Спиновая селективность проводимости золотых нанотрубок по данным метода цилиндрических волн
- Авторы: Дьячков П.Н.1, Дьячков Е.П.1
-
Учреждения:
- Институт общей и неорганической химии им. Н.С. Курнакова РАН
- Выпуск: Том 68, № 10 (2023)
- Страницы: 1447-1453
- Раздел: ТЕОРЕТИЧЕСКАЯ НЕОРГАНИЧЕСКАЯ ХИМИЯ
- URL: https://journal-vniispk.ru/0044-457X/article/view/140310
- DOI: https://doi.org/10.31857/S0044457X23600809
- EDN: https://elibrary.ru/YSATHS
- ID: 140310
Цитировать
Полный текст
Аннотация
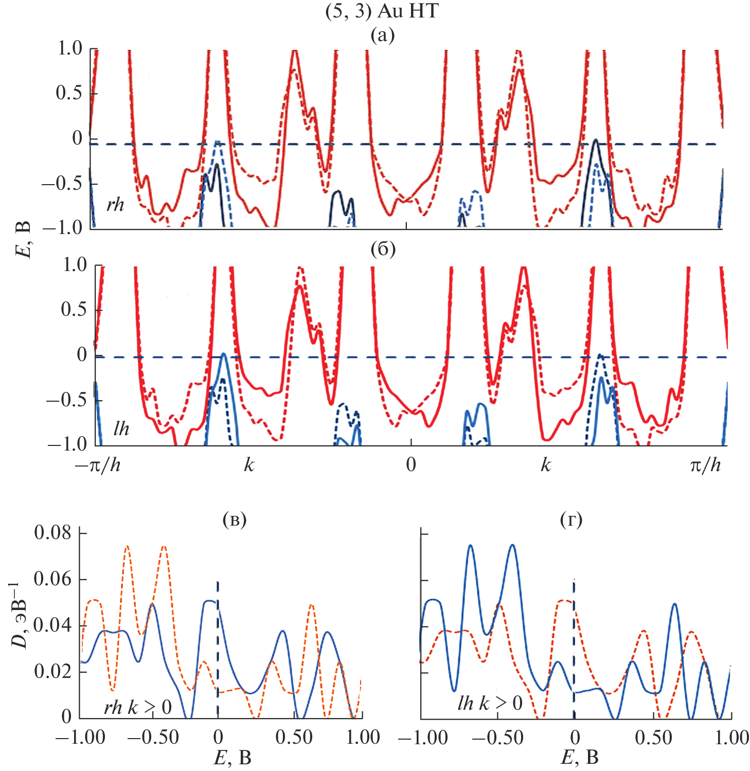
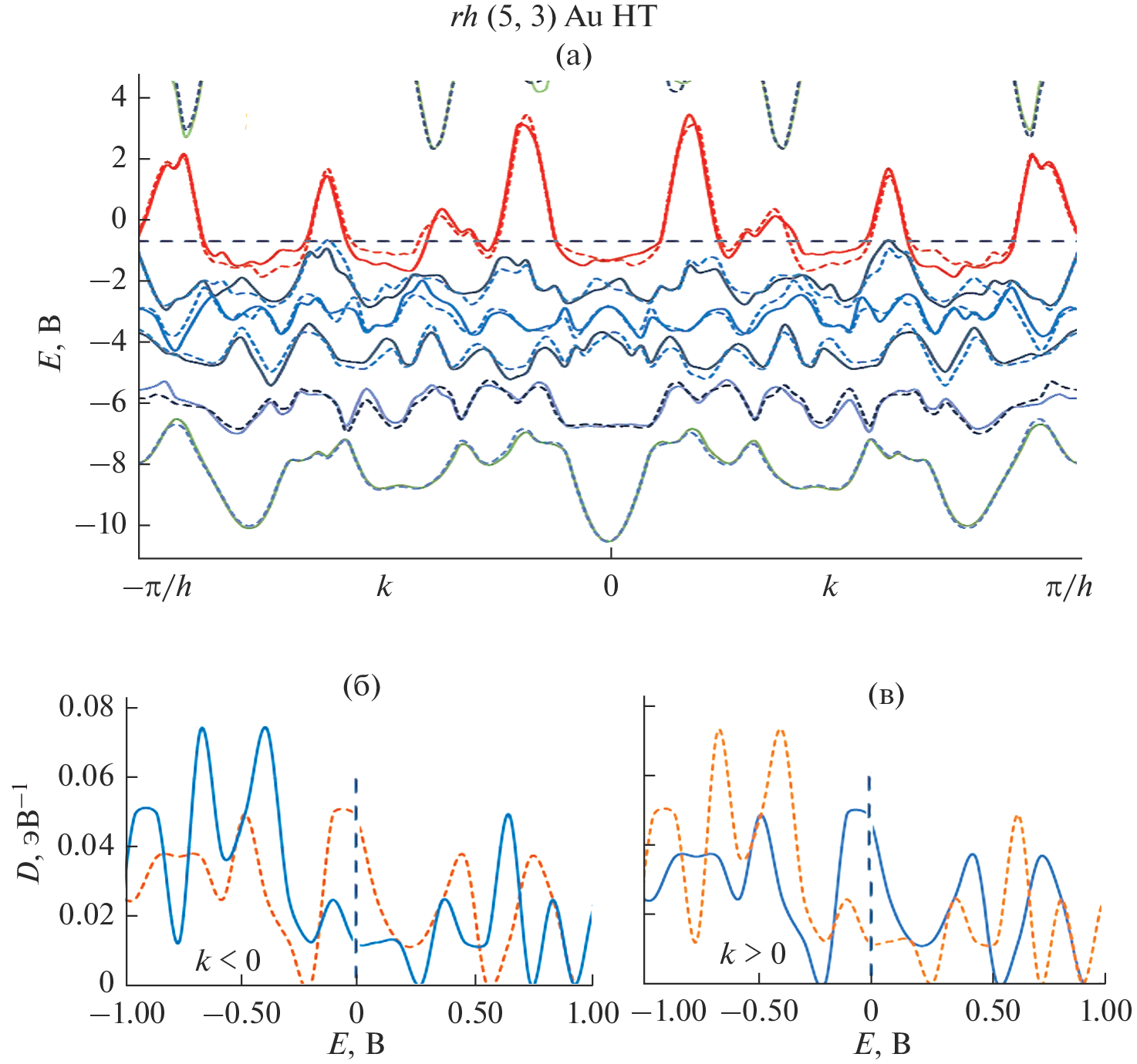
С помощью метода цилиндрических волн с учетом эффектов спин-орбитального взаимодействия рассчитана зонная структура двух рядов хиральных одностенных золотых нанотрубок (5, n2) и (10, n2). Выявлены соединения с высокой спиновой поляризуемостью электронного строения и спиновой селективностью проводимости. Они могут быть использованы в качестве материалов для создания элементов молекулярной спинтроники.
Об авторах
П. Н. Дьячков
Институт общей и неорганической химии им. Н.С. Курнакова РАН
Email: p_dyachkov@rambler.ru
Россия, 119991, Москва,
Ленинский пр-т, 31
Е. П. Дьячков
Институт общей и неорганической химии им. Н.С. Курнакова РАН
Автор, ответственный за переписку.
Email: p_dyachkov@rambler.ru
Россия, 119991, Москва,
Ленинский пр-т, 31
Список литературы
- Kondo Y. // Science. 2000. V. 289. P. 606. https://doi.org/10.1126/science.289.5479.606
- Oshima Y., Onga A., Takayanagi K. // Phys. Rev. Lett. 2003. V. 91. P. 205503. https://doi.org/10.1103/PhysRevLett.91.205503
- Bridges C.R., DiCarmine P.M., Fokina A. et al. // J. Mater. Chem. A. 2013. V. 1. P. 1127. https://doi.org/10.1103/PhysRevLett.91.205503
- Hendren W.R., Murphy A., Evans P. et al. // J. Phys.: Condens. Matter. 2008. V. 20. P. 362203. https://doi.org/10.1088/0953-8984/20/36/362203
- Wang H.W., Shieh C.F., Chen H.Y. et al. // Nanotechnology. 2006. V. 17. P. 2689. https://doi.org/10.1088/0957-4484/17/10/041
- Bridges C.R., DiCarmine P.M., Seferos D.S. // Chem. Mater. 2012. V. 24. P. 965. https://doi.org/10.1021/cm203184d
