Controlling the Degree of Substitution of Lanthanides in Anionic Positions in Complexes [CeNi6(Ala)12][(LnxCe1 – x)(NO3)3(OH)3(H2O)]
- Authors: Semeshkina D.D.1, Belousov Y.A.1,2, Savarets A.R.1,3, Berekchiyan M.V.1, Dolzhenko V.D.1,3
-
Affiliations:
- Moscow State University
- Lebedev Physical Institute, Russian Academy of Sciences
- Zelinsky Institute of Organic Chemistry, Russian Academy of Sciences
- Issue: Vol 68, No 9 (2023)
- Pages: 1303-1311
- Section: КООРДИНАЦИОННЫЕ СОЕДИНЕНИЯ
- URL: https://journal-vniispk.ru/0044-457X/article/view/136499
- DOI: https://doi.org/10.31857/S0044457X23601141
- EDN: https://elibrary.ru/WNIPAX
- ID: 136499
Cite item
Full Text
Abstract
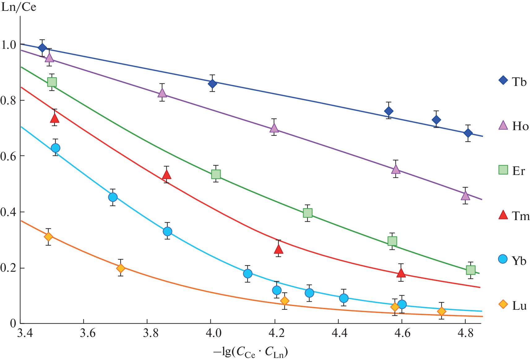
A series of 32 heterometallic ionic complexes [CeNi6(Ala)12][(LnxCe1 – x)(NO3)3(OH)3(H2O)] (Ln = Tb, Ho, Er, Tm, Yb, Lu) have been synthesized and characterized by XRD and IPC-MS. The dependence of the degree of substitution of lanthanides in the anionic position on the nature of Ln3+ and precipitation conditions has been determined. The processes occurring during the formation of the complexes have been studied by UV-Vis, diffuse reflectance electronic spectroscopy, and ICP-MS. Based on these data, a model of equilibria in the system was proposed to explain the increase in the degree of substitution of Ln in the anionic position in the lanthanide series and with a decrease in the concentration of Ce and Ln in the solution from which precipitation is performed.
About the authors
D. D. Semeshkina
Moscow State University
Email: semeshkina.d@gmail.com
119991, Moscow, Russia
Yu. A. Belousov
Moscow State University; Lebedev Physical Institute, Russian Academy of Sciences
Email: semeshkina.d@gmail.com
119991, Moscow, Russia; 119991, Moscow, Russia
A. R. Savarets
Moscow State University; Zelinsky Institute of Organic Chemistry, Russian Academy of Sciences
Email: semeshkina.d@gmail.com
119991, Moscow, Russia; 119991, Moscow, Russia
M. V. Berekchiyan
Moscow State University
Email: semeshkina.d@gmail.com
119991, Moscow, Russia
V. D. Dolzhenko
Moscow State University; Zelinsky Institute of Organic Chemistry, Russian Academy of Sciences
Author for correspondence.
