Effect of F Substituents in Thiophenol on the Structure and Properties of µ2-S-(Difluorothiolate)tetranitrosyl Iron Binuclear Complexes
- Authors: Sanina N.A.1,2,3, Konyukhova A.S.1,2, Korchagin D.V.1, Ovanesyan N.S.1, Kulikov A.V.1, Mumyatova V.A.1, Terent’ev A.A.1,2,3, Aldoshin S.M.1
-
Affiliations:
- Federal Research Center for Problems in Chemical Physics and Medicinal Chemistry, Russian Academy of Sciences
- Moscow State University
- State University of Education
- Issue: Vol 68, No 9 (2023)
- Pages: 1165-1180
- Section: КООРДИНАЦИОННЫЕ СОЕДИНЕНИЯ
- URL: https://journal-vniispk.ru/0044-457X/article/view/136465
- DOI: https://doi.org/10.31857/S0044457X23600664
- EDN: https://elibrary.ru/WRLQZC
- ID: 136465
Cite item
Full Text
Abstract
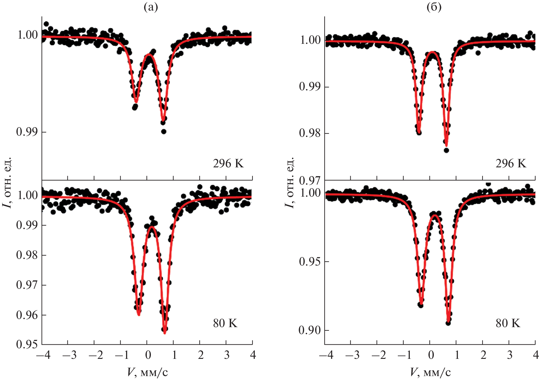
Two new neutral binuclear tetranitrosyl iron complexes of general formula [Fe2R2(NO)4] with R = 2,4-difluorothiophenyl (complex 1) and 3,4-difluorothiophenyl (complex 2), donors of nitrogen monoxide (NO), were prepared. The complexes were characterized by single-crystal X-ray diffraction, IR, Mössbauer, EPR spectroscopy, and elemental analysis. The antibacterial activity and cytotoxicity of complex 1, complex 2, and previously synthesized [
(NO)4] with R'= 2,4-dichlorothiophenyl (complex 3) were studied for the first time. The “amount of NO–biological activity” correlations were analyzed depending on the nature and position of the substituent in the thiophenyl ligand. Complex 2 was found to have antibacterial activity that was four times as high as that of the known antibiotic kanamycin. The anti-biofilm activity of complex 2 was studied; it inhibited 46% of biofilm formation and destroyed 32% of M. Luteus biofilms, surpassing the effects of the reference drugs kanamycin and ampicillin.
About the authors
N. A. Sanina
Federal Research Center for Problems in Chemical Physics and Medicinal Chemistry, Russian Academy of Sciences; Moscow State University; State University of Education
Email: sanina@icp.ac.ru
142432, Chernogolovka, Moscow oblast, Russia; 119991, Moscow, Russia; 141014, Mytishchi, Moscow oblast, Russia
A. S. Konyukhova
Federal Research Center for Problems in Chemical Physics and Medicinal Chemistry, Russian Academy of Sciences; Moscow State University
Email: sanina@icp.ac.ru
142432, Chernogolovka, Moscow oblast, Russia; 119991, Moscow, Russia
D. V. Korchagin
Federal Research Center for Problems in Chemical Physics and Medicinal Chemistry, Russian Academy of Sciences
Email: sanina@icp.ac.ru
142432, Chernogolovka, Moscow oblast, Russia
N. S. Ovanesyan
Federal Research Center for Problems in Chemical Physics and Medicinal Chemistry, Russian Academy of Sciences
Email: sanina@icp.ac.ru
142432, Chernogolovka, Moscow oblast, Russia
A. V. Kulikov
Federal Research Center for Problems in Chemical Physics and Medicinal Chemistry, Russian Academy of Sciences
Email: sanina@icp.ac.ru
142432, Chernogolovka, Moscow oblast, Russia
V. A. Mumyatova
Federal Research Center for Problems in Chemical Physics and Medicinal Chemistry, Russian Academy of Sciences
Email: sanina@icp.ac.ru
142432, Chernogolovka, Moscow oblast, Russia
A. A. Terent’ev
Federal Research Center for Problems in Chemical Physics and Medicinal Chemistry, Russian Academy of Sciences; Moscow State University; State University of Education
Email: sanina@icp.ac.ru
142432, Chernogolovka, Moscow oblast, Russia; 119991, Moscow, Russia; 141014, Mytishchi, Moscow oblast, Russia
S. M. Aldoshin
Federal Research Center for Problems in Chemical Physics and Medicinal Chemistry, Russian Academy of Sciences
Author for correspondence.
