Effect of superstoichiometric amounts of sodium and phosphorus on the phase composition and ionic conductivity of zirconium and sodium silicophosphates (NASICON)
- Authors: Grishchenko D.N.1, Podgorbunsky A.B.1, Medkov M.A.1
-
Affiliations:
- Institute of Chemistry, Far East Branch of the Russian Academy of Sciences
- Issue: Vol 69, No 2 (2024)
- Pages: 155-165
- Section: СИНТЕЗ И СВОЙСТВА НЕОРГАНИЧЕСКИХ СОЕДИНЕНИЙ
- URL: https://journal-vniispk.ru/0044-457X/article/view/260611
- DOI: https://doi.org/10.31857/S0044457X24020025
- EDN: https://elibrary.ru/ZIIITN
- ID: 260611
Cite item
Full Text
Abstract
Using the method of pyrolysis of solutions in a melt, the phase formation of sodium and zirconium silicophosphates Na1+xZr2SixP3–xO12 was studied depending on the concentrations of sodium and phosphorus in the precursors. The influence of the content of these components, as well as firing conditions on the change in the ionic conductivity of NASICON was studied. Methods of X-ray phase analysis, scanning electron microscopy, full-profile Rietveld analysis, and electrochemical impedance spectroscopy were used. The specific values of grain conductivity (σb) and grain boundaries (σgb) of the samples were calculated. It was found that the reason for the change in ionic conductivity is a change in the composition of NASICON with increasing concentrations of sodium and phosphorus in the precursor. The main condition for high conductivity of the material is the formation of a crystalline phase corresponding to the composition Na3Zr2Si2РO12, as well as a minimum amount of impurities and glass phase. The conductivity of the NASICON sample (x = 2) under certain processing conditions is ~ 1 · 10-3 S/cm.
Full Text
ВВЕДЕНИЕ
Известное семейство натриевых суперионных проводников (NASICON) с общей формулой Na1+xZr2SixP3–xO12 (0 ≤ x ≤ 3) впервые открыто в 1976 г. в работах [1, 2]. Высокая ионная проводимость, обнаруженная в этих соединениях, вызвала большой интерес и побудила к их всестороннему изучению и разработке новых методов синтеза. Обзор работ, демонстрирующий прогресс в области твердотельных электролитов NАSICON для натрий-ионных батарей, включая их проводящие свойства, механизм ионной диффузии, совместимость электролитов с катодом и анодом, представлен в работе [3].
Кристаллическая структура NASICON изменяется при изменении значения x. В диапазонах 0 ≤ x < 1.8 и 2.2 < х ≤ 3 она обладает ромбоэдрической сингонией с пр. гр. R3c, в диапазоне 1.8 ≤ x ≤ 2.2 она имеет моноклинную сингонию с пр. гр. C2/c [4]. Основной функцией электролита является перенос ионов, поэтому первостепенное внимание уделяется ионной проводимости полученных материалов. В структуре ромбоэдрической конфигурации ионы Na+ могут занимать две позиции, а в моноклинной структуре — три [4], т.е. моноклинная структура имеет больше путей ионной передачи. Также известно [5], что моноклинная структура имеет более низкую энергию активации миграции Na+, чем ромбоэдрическая структура, что определяет более высокую ионную проводимость материала. Таким образом, проводимость композитов имеет самые высокие значения в диапазоне 1.8 ≤ x ≤ 2.2. Именно в этом интервале сосредоточены основные исследования суперионных проводников. Как было установлено в [6], самой высокой ионной проводимостью, по сравнению с другими типами NASICON из указанного диапазона, обладает состав Na3Zr2Si2PO12.
В ряде работ изучено влияние дополнительных количеств натрия на проводимость NASICON (x = 2) [7–10]. Исследования однозначно указывают на увеличение ионной проводимости Na3Zr2Si2PO12 при превышении стехиометрических количеств элемента на 5–10%. Чаще всего этот факт объясняют увеличением концентрации носителей заряда. Таким образом, с одной стороны, установлено, что состав NASICON (х = 2) имеет максимальную ионную проводимость. С другой стороны, доказано, что увеличение Na-содержащего компонента повышает ионную проводимость материала. Однако увеличение натрия в Na3Zr2Si2PO12 должно сопровождаться изменением соотношения Si/P для сохранения электронейтральности состава, увеличением х и получением NASICON с х > 2 и в итоге приводить к уменьшению проводимости. Указанная противоречивая информация дает повод для выяснения причин изменения ионной проводимости материала с увеличением Na- и P-содержащих компонентов.
Цель настоящей работы — изучение влияния дополнительных количеств натрия и фосфора на состав образующегося NASICON в условиях пиролиза растворов в расплаве канифоли. Растворный метод синтеза исключает влияние недостаточной гомогенизации исходных компонентов, характерных для керамических методов синтеза.
