Порфириновые комплексы благородных металлов. Интермедиаты каталитических процессов (обзор)
- Авторы: Тюляева Е.Ю.1
-
Учреждения:
- Институт химии растворов им. Г.А. Крестова РАН
- Выпуск: Том 68, № 11 (2023)
- Страницы: 1552-1577
- Раздел: КООРДИНАЦИОННЫЕ СОЕДИНЕНИЯ
- URL: https://journal-vniispk.ru/0044-457X/article/view/231658
- DOI: https://doi.org/10.31857/S0044457X23600330
- EDN: https://elibrary.ru/DJUMZV
- ID: 231658
Цитировать
Полный текст
Аннотация
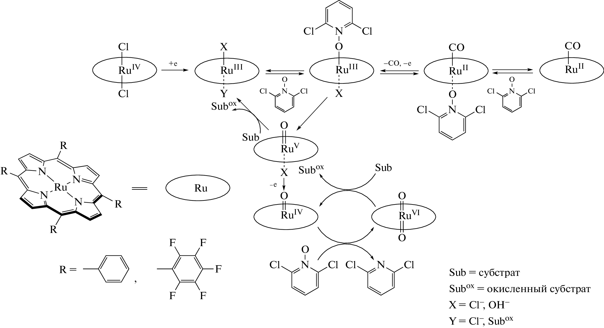
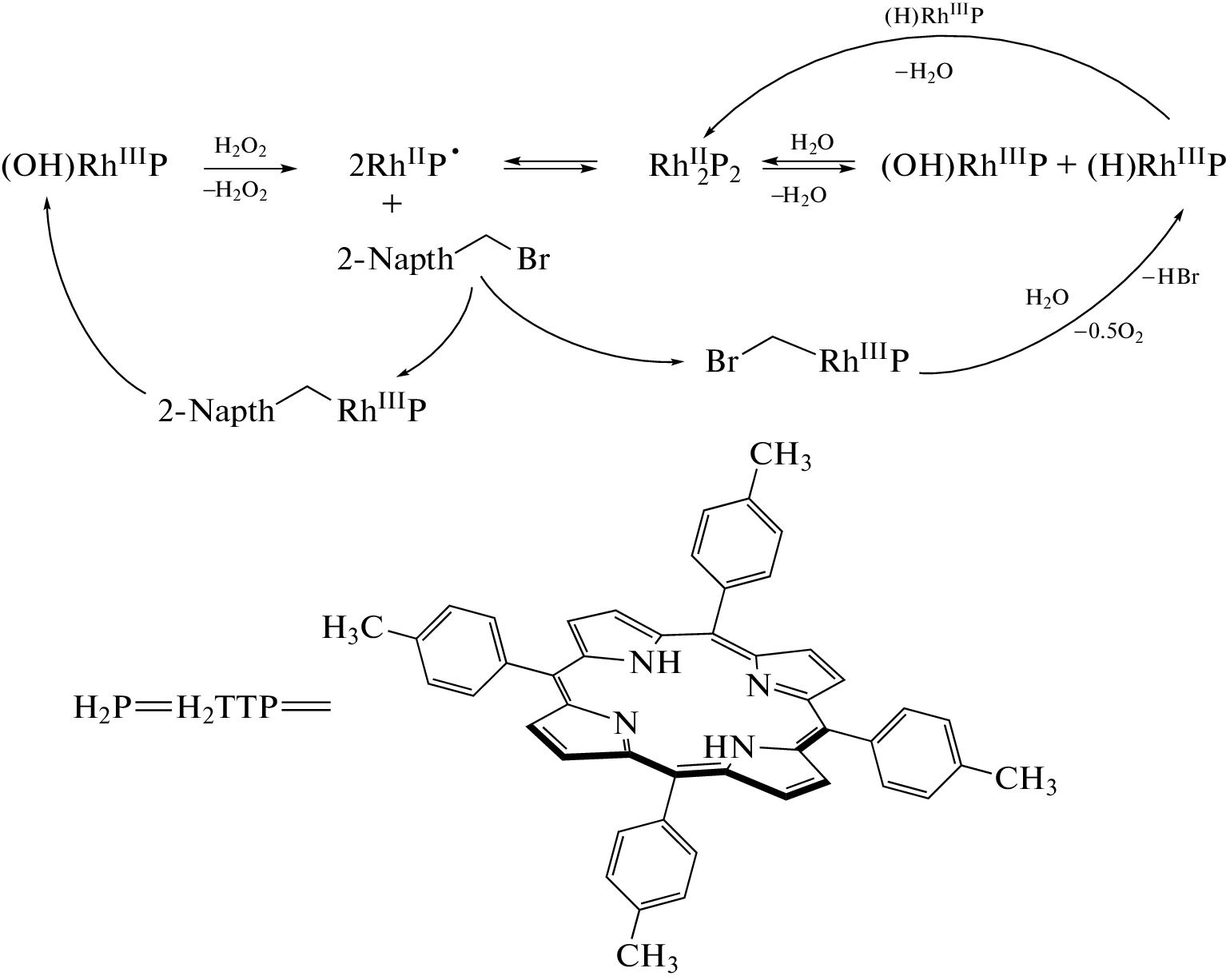
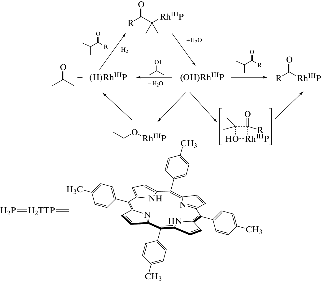
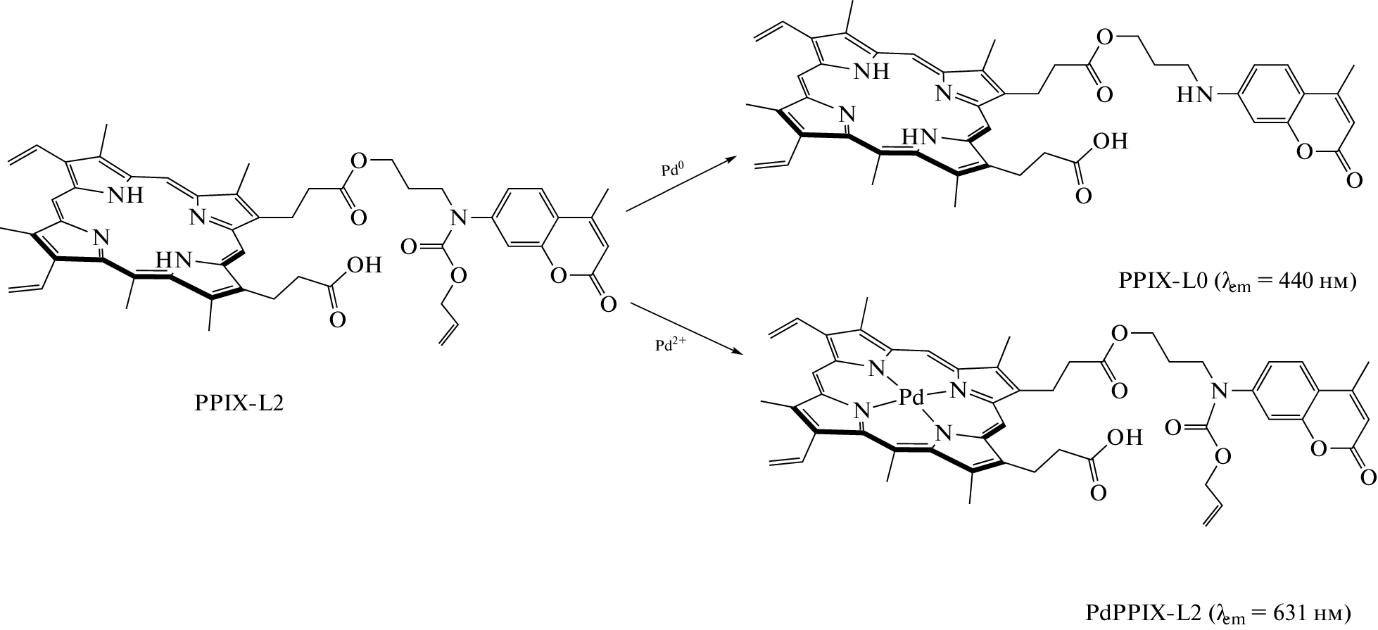
Большой набор координационных чисел катионов-комплексообразователей в сочетании с их степенями окисления, разнообразные окислительно-восстановительные свойства, высокая устойчивость координационного центра, а также уникальная электронная структура определяют каталитическую активность порфириновых комплексов благородных металлов в разнообразных реакциях с органическими субстратами. В обзоре представлены типы каталитических реакций с участием соединений рутения, родия, иридия, палладия, платины и золота с порфиринами с акцентом на особенностях интермедиатов в зависимости от природы металла, электронных и стерических эффектов периферийных заместителей макроцикла. Представленные данные являются теоретической базой, которая может способствовать разработке инновационных материалов для катализа на основе металлопорфиринов, а также созданию новых гомогенных и гетерогенных катализаторов.
Ключевые слова
Об авторах
Е. Ю. Тюляева
Институт химии растворов им. Г.А. Крестова РАН
Автор, ответственный за переписку.
Email: teu@isc-ras.ru
Россия, 153045, Иваново, ул. Академическая, 1
Список литературы
- Грязнов В.М., Орехова Н.В. Катализ благородными металлами. Динамические особенности. М.: Наука, 1989. 224 с.
- Кинжалов М.А., Лузянин К.В. // Журн. неорган. химии. 2022. Т. 67. № 1. С. 54. https://doi.org/10.31857/S0044457X22010068
