Синтез и свойства магнитных углеродных нанокомпозитов из целлюлозы методом химической активации FeCl3
- Авторы: Прусов А.Н.1, Прусова С.М.1, Радугин М.В.1
-
Учреждения:
- Институт химии растворов им. Г.А. Крестова РАН
- Выпуск: Том 68, № 7 (2023)
- Страницы: 965-974
- Раздел: НЕОРГАНИЧЕСКИЕ МАТЕРИАЛЫ И НАНОМАТЕРИАЛЫ
- URL: https://journal-vniispk.ru/0044-457X/article/view/136376
- DOI: https://doi.org/10.31857/S0044457X22602206
- EDN: https://elibrary.ru/RHOMBK
- ID: 136376
Цитировать
Полный текст
Аннотация
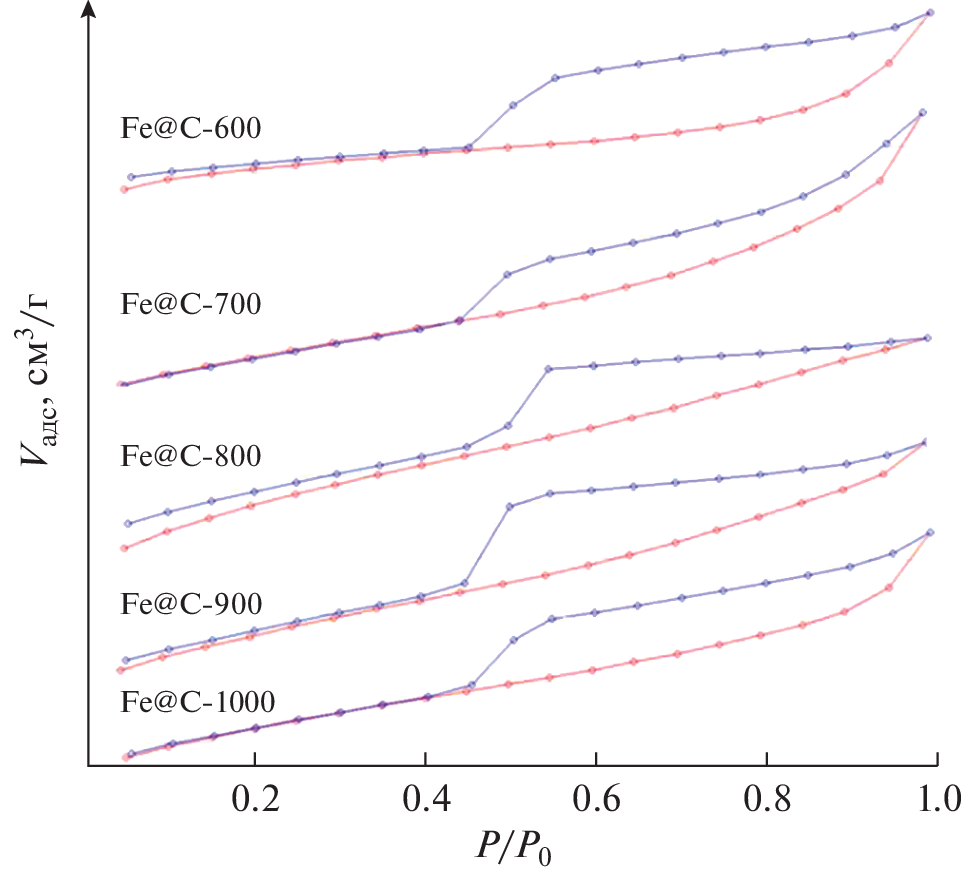
Исследовано получение графитизированных магнитных углеродных композитов, сочетающих адсорбционные свойства активированного угля с магнитными, а также свойствами, присущими графиту. Показана эффективность метода, включающего модификацию целлюлозы костры льна лимонной кислотой для усиления хелатирующей способности целлюлозной матрицы костры льна, пропитку модифицированной целлюлозы хлоридом железа, пиролиз в инертной среде для контролирования состава, морфологии, удельной поверхности и пористости гибридных углеродных материалов. Методом термогравиметрии установлен возможный механизм пиролиза целлюлозной матрицы. Характеристики графитизированных композитов исследованы с помощью рентгеноструктурного анализа. Установлено, что модификация целлюлозы лимонной кислотой позволяет получить углеродный композит с высоким содержанием графита (74%) со степенью графитизации графитовой структуры, близкой к степени графитизации коммерческого графита при 700°С. Методами низкотемпературной адсорбции–десорбции N2 и ζ-потенциала установлен возможный механизм адсорбции экологически опасных красителей. Показано, что наибольшая равновесная величина адсорбции красителей метиленового синего и метилового оранжевого составила 127.4 и 23.7 мг/г соответственно. Полученные композиты могут использоваться в качестве адсорбентов и наполнителей в полимерных композиционных материалах.