ЭКСПЕРИМЕНТАЛЬНАЯ ЧАСТЬ
В качестве растворителя в работе использовали этиловый спирт (C2H5OH, “ч.”, Идеал-Фарм, Киргизия). Исходными веществами служили ацетилацетонат циркония (Zr(C5H7O2)4, “ч.”, Реахим, Россия), олеат натрия (C18H33O2Na, “ч. д. а.”, Sigma Aldrich, Германия), трибутилфосфат (C12H27O4P, “х. ч.”, Acros Organics, США), тетраэтоксисилан (C8H20O4Si, “х. ч.”, Реахим, Россия), канифоль (сосновая, марка “А”, ГОСТ 19113-84, Спецтехнохим, Россия).
Синтез осуществляли следующим образом. В этиловом спирте с температурой 40–50°С последовательно растворяли ацетилацетонат циркония(IV), трибутилфосфат, тетраэтоксисилан и соединяли с растворенным в этиловом спирте олеатом натрия. Компоненты прекурсора смешивали в необходимых мольных соотношениях. Масса растворителя в двадцать раз превышала сумму масс компонентов смеси. Добавляли канифоль и нагревали смесь до 60–70°С до полного растворения канифоли. Масса канифоли в полтора раза превышала сумму масс компонентов прекурсора. При температуре 80°С удаляли растворитель. Весь процесс проходил при постоянном перемешивании (300 об/мин) с помощью магнитной мешалки с нагревом IKA RET control/t. Полученный прекурсор, растворенный в расплаве канифоли, подвергали термической обработке в муфельной печи Nabertherm L5/13/B180 при 600°С в течение 30 мин для формирования аморфного порошка, который затем измельчали ручным сухим способом в течение 1 мин и подвергали пиролизу при 1000–1200°С в течение 30 мин. Нагрев осуществляли со средней скоростью 9 град/мин. Остывание проводили в муфеле без извлечения образца.
Материал исследовали методом рентгенофазового анализа (РФА) на дифрактометре STOE STADI P. Характеристики съемки: геометрия Брегга–Брентано, CuKá-излучение, Ni-фильтр, температура 295(2) K, высокоскоростной детектор Mythen2-1D, ширина щели 0.5 мм, диапазон съемки 10°–80°, шаг 0.024°, скорость 1 град/мин, экспозиция 5 с. Для идентификации использовали программу поиска EVA и базу порошковых данных ICDD PDF-2. Были выбраны следующие PDF-файлы: 01-078-0489 (х ~ 1.84), 01-084-1182 (х ~ 1.9), 01-084-1200 (х = 2), 01-084-1317 (х = 2.12) (табл. 1). Параметры кристаллических решеток полученных материалов уточняли методом Ритвельда с помощью программы FULLPROF. Расчеты проводили для фазы Na3Zr2Si2PO12 с пр. гр. С2/с (PDF 01-084-1200). Определение параметров решетки осуществляли в диапазоне углов 10°–70°. Для изучения морфологии образцов использовали метод сканирующей электронной микроскопии (СЭМ). Изображение поверхности объекта с высоким пространственным разрешением снимали на электронном сканирующем микроскопе Hitachi S5500.
Таблица 1. Параметры элементарных ячеек кристаллических решеток эталонных структур
ICDD PDF-2, № | Химическая формула | Параметр элементарной ячейки | ||||
a, Å | b, Å | c, Å | β, град | γ, град | ||
01-078-0489 | Na2.88(Na0.32Zr1.68) Si1.84P1.16O11.54 | 15.6209 | 9.0326 | 9.2172 | 123.673 | 90 |
01-084-1182 | Na3Zr1.93Si1.9P1.1O11.91 | 15.6428 | 9.0484 | 9.2214 | 123.871 | 90 |
01-084-1200 | Na3Zr2Si2РO12 | 15.6513 | 9.055 | 9.2198 | 123.742 | 90 |
01-084-1317 | Na3.12Zr2Si2.12Р0.88O12 | 15.669 | 9.246 | 9.055 | 90 | 124.120 |
Ионную проводимость керамик определяли с помощью переменно-токовых измерений импеданса с использованием блокирующих серебряных электродов по двухэлектродной схеме. Для измерений импеданса применяли анализатор частотного отклика SI 1260 (Solartron, Англия); в качестве возбуждающего выступал синусоидальный сигнал с амплитудой 0.6 В в диапазоне частот 1–10 МГц с разверткой 10 точек на декаду. Перед электрическими измерениями порошкообразные образцы формовали в таблетки (диаметр 15 мм, толщина 2–3 мм) методом холодного изостатического прессования при 300 МПа. Для прессования использовали порошок керамики, предварительно отожженный при 600°С в течение 30 мин. Затем прессованные таблетки подвергали отжигу при 1000 или 1100°С в течение 3 ч с последующим нанесением серебряной токопроводящей краски. Спектры импеданса, полученные при комнатной температуре (23°С), были аппроксимированы с использованием программного обеспечения ZView (Scribner Associates Inc., США) для расчета значений электропроводности. Объемное сопротивление (Rb), сопротивление границ зерен (Rgb), сопротивление переноса заряда (Re) и общее сопротивление Rt = Rb + Rgb керамик были определены посредством наилучшего совпадения экспериментальных спектров и смоделированных кривых, представленных в координатах Найквиста. Для исследуемых образцов были рассчитаны удельные значения проводимости зерен (σb) и границ зерен (σgb). Удельные значения проводимости определяли по формуле σ = l/(R ∙ s), где l — толщина таблетки, s — площадь электрода, R — сопротивление, рассчитанное при моделировании экспериментальных данных. Значения σb и σgb вычисляли при R = Rb и Rgb соответственно. Плотность образцов определяли методом гидростатического взвешивания на приборе OHAUS Corporation Adventurer™; для вакуумирования образцов использовали Stage Vacuum Pomp VP 125.