- Федосеев И.В., Васекин В.В., Шевельков А.В. // Журн. неорган. химии. 2021. Т. 66. № 9. С. 1176. https://doi.org/10.31857/S0044457X21090026
- Бухтияров В.И., Слинько М.Г. // Успехи химии. 2001. Т. 70. № 2. С. 167.
- Эллерт О.Г., Цодиков М.В., Николаев С.А. и др. // Успехи химии. 2014. Т. 83. № 8. С. 718.
- Ларичев Ю.В. // Кинетика и катализ. 2021. Т. 62. № 4. С. 483.
- Джардималиева Г.И., Жармагамбетова А.К., Кудайбергенов С.Е. и др. // Кинетика и катализ. 2020. Т. 61. № 2. С. 195.
- Song Z., Li X., Liang F. // Chem. Commun. 2022. V. 58. P. 9646. https://doi.org/10.1039/D2CC03083G
- Narayan N., Meiyazhagan A., Vajtai R. // Materials. 2019. V. 12. P. 3602. https://doi.org/10.3390/ma12213602
- Porter N.S., Wu H., Quan Z. et al. // Acc. Chem. Res. 2013. V. 46. № 8. P. 1867. https://doi.org/10.1021/ar3002238
- Hu Y., Zhang H., Wu P. et al. // Phys. Chem. Chem. Phys. 2011. V. 13. № 9. P. 4083. https://doi.org/10.1039/c0cp01998d
- Taufany F., Pan C.J., Chou H.L. et al. // Chemistry. 2011. V. 17. № 38. P. 10724. https://doi.org/10.1002/chem.201100556
- Zhang H., Jin M., Xiong Y. et al. // Acc. Chem. Res. 2013. V. 46. № 8. P. 1783. https://doi.org/10.1021/ar300209w
- Goncharova I.K., Novikov R.A., Beletskaya I.P. et al. // J. Catal. 2023. V. 418. P. 70. https://doi.org/10.1016/j.jcat.2023.01.004
- Li H., Vequizo J.J.M., Hisatomi T. et al. // EES Catal. 2023. V. 1. P. 26. https://doi.org/10.1039/D2EY00031H
- Su L., Jia W., Li C.M. et al. // ChemSusChem. 2014. V. 7. № 2. P. 361. https://doi.org/10.1002/cssc.201300823
- Zhang X., Li H., Yang J. et al. // RSC Adv. 2021. V. 11. № 22. P. 13316. https://doi.org/10.1039/d0ra05468b
- Horn R., Williams K., Degenstein N. et al. // J. Catal. 2007. V. 249. № 2. P. 380. https://doi.org/10.1016/j.jcat.2007.05.01
- Zhang S., Geng J., Zhao Z. et al. // EES Catal. 2023. V. 1. P. 45. https://doi.org/10.1039/D2EY00038E
- Чесноков В.В., Чичкань А.С., Исмагилов З.Р. // Кинетика и катализ. 2017. Т. 58. № 5. С. 662.
- Глыздова Д.В., Смирнова Н.С., Леонтьева Н.Н. и др. // Кинетика и катализ. 2017. Т. 58. № 2. С. 152.
