Формирование иерархически организованных пленок MoS2 в качестве перспективных электродов гибких суперконденсаторов
- Авторы: Симоненко Т.Л.1, Симоненко Н.П.1, Землянухин А.А.1,2, Горобцов Ф.Ю.1, Симоненко Е.П.1, Кузнецов Н.Т.1
-
Учреждения:
- Институт общей и неорганической химии им. Н.С. Курнакова РАН
- Российский химико-технологический университет им. Д.И. Менделеева (государственный университет)
- Выпуск: Том 68, № 12 (2023)
- Страницы: 1860-1872
- Раздел: НЕОРГАНИЧЕСКИЕ МАТЕРИАЛЫ И НАНОМАТЕРИАЛЫ
- URL: https://journal-vniispk.ru/0044-457X/article/view/231686
- DOI: https://doi.org/10.31857/S0044457X23601608
- EDN: https://elibrary.ru/BYOEJZ
- ID: 231686
Цитировать
Полный текст
Аннотация
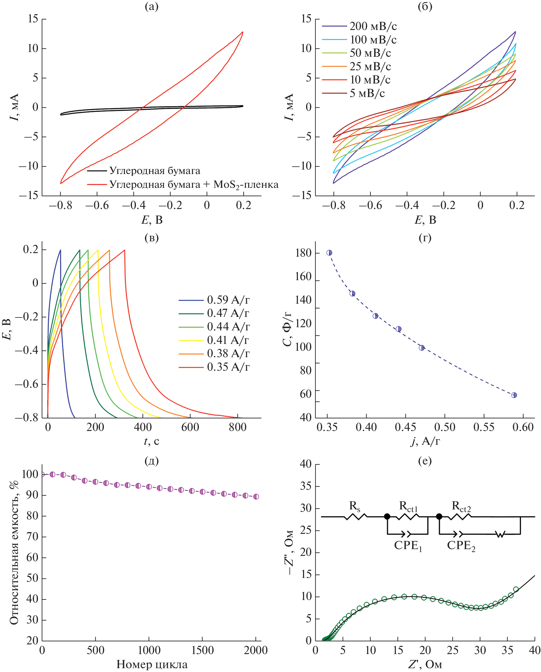
Изучен процесс формирования иерархически организованных пленок MoS2 на поверхности подложек различной природы гидротермальным методом. С помощью рентгенофазового анализа определено влияние условий синтеза и типа подложки (стеклянная подложка и гибкая углеродная бумага) на кристаллическую структуру сульфидных пленок. С применением растровой электронной микроскопии определено, что пленки на стеклянных подложках состоят из структурных элементов разного типа – плотный сплошной слой из сферических наночастиц, на поверхности которого расположены иерархически организованные сферические агломераты двух типов. Установлено, что на поверхности углеродных волокон, из которых состоит углеродная бумага, сформировалась оболочка из дисульфида молибдена толщиной около 1.5 мкм, состоящая из иерархически организованных нанолистов толщиной менее 10 нм. Для оценки однородности сформированной на поверхности углеродной бумаги пленки MoS2 построены карты распределения элементов. С помощью атомно-силовой микроскопии определено, что отдельное модифицированное сульфидной пленкой углеродное волокно характеризуется средней квадратической шероховатостью около 13 нм (на площади около 100 мкм2). По данным кельвин-зондовой силовой микроскопии, значение работы выхода электрона с поверхности материала составило 4.53 эВ. Для полученного гибкого электрода на основе иерархически организованной пленки дисульфида молибдена исследованы электрохимические характеристики. Определена удельная емкость, а также стабильность функциональных и микроструктурных свойств полученного электрода суперконденсатора в течение 2000 циклов заряда–разряда. Таким образом, предложенный подход является перспективным для изготовления эффективных иерархически организованных электродов гибких суперконденсаторов на основе MoS2.
Ключевые слова
Об авторах
Т. Л. Симоненко
Институт общей и неорганической химии им. Н.С. Курнакова РАН
Email: egorova.offver@gmail.com
Россия, 119991, Москва,
Ленинский пр-т, 31
Н. П. Симоненко
Институт общей и неорганической химии им. Н.С. Курнакова РАН
Email: egorova.offver@gmail.com
Россия, 119991, Москва,
Ленинский пр-т, 31
А. А. Землянухин
Институт общей и неорганической химии им. Н.С. Курнакова РАН; Российский химико-технологический университет им. Д.И. Менделеева(государственный университет)
Email: egorova.offver@gmail.com
Россия, 119991, Москва,
Ленинский пр-т, 31; Россия, 125047, Москва, Миусская пл., 9
Ф. Ю. Горобцов
Институт общей и неорганической химии им. Н.С. Курнакова РАН
Email: egorova.offver@gmail.com
Россия, 119991, Москва,
Ленинский пр-т, 31
Е. П. Симоненко
Институт общей и неорганической химии им. Н.С. Курнакова РАН
Email: egorova.offver@gmail.com
Россия, 119991, Москва,
Ленинский пр-т, 31
Н. Т. Кузнецов
Институт общей и неорганической химии им. Н.С. Курнакова РАН
Автор, ответственный за переписку.
