Synthesis of Two-Dimensional NiO Nanostructures by a Combination of Programmable Chemical Deposition and Hydrothermal Treatment
- Authors: Simonenko T.L.1, Dudorova D.A.1, Simonenko N.P.1, Simonenko E.P.1, Kuznetsov N.T.1
-
Affiliations:
- Kurnakov Institute of General and Inorganic Chemistry, Russian Academy of Sciences
- Issue: Vol 68, No 12 (2023)
- Pages: 1849-1859
- Section: НЕОРГАНИЧЕСКИЕ МАТЕРИАЛЫ И НАНОМАТЕРИАЛЫ
- URL: https://journal-vniispk.ru/0044-457X/article/view/231685
- DOI: https://doi.org/10.31857/S0044457X23601591
- EDN: https://elibrary.ru/JJQCLA
- ID: 231685
Cite item
Full Text
Abstract
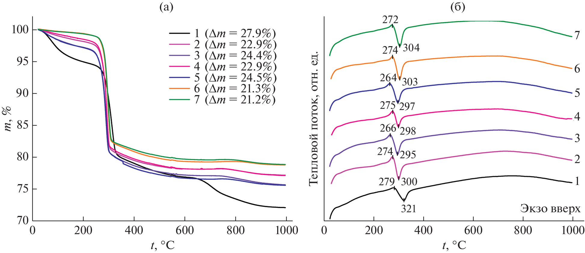
The synthesis of two-dimensional NiO nanostructures by programmable chemical deposition in combination with the hydrothermal treatment of intermediates in distilled water and in aqueous ammonia solution was studied. Simultaneous thermal analysis was used to determine the dependence of thermal stability and sorption capacity of particles of the intermediates on the parameters of their hydrothermal treatment and on the composition of the dispersion medium. The results of IR spectroscopy and X-ray diffraction analysis helped us to recognize the crystal structure specifics and the set of functional groups for intermediates and for NiO nanopowders formed on their basis. The average size of the coherent scattering regions (CSRs) of the manufactured nickel oxide powders varied from 4.0 ± 0.5 to 8.6 ± 0.8 nm depending on the hydrothermal treatment parameters. Scanning (SEM) and transmission (TEM) electron microscopy showed that the recrystallization of NiO nanoparticles can be tuned depending on the synthesis parameters to yield two-dimensional nanostructures of various shapes and required sizes, ranging from nanosheets of chaotic geometry to flat hexagons with a variable diameter. Due to their anisotropic microstructure, the manufactured nanomaterials can be effectively used in the fabrication of functional components for advanced alternative energy devices (supercapacitor electrodes, solid oxide fuel cells, etc.), including the use of printing technologies.
About the authors
T. L. Simonenko
Kurnakov Institute of General and Inorganic Chemistry, Russian Academy of Sciences
Email: egorova.offver@gmail.com
119991, Moscow, Russia
D. A. Dudorova
Kurnakov Institute of General and Inorganic Chemistry, Russian Academy of Sciences
Email: egorova.offver@gmail.com
119991, Moscow, Russia
N. P. Simonenko
Kurnakov Institute of General and Inorganic Chemistry, Russian Academy of Sciences
Email: egorova.offver@gmail.com
119991, Moscow, Russia
E. P. Simonenko
Kurnakov Institute of General and Inorganic Chemistry, Russian Academy of Sciences
Email: egorova.offver@gmail.com
119991, Moscow, Russia
N. T. Kuznetsov
Kurnakov Institute of General and Inorganic Chemistry, Russian Academy of Sciences
Author for correspondence.