- Федоровa П.П., Шубин Ю.В., Чернова Е.В. // Журн. неорган. химии. 2021. Т. 66. № 6. С. 794. https://doi.org/10.31857/S0044457X21050056
- Шаповалов С.С., Попова А.С., Иони Ю.В. // Журн. неорган. химии. 2021. Т. 66. № 11. С. 1519. https://doi.org/10.31857/S0044457X21110143
- Бумагин Н.А. // Журн. общ. химии. 2022. Т. 92. № 5. С. 769. https://doi.org/10.31857/S0044460X22050122
- Бумагин Н.А. // Журн. общ. химии. 2022. Т. 92. № 1. С. 102. https://doi.org/10.31857/S0044460X22010115
- Гаврилов К.Н., Чучелкин И.В., Трунина В.М. и др. // Журн. общ. химии. 2022. Т. 92. № 12. С. 1884. https://doi.org/10.31857/S0044460X22120095
- Kurimoto A., Nasseri S.A., Yunt C. et al. // Nature Communications. 2023. V. 14. P. 1814. https://doi.org/10.1038/s41467-023-37257-7
- Chala S.A., Tsai M.-C., Su W.-N. et al. // ACS Nano. 2020. V. 14. № 2. P. 1770. https://doi.org/10.1021/acsnano.9b07487
- Ткаченко В.Ю., Джабиева З.М., Шилов Г.В. и др. // Журн. неорган. химии. 2021. Т. 66. № 3. С. 350. https://doi.org/10.1021/10.31857/S0044457X21030181
- Biriukov K.O., Afanasyev O.I., Godovikova M.I. et al. // Russ. Chem. Rev. 2022. V. 91. № 9. RCR5045. https://doi.org/10.1070/RCR5045
- Исаева Е.И., Гурьев Н.В., Бойцова Т.Б. и др. // Журн. общ. химии. 2022. Т. 92. № 10. С. 1603. https://doi.org/10.31857/S0044460X22100110
- Giannakakis G., Flytzani-Stephanopoulos M., Sykes E.C.H. // Acc. Chem. Res. 2019. V. 52. P. 237. https://doi.org/10.1016/j.jcat.2007.05.011
- Darby M.T., Stamatakis M., Michaelides A. et al. // J. Phys. Chem. Lett. 2018. V. 9. P. 5636. https://doi.org/10.1021/acs.accounts.8b00490
- Hannagan R.T., Giannakakis G., Flytzani-Stephanopoulos M. et al. // Chem. Rev. 2020. V. 120. № 21. P. 12044. https://doi.org/10.1021/10.1021/acs.chemrev.0c00078
- Han J., Lu J., Wang M. et al. // Chin. J. Chem. 2019. V. 37. P. 977. https://doi.org/10.1002/cjoc.201900185
- Kaiser S.K., Chen Z., Akl D.F. et al. // Chem. Rev. 2020. V. 120. № 21. P. 11703. https://doi.org/10.1021/acs.chemrev.0c00576
- Zhou L., Martirez J.M.P., Finzel J. et al. // Nat. Energy. 2020. V. 5. P. 6170. https://doi.org/10.1038/s41560-019-0517-9
- Lang R., Du X., Huang Y. et al. // Chem. Rev. 2020. V. 120. № 21. P. 11986. https://doi.org/10.1021/acs.chemrev.0c00797
- Han Z.-K., Sarker D., Ouyang R. et al. // Nature Commun. 2021. V. 12. № 1. P. 1833. https://doi.org/10.1038/s41467-021-22048-9
- Ji S., Chen Y., Wang X. et al. // Chem. Rev. 2020. V. 120. № 21. P. 11900. https://doi.org/10.1021/acs.chemrev.9b00818
- Babucci M., Guntida A., Gates B.C. // Chem. Rev. 2020. V. 120. № 21. P. 11956. https://doi.org/10.1021/acs.chemrev.0c00864
- Wei Y.-S., Zhang M., Zou R. et al. // Chem. Rev. 2020. V. 120. № 21. P. 12089. https://doi.org/10.1021/acs.chemrev.9b00757
- Yu X., Deng J., Liu Y. et al. // Catalysts. 2022. V. 12. P. 1239. https://doi.org/10.3390/catal12101239
- He T., Chen S., Ni B. et al. // Angew. Chem. Int. Ed. 2018. V. 57. № 13. P. 3493. https://doi.org/10.1002/anie.201800817
- Li X., Yang X., Huang Y. et al. // Adv. Mater. 2019. 1902031. https://doi.org/10.1002/adma.201902031
- Zhang J., Gu Y., Lu Y. et al. // Appl. Catal., B: Environ. 2023. V. 325. P. 122316. https://doi.org/10.1016/j.apcatb.2022.122316
- Zhang L., Xue L., Lin B. et al. // ChemSusChem. 2022. V. 15. e202102494. https://doi.org/10.1002/cssc.202102494
- Gao C., Low J., Long R. et al. // Chem. Rev. 2020. V. 120. № 21. P. 12175. https://doi.org/10.1021/acs.chemrev.9b00840
- Li Z., Li B., Hu Y. et al. // Mater. Adv. 2022. V. 3. P. 779. https://doi.org/10.1039/d1ma00858g
- Wang Y., Su H., He Y. et al. // Chem. Rev. 2020. V. 120. № 21. P. 12217. https://doi.org/10.1021/acs.chemrev.0c00594
- Zhang F., Zhu Y., Lin Q. et al. // Energy Environ. Sci. 2021. V. 14. № 5. P. 2954. https://doi.org/10.1039/d1ee00247c
- Kim J.H., Shin D., Lee J. et al. // ACS Nano. 2020. V. 14. P. 1990. https://doi.org/10.1021/acsnano.9b08494
- Yang H., Shi R., Shang L. et al. // Small Structures. 2021. V. 2. № 6. P. 2100007. https://doi.org/10.1002/sstr.202100007
- Knecht P., Ryan P.T.P., Duncan D.A. et al. // J. Phys. Chem. C. 2021. V. 125. № 5. P. 3215. https://doi.org/10.1021/acs.jpcc.0c10418
- Huang C.-X., Lv S.-Y., Li C. et al. // Nano Research. 2022. V. 15. № 5. P. 4039. https://doi.org/10.1007/s12274-021-4009-4
- Buchler J.W., Dreher C., Kunzel F.M. Synthesis and coordination chemistry of noble metal porphyrins // Metal complexes with tetrapyrrole ligands III. Berlin: Springer-Verlag, 1995. P. 1–71.