Email: sanina@icp.ac.ru
142432, Chernogolovka, Moscow oblast, Russia
References
- Thomas J.T., Robertson J.H., Cox E.G. // Acta Crystallogr. 1958. V. 11. P. 599. https://doi.org/10.1107/S0365110X58001602
- Butler A.R., Glidewell C., Hyde A.R. et al. // Polyhedron. 1985. V. 4. P. 797. https://doi.org/10.1016/S0277-5387(00)87029-1
- Butler A.R., Glidewell C., Hyde A.R. et al. // Inorg. Chem. 1985. V. 24. P. 2931. https://doi.org/10.1021/ic00213a012
- Glidewell C., Harman M.E., Hursthouse M.B. et al. // J. Chem. Res. 1988. V. 212–213. P. 1676.
- Harrop T.C., Song D., Lippard S.J. et al. // J. Am. Chem. Soc. 2006. V. 128. P. 3528. https://doi.org/10.1021/ja060186n
- Tsou C.-C., Lu T.-T., Liaw W.-F. et al. // J. Am. Chem. Soc. 2007. V. 129. P. 12626. https://doi.org/10.1021/ja0751375
- Lee H.M., Chiou S.-J. // Acta Crystallogr., Sect. E: Struct. Rep. Online. 2009. V. 65. № m1600. https://doi.org/10.1107/S1600536809048065
- Chen Y.-J., Ku W.-C., Feng L.-T. et al. // J. Am. Chem. Soc. 2008. V. 130. P. 10929. https://doi.org/10.1021/ja711494m
- Chiou S.-J., Wang C.-C., Chang Ch.-M. et al. // J. Organomet. Chem. 2008. V. 693. P. 3582. https://doi.org/10.1016/j.jorganchem.2008.08.034
- Tsai M.-C., Tsai F.-T., Lu T.-T. et al. // Inorg. Chem. 2009. V. 48. P. 9579. https://doi.org/10.1021/ic901675p
- Lu T.-T., Huang H.-W., Liaw W.-F. et al. // Inorg. Chem. 2009. V. 48. P. 9027. https://doi.org/10.1021/ic9012679
- Wang R., Camacho-Fernandez M.A., Xu W. et al. // Dalton Trans. 2009. V. 5. P. 777. https://doi.org/10.1039/B810230A
- Chang H.-H., Huang H.-J., Ho Y.-L. et al. // Dalton Trans. 2009. V. 32. P. 6396. https://doi.org/10.1039/B902478F
- Rauchfuss T.B., Weatherill T.D. // Inorg. Chem. 1982. V. 21. P. 827. https://doi.org/10.1021/ic00132a071
- Tsai M.-L., Liaw W.-F. // Inorg. Chem. 2006. V. 45. P. 6583. https://doi.org/10.1021/ic0608849
- Tsai M.-L., Hsieh C.-H., Liaw W.-F. et al. // Inorg. Chem. 2007. V. 46. P. 5110. https://doi.org/10.1021/ic0702567
- Harrop T.C., Song D., Lippard S.J. // J. Inorg. Biochem. 2007. V. 101. P. 1730. https://doi.org/10.1016/j.jinorgbio.2007.05.006
- Chen C.-H., Chiou S.-J., Chen H.-Y. et al. // Inorg. Chem. 2010. V. 49. P. 2023. https://doi.org/10.1021/ic902324d
- Tsou C.-C., Liaw W.-F. // Chem. Eur. J. 2011. V. 17. P. 13358. https://doi.org/10.1002/chem.201100253
- Shih W.-C., Lu T.-T., Yang L.-B. et al. // J. Inorg. Biochem. 2012. V. 113. P. 83. https://doi.org/10.1016/j.jinorgbio.2012.03.007
