Синтез, физико-химические свойства и биологическая активность композита бентонит-оксид железа
- Авторы: Алексеева О.В.1, Смирнова Д.Н.1, Носков А.В.1, Кузнецов О.Ю.2, Кириленко М.А.2, Агафонов А.В.1
-
Учреждения:
- Институт химии растворов им. Г.А. Крестова РАН
- Ивановская государственная медицинская академия
- Выпуск: Том 68, № 8 (2023)
- Страницы: 1021-1029
- Раздел: СИНТЕЗ И СВОЙСТВА НЕОРГАНИЧЕСКИХ СОЕДИНЕНИЙ
- URL: https://journal-vniispk.ru/0044-457X/article/view/136399
- DOI: https://doi.org/10.31857/S0044457X23600299
- EDN: https://elibrary.ru/MLILYG
- ID: 136399
Цитировать
Полный текст
Аннотация
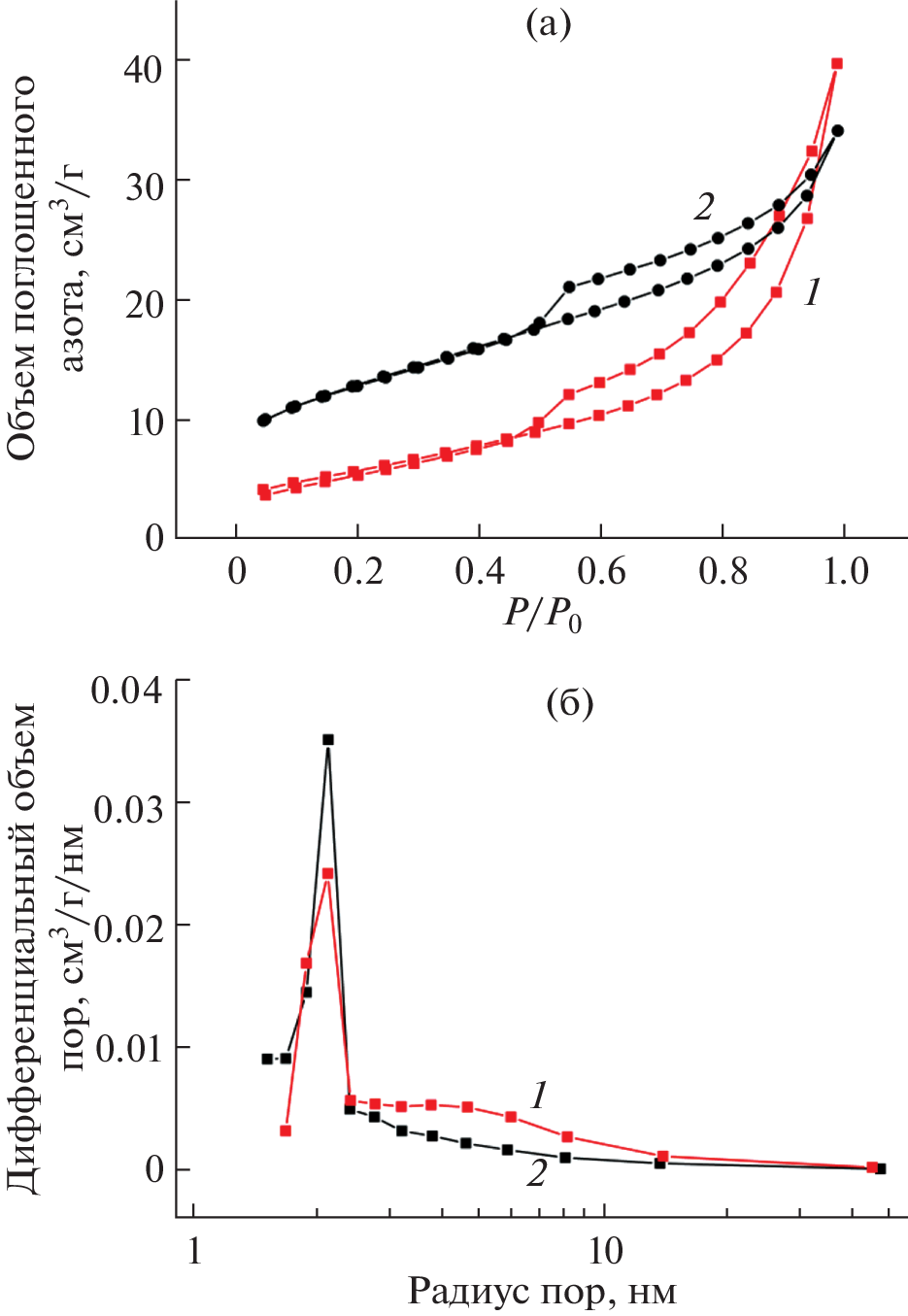
Методом химического соосаждения синтезирован композиционный порошкообразный материал бентонит-оксид железа. Исследованы гранулометрический состав, морфология, кристаллическая структура, пористость и термическая устойчивость полученного порошка. Установлено, что оксид железа в составе композита представляет собой твердый раствор маггемит-магнетит с химической формулой Fe2.950O4. Выявлено увеличение жизнеспособности бактерий Escherichia coli М-17 при культивировании в питательной среде в присутствии синтезированного порошка бентонит-оксид железа.