- Tyulyaeva E.Y. // Russ. J. Inorg. Chem. 2019. V. 64. № 14. P. 1775. https://doi.org/10.1134/S0036023619140110
- Tyulyaeva E.Y. // J. Organomet. Chem. 2020. P. 121484. https://doi.org/10.1016/j.jorganchem.2020.121484
- Dydio P., Key H.M., Hayashi H. et al. // J. Am. Chem. Soc. 2017. V. 139. № 5. P. 1750. https://doi.org/10.1021/jacs.6b11410
- Hartwig J.F., Key H.M., Dydio P. et al. // Int. Publication Number WO 2017/066562 A2.
- Wolf M.W., Vargas D.A., Lehnert N. // Inorg. Chem. 2017. V. 56. № 10. P. 5623. https://doi.org/10.1021/acs.inorgchem.6b03148
- Sreenilayam G., Moore E.J., Steck V. et al. // Adv. Synth. Catal. 2017. V. 359. № 12. P. 2076. https://doi.org/10.1021/10.1002/adsc.201700202
- Natoli S.N., Hartwig J.F. // Acc. Chem. Res. 2019.V. 52. № 2. P. 326. https://doi.org/10.1021/acs.accounts.8b00586
- Liu Z., Huang J., Gu Y. et al. // J. Am. Chem. Soc. 2022. V. 144. P. 883. https://doi.org/10.1021/jacs.1c10975
- Thirunavukkarasu V.S., Kozhushkov S.I., Ackermann L. // Chem. Commun. 2014. V. 50. P. 29. https://doi.org/10.1039/c3cc47028h
- Manca G., Gallo E., Intrieri D. et al. // ACS Catal. 2014. V. 4. P. 823. https://doi.org/10.1021/cs4010375
- Zardi P., Savoldelli A., Carminati D.M. et al. // ACS Catal. 2014. V. 4. P. 3820. https://doi.org/10.1021/cs5012712
- Guo Z., Guan X., Huang J.-S. et al. // Chem. Eur. J. 2013. V. 19. P. 11320. https://doi.org/10.1002/chem.201300021
- Zardi P., Caselli A., Macchi P. et al. // Organometallics. 2014. V. 33. P. 2210. https://doi.org/10.1021/om500064d
- Intrieri D., Carminati D., Gallo E. // J. Porphyrins Phthalocyanines. 2016. V. 20. P. 1. https://doi.org/10.1142/S1088424616500383
- Tatsumi D., Tsukamoto T., Honna R. et al. // Chem. Lett. 2017. V. 46. P. 1311. https://doi.org/10.1246/cl.170521
- Carrié D., Roisnel T., Simonneaux G. // Polyhedron. 2021. V. 205. P. 115294. https://doi.org/10.1016/j.poly.2021.115294
- Shing K.P., Wan Q., Chang X.-Y. et al. // Chem. Commun. 2020. V. 56. P. 4428. https://doi.org/10.1039/c9cc09972g
- Chen T.-H., Yuan Z., Carver A. et al. // Appl. Catal. A: General. 2014. V. 478. P. 275. https://doi.org/10.1016/j.apcata.2014.04.014
- Shing K.-P., Cao B., Liu Y. et al. // J. Am. Chem. Soc. 2018. V. 140. P. 7032. https://doi.org/10.1021/jacs.8b04470
- Kato N., Hamaguchi Y., Umezawa N. et al. // J. Porphyrins Phthalocyanines. 2015. V. 19. P. 1. https://doi.org/10.1142/S1088424615500297
- Malone J., Klaine S., Alcantar C. et al. // New J. Chem. 2021. V. 45. № 11. P. 4977. https://doi.org/10.1039/d1nj00189b
- Chan K.-H., Guan X., Lo V.K.-Y. et al. // Angew. Chem. Int. Ed. 2014. V. 53. P. 2982. https://doi.org/10.1002/anie.201309888
- Abucayon E.G., Powell D.R., Richter-Addo G.B. // J. Am. Chem. Soc. 2017. V. 139. P. 9495. https://doi.org/10.1021/jacs.7b05209
- Chen L., Cui H., Wang Y. et al. // Dalton Trans. 2018. V. 47. P. 3940. https://doi.org/10.1039/c8dt00434j
- Carri D., Roisnel T., Simonneaux G. // J. Mol. Struct. 2018. V. 1165. P. 101. https://doi.org/10.1016/j.molstruc.2018.03.108
- Che C.-M., Lo V.K.-Y., Zhou C.-Y. et al. // Chem. Soc. Rev. 2011. V. 40. P. 1950. https://doi.org/10.1039/c0cs00142b
- Yang W., Zhang H., Li L. // Organometallics. 2016. V. 35. P. 3295. https://doi.org/10.1021/acs.organomet.6b00490
- Ganai A., Ball B., Sarkar P. // J. Phys. Chem. Lett. 2023. https://doi.org/10.1021/acs.jpclett.2c03891
- Hong D., Liu Y., Wu L. et al. // Angew. Chem. Int. Ed. 2021. V. 60. № 34. P. 18619. https://doi.org/10.1002/anie.202100668
- Teramae S., Kito A., Shingaki T. et al. // Chem. Commun. 2019. V. 55. № 58. P. 8378. https://doi.org/10.1039/c9cc03041g
- Muratsugu S., Baba H., Tanimoto T. // Chem. Commun. 2018. V. 54. P. 5114. https://doi.org/10.1039/c8cc00896e
- Limosani F., Remita H., Tagliatesta P. et al. // Materials. 2022. V. 15. P. 1207. https://doi.org/10.3390/ma15031207
- Van den Boomen O.I., Coumans R.G.E., Akeroyd N. et al. // Tetrahedron. 2017. V. 73. P. 5029. https://doi.org/10.1016/j.tet.2017.05.035
- Terada T., Kurahashi T., Matsubara S. // Org. Lett. 2014. V. 16. P. 2594. https://doi.org/10.1021/ol500625r
- Wu K., Zhou C.-Y., Che C.-M. // Org. Lett. 2019. V. 21. P. 85. https://doi.org/10.1021/acs.orglett.8b03514
- Damiano C., Sonzini P., Intrieri D. et al. // J. Porphyrins Phthalocyanines. 2019. V. 23. P. 1. https://doi.org/10.1142/s1088424619501888
- Kräutler B., Widner F.J., Kieninger C. et al. // Synthesis. 2021. V. 53. P. 332. https://doi.org/10.1055/s-0040-1707288
- Calvete M.J.F., Piñeiro M., Dias L.D. et al. // ChemCatChem. 2018. V. 10. P. 3615. https://doi.org/10.1002/cctc.201800587
- Cryle M.J., De Voss J.J. // Angew. Chem. Int. Ed. 2006. V. 45 P. 8221. https://doi.org/10.1002/anie.200603411
- Podgorski M.N., Coleman T., Churchman L.R. et al. // Chem. Eur. J. 2022. e202202. https://doi.org/10.1002/chem.202202428
- Dolphin D., Forman A., Borg D.C. et al. // Proc. Natl. Acad. Sci. USA 1971. V. 68. P. 614.