РЕЗУЛЬТАТЫ И ОБСУЖДЕНИЕ
Смешивание исходных компонентов в стехиометрических количествах для получения Na3Zr2Si2PO12 и последующий обжиг приводят к следующим фазовым превращениям (рис. 1): при 600°С образец рентгеноаморфный; при 700°С образуется кристаллическая фаза тетрагонального ZrO2; при 900°С к имеющейся фазе добавляются NASICON и паракелдышит (Na2ZrSi2O7). С увеличением температуры обжига от 900°С содержание ZrO2 в продукте синтеза уменьшается и в интервале 1100–1200°С становится незначительным. Таким образом, тетрагональная фаза ZrO2, скорее всего, является промежуточным продуктом формирования фазы NASICON. Тем не менее присутствие остаточных количеств ZrO2 и паракелдышита говорит о нарушении стехиометрии в прекурсоре. Возможно, образование паракелдышита происходит по причине частичных потерь фосфора в виде фосфорного ангидрида или обусловлено другими факторами, например участием в образовании рентгеноаморфной фазы. Известно [11], что дополнительные количества P-содержащего компонента, а также увеличение Na в присутствии избытка P способствуют удалению Na2ZrSi2O7 и тетрагонального ZrO2 из продукта синтеза. Для изучения влияния сверхстехиометрических количеств на состав продукта получены образцы, содержащие дополнительные количества Na (5, 10, 15, 20 мол. %) и P (15, 20, 25, 30, 35 мол. %). Интерес представляет не только изменение состава получаемых продуктов в зависимости от соотношения компонентов, но и от температуры обжига.
Рис. 1. Дифрактограммы образцов со стехиометрическим соотношением компонентов, отожженных при температуре, °С: 600 (1); 700 (2); 800 (3); 900 (4); 1000 (5); 1100 (6).
Установлено, что некоторые образцы имеют состав NASICON (х < 2). Идентификация в диапазоне 1.5 < х < 2 методом РФА затруднительна в связи с отсутствием в базе порошковых данных штрихрентгенограмм, отвечающих формуле Na1+xZr2SixP3–xO12. Наиболее достоверно отражают составы в этом интервале силикофосфаты Na2.88(Na0.32Zr1.68)Si1.84P1.16O11.54 (PDF 01-078-0489, х ~ 1.84) и Na3Zr1.93Si1.9P1.1O11.91 (PDF 01-084-1182, х ~ 1.9). Эталонные штрих-рентгенограммы составов диапазона 1.8 < х < 2.12 представлены на рис. 2. Отмечаем, что дифракционные максимумы для составов с моноклинной сингонией имеют практически одинаковые углы отражения. Тем не менее дифрактограммы образцов различимы. На рис. 3 приведены основные дифракционные максимумы некоторых NASICON, полученных в процессе синтеза. Разницу между составами демонстрируют увеличенные фрагменты рисунка. Изменение NASICON в зависимости от содержания Р показано на примере образцов 8–11 (рис. 4). Профиль, принадлежащий NASICON (х = 2.12), имеет образец 8. Остальные по мере увеличения P имеют профиль 2 < х < 2.12, что подтверждается уменьшением интенсивности дифракционных максимумов в области 2è ~ 19.2°. Поскольку РФА не дает точной информации о принадлежности состава, выполнены расчеты параметров элементарных ячеек материалов, полученных в ходе исследования. В качестве примера в табл. 2 представлены результаты расчетов параметров для образцов, отожженных при 1000°С. Результаты исследования состава продукта синтеза демонстрирует табл. 3. Переменные составы NASICON, являющиеся твердыми растворами, не имеют строго определенных параметров кристаллической решетки. Согласно табл. 2, параметры элементарных ячеек меняются плавно, поэтому отнесение экспериментального образца к определенной эталонной структуре, указанной в табл. 3, условно.
Рис. 2. Штрихрентгенограммы: PDF 01-084-1317 (х = 2.12) (а); PDF 01-084-1200 (х = 2) (б); PDF 01-084-1182 (х ~ 1.9) (в), PDF 01-078-0489 (х ~ 1.84) (г).
Рис. 3. Основные дифракционные максимумы образцов, полученных при температурах обжига, °С: 1200 (образец 4) (1), 1200 (образец 10) (2), 1000 (образец 8) (3).
Рис. 4. Основные дифракционные максимумы образцов после обжига при 1000°С: образцы 8 (1), 9 (2), 10 (3), 11 (4).