Ключевые слова
Об авторах
А. Н. Прусов
Институт химии растворов им. Г.А. Крестова РАН
Email: anp@isc-ras.ru
Россия, 153045, Иваново, ул. Академическая, 1
С. М. Прусова
Институт химии растворов им. Г.А. Крестова РАН
Email: anp@isc-ras.ru
Россия, 153045, Иваново, ул. Академическая, 1
М. В. Радугин
Институт химии растворов им. Г.А. Крестова РАН
Автор, ответственный за переписку.
Email: anp@isc-ras.ru
Россия, 153045, Иваново, ул. Академическая, 1
Список литературы
- Niazi L., Lashanizadegan A., Sharififard H. // J. Clean. Prod. 2018. V. 185. P. 554. https://doi.org/10.1016/j.jclepro.2018.03.026
- Zhang B., Zeng X., Xu P. et al. // Environ. Sci. Technol. 2016. V. 50. P. 11837. https://doi.org/10.1021/acs.est.6b01919
- Erdem H., Erdem M. // Biomass Conv. Bioref. 2022. V. 12. P. 3513. https://doi.org/10.1007/s13399-020-00963-z
- Bekhoukh A., Moulefera I., Zeggai F.Z. et al. // J. Polym. Environ. 2022. V. 30. P. 886. https://doi.org/10.1007/s10924-021-02248-6
- Rashidi N.A., Yusup S. // Chem. Eng. J. 2017. V. 314. P. 277. https://doi.org/10.1016/j.cej.2016.11.059
- Klasson K.T., Wartelle L.H., Lima I.M. et al. // Bioresour. Technol. 2009. V. 100. P. 5045. https://doi.org/10.1016/j.biortech.2009.02.068
- Ogungbenro A.E., Quang D.V., Al-Ali K.A. et al. // J. Environ. Chem. Eng. 2020. V. 8. P. 104257. https://doi.org/10.1016/j.jece.2020.104257
- Somasundaram S.K., Sekar Gupta V.K., Ganesan S. // J. Mol. Liq. 2013. V. 177. P. 416. https://doi.org/10.1016/j.molliq.2012.09.022
- Ahmed M.J. // J. Environ. Chem. Eng. 2016. V. 4. P. 89. https://doi.org/10.1016/j.jece.2015.10.027
- Prusov A.N., Prusova S.M., Radugin M.V. et al. // Fuller. Nanotub. Car. N. 2021. V. 29. P. 685. https://doi.org/10.1080/1536383X.2021.188106
- Ahmed M.J., Theydan S.K. // Powder Technol. 2012. V. 229. P. 237. https://doi.org/10.1016/j.powtec.2012.06.043
- Ma J., Zhou L., Dan W. et al. // J. Colloid Interface Sci. 2015. V. 446. P. 298. https://doi.org/10.1016/j.jcis.2015.01.036
- Teng H.S., Yeh T.S., Hsu L.Y. // Carbon. 1998. V. 36. P. 1387. https://doi.org/10.1016/S0008-6223(98)00127-4
- Hamouda H.A., Cui S., Dai X. et al. // RSC Adv. 2021. V. 11. P. 354. https://doi.org/10.1039/D0RA09509E
- Xu Z., Sun Z., Zhou Y. et al. // Colloids Surf., A. 2019. V. 582. P. 123934. https://doi.org/10.1016/j.colsurfa.2019.123934
- Khiari B., Ferjani A.I., Azzaz A.A. et al. // Biomass Conv. Bioref. 2021. V. 11. P. 325. https://doi.org/10.1007/s13399-020-00641-0
- Rodríguez-Sánchez S., Díaz P., Ruiz B. et al. // J. Environ. Manage. 2022. V. 312. P. 114897. https://doi.org/10.1016/j.jenvman.2022.114897
- Прусов А.Н., Прусова С.М., Базанов А.В. и др. // Журн. неорган. химии. 2019. Т. 64. С. 431.
- Feng H., Li J., Wang L. // BioRes. 2010. V. 5. № 3. P. 1484. https://doi.org/10.15376/biores.5.3.1484-1495.