- Shamraiz U., Raza B., Hussain H. et al. // Int. Mater. Rev. 2018. V. 64. P. 1743. https://doi.org/10.1080/09506608.2018.1554991
- Kohl J., Fireman M., O’Carroll D.M. // Phys. Rev. B. 2011. V. 84. P. 235118. https://doi.org/10.1103/PhysRevB.84.235118
- Wang J., Zhang C., Zhang J. et al. // Adv. Opt. Mater. 2017. V. 5. P. 1600731. https://doi.org/10.1002/adom.201600731
- Ye S., Marston G., McLaughlan J.R. et al. // Adv. Funct. Mater. 2015. V. 25. P. 2117. https://doi.org/10.1002/adfm.201404358
- Ye S., Marston G., Markham A.F. et al. // J. Phys.: Conf. Ser. 2019. V. 1151. P. 012018. https://doi.org/10.1088/1742-6596/1151/1/012018
- Navyatha B., Kumar R., Nara S.A. // J. Environ. Chem. Eng. 2016. V. 4. P. 924. https://doi.org/10.1016/j.jece.2015.12.033
- Oshima Y., Mouri K., Hirayama H. et al. // J. Phys. Soc. Jpn. 2006. V. 75. P. 053705. https://doi.org/10.1143/jpsj.75.053705
- Del Valle M., Tejedor C., Cuniberti G. // Phys. Rev. B. 2006. V. 74. P. 045408. https://doi.org/10.1103/PhysRevB.74.045408
- Manrique D.Zs., Cserti J., Lambert C.J. // Phys. Rev. B. 2010. V. 81. P. 073103. https://doi.org/10.1103/PhysRevB.81.073103
- D’yachkov E.P., D’yachkov P.N. // J. Phys. Chem. C. 2019. V. 123. P. 26005. https://doi.org/10.1021/acs.jpcc.9b07610
- D’yachkov P.N. // Chem. Phys. Lett. 2020. V. 752. P. 137542. https://doi.org/10.1016/j.cplett.2020.137542
- D'yachkov P.N. // Chem. Phys. Lett. 2021. V. 782. P. 139032. https://doi.org/10.1016/j.cplett.2021.139032
- Yang S.H. // Appl. Phys. Lett. 2021. V. 16. P. 120502. https://doi.org/10.1063/5.0039147
- Yang S.H., Naaman R., Paltiel Y. et al. // Nat. Rev. Phys. 2021. V. 3. P. 328. https://doi.org/10.1038/s42254-021-00302-9
- Michaeli K., Kantor-Uriel N., Naamanm R. et al. // Chem. Soc. Rev. 2016. V. 45. P. 6478. https://doi.org/10.1039/C6CS00369A
- Bercioux D., Lucignano P. // Rep. Prog. Phys. 2015. V. 78. P. 106001. https://doi.org/10.1088/0034-4885/78/10/106001
- Naaman R., Waldeck D.H. // Annu. Rev. Phys. Chem. 2015. V. 66. P. 263. https://doi.org/10.1146/annurev-physchem-040214-121554