Таблица 2. Изменение параметров элементарной ячейки кристаллической решетки NASICON в зависимости от состава прекурсора при температуре обжига 1000°С
Образец | Состав прекурсора, Na : Zr : Si : P, мол. | Превышение стехиометрического состава прекурсора, мол. % | Параметры элементарной ячейки | ||||
Na | P | a, Å | b, Å | c, Å | â, град | ||
1 | 3 : 2 : 2 : 1.2 | 0 | 20 | 15.6586(14) | 9.0513(7) | 9.2325(7) | 123.814(6) |
2 | 3 : 2 : 2 : 1.25 | 0 | 25 | 15.6467(13) | 9.0464(7) | 9.2332(6) | 123.741(6) |
3 | 3.15 : 2 : 2 : 1.15 | 5 | 15 | 15.6653(16) | 9.0597(8) | 9.2305(7) | 123.885(8) |
4 | 3.15 : 2 : 2 : 1.2 | 5 | 20 | 15.6601(16) | 9.0579(7) | 9.2286(8) | 123.840(5) |
5 | 3.15 : 2 : 2 : 1.25 | 5 | 25 | 15.6544(15) | 9.0566(8) | 9.2365(8) | 123.834(5) |
6 | 3.15 : 2 : 2 : 1.3 | 5 | 30 | 15.6569(14) | 9.0467(7) | 9.2334(7) | 123.810(6) |
7 | 3.3 : 2 : 2 : 1.15 | 10 | 15 | 15.6697(16) | 9.0638(8) | 9.2211(7) | 123.924(7) |
8 | 3.3 : 2 : 2 : 1.2 | 10 | 20 | 15.6630(15) | 9.0615(8) | 9.2260(7) | 123.890(7) |
9 | 3.3 : 2 : 2 : 1.25 | 10 | 25 | 15.6615(14) | 9.0572(7) | 9.2268(7) | 123.874(8) |
10 | 3.3 : 2 : 2 : 1.3 | 10 | 30 | 15.6598(16) | 9.0540(8) | 9.2291(7) | 123.840(4) |
11 | 3.3 : 2 : 2 : 1.35 | 10 | 35 | 15.6614(12) | 9.0543(7) | 9.2322(7) | 123.833(7) |
12 | 3.45 : 2 : 2 : 1.3 | 15 | 30 | 15.6670(12) | 9.0577(7) | 9.2283(7) | 123.924(8) |
13 | 3.6 : 2 : 2 : 1.3 | 20 | 30 | 15.6590(13) | 9.0570(7) | 9.2264(8) | 123.845(7) |
Группы образцов 3–6, 7–11 представляют изменение концентрации P при постоянном содержании Na. Группы образцов 3, 7; 4, 8; 2, 5, 9; 10, 12, 13 показывают изменение концентрации Na при постоянном содержании P. Факт увеличения потерь фосфора с ростом температуры обжига образца, о котором неоднократно упоминалось в исследованиях [12, 13], подтверждает образец 3, в котором Na2ZrSi2O7 отсутствует при 1000°С и появляется при увеличении температуры. Сравнение образцов 3 и 7 свидетельствует об увеличении количества паракелдышита с ростом содержания Na в прекурсоре. Наблюдается изменение состава продукта синтеза с увеличением температуры обжига прекурсора.
Очевидно, что добавочные количества натрия и фосфора должны оказывать влияние как на состав кристаллической фазы получаемых продуктов синтеза, так и на образование кристаллических и аморфных примесей. В интервале концентраций фосфора от 15 до 25 мол. % и натрия от 0 до 5 мол. % доминирует фаза Na3Zr1.93Si1.9P1.1O11.91, которая стабилизируется с повышением температуры. При температуре 1000°С в интервале концентраций фосфора от 15 до 25 мол. % при содержании натрия 10 мол. % образуется главным образом фаза Na3.12Zr2Si2.12Р0.88O12, которая с повышением температуры переходит в Na3Zr2Si2РO12. В интервале концентраций натрия 10–20 мол. % и фосфора 20–35 мол. % присутствует в основном фаза Na3Zr2Si2РO12. Это свидетельствует о том, что формирование кристаллической фазы Na3Zr2Si2РO12 при большом избытке натрия и фосфора в исходной смеси происходит в расплаве рентгеноаморфной стеклофазы.
Установлено, что изменение концентрации Na- и P-содержащих компонентов в составе прекурсора сопровождается изменением x в общей формуле Na1+xZr2SixP3–xO12. Результаты, представленные в табл. 3, свидетельствуют о том, что с увеличением концентрации Na в прекурсоре значение х полученного состава повышается, а с увеличением концентрации P — снижается. Закономерности изменения параметров элементарных ячеек при изменении содержания Na и P имеют обратные зависимости. Это объясняет причину противоположного изменения х в полученных материалах. Результаты расчетов показывают, что образцы 6, 11, 13 с максимальным содержанием P и Na не поддерживают закономерность изменения параметров в своей группе образцов. Причиной может являться невключение сверхизбыточных количеств указанных элементов в кристаллическую решетку. Скорее всего, эти количества образуют дополнительную рентгеноаморфную фазу. Увеличение температуры обжига снижает все параметры элементарных ячеек. Закономерности изменения параметров сохраняются для образцов, отожженных при 1100 и 1200°С. Основные изменения элементарная ячейка претерпевает при увеличении температуры в интервале 1000–1100°С; в интервале 1100–1200°С изменения незначительны.
