Влияние природы мостикового радикала на экстракционную способность дифенилфосфорилкетонов по отношению к актинидам и лантанидам
- Авторы: Сафиулина А.М.1,2, Борисова Н.Е.3,4, Лизунов А.В.1, Голубев А.В.3, Бодрин Г.В.4, Горюнов Е.И.4, Горюнова И.Б.4, Брель В.К.4, Тананаев И.Г.5,6,7
-
Учреждения:
- АО “Высокотехнологический научно-исследовательский институт неорганических материалов им. академика А.А. Бочвара”
- Российский химико-технологический университет им. Д.И. Менделеева
- Московский государственный университет им. М.В. Ломоносова
- Институт элементоорганических соединений им. А.Н. Несмеянова РАН
- Федеральный исследовательский центр “Кольский научный центр РАН”
- Институт химии и технологии редких элементов и минерального сырья им. И.В. Тананаева КНЦ РАН
- Дальневосточный федеральный университет
- Выпуск: Том 68, № 11 (2023)
- Страницы: 1656-1663
- Раздел: ФИЗИКОХИМИЯ РАСТВОРОВ
- URL: https://journal-vniispk.ru/0044-457X/article/view/231679
- DOI: https://doi.org/10.31857/S0044457X23600585
- EDN: https://elibrary.ru/DJFGHV
- ID: 231679
Цитировать
Полный текст
Аннотация
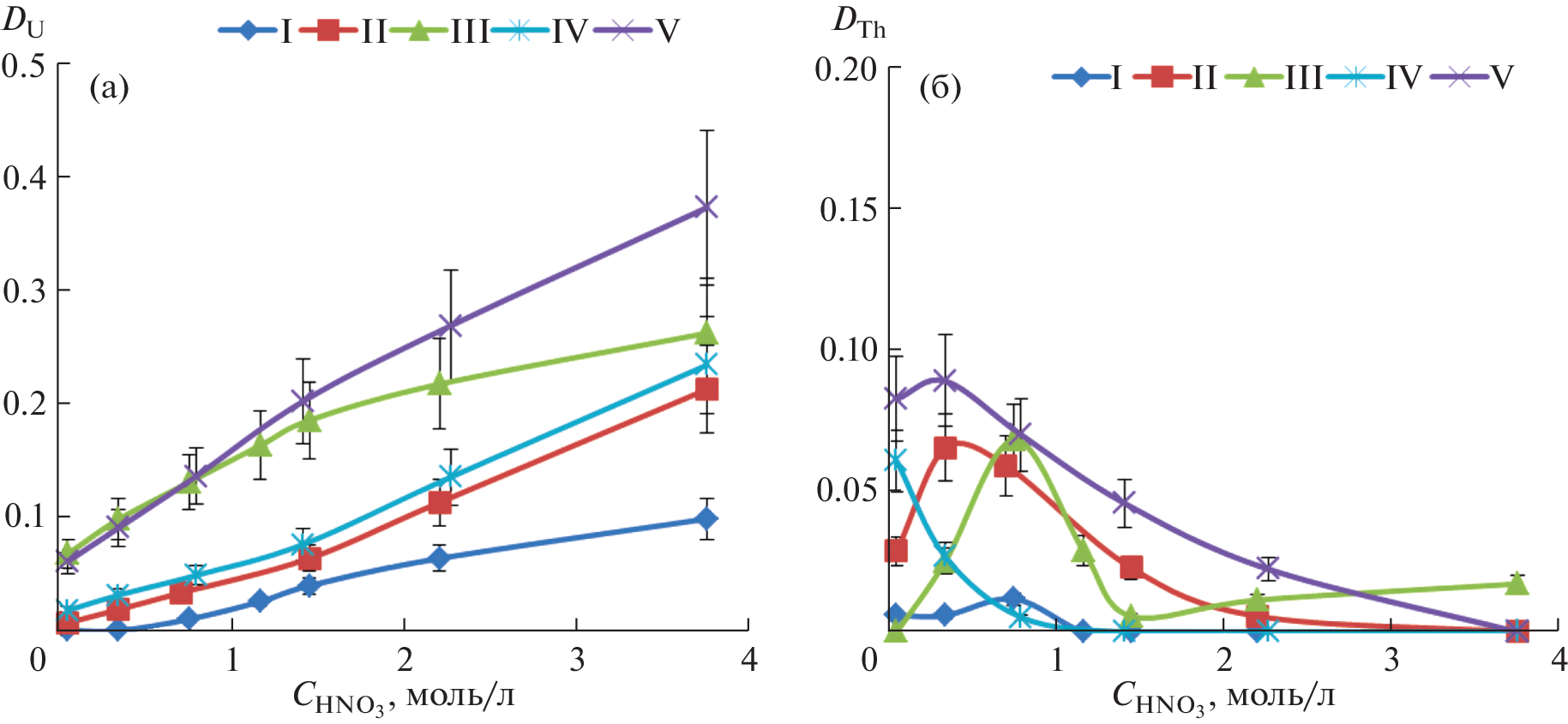
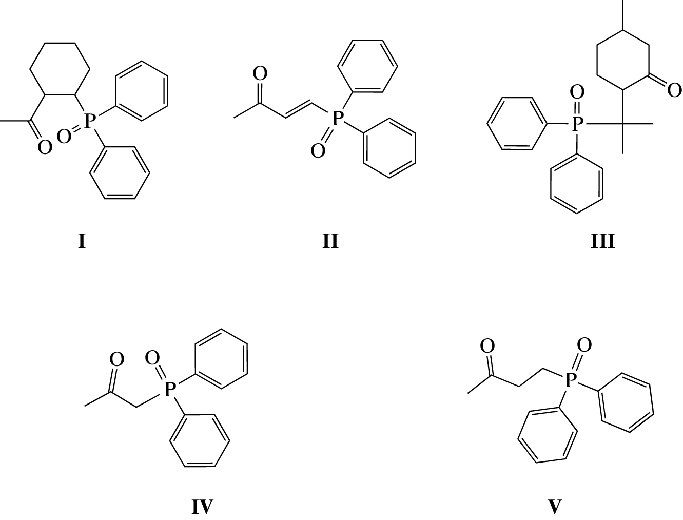
Исследовано влияние на экстракционную способность по отношению к актинидам и лантанидам соединений класса фосфорилкетонов, содержащих гибкие алкильные и конформационно жесткие фрагменты в линкере. Показано, что введение в структуру молекулы конформационно жестких циклоалкандиильных и алкендиильных радикалов мостика, разделяющего Р=О- и С=О-группировки, снижает эффективность экстрагентов как в случае актинидов, так и в случае лантанидов. В то же время введение в структуру линкера гибких алкильных радикалов повышает комплексообразующую и экстракционную способность. Данная зависимость получила теоретическое обоснование при моделировании комплексообразования (DFT, PBE, cc-pVDZ), наблюдалась монодентатная координация для всех исследуемых фосфорилалканонов.