Email: semeshkina.d@gmail.com
119991, Moscow, Russia; 119991, Moscow, Russia
References
- Gontcharenko V.E., Lunev A.M., Taydakov I.V. et al. // IEEE Sens. J. 2019. V. 19. № 17. P. 7365. https://doi.org/10.1109/JSEN.2019.2916498
- Lunev A.M., Belousov Y.A. // Russ. Chem. Bull. 2022. V. 71. № 5. P. 825. https://doi.org/10.1007/S11172-022-3485-3
- Kordeyro Magrino D.A., Korshunov V.M., Lyssenko K.A. et al. // Inorg. Chim. Acta. 2020. V. 510. P. 119764. https://doi.org/10.1016/J.ICA.2020.119764
- Taydakov I.V., Korshunov V.M., Belousov Y.A. et al. // Inorg. Chim. Acta. 2020. V. 513. P. 119922. https://doi.org/10.1016/J.ICA.2020.119922
- Pettinari C., Marchetti F., Pettinari R. et al. // Dalton Trans. 2015. V. 44. № 33. P. 14887. https://doi.org/10.1039/C5DT01964H
- Pan Z.H., Weng Z.Z., Kong X.J. et al. // Coord. Chem. Rev. 2022. V. 457. P. 214419. https://doi.org/10.1016/j.ccr.2022.214419
- Ferreira A.C., Martinho J.F., Branco J.B. // ChemCatChem. 2022. V. 14. № 7. P. 1. https://doi.org/10.1002/cctc.202101548
- Bell D.J., Natrajan L.S., Riddell I.A. // Coord. Chem. Rev. 2022. V. 472. P. 214786. https://doi.org/10.1016/j.ccr.2022.214786
- Zhu C., Zhou Y., Yang J. et al. // Org. Chem. Front. 2023. V. 10. № 5. P. 1263. https://doi.org/10.1039/d2qo01930b
- Moinet E.C., Wolf B.M., Tardif O. et al. // Angew. Chem. Int. Ed. 2023. V. 62. P. e202219316. https://doi.org/10.1002/anie.202219316
- Xie Y., Song Y., Sun G. et al. // Light Sci. Appl. 2022. V. 11. № 1. P. 813. https://doi.org/10.1038/s41377-022-00813-9
- Jobin F., Paradis P., Aydin Y.O. et al. // Opt. Express. 2022. V. 30. № 6. P. 8615. https://doi.org/10.1364/oe.450929
- Belousov Y.A., Drozdov A.A., Taydakov I.V. et al. // Coord. Chem. Rev. 2021. V. 445. P. 214084. https://doi.org/10.1016/J.CCR.2021.214084
- Barkanov A., Zakharova A., Vlasova T. et al. // J. Mater. Sci. 2022. V. 57. № 18. P. 8393.
- Ilmi R., Zhang D., Tensi L. et al. // Dye. Pigment. 2022. V. 203. P. 300. https://doi.org/10.1016/j.dyepig.2022.110300
- Metlina D.A., Goryachii D.O., Metlin M.T. et al. // Materials (Basel). 2023. V. 16. № 3. P. 31243. https://doi.org/10.3390/ma16031243
- Galland M., Le Bahers T., Banyasz A. et al. // Chem. – A Eur. J. 2019. V. 25. № 38. P. 9026. https://doi.org/10.1002/chem.201901047
- Dasari S., Singh S., Sivakumar S. et al. // Chem. – A Eur. J. 2016. V. 22. № 48. P. 17387. https://doi.org/10.1002/chem.201603453
- Xie C., Chau H.F., Zhang J.X. et al. // Adv. Ther. 2019. V. 2. № 11. P. 1900068. https://doi.org/10.1002/adtp.201900068
- Cabral Campello M.P., Palma E., Correia I. et al. // Dalton Trans. 2019. V. 48. № 14. P. 4611. https://doi.org/10.1039/c9dt00640k
- Liu Y.C., Chen Z.F., Song X.Y. et al. // Eur. J. Med. Chem. 2013. V. 59. P. 168. https://doi.org/10.1016/j.ejmech.2012.11.001
- Kwong W.L., Wai-Yin Sun R., Lok C.N. et al. // Chem. Sci. 2013. V. 4. № 2. P. 747. https://doi.org/10.1039/c2sc21541a
- Li H., Xie C., Lan R. et al. // J. Med. Chem. 2017. V. 60. № 21. P. 8923. https://doi.org/10.1021/acs.jmedchem.7b01162
- Li H., Lan R., Chan C.F. et al. // Chem. Commun. 2015. V. 51. № 74. P. 14022. https://doi.org/10.1039/c5cc05461c
- Li H., Harriss B.I., Phinikaridou A. et al. // Nanotheranostics. 2017. V. 1. № 2. P. 186. https://doi.org/10.7150/ntno.18619
- Chandra A., Singh K., Singh S. et al. // Dalton Trans. 2016. V. 45. № 2. P. 494. https://doi.org/10.1039/c5dt04470g