- Carnieri N., Harriman A. // Inorg. Chim. Acta. 1982. V. 62. P. 103. https://doi.org/10.1016/S0020-1693(00)88485-6
- Mack J., Stillman M.J. // J. Porphyrins Phthalocyanines. 2001. V. 5. P. 67. https://doi.org/10.1002/1099-1409(200101)5:1<67::AID-JPP300>3.0.CO;2-3
- Morishima I., Takamuki Y., Shiro Y. // J. Am. Chem. Soc. 1984. V. 106. P. 7666. https://doi.org/10.1021/ja00337a002
- Satoh T., Minoura M., Nakano H. et al. // Angew. Chem. Int. Ed. 2016. V. 55. P. 2235. https://doi.org/10.1002/anie.201510734
- Sudoh K., Satoh T., Amaya T. et al. // Chem. Eur. J. 2017. V. 23. P. 16364. https://doi.org/10.1002/chem.201703664
- Mutoh M., Sudoh K., Furukawa K. et al. // Asian J. Org. Chem. 2019. V. 8. P. 352. https://doi.org/10.1002/ajoc.201900085
- Matano Y. // 11th International Conference on Porphyrins and Phthalocyanines. Book of Abstracts. Society of Porphyrins & Phthalocyanines. Buffalo, 2021. P. 145.
- Ovchenkova E.N., Bichan N.G., Tsaturyan A.A. et al. // J. Phys. Chem. C. 2020. V. 124. P. 4010. https://doi.org/10.1021/acs.jpcc.9b11661
- Singh P., Das A.K., Sarkar B. et al. // Inorg. Chem. 2008. V. 47. № 16. P. 7106. https://doi.org/10.1021/ic702371t
- El-Attar M.A., Xu N., Awasabisah D. et al. // Polyhedron. 2012. V. 40. № 1. P. 105. https://doi.org/10.1016/j.poly.2012.03.034
- Dey S., Sil D., Pandit Y.A. et al. // Inorg. Chem. 2016. V. 55. P. 3229. https://doi.org/10.1021/acs.inorgchem.5b02065
- Pandit Y.A., Shah S.J., Rath S.P. // Z. Anorg. Allg. Chem. 2018. V. 644. P. 856. https://doi.org/10.1002/zaac.201800247
- Nemykin V.N., Dudkin S.V., Fathi-Rasekh M. et al. // Inorg. Chem. 2015. V. 54. P. 10711. https://doi.org/10.1021/acs.inorgchem.5b01614
- Yasu Y., Inagaki A., Akita M. // J. Organomet. Chem. 2014. V. 753. P. 48. https://doi.org/10.1016/j.jorganchem.2013.12.008
- Awasabisah D., Xu N., Gautam K.P.S. et al. // Dalton Trans. 2013. V. 42. P. 8537. https://doi.org/10.1039/c3dt33109a
- Law S.-M., Chen D., Chan S.L.-F. et al. // Chem. Eur. J. 2014. V. 20. P. 11035. https://doi.org/10.1002/chem.201305084
- Leung S.K.-Y., Tsui W.-M., Huang J.-S. et al. // J. Am. Chem. Soc. 2005. V. 127. № 47. P. 16629. https://doi.org/10.1021/ja0542789
- Vanover E., Huang Y., Xu L. // Org. Lett. 2010. V. 12. P. 2246. https://doi.org/10.1021/ol1005938
- Zaitseva S.V., Tyulyaeva E.Yu., Tyurin D.V. et al. // J. Organomet. Chem. 2020. V. 912. P. 121164. https://doi.org/10.1016/j.jorganchem.2020.121164
- Groves J.T., Shalyaev K., Lee J. // The Porphyrin Handbook; Biochemistry and Binding: Activation of Small Molecules. V. 4. N.Y.: Academic Press, 2000.
- Che C.-M., Ho C., Lau T.-C. // J. Chem. Soc., Dalton Trans. 1991. V. 5. P. 1259. https://doi.org/10.1039/dt9910001259
- Sharma P.K., de Visser S.P., Ogliaro F. et al. // J. Am. Chem. Soc. 2003. V. 125. № 8. P. 2291. https://doi.org/10.1021/ja0282487
- Wang C., Shalyaev K.V., Bonchio M. et al. // Inorg. Chem. 2006. V. 45. № 12. P. 4769. https://doi.org/10.1021/ic0520566
- Zhang R., Vanover E., Luo W. et al. // Dalton Trans. 2014. V. 43. № 23. P. 8749. https://doi.org/10.1039/c4dt00649f
- Zhang L.-L., Wang X.-Y., Jiang K.-Y. // Dalton Trans. 2018. V. 47. № 15. P. 5286. https://doi.org/10.1039/c8dt00614h
- Zaitseva S.V., Tyulyaeva E.Yu., Tyurin D.V. et al. // Polyhedron. 2022. V. 217. P. 115739. https://doi.org/10.1016/j.poly.2022.115739
- Тюляева Е.Ю., Ломова Т.Н., Можжухина Е.Г. // Коорд. химия. 2003. Т. 29. С. 605.