Таблица 3. Состав образцов после обжига прекурсора при различных температурах
Образец | Превышение стехиометрического состава прекурсора, мол. % | Фаза при обжиге | |||
Na | P | 1000°С | 1100°С | 1200°С | |
1 | 0 | 20 | Na3Zr2Si2РO12 + ZrO2 | Na3Zr1.93Si1.9P1.1O11.91+ ZrO2 | Na3Zr1.93Si1.9P1.1O11.91 + ZrO2 |
2 | 0 | 25 | Na3Zr1.93Si1.9P1.1O11.91+ + ZrO2 | Na2.88(Na0.32Zr1.68) Si1.84P1.16O11.54 + ZrO2 | Na2.88(Na0.32Zr1.68) Si1.84P1.16O11.54 + ZrO2 |
3 | 5 | 15 | Na3.12Zr2Si2.12Р0.88O12 | Na3Zr2Si2РO12 + Na2ZrSi2O7 | Na3Zr2Si2РO12 + Na2ZrSi2O7 |
4 | 5 | 20 | Na3Zr2Si2РO12 | Na3Zr1.93Si1.9P1.1O11.91 | Na3Zr1.93Si1.9P1.1O11.91 |
5 | 5 | 25 | Na3Zr2Si2РO12 | Na3Zr1.93Si1.9P1.1O11.91 | Na3Zr1.93Si1.9P1.1O11.91 |
6 | 5 | 30 | Na3Zr1.93Si1.9P1.1O11.91 | Na3Zr1.93Si1.9P1.1O11.91 | Na3Zr1.93Si1.9P1.1O11.91 |
7 | 10 | 15 | Na3.12Zr2Si2.12Р0.88O12 + + Na2ZrSi2O7 | Na3Zr2Si2РO12 + Na2ZrSi2O7 | Na3Zr2Si2РO12 + Na2ZrSi2O7 |
8 | 10 | 20 | Na3.12Zr2Si2.12Р0.88O12 | Na3Zr2Si2РO12 | Na3Zr2Si2РO12 |
9 | 10 | 25 | Na3.12Zr2Si2.12Р0.88O12 | Na3Zr2Si2РO12 | Na3Zr2Si2РO12 |
10 | 10 | 30 | Na3Zr2Si2РO12 | Na3Zr2Si2РO12 | Na3Zr2Si2РO12 |
11 | 10 | 35 | Na3Zr2Si2РO12 | Na3Zr2Si2РO12 | Na3Zr2Si2РO12 |
12 | 15 | 30 | Na3.12Zr2Si2.12Р0.88O12 | Na3Zr2Si2РO12 | Na3Zr2Si2РO12 |
13 | 20 | 30 | Na3Zr2Si2РO12 | Na3Zr2Si2РO12 | Na3Zr2Si2РO12 |
Микрофотографии одного из образцов, полученных с помощью сканирующего электронного микроскопа, представлены на рис. 5. Аналогичный вид имеют образцы других составов. Температура обжига влияет на морфологию полученных материалов. При 1000°С NASICON имеет зерна одинаковой формы и размера (~0.3 мкм в диаметре). При 1100 и 1200°С в материале формируются кристаллы NASICON неправильной формы и разного размера (0.3–0.8 мкм). Наблюдается аморфная фаза вокруг зерен. Тем не менее на дифрактограммах этих образцов гало, характерное для стеклофазы, не обнаружено (рис. 6). Это говорит о сравнительно небольшом увеличении содержания рентгеноаморфной фазы с повышением температуры обжига материала до 1200°С.
Рис. 5. Микрофотографии образцов (состав 10), полученных при температурах, °С: 1000 (а), 1100 (б), 1200 (в).
Рис. 6. Дифрактограммы образцов (состав 10), полученных при температурах, °С: 1000 (1), 1100 (2), 1200 (3).
Периодически в литературе встречается информация о потерях Na в процессе синтеза NASICON вследствие испарения [10, 14]. В действительности соединения натрия не являются летучими. Необходимость добавления его сверх стехиометрических количеств, скорее всего, связана с образованием рентгеноаморфной фазы, а также других соединений, незначительных по содержанию и не обнаруживаемых РФА. Так, методом электронной микроскопии в некоторых образцах установлено присутствие нетипичных для NASICON кристаллов с формой уплощенных призм, средний размер которых составляет 0.2 × 0.5 × 2 мкм. Наблюдается неравномерность распределения кристаллов в образце: в основном это единичные кристаллы (рис. 5в), но встречаются и скопления (рис. 7а). Энергодисперсионные спектры выявляют существенно большее количество Na в их составе (рис. 7б) по сравнению с основной фазой (рис. 7в). Принадлежность кристаллов к определенному соединению затруднительна ввиду спектрального рассеяния от прилегающих зон. Указанная примесная кристаллическая фаза находится вне пределов обнаружения РФА, поэтому ее количество несущественно. Следует отметить, что эти кристаллы обнаружены только в образцах, отожженных при температуре 1200°С. Увеличение стеклофазы в образце с повышением температуры обжига материала (рис. 5) и одновременное уменьшение количества Na и P в кристаллической фазе NASICON, обнаруженное при температуре 1100°С, — еще один аргумент в пользу участия этих элементов в основном в образовании рентгеноаморфной фазы.