- Moore E.G., Samuel A.P.S., Raymond K.N. // Acc. Chem. Res. 2009. V. 42. № 4. P. 542. https://doi.org/10.1021/ar800211j
- Kanal E. // Magn. Reson. Imaging. 2016. V. 34. № 10. P. 1341. https://doi.org/10.1016/j.mri.2016.08.017
- Bellin M.F., Van Der Molen A.J. // Eur. J. Radiol. 2008. V. 66. № 2. P. 160. https://doi.org/10.1016/j.ejrad.2008.01.023
- Goodwin C.A.P., Ortu F., Reta D. et al. // Nature. 2017. V. 548. № 7668. P. 439. https://doi.org/10.1038/nature23447
- Guo F.S., Day B.M., Chen Y.C. et al. // Angew. Chem. Int. Ed. 2017. V. 56. № 38. P. 11445. https://doi.org/10.1002/anie.201705426
- Rosado Piquer L., Sañudo E.C. // Dalton Trans. 2015. V. 44. № 19. P. 8771. https://doi.org/10.1039/c5dt00549c
- Chen J.T., Yan H., Wang T.T. et al. // Inorg. Chem. 2022. V. 61. № 48. P. 19097. https://doi.org/10.1021/acs.inorgchem.2c02474
- Georgiev M., Chamati H. // ACS Omega. 2022. V. 7. № 47. P. 42664. https://doi.org/10.1021/acsomega.2c06119
- Liu C.M., Sun R., Wang B.W. et al. // Inorg. Chem. 2022. V. 61. № 46. P. 18510. https://doi.org/10.1021/acs.inorgchem.2c02743
- Mautner F.A., Bierbaumer F., Fischer R.C. et al. // Inorg. Chem. 2022. V. 61. № 29. P. 11124. https://doi.org/10.1021/acs.inorgchem.2c00958
- Canaj A.B., Kakaroni F., Collet A. et al. // Polyhedron. 2018. V. 151. P. 1. https://doi.org/10.1016/j.poly.2018.05.005
- Stavgianoudaki N., Siczek M., Lis T. et al. // Chem. Commun. 2016. V. 52. № 2. P. 343. https://doi.org/10.1039/c5cc07243c
- Peristeraki T., Samios M., Siczek M. et al. // Inorg. Chem. 2011. V. 50. № 11. P. 5175. https://doi.org/10.1021/ic2004744
- Hosoi A., Yukawa Y., Igarashi S. et al. // Chem. – A Eur. J. 2011. V. 17. № 30. P. 8264. https://doi.org/10.1002/chem.201100769
- Yukawa Y., Aromí G., Igarashi S. et al. // Angew. Chem. Int. Ed. 2005. V. 44. № 13. P. 1997. https://doi.org/10.1002/anie.200462401
- Kong X.J., Ren Y.P., Long L.S. et al. // J. Am. Chem. Soc. 2007. V. 129. № 22. P. 7016. https://doi.org/10.1021/ja0726198
- Sopasis G.J., Orfanoudaki M., Zarmpas P. et al. // Inorg. Chem. 2012. V. 51. № 2. P. 1170. https://doi.org/10.1021/ic2024007
- Bezzubov S.I., Bilyalova A.A., Zharinova I.S. et al. // Russ. J. Inorg. Chem. 2017. V. 62. № 9. P. 1197. https://doi.org/10.1134/S0036023617090030
- Bezzubov S.I., Churakov A.V., Belousov Y.A. et al. // Cryst. Growth Des. 2017. V. 17. № 3. P. 1166. https://doi.org/10.1021/acs.cgd.6b01563
- Du W.X., Zhang J.J., Hu S.M. et al. // J. Mol. Struct. 2004. V. 701. № 1–3. P. 25. https://doi.org/10.1016/j.molstruc.2004.05.011
- Liu Q.De, Gao S., Li J.R. et al. // Inorg. Chem. 2000. V. 39. № 12. P. 2488. https://doi.org/10.1021/ic990860k
- Liu Q.De, Li J.R., Gao S. et al. // Eur. J. Inorg. Chem. 2003. № 4. P. 731. https://doi.org/10.1002/ejic.200390101
- Sopasis G.J., Canaj A.B., Philippidis A. et al. // Inorg. Chem. 2012. V. 51. № 10. P. 5911. https://doi.org/10.1021/ic300538q
- Igarashi S., Hoshino Y., Masuda Y. et al. // Inorg. Chem. 2000. V. 39. № 12. P. 2509. https://doi.org/10.1021/ic991027q
- Zhang J.J., Hu S.M., Xiang S.C. et al. // J. Mol. Struct. 2005. V. 748. № 1–3. P. 129. https://doi.org/10.1016/j.molstruc.2005.03.021
- Komiyama T., Igarashi S., Hoshino Y. et al. // Chem. Lett. 2005. V. 34. № 3. P. 300. https://doi.org/10.1246/cl.2005.300
- Khatib A., Aqra F. // Bull. Korean Chem. Soc. 2009. V. 30. № 9. P. 2017. https://doi.org/10.5012/bkcs.2009.30.9.2017
Supplementary files