- Lu C.-Y., Liaw W.-F. // Inorg. Chem. 2013. V. 52. P. 13918. https://doi.org/10.1021/ic402364p
- Lu T.-T., Wang Y.-M., Hung Ch.-H. et al. // Inorg. Chem. 2018. V. 5720. P. 12425. https://doi.org/10.1021/acs.inorgchem.8b01818
- Hsiao H.-Y., Chung C.-W., Santos J.H. et al. // Dalton Trans. 2019. V. 48. P. 9431. https://doi.org/10.1039/C9DT00777F
- Ostrowski A.D., Ford P.C. // Dalton Trans. 2009. V. 48. P. 10660. https://doi.org/10.1039/B912898K
- Vanin A.F. // Int. J. Mol. Sci. 2021. V. 22. P. 10356. https://doi.org/10.3390/ijms221910356
- MacMicking J., Xie Q., Nathan C. // Annu. Rev. Immunol. 1997. V. 15. P. 323. https://doi.org/10.1146/annurev.immunol.15.1.323
- Wink D. A., Mitchell J.B. // Free Radic. Biol. Med.1998. V. 25. P. 434. https://doi.org/10.1016/S0891-5849(98)00092-6
- Murad F. // Biosci Rep. 1999. V. 19. P. 133. https://doi.org/10.1023/A:1020265417394
- Chung H.-T., Pae H.-O., Choi B.-M. et al. // Biochem. Biophys. Res. Commun. 2001. V. 282. P. 1075 https://doi.org/10.1006/bbrc.2001.4670
- Davis K.L., Martin E., Turko I.V. et al. // Annu. Rev. Pharmacol. Toxicol. 2001. V. 41. P. 203. https://doi.org/10.1146/annurev.pharmtox.41.1.203
- Webb D.J., Megson I.L. // Expert Opin. Investig. Drugs. 2002. V. 11. P. 587. https://doi.org/10.1038/sj.bjp.0707224
- Bredt D.S. // Mol. Pharmacol. 2003. V. 63. P. 1206. https://doi.org/10.1124/mol.63.6.1206
- McCleverty J.A. // Chem. Rev. 2004. V. 104. P. 403. https://doi.org/10.1021/cr020623q
- Singel D.J., Stamler J.S. // Annu. Rev. Physiol. 2005. V. 67. P. 99. https://doi.org/10.1146/annurev.physiol.67.060603. 090918
- Liu V.W.T., Huang P.L. // Cardiovascular Research. 2008. V. 77. P. 19. https://doi.org/10.1016/j.cardiores.2007.06.024
- Hirst D.G., Robson T. // Curr. Pharm. Des. 2010. V. 16. P. 45. https://doi.org/10.1016/j.redox.2015.07.002
- Toledo J.C., Jr Augusto O. // Chem. Res. Toxicol. 2012. V. 25. P. 975. https://doi.org/10.1021/tx300042g
- Heinrich T.A., da Silva R.S., Miranda K.M. et al. // Br. J. Pharmacol. 2013. V. 169. P. 1417. https://doi.org/10.1111/bph.12217
- Choudhari S.K., Chaudhary M., Bagde S. et al. // World J. Surg. Oncol. 2013. V. 11. P. 118. https://doi.org/10.1186/1477-7819-11-118
- Bondonno C.P., Croft K.D., Hodgson J.M. // Crit. Rev. Food Sci. Nutr. 2015. V. 56. P. 2036. https://doi.org/10.1080/10408398.2013.811212
- Basudhar D., Ridnour L.A., Cheng R. et al. // Coord. Chem. Rev. 2016. V. 306. P. 708.https://doi.org/10.1016/j. ccr.2015.06.001.