Об авторах
А. М. Сафиулина
АО “Высокотехнологический научно-исследовательский институт неорганических материаловим. академика А.А. Бочвара”; Российский химико-технологический университет им. Д.И. Менделеева
Email: AMSafiulina@bochvar.ru
Россия, 123098, Москва, ул. Рогова, 5а; Россия, 125047, Москва, Миусская пл., 9
Н. Е. Борисова
Московский государственный университет им. М.В. Ломоносова; Институт элементоорганических соединений им. А.Н. Несмеянова РАН
Email: AMSafiulina@bochvar.ru
Россия, 119991, Москва, Ленинские горы, 1; Россия, 119334, Москва,
ул. Вавилова, 28, стр. 1
А. В. Лизунов
АО “Высокотехнологический научно-исследовательский институт неорганических материаловим. академика А.А. Бочвара”
Email: AMSafiulina@bochvar.ru
Россия, 123098, Москва, ул. Рогова, 5а
А. В. Голубев
Московский государственный университет им. М.В. Ломоносова
Email: AMSafiulina@bochvar.ru
Россия, 119991, Москва, Ленинские горы, 1
Г. В. Бодрин
Институт элементоорганических соединений им. А.Н. Несмеянова РАН
Email: AMSafiulina@bochvar.ru
Россия, 119334, Москва,
ул. Вавилова, 28, стр. 1
Е. И. Горюнов
Институт элементоорганических соединений им. А.Н. Несмеянова РАН
Email: AMSafiulina@bochvar.ru
Россия, 119334, Москва,
ул. Вавилова, 28, стр. 1
И. Б. Горюнова
Институт элементоорганических соединений им. А.Н. Несмеянова РАН
Email: AMSafiulina@bochvar.ru
Россия, 119334, Москва,
ул. Вавилова, 28, стр. 1
В. К. Брель
Институт элементоорганических соединений им. А.Н. Несмеянова РАН
Email: AMSafiulina@bochvar.ru
Россия, 119334, Москва,
ул. Вавилова, 28, стр. 1
И. Г. Тананаев
Федеральный исследовательский центр “Кольский научный центр РАН”; Институт химии и технологии редких элементов и минерального сырьяим. И.В. Тананаева КНЦ РАН; Дальневосточный федеральный университет
Автор, ответственный за переписку.
Email: AMSafiulina@bochvar.ru
Россия, 184209, Апатиты, ул. Ферсмана, 14; Россия, 184209, Апатиты, ул. Академгородок, 26а; Россия, 690090, о. Русский, Владивосток, п. Аякс, 10
Список литературы
- Assessment of partitioning processes for transmutation of actinides IAEA. Vienna, 2010 IAEA-TECDOC-1648. 96 p.
- Зильберман Б.Я., Пузиков Е.А., Рябков Д.В. и др. // Атомная энергия. 2009. Т. 107. № 5. С. 273. https://doi.org/10.1007/s10512-010-9233-z
- Ion Exchange and Solvent Extraction: A Series of Advances / Ed. Moyer. B.A. N.Y.: CRCPress, 2010. V. 19. 673 p.
- Розен А.М. // Рос. хим. журн. Журн. Рос. хим. об-ва им. Д.И. Менделеева. 1996. Т. 40. № 6. С. 42.
- Мастрюкова Т.А., Артюшин О.И., Одинец И.Л., Тананаев И.Г. // Рос. хим. журн. Журн. Рос. хим. об-ва им. Д.И. Менделеева. 2005. № 2. С. 86.
- Розен А.М., Крупнов Б.В. // Успехи химии. 1996. Т. 65. № 11. С. 1052.
- Matveev P., Mohapatra P.K., Kalmykov S.N. et al. // Solvent Extr. Ion Exch. 2020. P. 679. https://doi.org/10.1080/07366299.2020.1856998
- Медведь Т.Я., Чмутова М.К., Нестерова Н.П. и др. // Изв. АН СССР. Сер. хим. 1981. № 9. С. 2112.
- Chmutova M.K., Kochetkova N.E., Koiro O.E. et al. // J. Radioanal. Chem. 1983. V. 80. № 1–2. P. 63. https://doi.org/10.1007/BF02517648
- Myasoedov B.F., Chmutova M.K., Kochetkova N.E. et al. // Solv. Extr. Ion Exch. 1986. № 4. P. 61. https://doi.org/10.1080/07366298608917853
- Litvina M.N., Chmutova M.K., Kulyako Yu.M., Myasoedov B.F. // Radiochemistry. 2001. V. 43. № 1. P. 66. https://doi.org/10.1023/A:1012878106998
- Шарова Е.В., Артюшин О.И., Одинец И.Л. // Успехи химии. 2014. Т. 83. № 2. С. 95.