- Shimomura E.T., Phillippi M.A., Goff H.M. et al. // J. Am. Chem. Soc. 1981. V. 103. P. 6778. https://doi.org/10.1021/ja00412a055
- Scheidt W.R., Brancato-Buentello K.E., Song H. et al. // Inorg. Chem. 1996. V. 35. P. 7500. https://doi.org/10.1021/ic9610748
- Ercolani C., Jubb J., Pennesi G. et al. // Inorg. Chem. 1995. V. 34. P. 2535. https://doi.org/10.1021/ic00114a010
- Kroitor A.P., Cailler L.P., Martynov A.G. et al. // Dalton Trans. 2017. V. 46. P. 15651. https://doi.org/10.1039/c7dt03703a
- Sorokin A.B. // Catal. Today. 2021. V. 373. P. 38. https://doi.org/10.1016/j.cattod.2021.03.016
- Зайцева С.В., Зданович С.А., Тюрин Д.В. и др. // Журн. неорган. химии. 2022. Т. 67. № 3. С. 294. https://doi.org/10.31857/S0044457X22030175
- Quesne M.G., Senthilnathan D., Singh D. et al. // ACS Catal. 2016. V. 6. P. 2230. https://doi.org/10.1021/acscatal.5b02720
- Cailler L.P., Clémancey M., Barilone J. et al. // Inorg. Chem. 2020. V. 59. № 2. P. 1104. https://doi.org/10.1021/acs.inorgchem.9b02718
- Sorokin A.B. // Adv. Inorg. Chem. 2022. V. 79. P. 23. https://doi.org/10.1016/bs.adioch.2021.12.002
- Chan C.S., Lee S.Y., Chan K.S. // Organometallics. 2012. V. 32. P. 151. https://doi.org/10.1021/om3009519
- Elouarzaki K., Le Goff A., Holzinger M. et al. // J. Am. Chem. Soc. 2012. V. 134. № 34. P. 14078. https://doi.org/10.1021/ja304589m
- Yamazaki S., Fujiwara N., Takeda S. et al. // Chem. Commun. 2010. V. 46. № 20. P. 3607. https://doi.org/10.1039/c003026k
- Ling Z., Yun L., Liu L. et al. // Chem. Commun. 2013. V. 49. № 39. P. 4214. https://doi.org/10.1039/c2cc37263k
- Yun L., Zhen L., Wang Z. et al. // J. Porphyrins Phthalocyanines. 2014. V. 18. № 10–11. P. 937. https://doi.org/10.1142/s108842461450076x
- Chan K.S., Chan Y.W. // Organometallics. 2014. V. 33. № 14. P. 3702. https://doi.org/10.1021/om500313g
- Chan K., Feng S. // Synlett. 2017. V. 29. № 6. P. 759. https://doi.org/10.1055/s-0036-1589129
- Pal H., Nina A., Nag O.K. et al. // J. Inorg. Biochem. 2022. V. 235. P. 111935. https://doi.org/10.1016/j.jinorgbio.2022.111935
- Feng S., Chen C., Cha K.S. // Organometallics. 2020. V. 39. V. 6. P. 848. https://doi.org/10.1021/acs.organomet.0c00022
- Anjali K., Ahmed M., Christopher J. et al. // Dalton Trans. 2018. V. 47. P. 12353. https://doi.org/10.1039/c8dt02151a
- Elakkari E., Floris B., Galloni P. et al. // Eur. J. Org. Chem. 2005. V. 5. P. 889. https://doi.org/10.1002/ejoc.200400746
- Thompson S.J., Brennan M.R., Lee S.Y. et al. // Chem. Soc. Rev. 2018. V. 47. № 3. P. 929. https://doi.org/10.1039/c7cs00582b
- Zhang J., Zhang W., Xu M. // J. Am. Chem. Soc. 2018. V. 140. № 21. P. 6656. https://doi.org/10.1021/jacs.8b03029
- Tam C.M., Chan K.S. // J. Organomet. Chem. 2019. V. 887. P. 80. https://doi.org/10.1016/j.jorganchem.2019.02.023
- Wu Y., Chen C., Chan K.S. // Dalton Trans. 2018. V. 47. P. 12879. https://doi.org/10.1039/c8dt02168f
- Tam C.M., To C.T., Chan K.S. // Dalton Trans. 2017. V. 46. № 30. P. 10057. https://doi.org/10.1039/c7dt02002c
- To C.T., Chan K.S. // Acc. Chem. Res. 2017. V. 50. № 7. P. https://doi.org/170210.1021/acs.accounts.7b00150
- Cui W., Wayland B.B. // J. Am. Chem. Soc. 2004. V. 126. № 26. P. 8266. https://doi.org/10.1021/ja049291s
- Wang H.-X., Wua K., Che C.-M. // Synlett. 2021. V. 32. № 3. P. 249. https://doi.org/10.1055/s-0040-1707221
- Yu H.Y., Lee H.K., Chan K.S. // Organometallics. 2021. V. 40. № 22. P. 3733. https://doi.org/10.1021/acs.organomet.1c00457
- To C.T., Chan K.S. // Eur. J. Org. Chem. 2019. № 39. P. 6581. https://doi.org/10.1002/ejoc.201900852
- Wayland B.B., Coffin V.L., Farnos M.D. // Inorg. Chem. 1988. V. 27. P. 2745. https://doi.org/10.1021/ic00288a035
- Wayland B.B., Sherry A.E., Bunn A.G. // J. Am. Chem. Soc. 1993. V. 115. P. 7675. https://doi.org/10.1021/ja00070a011
- Wayland B.B., Balkus K.J., Farnos M.D. // Organometallics. 1989. V. 8. P. 950. https://doi.org/10.1021/om00106a014
- Fu X., Wayland B.B. // J. Am. Chem. Soc. 2004. V. 126. P. 2623. https://doi.org/10.1021/ja039218m
- Choi K.S., Lai T.H., Lee S.Y. et al. // Organometallics. 2011. V. 30. P. 2633. https://doi.org/10.1021/om200075f
- Yamazaki S., Ioroi T., Yamada Y. et al. // Angew. Chem. Int. Ed. 2006. V. 45. № 19. P. 3120. https://doi.org/10.1002/anie.200504379
- Yamazaki S., Yao M., Asahi M. et al. // Dalton Trans. 2015. V. 44. № 31. P. 13823. https://doi.org/10.1039/c5dt01453k
- Tiwari J.N., Tiwari R.N., Singh G. et al. // Nano Energy. 2013. V. 2. № 5. P. 553. https://doi.org/10.1016/j.nanoen.2013.06.009
