Синтез и ионная проводимость сложных фосфатов Li1 + xTi1.8 – xFexGe0.2(PO4)3 со структурой NASICON
- Авторы: Стенина И.А.1, Таранченко Е.О.1,2, Ильин А.Б.1, Ярославцев А.Б.1
-
Учреждения:
- Институт общей и неорганической химии им. Н.С. Курнакова РАН
- Национальный исследовательский университет Высшая школа экономики, Факультет химии
- Выпуск: Том 68, № 12 (2023)
- Страницы: 1683-1690
- Раздел: СИНТЕЗ И СВОЙСТВА НЕОРГАНИЧЕСКИХ СОЕДИНЕНИЙ
- URL: https://journal-vniispk.ru/0044-457X/article/view/231652
- DOI: https://doi.org/10.31857/S0044457X23601360
- EDN: https://elibrary.ru/ZULLGO
- ID: 231652
Цитировать
Полный текст
Аннотация
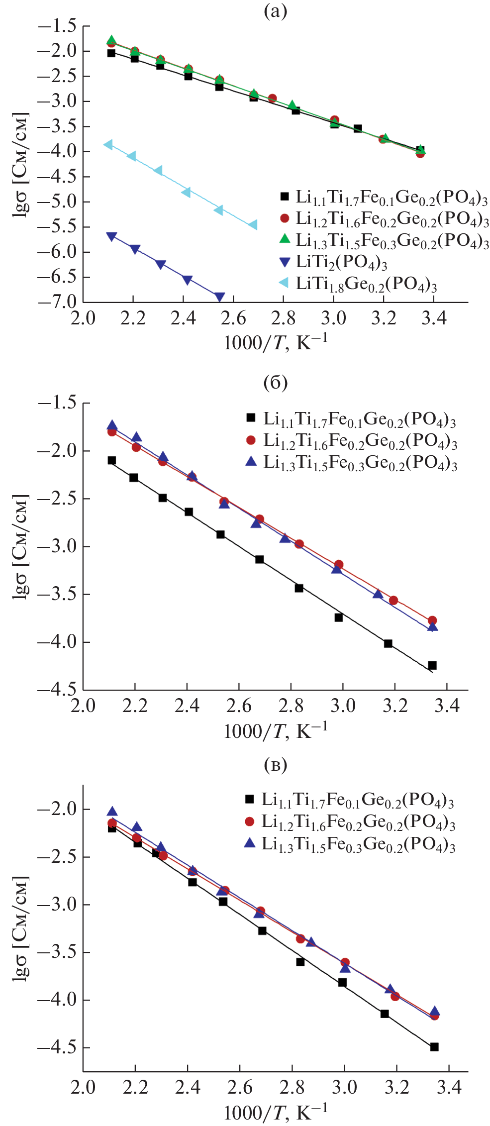
Впервые получены и исследованы фосфаты Li1 + xTi1.8 – xFexGe0.2(PO4)3 (х = 0.1–0.3) со структурой NASICON. Показано, что содопирование германием и железом приводит к существенному повышению ионной проводимости полученных материалов при малых степенях замещения. Исследовано влияние метода синтеза (твердофазный и золь-гель), а также условий обработки прекурсора на ионную проводимость образцов. Подобраны оптимальные условия механической обработки прекурсора для получения керамики с наибольшей проводимостью. Максимальную величину ионной проводимости при комнатной температуре (1.7 × 10–4 См/см) среди всех образцов демонстрирует Li1.2Ti1.6Fe0.2Ge0.2(PO4)3, полученный твердофазным методом.
Ключевые слова
Об авторах
И. А. Стенина
Институт общей и неорганической химии им. Н.С. Курнакова РАН
Email: stenina@igic.ras.ru
Россия, 119991, Москва, Ленинский пр-т, 31
Е. О. Таранченко
Институт общей и неорганической химии им. Н.С. Курнакова РАН; Национальный исследовательский университет Высшая школа экономики,Факультет химии
Email: stenina@igic.ras.ru
Россия, 119991, Москва, Ленинский пр-т, 31; Россия, 117312, Москва, ул. Вавилова, 7
А. Б. Ильин
Институт общей и неорганической химии им. Н.С. Курнакова РАН
Email: stenina@igic.ras.ru
Россия, 119991, Москва, Ленинский пр-т, 31
А. Б. Ярославцев
Институт общей и неорганической химии им. Н.С. Курнакова РАН
Автор, ответственный за переписку.