Рис. 7. Микрофотография образца 1, полученного при температуре 1200°С (а) и его энергодисперсионные спектры в областях сканирования: 1 (б), 2 (в).
Известно [6], что состав Na3Zr2Si2PO12 имеет максимальную ионную проводимость среди составов NASICON с общей формулой Na1+xZr2SixP3–xO12. Для исследования влияния дополнительных количеств натрия и фосфора на изменение ионной проводимости материала выбраны составы 4, 5, 6, отожженные при 1000°С (параметры элементарных ячеек кристаллических решеток указаны в табл. 2, состав — в табл. 3) и 2, 5, 9, отожженные при 1100°С (параметры элементарных ячеек и составы указаны в табл. 4). Ионная проводимость исследована на двух группах образцов: с изменением Na и изменением P. Результаты исследования отражены в табл. 5. Обжиг в течение 3 ч позволяет получить более плотную структуру за счет роста зерен и уменьшения их границ [9], при этом фазовый состав не претерпевает значимых изменений [11]. Как следует из табл. 5, плотность близких по составу структур зависит от температурных условий обработки прекурсора. Средняя плотность полученных образцов, отожженных при 1100°С, составляет 2.88 г/см3, а при 1000°С — 2.46 г/см3.
Таблица 4. Параметры элементарных ячеек кристаллических решеток образцов, полученных при температуре 1100°С
Образец | Превышение стехиометрического состава прекурсора, мол. % | Параметры элементарной ячейки | Полученный состав | ||||
Na | P | a, Å | b, Å | c, Å | β, град | ||
2 | 0 | 25 | 15.6225(11) | 9.0365(7) | 9.2189(8) | 123.698(5) | Na2.88(Na0.32Zr1.68) Si1.84P1.16O11.54 |
5 | 5 | 25 | 15.6396(14) | 9.0492(7) | 9.2244(8) | 123.667(6) | Na3Zr1.93Si1.9P1.1O11.91 |
9 | 10 | 25 | 15.6552(15) | 9.0557(7) | 9.2251(8) | 123.782(4) | Na3Zr2Si2РO12 |
Таблица 5. Результаты исследования плотности и электрической проводимости твердотельных образцов
Образец | Превышение стехиометрического состава прекурсора, мол. % | Температура обжига, °С | Плотность, ρ, г/см3 | Удельная электропроводность, σb, См/см | Удельная электропроводность, σgb, См/см | Общее сопротивление, Rt, кОм см | |
Na | P | ||||||
2 | 0 | 25 | 1100 | 2.860 | 3.48 × 10–4 | 5.90 × 10–5 | 19.83 |
5 | 5 | 25 | 1100 | 2.901 | 4.19 × 10–4 | 8.20 × 10–5 | 14.58 |
9 | 10 | 25 | 1100 | 2.876 | 4.87 × 10–4 | 8.57 × 10–5 | 13.73 |
4 | 5 | 20 | 1000 | 2.502 | 9.58 × 10–4 | 15.5 × 10–5 | 7.49 |
5 | 5 | 25 | 1000 | 2.443 | 6.92 × 10–4 | 7.83 × 10–5 | 14.22 |
6 | 5 | 30 | 1000 | 2.439 | 5.86 × 10–4 | 9.58 × 10–5 | 11.91 |
Согласно исследованиям, увеличение натрия при постоянной температуре обжига 1100°С (образцы 2, 5, 9) сопровождается повышением ионной проводимости. Увеличение фосфора при постоянной температуре обжига 1000°С (образцы 4, 5, 6) приводит к ее уменьшению. Как видно из табл. 2–4, объясняется это изменением переменного значения x в общей формуле Na1+xZr2SixP3–xO12. Как и следовало ожидать, максимальную ионную проводимость в каждой из групп имеют образцы 4 и 9 состава Na3Zr2Si2РO12. Проводимость в группе образцов, полученных при 1000°С, больше, чем в группе образцов, полученных при 1100°С. Так, у образца 9 проводимость существенно ниже, чем у 4, несмотря на аналогичный состав продукта синтеза. Как видно из табл. 5, состав прекурсора сравниваемых образцов различен. По-видимому, дополнительные количества Na и P образуют в межзеренном пространстве рентгеноаморфную фазу, негативно влияющую на проводимость. Снижение проводимости с увеличением температуры обжига материала демонстрирует состав 5. Причина — изменение х полученного силикофосфата, а также увеличение рентгеноаморфной фазы при повышении температуры. Удельная электропроводность границ зерен в целом повторяет изменение электропроводности зерен. Однако образец 6 нарушает зависимость в своей группе. Как было отмечено ранее, этот образец имеет сверхизбыточные количества P в составе прекурсора, которые не включаются в кристаллическую решетку образца, что, вероятно, влияет на значение проводимости границ зерен за счет изменения состава стеклофазы межзеренного пространства. Таким образом, проведенные нами исследования подтверждают, что главным условием высокой проводимости является минимальное количество примесей и стеклофазы, а также образование кристаллической фазы, отвечающей составу Na3Zr2Si2РO12.