- Ehteshami S.M.M., Chan S.H. // Electrochim. Acta. 2013. V. 93. P. 334. https://doi.org/10.1016/j.electacta.2013.01.086
- Yamazaki S., Yamada Y., Takeda S. et al. // Phys. Chem. Chem. Phys. 2010. V. 12. № 31. P. 8968. https://doi.org/10.1039/b925413g
- Biffinger J.C., Uppaluri S., Sun H. et al. // ACS Catalysis. 2011. V. 1. № 7. P. 764. https://doi.org/10.1021/cs2001187
- Kubo S., Endo A., Yamazaki S. // J. Mater. Chem. A. 2018. https://doi.org/10.1039/c8ta05897k
- Sun H., Xue F., Nelson A.P. et al. // Inorg. Chem. 2003. V. 42. № 15. P. 4507. https://doi.org/10.1021/ic0345830
- Dairo T.O., Woo L.K. // Organometallics. 2017. V. 36. № 4. P. 927. https://doi.org/10.1021/acs.organomet.6b00947
- Anding B.J., Woo L.K. // Organometallics. 2013. V. 32. № 9. P. 2599. https://doi.org/10.1021/om400098v
- Wang Y., Zhou Z., Zhao L. // ACS Appl. Mater. Interfaces. 2021. V. 13. № 9. P. 10925. https://doi.org/10.1021/acsami.0c22276
- Wang J.-C., Xu Z.-J., Guo Z. et al. // Chem. Commun. 2012. V. 48. № 36. P. 4299. https://doi.org/10.1039/c2cc30441d
- Wang Y., Cui H., Wei Z.-W. // Chem. Sci. 2017. V. 8. № 1. P. 775. https://doi.org/10.1039/c6sc03288e
- Bian Y., Qu X., Chan K.S. // Organometallics. 2020. V. 39. № 8. P. 1376. https://doi.org/10.1021/acs.organomet.0c00100
- Fong C.W., Yu H.Y., Gros C.P. et al. // New J. Chem. 2019. V. 43. P. 3656. https://doi.org/10.1039/c8nj05664a
- Li B., Chan K.S. // Organometallics. 2008. V. 27. № 16. P. 4034. https://doi.org/10.1021/om701144a
- Тюляева Е.Ю., Бичан Н.Г., Ломова Т.Н. // Журн. неорган. химии. 2022. Т. 67. № 3. С. 360. https://doi.org/10.31857/S0044457X2203014X
- Swistak C., Cornillon J.L., Anderson J.E. et al. // Organometallics. 1987. V. 6. № 10. P. 2146. https://doi.org/10.1021/om00153a020
- So S.-C., Cheung W.-M., Chiu W.-H. et al. // Dalton Trans. 2019. V. 48. № 23. P. 8340. https://doi.org/10.1039/c9dt00244h
- Lam T.L., Ka Chung T., Yang C. // Chem. Sci. 2018. V. 10. P. 293. https://doi.org/10.1039/c8sc02920b
- Kadish K.M., Deng Y.J., Yao C.-L. et al. // Organometallics. 1988. V. 7. P. 1979. https://doi.org/10.1021/om00099a012
- Cornillon J.-L., Anderson J.E., Swistak C. et al. // J. Am. Chem. Soc. 1986. V. 108. P. 7633. https://doi.org/10.1021/ja00284a030
- Kadish K.M., Hu Y., Tagliatesta P. et al. // Inorg. Chem. 1993. V. 32. № 14. P. 2996. https://doi.org/10.1021/ic00066a007
- Anderson J.E., Liu Y.H., Kadish K.M. // Inorg. Chem. 1987. V. 26. P. 4174. https://doi.org/10.1021/ic00272a008
- Yeung S.K., Chan K.S. // Organometallics. 2005. V. 24. P. 6426. https://doi.org/10.1021/om050661a
- Klei S.R., Tilley T.D., Bergman R.G. // J. Am. Chem. Soc. 2000. V. 122. № 8. P. 1816. https://doi.org/10.1021/ja992954z
- Lomova T.N., Mozhzhukhina E.G., Tyulyaeva E.Y. et al. // Mendeleev Commun. 2012. V. 22. № 4. P. 196. https://doi.org/10.1016/j.mencom.2012.06.008
- Park-Gehrke L.S. // Dissertation. 2010. V. 71. Iss. 10. 171 p. University of Washington.
- Тюляева Е.Ю., Можжухина Е.Г., Бичан Н.Г. и др. // Журн. неорган. химии. 2015. Т. 60. № 2. С. 194. https://doi.org/10.7868/S0044457X15020208
- Тюляева Е.Ю., Бичан Н.Г., Можжухина Е.Г. и др. // Журн. физ. химии. 2016. Т. 90. № 1. С. 28. https://doi.org/10.7868/S0044453716010325
- Bichan N.G., Tyulyaeva E.Yu., Lomova T.N. // Macroheterocycles. 2013. V. 6. P. 144. https://doi.org/10.6060/mhc121212l
- Lomova T.N., Klyueva M.E., Tyulyaeva E.Y. et al. // J. Porphyrins Phthalocyanines. 2012. V. 16. № 9. P. 1040. https://doi.org/10.1142/s1088424612500769
- Beletskaya I.P., Tyurin V.S., Tsivadze A.Y. et al. // Chem. Rev. 2009. V. 109. № 5. P. 1659. https://doi.org/10.1021/cr800247a
- Sun D., Tham F.S., Reed C.A. et al. // J. Am. Chem. Soc. 2002. V. 124. P. 6604. https://doi.org/10.1021/ja017555u
- Ishii T., Aizawa N., Yamashita M. et al. // J. Chem. Soc., Dalton Trans. 2000. V. 23. P. 4407. https://doi.org/10.1039/b006593p
- Hyakutake T., Taguchi H., Sakaue H. et al. // Polym. Adv. Technol. 2008. V. 19. P. 1262. https://doi.org/10.1002/pat.1122
- Parkhomenko R.G., Sukhikh A.S., Klyamer D.D. et al. // Phys. Chem. C. 2017. V. 121. P. 1200. https://doi.org/10.1021/acs.jpcc.6b10817
- Nikolaeva N.S., Parkhomenko R.G., Klyame D.D. et al. // Int. J. Hydrogen Energy. 2017. V. 42. P. 28640. https://doi.org/610.1016/j.ijhydene.2017.09.129
- Тюляева Е.Ю., Косарева О.В., Клюева М.Е. и др. // Журн. неорган. химии. 2008. Т. 53. № 9. С. 1504.
- Тюляева Е.Ю., Клюева М.Е., Ломова Т.Н. // Журн. физ. химии. 2011. Т. 85. № 6. С. 1020.