- Waldeck D.H., Naaman R., Paltiel Y. // APL Mater. 2021. V. 9. P. 040902. https://doi.org/10.1063/5.0049150
- Yeom J. // Acc. Mater. Res. 2021. V. 2. P. 471. https://doi.org/10.1021/accountsmr.1c00059
- Yang X., van der Wal C.H., van Wees B.J. // Nano Lett. 2020. V. 20. P. 6148. https://doi.org/10.1021/acs.nanolett.0c02417
- Yeganeh S., Ratner M.A., Medina E. et al. // J. Chem. Phys. 2009. V. 131. P. 014707. https://doi.org/10.1063/1.3167404
- Gutierrez R., Díaz E., Naaman R. et al. // Phys. Rev. B. 2012. V. 85. P. 081404. https://doi.org/10.1103/PhysRevB.85.081404
- Gutierrez R., D́ıaz E., Gau C. et al. // J. Phys. Chem. C. 2013. V. 117. P. 22276. https://doi.org/10.1021/jp401705x
- Eremko A.A., Loktev V.M. // Phys. Rev. B. 2013. V. 88. P. 165409. https://doi.org/10.1103/PhysRevB.88.165409
- Yang X., van der Wal C.H., van Wees B.J. // Phys. Rev. B. 2019. V. 99. P. 024418. https://doi.org/10.1103/PhysRevB.99.024418
- Dalum S., Hedegård P. // Nano Lett. 2019. V. 19. P. 5253. https://doi.org/10.1021/acs.nanolett.9b01707
- Rahman W., Firouzeh S., Mujica V. et al. // ACS Nano. 2020. V. 14. P. 3389. https://doi.org/10.1021/acsnano.9b09267
- Ghazaryan A., Paltie Y., Lemeshko M. // J. Phys. Chem. C. 2020. V. 124. P. 11716. https://doi.org/10.1021/acs.jpcc.0c02584
- D’yachkov P.N., Lomakin N.A. // Russ. J. Inorg. Chem. 2023. V. 68. № 4. P. 424. https://doi.org/10.1134/S0036023622602823
- D’yachkov E.P., Lomakin N.A., D’yachkov P.N. // Russ. J. Inorg. Chem. 2023. V. 68. № 7.
- D’yachkov P.N. Quantum chemistry of nanotubes: electronic cylindrical waves. 2019. London: CRC Press, Taylor and Francis, 212 p.
- Shih P-H., Gumbs G., Huang D. et al. // J. Appl. Phys. 2022. V. 132. P. 154302. https://doi.org/10.1063/5.0107527
- Manchon A., Koo H.C., Nitta J. et al. // Nat. Mater. 2015. V. 14. P. 871. https://doi.org/10.1038/nmat4360
- Craighead H.G. Science. 2000. V. 290. P. 1532. https://doi.org/10.1126/science.290.5496.1532
- D’yachkov P.N., D’yachkov E.P. // Russ. J. Inorg. Chem. 2020. V. 65. P. 1196. https://doi.org/10.1134/S0036023620070074
Дополнительные файлы