- Татаринов Д.А., Миронов В.Ф., Костин А.А. и др. // Журн. общ. химии. 2010. Т. 80. № 7. С. 1211.
- Бодрин Г.В., Горюнов Е.И., Горюнова И.Б. и др. // Докл. АН. 2012. Т. 447. № 4. С. 401.
- Горюнов Е.И., Бодрин Г.В., Горюнова И.Б. и др. // Изв. АН. Сер. хим. 2013. № 3. С. 779.
- Сафиулина А.М., Матвеева А.Г., Лизунов А.В. и др. // Докл. АН. 2015. Т. 460. № 6. С. 673.
- Сафиулина А.М., Борисова Н.Е., Лизунов А.В. и др. // Журн. неорган. химии. 2022. Т. 67. № 4. С. 513.
- Елистратова Ю.Г., Мустафина А.Р., Татаринов Д.А. и др. // Изв. АН. Сер. хим. 2011. № 5. С. 779.https://doi.org/10.1007/s11172-011-0126-7
- Матвеева А.Г., Горюнов Е.И., Ту А.М. и др. // Изв. АН. Сер. хим. 2014. № 11. С. 2493.
- Матвеева А.Г., Ту А.М., Сафиулина А.М. и др. // Изв. АН. Сер. хим. 2013. № 6. С. 1309.
- Mazzotta S., Gramigna L., Bernardi L. et al. // Org. Proc. Res. Dev. 2010. V. 14. № 3. P. 687. https://doi.org/10.1021/op1000308
- Giguere R.J., Herberich B. // Synth. Commun. 1991. V. 21. № 21. P. 2197. https://doi.org/10.1080/00397919108055453
- Саввин С.Б. Органические реагенты группы арсеназо III. М.: Атомиздат, 1971. 352 с.
- Laikov D.N. // Chem. Phys. Lett. 2005. V. 416. № 1–3. P. 116. https://doi.org/10.1016/j.cplett.2005.09.046
- Laikov D.N. // Chem. Phys. Lett. 1997. V. 281. № 1–2. P. 151. https://doi.org/10.1016/S0009-2614(97)01206-2
- Perdew J.P., Burke K., Ernzerhof M. // Phys. Rev. Lett. 1996. V. 77. № 18. P. 3865. https://doi.org/10.1103/PhysRevLett.77.3865
- Perdew J.P., Burke K., Ernzerhof M. // Phys. Rev. Lett. 1997. V. 78. № 7. P. 1396. https://doi.org/10.1103/PhysRevLett.78.1396
- Сафиулина А.М., Матвеева А.Г., Дворянчикова Т.К. и др. // Изв. АН. Сер. хим. 2012. № 2. С. 390.
- Матвеева А.Г., Григорьев М.С., Дворянчикова Т.К. и др. // Изв. АН. Сер. хим. 2012. № 2. С. 397.
- Рейхардт К. Растворители и эффекты среды в органической химии. М.: Мир, 1991. 763 с.
- Babecki R., Platt A.W.G., Russell D.R. // Inorg. Chim. Acta. 1990. V. 171. № 1. P. 25. https://doi.org/10.1016/S0020-1693(00)84658-7
- Casellato U., Vigato P.A., Vidali M. // Coord. Chem. Rev. 1981. V. 36. № 3. P. 183. https://doi.org/10.1016/S0010-8545(00)80500-7
- McCabe D.J., Duesler E.N., Paine R.T. // Inorg. Chim. Acta. 1988. V. 147. № 2. P. 265. https://doi.org/10.1016/S0020-1693(00)83383-6
- Bowen S.M., Duesler E.N., Paine R.T. // Inorg. Chem. 1982. V. 21. № 1. P. 261. https://doi.org/10.1021/ic00131a048
- Bowen S.M., Duesler E.N., Paine R.T. // Inorg. Chim. Acta. 1982. V. 61. № 1. P. 155. https://doi.org/10.1016/S0020-1693(00)89134-3
Дополнительные файлы






