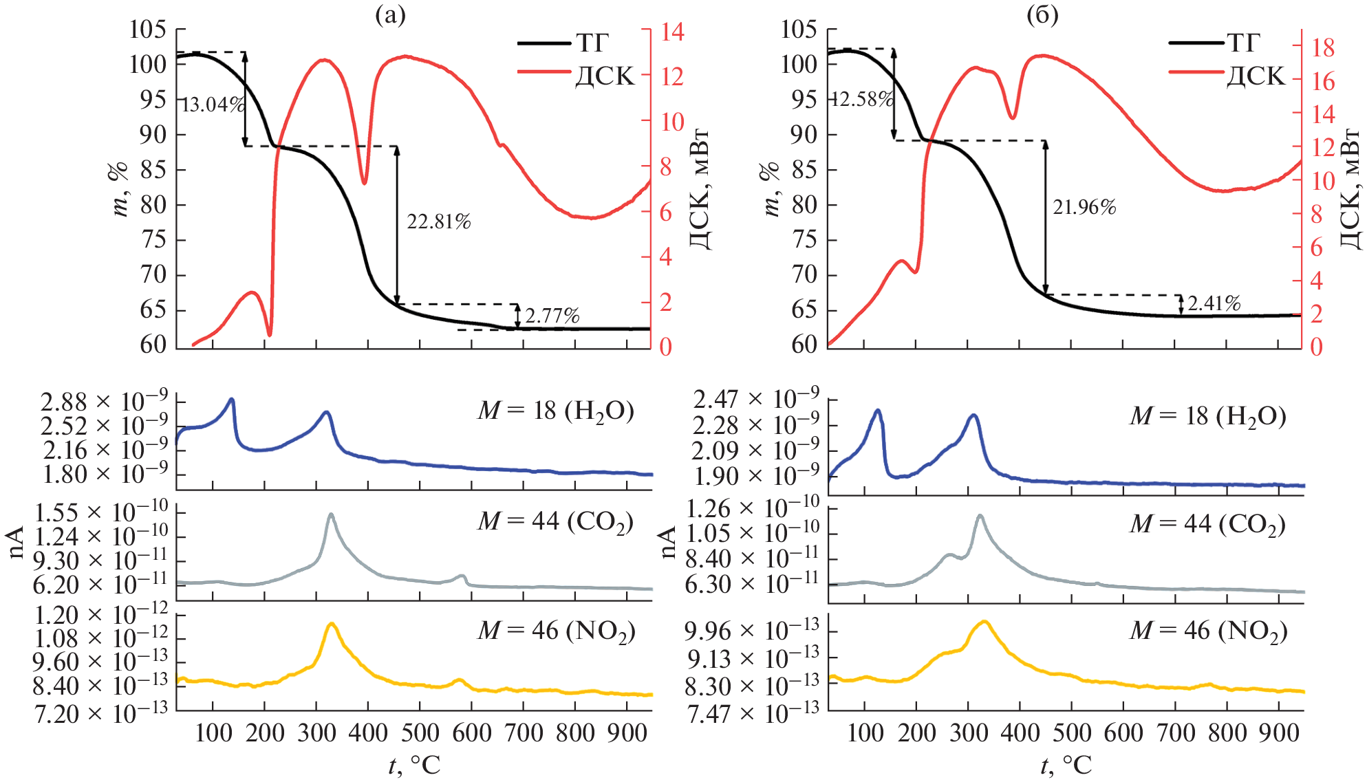
Методами высокого и низкого насыщения синтезированы и проанализированы слоистые двойные гидроксиды магния-алюминия и смешанные оксиды на их основе. Показано, что существенное влияние на фазовый состав и формирование наноразмерных частиц с большой площадью поверхности оказывает скорость введения магний-алюминиевых систем в среду осаждаемого вещества. Все полученные образцы исследованы методами термогравиметрического анализа с масс-спектрометрическим детектированием, рентгеновской дифрактометрии, электронно-растровой микроскопии, энергодисперсионной рентгеновской и инфракрасной спектроскопии.
Ключевые слова
Об авторах
В. В. Фадеев
Челябинский государственный университет
Email: vladislav_fadeev98@mail.ru
Россия, 454136, Челябинск, ул. Молодогвардейцев, 70Б
А. П. Тронов
Челябинский государственный университет
Email: vladislav_fadeev98@mail.ru
Россия, 454136, Челябинск, ул. Молодогвардейцев, 70Б
А. В. Толчев
Челябинский государственный университет
Email: vladislav_fadeev98@mail.ru
Россия, 454136, Челябинск, ул. Молодогвардейцев, 70Б
Д. М. Галимов
Южно-Уральский государственный университет
Email: vladislav_fadeev98@mail.ru
Россия, 454080, Челябинск, Ленинский пр-т, 76
В. Е. Живулин
Южно-Уральский государственный университет
Email: vladislav_fadeev98@mail.ru
Россия, 454080, Челябинск, Ленинский пр-т, 76
Р. С. Морозов
Южно-Уральский государственный университет
Email: vladislav_fadeev98@mail.ru
Россия, 454080, Челябинск, Ленинский пр-т, 76
В. В. Авдин
Южно-Уральский государственный университет
Автор, ответственный за переписку.