- Lomova T.N., Tyulyaeva E.Yu., Klyueva M.E. // Palladium: Compounds, Production and Applications / Ed. Kenneth M. Brady. N.Y.: Nova Science Publishers Inc., 2010. P. 285–306.
- Gorski A., Knyukshto V., Zenkevich E. et al. // J. Photochem. Photobiol. A: Chem. 2018. V. 354. P. 101. https://doi.org/10.1016/j.jphotochem.2017.09.002
- To W.-P., Liu Y., Lau T.-C. et al. // Chem. Eur. J. 2013. V. 19. P. 5654. https://doi.org/10.1002/chem.201203774
- Sahoo S.K., Das A.A., Deka D. et al. // J. Mol. Liq. 2021. V. 339. P. 116721. https://doi.org/10.1016/j.molliq.2021.116721
- Sirbu D., Turta C., Gibson E.A. et al. // Dalton Trans. 2015. V. 44. P. 14646. https://doi.org/10.1039/c5dt02191j
- Ouyang L., Wu W. // Current Opinion in Green and Sustainable Chemistry. 2017. V. 7. P. 46. https://doi.org/10.1016/j.cogsc.2017.07.005
- Huang Y., Yang L., Huang M. et al. // Particuology. 2015. V. 22. P. 128. https://doi.org/10.1016/j.partic.2014.08.003
- Kostas I.D., Coutsolelos A.G., Charalambidis G. et al. // Tetrahedron Lett. 2007. V. 48. P. 6688. https://doi.org/10.1016/j.tetlet.2007.07.141
- Rao K.U., Appa R.M., Lakshmidevi J. et al. // Asian J. Org. Chem. 2017. V. 6. P. 751. https://doi.org/10.1002/ajoc.201700068
- Rao K.U., Lakshmidevi J., Appa R.M. et al. // ChemistrySelect. 2017. V. 2. P. 7394. https://doi.org/10.1002/slct.201701413
- Bahrami K., Kamrani S.N. // Appl. Organomet. Chem. 2017. V. 32. № 2. e4102. https://doi.org/10.1002/aoc.4102
- Prasad S.S., Naidu B.R., Hanafiah M.M. et al. // Molecules. 2021. V. 26. P. 5390.https://doi.org/10.3390/molecules26175390
- Jiang L., Mak H.-N., Walter E.R.H. et al. // Chem. Sci. 2021. V. 12. № 29. P. 9977. https://doi.org/10.1039/d1sc01616d
- Rasheed L., Yousuf M., Youn I.S. et al. // RSC Advances. 2016. V. 6. № 65. P. 60546. https://doi.org/10.1039/c6ra09183k
- Alemohammad T., Safari N., Rayati S. et al. // Inorg. Chim. Acta. 2015. V. 434. P. 198. https://doi.org/10.1016/j.ica.2015.05.023
- Alemohammad T., Rayati S., Safari N. // J. Porphyrins Phthalocyanines. 2015. V. 19. № 12. P. 1279. https://doi.org/10.1142/s1088424615501126
- Ou Z., Chen P., Kadish K.M. // Dalton Trans. 2010. V. 39. № 46. P. 11272. https://doi.org/10.1039/c0dt00899k
- Chen P., Finikova O.S., Ou Z. et al. // Inorg. Chem. 2012. V. 51. № 11. P. 6200. https://doi.org/10.1021/ic3003367
- Matano Y., Shibano T., Nakano H. // Inorg. Chem. 2012. V. 51. P. 12879.https://doi.org/10.1021/ic301835c
- Ломова Т.Н. Аксиально координированные металлопорфирины в науке и практике. М.: Красанд, 2018. 700 с.
- Ломова Т.Н., Клюева М.Е., Можжухина Е.Г. и др. // Журн. структур. химии. 2014. Т. 55. № 1. С. 178.
- Тюляева Е.Ю., Ломова Т.Н., Андрианова Л.Г. // Журн. неорган. химии. 2001. Т. 46. № 3. С. 432.
- Herrera R.P., Gimeno M.C. // Chem. Rev. 2021. V. 121. № 14. P. 8311. https://doi.org/10.1021/acs.chemrev.0c00930
- Ou Z., Kadish K.M., Wendo E. et al. // Inorg. Chem. 2004. V. 43. № 6. P. 2078. https://doi.org/10.1021/ic035070w
- Ou Z., Khoury T., Fang Y. et al. // Inorg. Chem. 2013. V. 52. № 5. P. 2474. https://doi.org/10.1021/ic302380z
- Zhou C.-Y., Chan P.W.H., Che C.-M. // Org. Lett. 2006. V. 8. P. 325. https://doi.org/10.1021/ol052696c
- Nijamudheen A., Jose D., Datta A. // J. Phys. Chem. C. 2010. V. 115. № 5. P. 2187. https://doi.org/10.1021/jp1101384
- Knör G. // Inorg. Chem. Commun. 2001. V. 4. № 3. P. 160. https://doi.org/10.1016/s1387-7003(01)00165-4
- Haeubl M., Reith L.M., Gruber B. et al. // J. Biol. Inorg. Chem. 2009. V. 14. № 7. P. 1037. https://doi.org/10.1007/s00775-009-0547-z
- Müllegger S., Schöfberger W., Rashidi M. et al. // ACS Nano. 2011. V. 5. № 8. P. 6480. https://doi.org/10.1021/nn201708c
- Tong K.-C., Hu D., Wan P.-K. // Front. Chem. 2020. V. 8. P. 587207. https://doi.org/10.3389/fchem.2020.587207
- Rundstadler T., Mothes E., Amrane S. et al. // J. Inorg. Biochem. 2021. V. 223. P. 111551. https://doi.org/10.1016/j.jinorgbio.2021.111551
- Nguyen C., Toubia I., Diring S. et al. // Dalton Trans. 2021. V. 50. № 13. P. 4583. https://doi.org/10.1039/d0dt03792c
- Wang X., Wang J., Wang J. et al. // Nano Letters. 2021. V. 21. № 8. P. 3418. https://doi.org/10.1021/acs.nanolett.0c04915
- Sun R.W.-Y., Che C.-M. // Coord. Chem. Rev. 2009. V. 253. № 11–12. P. 1682. https://doi.org/10.1016/j.ccr.2009.02.017
Дополнительные файлы




