Email: egorova.offver@gmail.com
Россия, 119991, Москва,
Ленинский пр-т, 31
Список литературы
- Sun B., Long Y.-Z., Chen Z.-J. et al. // J. Mater. Chem. C 2014. V. 2. № 7. P. 1209. https://doi.org/10.1039/C3TC31680G
- Gillan L., Hiltunen J., Behfar M.H. et al. // Jpn. J. Appl. Phys. 2022. V. 61. P. SE0804. https://doi.org/10.35848/1347-4065/ac586f
- Mohan M., Shetti N.P., Aminabhavi T.M. // Mater. Today Chem. 2023. V. 27. P. 101333. https://doi.org/10.1016/j.mtchem.2022.101333
- Wei S., Zhou R., Wang G. // ACS Omega. 2019. V. 4. № 14. P. 15780. https://doi.org/10.1021/acsomega.9b01058
- He X., Zhang X. // J. Energy Storage. 2022. V. 56. P. 106023. https://doi.org/10.1016/j.est.2022.106023
- Thangappan R., Kalaiselvam S., Elayaperumal A. et al. // Dalt. Trans. 2016. V. 45. № 6. P. 2637. https://doi.org/10.1039/C5DT04832J
- Riaz A., Sarker M.R., Saad M.H.M. et al. // Sensors. 2021. V. 21. № 15. P. 5041. https://doi.org/10.3390/s21155041
- Saraf M., Natarajan K., Mobin S.M. // ACS Appl. Mater. Interfaces. 2018. V. 10. № 19. P. 16588. https://doi.org/10.1021/acsami.8b04540
- Karade S.S., Dubal D.P., Sankapal B.R. // RSC Adv. 2016. V. 6. № 45. P. 39159. https://doi.org/10.1039/C6RA04441G
- Zhang Y.-Z., Wang Y., Cheng T. et al. // Chem. Soc. Rev. 2019. V. 48. № 12. P. 3229. https://doi.org/10.1039/C7CS00819H
- Dubal D.P., Kim J.G., Kim Y. et al. // Energy Technol. 2014. V. 2. № 4. P. 325. https://doi.org/10.1002/ente.201300144
- Chalangar E., Björk E.M., Pettersson H. // Sci. Rep. 2022. V. 12. № 1. P. 11843. https://doi.org/10.1038/s41598-022-15771-w
- Joseph N., Shafi P.M., Bose A.C. // Energy Fuels. 2020. V. 34. № 6. P. 6558. https://doi.org/10.1021/acs.energyfuels.0c00430
- Guo C., Pan J., Li H. et al. // J. Mater. Chem. C. 2017. V. 5. № 41. P. 10855. https://doi.org/10.1039/C7TC03749J
- Quilty C.D., Housel L.M., Bock D.C. et al. // ACS Appl. Energy Mater. 2019. V. 2. № 10. P. 7635. https://doi.org/10.1021/acsaem.9b01538
- Acerce M., Voiry D., Chhowalla M. // Nat. Nanotechnol. 2015. V. 10. № 4. P. 313. https://doi.org/10.1038/nnano.2015.40
- Krishnan U., Kaur M., Singh K. et al. // Superlattices Microstruct. 2019. V. 128. P. 274. https://doi.org/10.1016/j.spmi.2019.02.005
- Gupta D., Chauhan V., Kumar R. // Inorg. Chem. Commun. 2022. V. 144. P. 109848. https://doi.org/10.1016/j.inoche.2022.109848
- Tao J., Chai J., Lu X. et al. // Nanoscale. 2015. V. 7. № 6. P. 2497. https://doi.org/10.1039/C4NR06411A
- Taherkhani A., Shahbazi M. // Mater. Today Commun. 2023. V. 34. P. 105092. https://doi.org/10.1016/j.mtcomm.2022.105092
- Serpini E., Rota A., Ballestrazzi A. et al. // Surf. Coatings Technol. 2017. V. 319. P. 345. https://doi.org/10.1016/j.surfcoat.2017.04.006
- Cho Y.J., Sim Y., Lee J.-H. et al. // Curr. Appl. Phys. 2023. V. 45. P. 99. https://doi.org/10.1016/j.cap.2022.11.008
- Seravalli L., Bosi M. // Materials (Basel). 2021. V. 14. № 24. P. 7590. https://doi.org/10.3390/ma14247590
- Aspiotis N., Morgan K., März B. et al. // npj 2D Mater. Appl. 2023. V. 7. № 1. P. 18. https://doi.org/10.1038/s41699-023-00379-z
- Cho A.-J., Ryu S.H., Yim J.G. et al. // J. Mater. Chem. C. 2022. V. 10. № 18. P. 7031. https://doi.org/10.1039/D2TC01156E
- Duraisamy S., Ganguly A., Sharma P.K. et al. // ACS Appl. Nano Mater. 2021. V. 4. № 3. P. 2642. https://doi.org/10.1021/acsanm.0c03274
- Askari M.B., Kalourazi A.F., Seifi M. et al. // Optik (Stuttg). 2018. V. 174. P. 154. https://doi.org/10.1016/j.ijleo.2018.08.035