Email: vladislav_fadeev98@mail.ru
Россия, 454080, Челябинск, Ленинский пр-т, 76
Список литературы
- Hájek M. // Chem. Eng. J. 2015. V. 263. P. 160. https://doi.org/10.1016/j.cej.2014.11.006
- Tanaka R., Ogino. I., Mukai S.R. // ACS Omega. 2018. V. 3. № 12. P. 16916. https://doi.org/10.1021/acsomega.8b02557
- Kuljiraseth J. // Appl. Catal. B. 2019. V. 243. P. 415. https://doi.org/0.1016/j.apcatb.2018.10.073
- Kocík J. // J. Mol. Catal. 2021. V. 516. P. 111946. https://doi.org/10.1016/j.mcat.2021.111946
- Octavian D.P., Didier Tichit I.C.M. // Appl. Clay Sci. 2012. V. 61. P. 52. https://doi.org/10.1016/j.clay.2012.03.006
- Dixit M., Manish D., Manish M. et al. // Chem. Eng. Ind. J. 2013. V. 19. № 2. P. 458. https://doi.org/10.1016/j.jiec.2012.08.028
- Climent M.J., Corma A., Iborra S., Primo J. // J. Catal. 1994. V. 151. № 1. P. 60. https://doi.org/10.1006/jcat.1995.1008
- Pérez C.N. // Química Nova. 2009. V. 32. № 9. P. 2341. https://doi.org/10.1590/S0100-40422009000900020
- Hora L. // Catalysis Today. 2014. V. 223. P. 138. https://doi.org/10.1016/j.cattod.2013.09.022
- Jorge P., Joseph L., François F. // Catalysis J. 2002. V. 211. № 1. P. 150. https://doi.org/10.1006/jcat.2002.3706
- Bolognini M. // Catal. Today. 2002. V. 75. № 1–4. P. 103. https://doi.org/10.1016/S0920-5861(02)00050-0
- Xiao Z. // Mol. Catal. 2017. V. 436. P. 1. https://doi.org/10.1016/j.mcat.2017.04.016
- Cosano D., Hidalgo-Carrillo J., Esquivel D. et al. // J. Porous Mater. 2020. V. 27. № 2. P. 441. https://doi.org/10.1007/s10934-019-00825-8
- Quesada J., Faba L., Diaz E., Ordonez S. // Appl. Catal. A. 2017. V. 542. P. 271. https://doi.org/10.1016/j.apcata.2017.06.001
- He J., Wei M., Li B. et al. // Structure and Bonding Layered Double Hydroxides. 2006. V. 89–119. https://doi.org/10.1007/430/006
- Горелик С.С., Расторгуев Л.Н., Скаков Ю.А. Рентгенографический и электронно-оптический анализ. М.: МИСИС, 1994. 328 с.
- Kong L. // Chem. Eng. J. 2019. V. 371. P. 893. https://doi.org/10.1016/j.cej.2019.04.116
- Leont`eva N.N., Drozdov V.D., Bel`skaya O.B., Cherepanova S.V. // Russ. J. Gen. Chem. 2020. V. 90. № 3. P. 509. https://doi.org/10.1134/S1070363220030275
- Nguyễn K.D.H., Hoàng N.D. // Vietnam J. Sci. Technol. 2015. V. 52. № 6. P. 755. https://doi.org/10.15625/0866-708X/52/6/3636
- Libor Č., Petr K., Lucie S., Martin H. // Top. Catal. 2013 V. 56. № 9–10. P. 586. https://doi.org/10.1007/s11244-013-0008-3
- Débora L.C., Roberto R.A., Michelly T.R. et al. // Appl. Catal. A. 2012. V. 415–416. P. 96. https://doi.org/10.1016/j.apcata.2011.12.009
- Kikhtyanin O., Capek L., Smoláková L. et al. // Ind. Eng. Chem. Res. 2017. V. 56. № 45. P. 13411. https://doi.org/10.1021/acs.iecr.7b03367
- Masoud S., Afshin T.M., Seyed A.H., Sakineh M. // J. Water Environ. Nanotechnol. 2021. V. 6. № 1. P. 72. https://doi.org/10.22090/jwent.2021.01.007
- Huang P.P. // RSC. Adv. 2015. V. 5. № 14. P. 10412. https://doi.org/10.1039/C4RA15160G
- Varga G., Szabados M., Kukovecz Á. et al. // Mater. Res. Lett. 2020. V. 8. № 2. P. 68. https://doi.org/10.1080/21663831.2019.1700199
- Abniki M., Moghimi A., Azizinejad F. // JSCS. 2020. V. 85. № 9. P. 1223. https://doi.org/10.2298/JSC191011004A
- Chen L., Sun B., Wang X. et al. // J. Mater. Chem. B. 2013. V. 1. № 17. P. 2268. https://doi.org/10.1039/C3TB00044C
- Huang P.-P., Cao C.-Y., Wei F. et al. // RSC Adv. 2015. V. 5. № 14. P. 10412. https://doi.org/10.1039/C4RA15160G
- Cardinale A.M., Carbone C., Consani S. et al. // Crystals. 2020. V. 10. № 6. P. 443. https://doi.org/10.3390/cryst10060443
- Hag-Soo K., Yohtaro Y., Je-Deok K. et al. // Solid State Ionics. 2010. V. 181. № 19–20. P. 883. https://doi.org/10.1016/j.ssi.2010.04.037
- Wang X., Zhu X., Meng X. // RSC Adv. 2017. V. 7. № 56. P. 34984. https://doi.org/10.1039/c7ra04646d
- Aisawa S., Nakada C., Hirahara H. et al. // Appl. Clay Science. 2019. V. 180. P. 105205. https://doi.org/0.1016/j.clay.2019.105205
- Zaghouane-Boudiaf H., Boutahala M., Arab L. // Chem. Eng. J. 2012. V. 187. P. 142. https://doi.org/10.1016/j.cej.2012.01.112
- Thommes M., Kaneko K., Neimark A.V. et al. // Pure Appl. Chem. 2015. V. 87. № 9–10. P. 1051. https://doi.org/10.1515/pac-2014-1117
Дополнительные файлы