- Cox M., Pichugin A.A., El-Shafey E.I. et al. // Hydrometallurgy. 2005. V. 78. P. 137. https://doi.org/10.1016/j.hydromet.2004.12.006
- Wang C., Yang Q., Ren N. et al. // Chem. Eng. Commun. 2020. https://doi.org/10.1080/00986445.2020.1826940
- Hu W., Zhang M., Ton-That M.-T. et al. // Fiber. Polym. 2014. V. 15. P. 1722. https://doi.org/10.1007/s12221-014-1722-6
- Prusov A.N., Prusova S.M., Radugin M.V. et al. // Fuller. Nanotub. Car. N. 2021. V. 29. P. 232. https://doi.org/10.1080/1536383X.2020.1832994
- Bedia J., Monsalvo V.M., Rodriguez J.J. et al. // Chem. Eng. J. 2017. V. 318. P. 224. https://doi.org/10.1016/j.cej.2016.06.096
- Bedia J., Belver C., Ponce S. et al. // Chem. Eng. J. 2018. V. 333. P. 58. https://doi.org/10.1016/j.cej.2017.09.161
- Vasu A.E., Archana A.P.M.S., Sagayaraj A.C. et al. // Chem. Commun. 2022. V. 141. P. 109541. https://doi.org/10.1016/j.inoche.2022.109541
- Hermosa G.C., Liao C.-S., Wan. S.-F. et al. // J. Nanosci. Nanotechnol. 2021. V. 21. P. 5756. https://doi.org/10.1166/jnn.2021.19494
- Vaughana T., Seoa C.W., Marshall W.E. // Bioresour. Technol. 2001. P. 78. P. 133. https://doi.org/10.1016/S0960-8524(01)00007-4
- Prusov A.N., Prusova S.M., Zakharov A.G. et al. // Fuller. Nanotub. Car. N. 2019. V. 27. P. 967. https://doi.org/10.1080/1536383X.2019.1679780
- Prusov A.N., Prusova S.M., Radugin M.V. et al. // Fuller. Nanotub. Car. N. 2022. V. 30. P. 1019. https://doi.org/10.1080/1536383X.2022.2057965
- Kuang Y., Zhang X., Zhou S. // Water. 2020. V. 12. P. 587. https://doi.org/10.3390/w12020587
- Destyorini F., Irmawati Y., Hardiansyah A. et al. // Eng. Sci. Technol. Int. J. 2021. V. 24. P. 514. https://doi.org/10.1016/j.jestch.2020.06.011
- Bacon BY G.E. // Acta Cryst. 1951. V. 4. P. 558. https://doi.org/10.1107/s0365110x51001781
- Dai C., Wan J., Yang S. et al. // Appl. Surf. Sci. 2018. V. 444. P. 105. https://doi.org/10.1016/j.apsusc.2018.02.261
- Dizbay-Onat M., Vaidya U.K., Balanay J.A.G. et al. // Adsorpt. Sci. Technol. 2018. V. 36. № 1–2. P. 441. https://doi.org/10.1177/0263617417700635
- Krivoruchko O.P., Zaikovskii V.I. // Mendeleev Commun. 1998. V. 8. № 3. P. 97. https://doi.org/10.1070/MC1998v008n03ABEH000944
- Hoekstra J., Beale M., Soulimani F. et al. // Carbon. 2016. V. 197. P. 248. https://doi.org/10.1016/j.carbon.2016.05.065
- Xu Z., Zhou Y., Sun Z. et al. // Chemosphere. 2020. V. 241. P. 125120. https://doi.org/10.1016/j.chemosphere.2019.125120
- Jozwiak W.K., Kaczmarek E., Maniecki T.P. et al. // Appl. Catal. A: General. 2007. V. 326. P. 17. https://doi.org/10.1016/j.apcata.2007.03.021
- Li H., Zhang H., Li K. et al. // Fuel. 2020. V. 279. https://doi.org/10.1016/j.fuel.2020.118531
- Rufford. T.E., Hulicova-Jurcakova D., Zhu. Z. // J. Mater. Res. 2011. V. 25. P. 1451. https://doi.org/10.1557/JMR.2010.0186
- Zhu X., Liu Y., Luo G. et al. // Environ. Sci. Technol. 2014. V. 48. P. 5840. https://doi.org/10.1021/es500531c
- Thommes M., Kaneko K., Neimark A.V. et al. // Pure Appl. Chem. 2015. V. 87. P. 1051. https://doi.org/10.1515/pac-2014-1117
- Cychosz K.A., Thommes M. // Engineering. 2018. V. 4. P. 559. https://doi.org/10.1016/j.eng.2018.06.001
- Udayakumar M., Mrabate B.E., Koós T. et al. // Arabian J. Chem. 2021. V. 14. P. 103214. https://doi.org/10.1016/j.arabjc.2021.103214
- Janani B., Mohaimeed A.M.A., Raju L.L. et al. // J. Environ. Health Sci. Engineer. 2021. V. 19. P. 389. https://doi.org/10.1007/s40201-021-00612-1
- Istratie R., Stoia M., Păcurariu C. et al. // Arabian J. Chem. 2019. V. 12. P. 3704. http://dx.doi.org/10.1016/j.arabjc.2015.12.012
- Fan W., Gao W., Zhang C. et al. // J. Mater. Chem. 2012. V. 22. P. 25108. https://doi.org/10.1039/C2JM35609K
- Karagöza S., Tay T., Ucar S. et al. // Bioresour. Technol. 2008. V. 99. P. 6214. https://doi.org/10.1016/j.biortech.2007.12.019
- Pittman C.U., He G.R., Wu B. et al. // Carbon. 1997. V. 35. № 3. P. 317. https://doi.org/10.1016/S0008-6223(97)89608-X
Дополнительные файлы