- Du H., Liu D., Li M. et al. // RSC Adv. 2015. V. 5. № 97. P. 79724. https://doi.org/10.1039/C5RA08424E
- Li J., Listwan A., Liang J. et al. // Chem. Eng. J. 2021. V. 422. P. 130100. https://doi.org/10.1016/j.cej.2021.130100
- Simonenko T.L., Bocharova V.A., Simonenko N.P. et al. // Russ. J. Inorg. Chem. 2020. V. 65. № 4. P. 459. https://doi.org/10.1134/S003602362004018X
- Simonenko T.L., Bocharova V.A., Gorobtsov P.Y. et al. // Russ. J. Inorg. Chem. 2020. V. 65. № 9. Р. 1304https://doi.org/10.1134/S0036023620090181
- Simonenko T.L., Bocharova V.A., Simonenko N.P. et al. // Russ. J. Inorg. Chem. 2021. V. 66. № 12. P. 1779. https://doi.org/10.1134/S0036023621120160
- Simonenko T.L., Bocharova V.A., Simonenko N.P. // Russ. J. Inorg. Chem. 2021. V. 66. № 11. P. 1633. https://doi.org/10.1134/S0036023621110176
- Simonenko T.L., Simonenko N.P., Gorobtsov P.Y. et al. // Ceram. Int. 2022. V. 48. № 15. P. 22401. https://doi.org/10.1016/j.ceramint.2022.04.252
- Zhao W., Liu X., Yang X. et al. // Nanomaterials. 2020. V. 10. № 6. P. 1124. https://doi.org/10.3390/nano10061124
- Qiu X., Zhang T., Dai Z. et al. // Ionics (Kiel). 2022. V. 28. № 2. P. 939. https://doi.org/10.1007/s11581-021-04379-1
- Fan H., Wu R., Liu H. et al. // J. Mater. Sci. 2018. V. 53. № 14. P. 10302. https://doi.org/10.1007/s10853-018-2266-8
- Yan J., Huang Y., Zhang X. et al. // Nano-Micro Lett. 2021. V. 13. № 1. P. 114. https://doi.org/10.1007/s40820-021-00646-y
- Chen Y.-L., Tsai C.-H., Chen M.-Y. et al. // Materials (Basel). 2018. V. 11. № 12. P. 2587. https://doi.org/10.3390/ma11122587
- Samy O., Zeng S., Birowosuto M.D. et al. // Crystals. 2021. V. 11. № 4. P. 355. https://doi.org/10.3390/cryst11040355
- Shakya J., Kumar S., Kanjilal D. et al. // Sci. Rep. 2017. V. 7. № 1. P. 9576. https://doi.org/10.1038/s41598-017-09916-5
- Zhou P., Song X., Yan X. et al. // Nanotechnology. 2016. V. 27. № 34. P. 344002. https://doi.org/10.1088/0957-4484/27/34/344002
- Priya S., Mandal D., Chowdhury A. et al. // Nanoscale Adv. 2023. V. 5. № 4. P. 1172. https://doi.org/10.1039/D2NA00807F
- Ranjan B., Sharma G.K., Kaur D. // Appl. Phys. Lett. 2021. V. 118. № 22. https://doi.org/10.1063/5.0048272
- Ali G.A.M., Thalji M.R., Soh W.C. et al. // J. Solid State Electrochem. 2020. V. 24. № 1. P. 25. https://doi.org/10.1007/s10008-019-04449-5
- Chen W., Gu J., Liu Q. et al. // Nat. Nanotechnol. 2022. V. 17. № 2. P. 153. https://doi.org/10.1038/s41565-021-01020-0
- Zhou R., Wei S., Liu Y. et al. // Sci. Rep. 2019. V. 9. № 1. P. 3980. https://doi.org/10.1038/s41598-019-40672-w
- Kumar S., Kumar V., Devi R. et al. // Adv. Mater. Sci. Eng. 2022. V. 2022. P. 1. https://doi.org/10.1155/2022/1288623
- Manuraj M., Kavya Nair K.V., Unni K.N.N. et al. // J. Alloys Compd. 2020. V. 819. P. 152963. https://doi.org/10.1016/j.jallcom.2019.152963
- Dhas S.D., Maldar P.S., Patil M.D. et al. // Vacuum. 2020. V. 181. P. 109646. https://doi.org/10.1016/j.vacuum.2020.109646
- Quan T., Härk E., Xu Y. et al. // ACS Appl. Mater. Interfaces. 2021. V. 13. № 3. P. 3979. https://doi.org/10.1021/acsami.0c19506
- Yu X., Du R., Li B. et al. // Appl. Catal. B Environ. 2016. V. 182. P. 504. https://doi.org/10.1016/j.apcatb.2015.09.003
- Zhang F., Tang Y., Liu H. et al. // ACS Appl. Mater. Interfaces. 2016. V. 8. № 7. P. 4691. https://doi.org/10.1021/acsami.5b11705
- Tobis M., Sroka S., Frąckowiak E. // Front. Energy Res. 2021. V. 9. https://doi.org/10.3389/fenrg.2021.647878
Дополнительные файлы