Email: egorova.offver@gmail.com
119991, Moscow, Russia
References
- Yaqoot M., Diwan P., Kandpal T.C. // Renew. Sustain. Energy Rev. 2016. V. 58. P. 477. https://doi.org/10.1016/j.rser.2015.12.224
- Beccarello M., Di Foggia G. // Energies. 2023. V. 16. № 3. P. 1345. https://doi.org/10.3390/en16031345
- Gerard O., Numan A., Krishnan S. et al. // J. Energy Storage. 2022. V. 50. P. 104283. https://doi.org/10.1016/j.est.2022.104283
- Sun Y., Chong W.G. // Mater. Horizons. 2023. V. 10. № 7. P. 2373. https://doi.org/10.1039/D3MH00045A
- Nehate S.D., Sundaresh S., Saikumar A.K. et al. // ECS J. Solid State Sci. Technol. 2022. V. 11. № 6. P. 063015. https://doi.org/10.1149/2162-8777/ac774b
- Yu F., Huang T., Zhang P. et al. // Energy Storage Mater. 2019. V. 22. P. 235. https://doi.org/10.1016/j.ensm.2019.07.023
- Ramkumar R., Dhakal G., Shim J.-J. et al. // Nanomaterials. 2022. V. 12. № 21. P. 3813. https://doi.org/10.3390/nano12213813
- Yu M., Wang W., Li C. et al. // NPG Asia Mater. 2014. V. 6. № 9. P. E129. https://doi.org/10.1038/am.2014.78
- Ortiz M.G., Visintin A., Real S.G. // J. Electroanal. Chem. 2021. V. 883. P. 114875. https://doi.org/10.1016/j.jelechem.2020.114875
- Khalil A., Lalia B.S., Hashaikeh R. // J. Mater. Sci. 2016. V. 51. № 14. P. 6624. https://doi.org/10.1007/s10853-016-9946-z
- Arya S., Verma S. // Nickel-Metal Hydride (Ni-MH) Batteries. Wiley, 2020. P. 131. https://doi.org/10.1002/9781119714774.ch8
- Mozaffari S.A., Mahmoudi Najafi S.H., Norouzi Z. // Electrochim. Acta. 2021. V. 368. P. 137633. https://doi.org/10.1016/j.electacta.2020.137633
- Singh M., Zappa D., Comini E. // Mater. Adv. 2022. V. 3. № 14. P. 5922. https://doi.org/10.1039/D2MA00317A
- Mohd Abd Fatah A.F., Rosli A.Z., Mohamad A.A. et al. // Energies. 2022. V. 15. № 14. P. 5188. https://doi.org/10.3390/en15145188
- Bonomo M. // J. Nanoparticle Res. 2018. V. 20. № 8. P. 222. https://doi.org/10.1007/s11051-018-4327-y
- Nie C., Zeng W., Jing X. et al. // J. Mater. Sci. Mater. Electron. 2018. V. 29. № 9. P. 7480. https://doi.org/10.1007/s10854-018-8739-3
- Qi X., Zheng W., Li X. et al. // Sci. Rep. 2016. V. 6. № 1. P. 33241. https://doi.org/10.1038/srep33241
- Yan X., Tong X., Wang J. et al. // Mater. Lett. 2014. V. 136. P. 74. https://doi.org/10.1016/j.matlet.2014.07.183
- Pang H., Lu Q., Li Y. et al. // Chem. Commun. 2009. № 48. P. 7542. https://doi.org/10.1039/b914898a
- Sun W., Xiao L., Wu X. // J. Alloys Compd. 2019. V. 772. P. 465. https://doi.org/10.1016/j.jallcom.2018.09.185
- Hou G., Du Y., Cheng B. et al. // ACS Appl. Nano Mater. 2018. V. 1. № 11. P. 5981. https://doi.org/10.1021/acsanm.8b01398
- Tong G., Hu Q., Wu W. et al. // J. Mater. Chem. 2012. V. 22. № 34. P. 17494. https://doi.org/10.1039/c2jm31790g
- Yang Z.K., Song L.X., Xu R.R. et al. // CrystEngComm. 2014. V. 16. № 38. P. 9083. https://doi.org/10.1039/C4CE00998C
- Liu C., Li C., Ahmed K. et al. // Sci. Rep. 2016. V. 6. № 1. P. 29183. https://doi.org/10.1038/srep29183
- Pang H., Lu Q., Zhang Y. et al. // Nanoscale. 2010. V. 2. № 6. P. 920. https://doi.org/10.1039/c0nr00027b