Ключевые слова
Об авторах
О. В. Алексеева
Институт химии растворов им. Г.А. Крестова РАН
Email: ova@isc-ras.ru
Россия, 153045, Иваново, ул. Академическая, 1
Д. Н. Смирнова
Институт химии растворов им. Г.А. Крестова РАН
Email: ova@isc-ras.ru
Россия, 153045, Иваново, ул. Академическая, 1
А. В. Носков
Институт химии растворов им. Г.А. Крестова РАН
Email: ova@isc-ras.ru
Россия, 153045, Иваново, ул. Академическая, 1
О. Ю. Кузнецов
Ивановская государственная медицинская академия
Email: ova@isc-ras.ru
Россия, 153012, Иваново, Шереметевский пр-т, 8
М. А. Кириленко
Ивановская государственная медицинская академия
Email: ova@isc-ras.ru
Россия, 153012, Иваново, Шереметевский пр-т, 8
А. В. Агафонов
Институт химии растворов им. Г.А. Крестова РАН
Автор, ответственный за переписку.
Email: ova@isc-ras.ru
Россия, 153045, Иваново, ул. Академическая, 1
Список литературы
- Шилова О.А., Николаевa А.М., Коваленко А.С. и др. // Журн. неорган. химии. 2020. Т. 65. № 3. С. 398. https://doi.org/10.31857/S0044457X20030137
- Алексеева О.В., Носков А.В., Гусейнов С.С., Агафонов А.В. // Физикохимия поверхности и защита материалов. 2022. Т. 58. № 4. С. 393. https://doi.org/10.31857/S0044185622040052
- Rahmawati R., Taufiq A., Sunaryono S. et al. // J. Mater. Environ. Sci. 2018. V. 9. P. 155. https://doi.org/10.26872/jmes.2018.9.1.19
- Stoia M., Pacurariu C., Istratie R. et al. // J. Therm. Anal. Calorim. 2015. V. 121. P. 989. https://doi.org/10.1007/s10973-015-4641-x
- Hu P., Chang T., Chen W.-J. et al. // J. Alloys Compd. 2019. V. 773. P. 605. https://doi.org/10.1016/j.jallcom.2018.09.238
- Папынов Е.К., Номеровский А.Д., Азон А.С. и др. // Журн. неорган. химии. 2020. Т. 65. № 11. С. 1449. https://doi.org/10.31857/S0044457X2011015X
- Avasthi A., Caro C., Pozo-Torres E. et al. // Top. Curr. Chem. 2020. V. 378. P. 40. https://doi.org/10.1007/s41061-020-00302-w
- Williams M.J., Sanchez E.S., Aluri E.R. et al. // RSC Adv. 2016. V. 6. № 87. P. 83520. https://doi.org/10.1039/C6RA11819D
- Liu W., Chang Z., Yao P. et al. // Glass Phys. Chem. 2021. V. 47. № 6. P. 590. https://doi.org/10.1134/S1087659621060183
- Orolínová Z., Mockovciaková A. // Mater. Chem. Phys. 2009. V. 114. P. 956. https://doi.org/10.1016/j.matchemphys.2008.11.014
- Chang J., Ma J., Ma Q. et al. // Appl. Clay. Sci. 2016. V. 119. P. 132. https://doi.org/10.1016/j.clay.2015.06.038
- Awad A.M., Shaikh S.M.R., Jalab R. et al. // Sep. Purif. Technol. 2019. V. 228. P. 115719. https://doi.org/10.1016/j.seppur.2019.115719
