Thermodynamic Characterization of Volatile Alkylamine Boranes as Precursors for the Formation of BCxNy Films
- Authors: Sysoev S.V.1, Sulyaeva V.S.1, Kosinova M.L.1
-
Affiliations:
- Nikolaev Institute of Inorganic Chemistry, Siberian Branch, Russian Academy of Sciences
- Issue: Vol 68, No 2 (2023)
- Pages: 241-247
- Section: ФИЗИКО-ХИМИЧЕСКИЙ АНАЛИЗ НЕОРГАНИЧЕСКИХ СИСТЕМ
- URL: https://journal-vniispk.ru/0044-457X/article/view/136467
- DOI: https://doi.org/10.31857/S0044457X22601535
- EDN: https://elibrary.ru/LPNYDA
- ID: 136467
Cite item
Full Text
Abstract
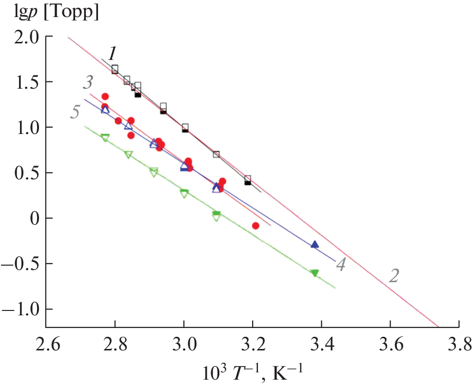
Tensimetric studies were carried out to determine temperature-dependent saturated vapor pressures and calculate thermodynamic characteristics of vaporization for R3N·BH3 (R = Me or Et) alkylamine boranes. These compounds have sufficient volatility and thermal stability to be used as precursors in vapor deposition processes to produce films based on phases of the B–C–N system. Triethylamine borane (TEAB) was used to synthesize boron carbonitride films at 773 and 873 K. The resulting layers were characterized by ellipsometry, atomic force and scanning electron microscopy, FTIR, Raman, and energy dispersive spectroscopies. The conditions for the production of continuous homogeneous films consisting of nanoparticles 20–60 nm in size aggregated into larger pseudohexagonal particles were determined. The surfaces of the films have an average and root mean square roughness, equal to 0.8 and 1.0 nm, respectively.
About the authors
S. V. Sysoev
Nikolaev Institute of Inorganic Chemistry, Siberian Branch, Russian Academy of Sciences
Email: tv@niic.nsc.ru
630090, Novosibirsk, Russia
V. S. Sulyaeva
Nikolaev Institute of Inorganic Chemistry, Siberian Branch, Russian Academy of Sciences
Email: tv@niic.nsc.ru
630090, Novosibirsk, Russia
M. L. Kosinova
Nikolaev Institute of Inorganic Chemistry, Siberian Branch, Russian Academy of Sciences
Author for correspondence.
Email: tv@niic.nsc.ru
630090, Novosibirsk, Russia
References
- Nehate S.D., Saikumar A.K., Prakash A., Sundaram K.B. // Mater. Today Adv. 2020. V. 8. P. 100106. https://doi.org/10.1016/j.mtadv.2020.100106
- Козлов Д.А., Артамонов К.А., Ревенко А.О. и др. // Журн. неорган. химии. 2022. Т. 67. № 5. С. 646. https://doi.org/10.31857/S0044457X22050105
- Puyoo G., Teyssandier F., Pailler R. et al. // Carbon. 2017. V. 122. P. 19. https://doi.org/10.1016/j.carbon.2017.06.024
- Kimura C., Sota H., Aoki H., Sugino T. // Diam. Relat. Mater. 2009. V. 18. P. 478. https://doi.org/10.1016/j.diamond.2008.12.004
- Qin L., Yu J., Kuang S. et al. // Nanoscale. 2012. V. 4. P. 120. https://doi.org/10.1039/c1nr11387a
- Kumar N., Raidongia K., Mishra A.K. et al. // J. Solid State Chem. 2011. V. 184. P. 2902. https://doi.org/10.1016/j.jssc.2011.08.034
- Bai X.D., Yu J., Liu S., Wang E.G. // Chem. Phys. Lett. 2000. V. 325. P. 485.