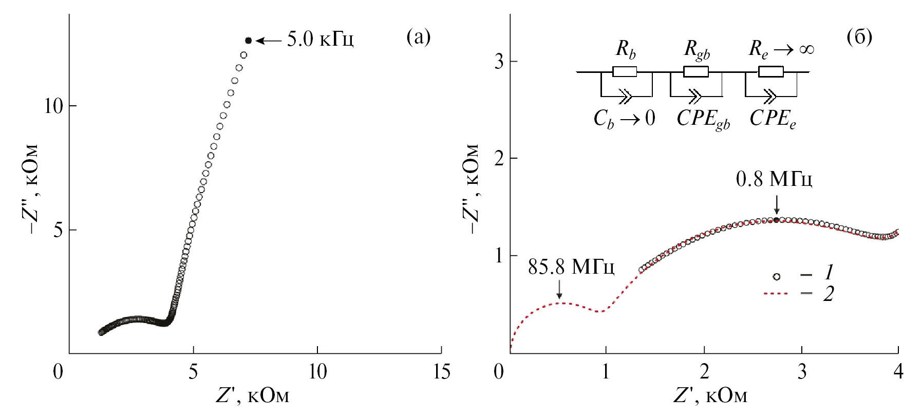
На рис. 8 представлен импедансный спектр образца (состав 4). Остальные образцы имеют аналогичные спектры. Анализ годографов импеданса указывает на наличие полуокружности с центром, лежащим ниже абсцисс (высокочастотная область) и типичный пик, отвечающий за поведение блокирующих ионы электродов (область пониженных частот). Низкочастотная область спектра (в терминах эквивалентных электрических схем, применяемых к образцам, обладающим значительной ионной проводимостью) моделировалась одним элементом постоянного угла сдвига фаз CPEe (CPE — constant phase element) [15]. Основной интерес представляет высокочастотная область, позволяющая рассчитать сопротивление и емкость зерен (Rb и Cb) и границ зерен (Rgb, СPEgb) поликристаллического образца (рис. 8а). При расчете проводящих свойств материала использовали традиционную параллельную двух-, трехцепочечную схему, предложенную в работах [16, 17] и используемую для характеристики керамических поликристаллических материалов методом импедансной спектроскопии (рис. 8б). При этом для описания объемных свойств зерен в расчет брали лишь элемент сопротивления Rb, поскольку значения емкости зерен Cb зачастую лежат вне пределов регистрации анализатора частотного отклика (Cb < 10–12 Ф). На основании литературных данных [18] и моделирования можно предположить, что значения емкости зерен материала могут быть оценены в пределах 10–13–10–12 Ф. Более точно указанные значения могут быть определены из переменно-токовых измерений импеданса материала при пониженных температурах. Анализ импедансных спектров указывает на то, что полуокружность, описывающая границы зерен образца, имеет достаточно вытянутую форму. Это может свидетельствовать о наличии протяженной (непрерывной) стеклообразной межзеренной фазы, что находит подтверждение на СЭМ-изображениях (рис. 5). Подобный характер спектров схож с данными, полученными для стеклокерамики [18]. Спектры Найквиста синтезированных керамик демонстрируют достаточно низкие значения общего импеданса (в пределах 1.7–3.3 кОм для образцов с переменным содержанием Na и 2.0–5.2 кОм для образцов с переменным содержанием P), близкие к значениям, характерным для материалов NASICON, получаемых различными способами [19–21]. Моделирование полуокружности в области сверхвысоких частот ( f > 1011 Гц) позволяет достаточно точно определить импеданс зерен, соответствующий внутренней части кристалла (рис. 8б). Следует отметить, что величина Cgb /Cb > 102 указывает на малый размер зерен и сравнительно большую толщину межзеренной границы.
Рис. 8. Импедансный спектр образца 4 (а), высокочастотная область спектра с эквивалентной схемой (б): 1 — экспериментальный спектр, 2 — кривая, моделирующая спектр в расширенном частотном диапазоне.