- Kavitha T., Yuvaraj H. // J. Mater. Chem. 2011. V. 21. № 39. P. 15686. https://doi.org/10.1039/c1jm13278d
- Bhosale M.A., Bhanage B.M. // Adv. Powder Technol. 2015. V. 26. № 2. P. 422. https://doi.org/10.1016/j.apt.2014.11.015
- Zhu Y., Cao C., Tao S. et al. // Sci. Rep. 2014. V. 4. № 1. P. 5787. https://doi.org/10.1038/srep05787
- Nakate U.T., Lee G.H., Ahmad R. et al. // Ceram. Int. 2018. V. 44. № 13. P. 15721. https://doi.org/10.1016/j.ceramint.2018.05.246
- Taşköprü T., Zor M., Turan E. // Mater. Res. Bull. 2015. V. 70. P. 633. https://doi.org/10.1016/j.materresbull.2015.05.032
- Bose P., Ghosh S., Basak S. et al. // J. Asian Ceram. Soc. 2016. V. 4. № 1. P. 1. https://doi.org/10.1016/j.jascer.2016.01.006
- Wu J., Yin W.-J., Liu W.-W. et al. // J. Mater. Chem. A. 2016. V. 4. № 28. P. 10940. https://doi.org/10.1039/C6TA03137D
- Kumar V.M., Polaki S.R., Krishnan R. et al. // J. Alloys Compd. 2023. V. 931. P. 167420. https://doi.org/10.1016/j.jallcom.2022.167420
- Tu R., Leng K., Song C. et al. // RSC Adv. 2023. V. 13. № 28. P. 19585. https://doi.org/10.1039/D3RA02544F
- Lin J., Jia H., Liang H. et al. // Adv. Sci. 2018. V. 5. № 3. P. 1700687. https://doi.org/10.1002/advs.201700687
- Lin L., Liu T., Miao B. et al. // Mater. Lett. 2013. V. 102–103. P. 43. https://doi.org/10.1016/j.matlet.2013.03.103
- Xiao H., Yao S., Liu H. et al. // Prog. Nat. Sci. Mater. Int. 2016. V. 26. № 3. P. 271. https://doi.org/10.1016/j.pnsc.2016.05.007
- Simonenko T.L., Bocharova V.A., Gorobtsov P.Y. et al. // Russ. J. Inorg. Chem. 2020. V. 65. № 9. P. 1292. https://doi.org/10.1134/S0036023620090193
- Simonenko T.L., Bocharova V.A., Simonenko N.P. // Russ. J. Inorg. Chem. 2021. V. 66. № 11. P. 1633. https://doi.org/10.1134/S0036023621110176
- Simonenko T.L., Bocharova V.A., Simonenko N.P. et al. // Russ. J. Inorg. Chem. 2021. V. 66. № 12. P. 1779. https://doi.org/10.1134/S0036023621120160
- Real S.G., Ortiz M.G., Castro E.B. // J. Solid State Electrochem. 2017. V. 21. № 1. P. 233. https://doi.org/10.1007/s10008-016-3355-8
- Veseem M., Umar A.H. // Met. Oxide Nanostructures Their Appl. 2010. P. 1.
- Simonenko T.L., Simonenko N.P., Mokrushin A.S. et al. // Chemosensors. 2023. V. 11. № 2. P. 138. https://doi.org/10.3390/chemosensors11020138
- Begum S., Muralidharan V., Ahmedbasha C. // Int. J. Hydrogen Energy. 2009. V. 34. № 3. P. 1548. https://doi.org/10.1016/j.ijhydene.2008.11.074
- Abitkar S.B., Dhas S.D., Jadhav N.P. et al. // J. Mater. Sci. Mater. Electron. 2021. V. 32. № 7. P. 8657. https://doi.org/10.1007/s10854-021-05529-x
- Dudorova D.A., Simonenko T.L., Simonenko N.P. et al. // Molecules 2023. V. 28. № 6. P. 2515. https://doi.org/10.3390/molecules28062515
- He W., Li X., An S. et al. // Sci. Rep. 2019. V. 9. № 1. P. 10838. https://doi.org/10.1038/s41598-019-47120-9
- Zhang J.T., Liu S., Pan G.L. et al. // J. Mater. Chem. A. 2014. V. 2. № 5. P. 1524. https://doi.org/10.1039/C3TA13578K
- Mokrushin A.S., Simonenko T.L., Simonenko N.P. et al. // Appl. Surf. Sci. 2022. V. 578. P. 151984. https://doi.org/10.1016/j.apsusc.2021.151984
Supplementary files