- Суляева В.С., Кеслер В.Г., Косинова М.Л. // Журн. структур. химии. 2021. Т. 62. С. 1736. https://doi.org/10.26902/JSC_id87084
- Zhou X., Zhang L., Zhang X. et al. // Appl. Surf. Sci. 2022. V. 583. P. 152502. https://doi.org/10.1016/j.apsusc.2022.152502
- Seo T.H., Lee W., Lee K.S. et al. // Carbon. 2021. V. 182. P. 791. https://doi.org/10.1016/j.carbon.2021.06.080
- Katsuia H., Harada K., Kondo N., Hotta M. // Surf. Coat. Technol. 2020. V. 394. P. 125851. https://doi.org/10.1016/j.surfcoat.2020.125851
- Souqui L., Palisaitis J., Hogberg H., Pedersen H. // J. Mater. Chem. C. 2020. V. 8. P. 4112. https://doi.org/10.1039/d0tc00616e
- Волков В.В., Мякишев К.Г. // Изв СО АН СССР. Cер. хим. наук. 1989. № 1. P. 23.
- Chemical vapour deposition. Precursors, processes and application / Ed. Jones A.C., Hitchman M.L. RSC Publishing, 2009. 582 p.
- Жерикова К.В., Макаренко А.М., Караковская К.И. и др. // Жур. общ. химии. 2021. Т. 91. № 10. С. 1479. https://doi.org/10.31857/S0044460X21100103
- Суворов А.В. Термодинамическая химия парообразного состояния. Л.: Химия, 1970.
- Vikulova E.S., Zhericova K.V., Sysoev S.V. et al. // J. Therm. Anal. Calorim. 2019. V. 137. P. 923. https://doi.org/10.1007/s10973-018-07991-y
- Сысоев С.В., Мареев А.В., Цырендоржиева И.П. и др. // Журн. общ. химии. 2021. Т. 91. С. 1511. https://doi.org/10.31857/S0044460X2110005X
- Kosinova M.L., Fainer N.I., Rumyantsev Yu.M. et al. // J. Phys. IV. France. 1999. V. 9. P. 8.
- Alton E.R., Brown R.D., Carter J.C., Taylor R.C. // J. Am. Chem. Soc. 1959. V. 81. P. 3550.
- Титов В.А., Коковин Г.А. // Математика в химической термодинамике. Сб. науч. тр. Новосибирск: Наука, 1980. С. 98.
- Brame E.G., Margrave J.L., Meloche V.W. // J. Inorg. Nucl. Chem. 1957. V. 5. P. 48.
- Rozenberg A.S., Sinenko Y.A., Chukanov N.V. // J. Mater. Sci. 1993. V. 28. P. 5675.
- Tolstoy V.P., Chernyshova I.V., Skryshevsky V.A. Handbook of infrared spectroscopy of ultrathin films. Hoboken: John Wiley & Sons, 2003. 710 p.
- Werheit H., Aupt H.H. // Z. Naturforsch. 1987. V. 42a. P. 925.
- Shirai K., Emura S., Gonda S.I., Kumashiro Y. // J. Appl. Phys. 1995. V. 78. P. 3392.
- Shin W.G., Calder S., Ugurlu O., Girshick S.L. // J. Nanoparticle Res. 2011. V. 13. P. 7187.
- Essafti A., Ech-chamikh E., Azizan M. // Spectrosc. Lett. 2008. V. 41. P. 57. https://doi.org/10.1080/00387010801938228
- Tallant D.R., Aselage T.L., Campbell A.N., Emin D. // Phys. Rev. B. 1989. V. 40. P. 5649. https://doi.org/10.1103/PhysRevB.40.5649
Supplementary files