Email: stenina@igic.ras.ru
Россия, 119991, Москва, Ленинский пр-т, 31
Список литературы
- Manthiram A., Yu X., Wang S. // Nat. Rev. Mater. 2017. V. 2. P. 16103. https://doi.org/10.1038/natrevmats.2016.103
- Zheng F., Kotobuki M., Song S. et al. // J. Power Sources. 2018. V. 389. P. 198. https://doi.org/10.1016/j.jpowsour.2018.04.022
- Chinnam P.R., Clymer R.N., Jalil A.A. et al. // Chem. Mater. 2015. V. 27. P. 5479. https://doi.org/10.1021/acs.chemmater.5b00940
- Li Q., Chen J., Fan L. et al. // Green Energy Environ. 2016. V. 1. P. 18. https://doi.org/10.1016/j.gee.2016.04.006
- Gao Z., Sun H., Fu L. et al. // Adv. Mater. 2018. V. 30. P. 1705702. https://doi.org/10.1002/adma.201705702
- Prakash P., Fall B., Aguirre J. et al. // Nat. Mater. 2023. V. 22. P. 627. https://doi.org/10.1038/s41563-023-01508-1
- Hou M., Liang F., Chen K. et al. // Nanotechnol. 2020. V. 31. P. 132003. https://doi.org/10.1088/1361-6528/ab5be7
- Hossain E., Faruque H., Sunny M. et al. // Energies. 2020. V. 13. P. 3651. https://doi.org/10.3390/en13143651
- Voropaeva D.Yu., Safronova E.Yu., Novikova S.A. et al. // Mendeleev Commun. 2022. V. 32. P. 287. https://doi.org/10.1016/j.mencom.2022.05.001
- Zhang C., Wei Y.-L., Cao P.-F. et al. // Renew. Sustain Energy Rev. 2018. V. 82. P. 3091. https://doi.org/10.1016/j.rser.2017.10.030
- Wang L., Li J., Lu G. et al. // Front. Mater. 2020. V. 7. P. 111. https://doi.org/10.3389/fmats.2020.00111
- Duan H., Oluwatemitope F., Wu S. et al. // ACS Appl. Mater. Interfaces. 2020. V. 12. P. 52271. https://doi.org/10.1021/acsami.0c16966
- Subramanian K., Alexander G.V., Karthik K. et al. // J. Energy Storage. 2021. V. 33. P. 102157. https://doi.org/10.1016/j.est.2020.102157
- Bachman J.C., Muy S., Grimaud A. et al. // Chem. Rev. 2016. V. 116. P. 140.https://doi.org/10.1021/acs.chemrev.5b00563
- Куншина Г.Б., Бочарова И.В., Щербина О.Б. // Неорган. материалы. 2022. Т. 58. С. 155.
- Stenina I.A., Pinus I.Yu., Rebrov A.I. et al. // Solid State Ionics. 2004. V. 175. № 1–4. P. 445. https://doi.org/10.1016/j.ssi.2003.12.037
- Fang Y., Zhang J., Xiao L. et al. // Adv. Sci. 2017. V. 4. P. 1600392. https://doi.org/10.1002/advs.201600392
- Thirupathi R., Kumari V., Chakrabarty S. et al. // Progr. Mater. Sci. 2023. V. 137. P. 101128. https://doi.org/10.1016/j.pmatsci.2023.101128
- Aono H., Sugimoto E., Sadaoka Y. et al. // J. Electrochem. Soc. 1990. V. 137. P. 1023. https://doi.org/10.1149/1.2086597
- Kahlaoui R., Arbi K., Sobrados I. et al. // Inorg. Chem. 2017. V. 56. P. 1216. https://doi.org/10.1021/acs.inorgchem.6b02274
- Arbi K., Lazarraga M.G., Chehimi D.B.H. et al. // Chem. Mater. 2004. V. 16. P. 255. https://doi.org/10.1021/cm030422i
- Свитанько А.И., Новикова С.А., Стенина И.А. и др. // Неорган. материалы. 2014. Т. 50. С. 295. [Svitan’ko A.I., Novikova S.A., Stenina I.A. et al. // Inorg. Mater. 2014. V. 50. P. 273.] https://doi.org/10.1134/S0020168514030145
- Куншина Г.Б., Громов О.Г., Локшин Э.П., Калинников В.Т. // Журн. неорган. химии. 2014. Т. 59. С. 589. https://doi.org/10.7868/S0044457X14050122
- Xiao W., Wang J., Fan L. et al. // Energy Storage Mater. 2019. V. 19. P. 379. https://doi.org/10.1016/j.ensm.2018.10.012
- Perez-Estebanez M., Isasi-Marin J., Tobbens D.M. et al. // Solid State Ionics. 2014. V. 266. P. 1. https://doi.org/10.1016/j.ssi.2014.07.018
- Zhang P., Matsui M., Hirano A. et al. // Solid State Ionics. 2013. V. 253. P. 175. https://doi.org/10.1016/j.ssi.2013.09.022
- Stenina I., Pyrkova A., Yaroslavtsev A. // Batteries. 2023. V. 9. № 1. P. 59. https://doi.org/10.3390/batteries9010059
- Safanama D., Adams S. // J. Power Sources. 2017. V. 340. P. 294. https://doi.org/10.1016/j.jpowsour.2016.11.076
- Rettenwander D., Welzl A., Pristat S. et al. // J. Mater. Chem. A. 2016. V. 4. P. 1506. https://doi.org/10.1039/C5TA08545D
- Wu P., Zhou W., Su X. et al. // Adv. Energy Mater. 2023. V. 13. P. 2203440. https://doi.org/10.1002/aenm.202203440
- Медведева А.Е., Махонина Е.В., Печень Л.С. и др. // Журн. неорган. химии. 2022. Т. 67. С. 896. https://doi.org/10.31857/S0044457X22070157
- Лапшин О.В., Болдырева Е.В., Болдырев В.В. // Журн. неорган. химии. 2021. Т. 66. С. 402. https://doi.org/10.31857/S0044457X21030119
- Yaroslavtsev A.B. // Solid State Ionics. 2005. V. 176. P. 2935. https://doi.org/10.1016/j.ssi.2005.09.025
- DeWees R., Wang H. // ChemSusChem. 2019. V. 12. P. 3713. https://doi.org/10.1002/cssc.201900725
- Paolella A., Zhu W., Campanella D. et al. // Curr. Opin. Electrochem. 2022. V. 36. P. 101108. https://doi.org/10.1016/j.coelec.2022.101108
- Курзина Е.А., Стенина И. А., Dalvi А. и др. // Неорган. Материалы. 2021. Т. 57. № 10. С. 1094. https://doi.org/10.31857/S0002337X21100079
- Yaroslavtsev A., Stenina I. // Russ. J. Inorg. Chem. 2006. V. 51. Suppl. 1. P. S97. https://doi.org/10.1134/S0036023606130043