- Zhang H., Liang X., Yang C. et al. // J. Alloys Compd. 2016. V. 688. P. 1019. https://doi.org/10.1016/j.jallcom.2016.07.036
- Mirbagheri N.S., Sabbaghi S. // Micropor. Mesopor. Mater. 2018. V. 259. P. 134. https://doi.org/10.1016/j.micromeso.2017.10.007
- Yan L., Li S., Yu H. et al. // Powder Technol. 2016. V. 301. P. 632. https://doi.org/10.1016/j.powtec.2016.06.051
- Курмангажи Г., Тажибаева С.М., Мусабеков К.Б. и др. // Коллоидный журнал. 2021. Т. 83. № 3. С. 320. https://doi.org/10.31857/S0023291221030095
- Chen L., Zhou C.H., Fiore S. et al. // Appl. Clay Sci. 2016. V. 127–128. P. 143. https://doi.org/10.1016/j.clay.2016.04.009
- Tireli A.A., Guimarães I.R., Terra J.C. et al. // Environ. Sci. Pollut. Res. 2015. V. 22. P. 870. https://doi.org/10.1007/s11356-014-2973-x
- Голубева О.Ю., Бразовская Е.Ю., Аликина Ю.А. и др. // Физика и химия стекла. 2019. Т. 45. № 1. С. 74. https://doi.org/10.1134/S0132665119010037
- Bartonkova H., Mashlan M., Medrik I. et al. // Chem. Pap. 2007. V. 61. № 5. P. 413. https://doi.org/10.2478/s11696-007-0057-9
- Грег С., Синг К. Адсорбция, удельная поверхность, пористость / Пер. с англ. под ред. Карнаухова А.П. М.: Мир, 1984.
- Alekseeva O.V., Rodionova A.N., Bagrovskaya N.A. et al. // Iran Polym. J. 2019. V. 28. P. 123. https://doi.org/10.1007/s13726-018-0683-9
- Sing K.S.W. // Pure Appl. Chem. 1985. V. 57. № 4. P. 603. https://doi.org/10.1351/pac198557040603
- Carrado K.A., Csencsits R., Thiyagarajan P. et al. // J. Mater. Chem. 2002. V. 12. P. 3228. https://doi.org/10.1039/B204180B
- Sanad M.M.S., Farahat M.M., Abdel Khalek M.A. // Adv. Powder. Technol. 2021. V. 32. Is. 5. P. 1573. https://doi.org/10.1016/j.apt.2021.03.013
- Алексеев В.П., Рыбникова Е.В., Шипилин М.А. // Вестн. ЯрГУ. Сер. Естеств. и техн. науки. 2012. № 4. С. 10.
- Cervellino A., Frison R., Cernuto G. et al. // J. Appl. Crystallogr. 2014. V. 47. P. 1755. https://doi.org/10.1107/S1600576714019840
- Shen W., He H., Zhu J. et al. // J. Colloid Interface Sci. 2007. V. 313. P. 268. https://doi.org/10.1016/j.jcis.2007.04.029
- Ziabari S.A.M., Babamoradi M., Hajizadeh Z. et al. // Phys. B: Condens. Matter. 2020. V. 588. P. 412167. https://doi.org/10.1016/j.physb.2020.412167
- Gogry F.A., Siddiqui M.T., Sultan I. et al. // Pharmaceutics. 2022. V. 14. P. 295. https://doi.org/10.3390/pharmaceutics14020295
- Летута У.Г., Тихонова Т.А. // Докл. АН. 2019. Т. 484. № 6. С. 768.
- Raouia H., Hamida B., Khadidja A. et al. // Arch. Microbiol. 2020. V. 202. P. 77. https://doi.org/10.1007/s00203-019-01719-8
Дополнительные файлы