- Deppisch C., Herrmann G., Graepler-Mainka U. et al. // Infection. 2016. V. 44. P. 513. PMID: 26861246 https://doi.org/10.1007/s15010-016-0879-x
- Ignarro L.J., Freeman B.A. Nitric Oxide: Biology and Pathobiology. London: Elsevier, 2017. 411 p. https://www.sciencedirect.com/book/9780128042731/ nitric-oxide#book-info
- Kamm A., Przychodzen P., Kuban-Jankowska A. et al. // Nitric Oxide. 2019. V. 93. P. 102. https://doi.org/10.1016/j.niox.2019.09.005
- Lehnert N., Kim E., Dong H.T. et al. // Chem. Rev. 2021. V. 121. P. 14682. https://doi.org/10.1021/acs.chemrev.1c00253
- Алдошин C.М., Санина Н.А. Фундаментальные науки – медицине: Биофизические медицинские технологии. M: МАКС Пресс, 2015. 72 с. https://search.rsl.ru/ru/record/01007915439
- Sanina N.A., Emel’yanova N.S., Chekhlov A.N. et al. // Russ. Chem. Bull. 2010. V. 59. P. 1126. https://doi.org/10.1007/s11172-010-0215-z
- Kozub G.I., Kondratieva T.A., Shilov G.V. et al. // Russ. Chem. Bull. 2023. V. 72. № 3. P. 651. https://doi.org/10.1007/s11172-023-3829-2
- Sanina N.A., Kozub G.I., Zhukova O.S. et al. // J. Coord. Chem. 2013. V. 66. № 20. P. 3602. https://doi.org/10.1080/00958972.2013.848980
- Sanina N.A., Kozub G.I., Kondrat’eva T.A. et al. // J. Coord. Chem. 2021. V. 74. № 4–6. P. 743. https://doi.org/10.1080/00958972.2020.1869222
- Sanina N.A., Kozub G.I., Kondrat’eva T.A. et al. // Russ. Chem. Bull. 2017. V. 66. P. 1706. https://doi.org/10.1007/s11172-017-1944-z
- Kozub G.I., Sanina N.A., Emel’yanova N.S. et al. // Inorg. Chim. Acta. 2018. V. 480. P. 132. https://doi.org/10.1016/j.ica.2018.05.015
- Sanina N.A., Krivenko A.G., Manzhos R.A. et al. // New J. Chem. V. 38. P. 292. https://doi.org/10.1039/C3NJ00704A
- Neshev N.I., Sokolova E.M., Kozub G.I. et al. // Russ. Chem. Bull. 2020. V. 69. P. 1987. https://doi.org/10.1007/s11172-020-2989-y
- Stupina T., Balakina A., Kondrat’eva T. et al. // Sci. Pharm. 2018. V. 86. № 4. P. 46. https://doi.org/10.3390/scipharm86040046
- Mumyatova V.A., Kozub G.I., Kondrat’eva T.A. et al. // Russ. Chem. Bull. 2019. V. 68. № 5. P. 1025. https://doi.org/10.1007/s11172-019-2514-3
- Pokidova O.V., Novikova V.O., Emel’yanova N.S. et al. // Dalton Trans. 2023. V. 52. P. 2641. https://doi.org/10.1039/D2DT04047F
- Sanina N.A., Aldoshin S.M., Rudneva T.N. et al. // Russ. J. Coord. Chem. 2005. V. 31. № 5. P. 301. https://doi.org/10.1007/s11173-005-0093-3
- Weissberger A., Proskauer E., Riddick J.A. et al. // Organic Solvents: Phys. Properties and Methods of Purification. N.Y.: Interscience, 1955. 552 p. https://searchworks.stanford.edu/view/1072486
- Sheldrick G.M. SHELXTL v. 6.14, Structure Determination Software Suite, 2000.
- Cambridge Structural Database. version 5.43 (November, 2022).
- Ignarro L.J., Fukuto J.M., Griscavage J.M. et al. // Proc. Natl. Acad. Sci. U.S.A. 1993. V. 90. P. 8103. https://doi.org/10.1073/pnas.90.17.8103
- Ford P.C., Miranda K.M. // Nitric Oxide. 2020. V. 103 P. 31. https://doi.org/10.1016/j.niox.2020.07.004
- Awad H.H., Stanbury D.M. // Int. J. Chem. Kinet. 1993. V. 25. P. 375. https://doi.org/10.1002/kin.550250506
- Möller M.N., Rios N., Trujillo M. et al. // J. Biol. Chem. 2019. V. 294. № 40. P. 14776. https://doi.org/10.1074/jbc.REV119.006136
- Sanina N.A., Sulimenkov V., Emel’yanova N.S. et al. // Dalton Trans. 2022. V. 51. P. 8893. https://doi.org/10.1039/D2DT01011A
- Rhodes K.A., Schweizer H.P. // Drug Resist Updates. 2016. V. 28. № 9. P. 82. https://doi.org/10.1016/j.drup.2016.07.003
- Chan C., Hardin T.C., Smart J.I. // Future Microbiol. 2015. V. 10. P. 1325. https://doi.org/10.2217/fmb.15.53
- Srinivasan R., Santhakumari S., Poonguzhali P. et al. // Front Microbiol. 2021. V. 12. P. 676458. https://doi.org/10.3389/fmicb.2021.676458
- Hall C.W., Mah T-F. // FEMS Microbiol Rev. 2017. V. 41. № 3. P. 276. https://doi.org/10.1093/femsre/fux010
Supplementary files