ЗАКЛЮЧЕНИЕ
Исследованы условия фазообразования в системе Na1+xZr2SixP3–xO12 с использованием метода пиролиза раствора олеата натрия, ацетилацетоната циркония, трибутилфосфата и тетраэтоксисилана в расплаве канифоли. Установлено, что для получения NASICON состава Na3Zr2Si2РO12 требуется превышение стехиометрических количеств Na на 5 мол. %, P на 20 мол. % при обжиге 1000°С и Na на 10 мол. %, P на 30 мол. % при обжиге в интервале 1000–1200°С. Согласно исследованиям, изменение натрия от 0 до 10 мол. % и фосфора от 15 до 35 мол. % выше стехиометрических значений в зависимости от условий обжига позволяет получать NASICON с составами в интервале 1.84 < х < 2.12. При прочих равных условиях увеличение натрия в смеси исходных компонентов приводит к получению соединения с более высоким переменным значением х в общей формуле Na1+xZr2SixP3–xO12, а увеличение фосфора — с более низким.
Согласно результатам, приведенным в настоящей работе, изменением состава NASICON при увеличении концентрации Na и P в прекурсоре объясняется изменение ионной проводимости изученных составов.
Финансирование работы
Работа выполнена в рамках государственного задания ФГБУН Института химии ДВО РАН, тема № (0205)-2023-0003, тема № (0205)-2023-0004.
КОНФЛИКТ ИНТЕРЕСОВ
Авторы заявляют об отсутствии конфликта интересов.
About the authors
D. N. Grishchenko
Institute of Chemistry, Far East Branch of the Russian Academy of Sciences
Author for correspondence.
Email: grishchenko@ich.dvo.ru
Russian Federation, Vladivostok, 690022
A. B. Podgorbunsky
Institute of Chemistry, Far East Branch of the Russian Academy of Sciences
Email: grishchenko@ich.dvo.ru
Russian Federation, Vladivostok, 690022
M. A. Medkov
Institute of Chemistry, Far East Branch of the Russian Academy of Sciences
Email: grishchenko@ich.dvo.ru
Russian Federation, Vladivostok, 690022
References
- Goodenough J.B., Hong H.Y-P., Kafalas J.A. // Mater. Res. Bull. 1976. V. 11. № 2. P. 203. https://doi.org/10.1016/0025-5408(76)90077-5
- Hong H.Y-P. // Mater. Res. Bull. 1976. V. 11. № 2. P. 173. https://doi.org/10.1016/0025-5408(76)90073-8
- Li C., Li R., Liu K. et al. // Interdiscip. Mater. 2022. P. 1. https://doi.org/10.1002/idm2.12044
- Guin M., Tietz F. // J. Power Sources. 2015. V. 273. P. 1056. https://doi.org/10.1016/j.jpowsour.2014.09.137
- Lalere F., Leriche J.B., Courty M. et al. // J. Power Sources. 2014. V. 247. P. 975. https://doi.org/10.1016/j.jpowsour.2013.09.051
- Fergus J.-W. // Solid State Ionics. 2012. V. 227. P. 102. https://doi.org/10.1016/j.ssi.2012.09.019
- Narayanan S., Reid S., Butler S., Thangadurai V. // Solid State Ionics. 2019. V. 331. P. 22. https://doi.org/10.1016/j.ssi.2018.12.003
- Rao Y.B., Bharathi K.К., Patro L.N. // Solid State Ionics. 2021. V. 366–377. P. 115671. https://doi.org/10.1016/j.ssi.2021.115671
- Wang H., Zhao G., Wang S. et al. // Nanoscale. 2022. V. 14. № 3. P. 823. https://doi.org/10.1039/d1nr06959d
- Naqash S., Tietz F., Yazhenskikh E. et al. // Solid State Ionics. 2019. V. 336. P. 57. https://doi.org/10.1016/j.ssi.2019.03.017
- Грищенко Д.Н., Курявый В.Г., Подгорбунский А.Б., Медков М.А. // Журн. неорган. химии. 2023. Т. 68. № 1. С. 17. https://doi.org/10.31857/S0044457X22601043
- Fuentes R.O., Marques F.M.B., Franco J.I. // Bol. Soc. Esp. Cerám. Vidrio. 1999. V. 38. № 6. P. 631.
- Zhang S., Quan B., Zhiyong Z., Zhao B. // Materials Letters. 2004. V. 58. № 1. P. 226.
- Yang G., Zhai Y., Yao J. et al. // Chem. Commun. 2021. V. 57. P. 4023. https://doi.org/10.1039/d0cc07261c
- Brug G.J., van den Eeden A.L.G., Sluyters-Rehbach M., Sluyters J.H. // J. Electroanal. Chem. Interfacial Electrochem. 1984. V. 176. P. 275. https://doi.org/10.1016/S0022-0728(84)80324-1
- Bauerle J.E. // J. Phys. Chem. Solids. 1969. V. 30. P. 2657. https://doi.org/10.1016/0022-3697(69)90039-0
- Bauerle J.E., Hrizo J. // J. Phys. Chem. Solids. 1969. V. 30. P. 565. https://doi.org/10.1016/0022-3697(69)90011-0
- Kim S.K., Mao A., Sen S., Kim S. // Chem. Mater. 2014. V. 26. P. 5695. https://doi.org/10.1021/cm502542p
- Suzuki K., Noi K., Hayashi A., Tatsumisago M. // Scr. Mater. 2018. V. 145. P. 67. https://doi.org/10.1016/j.scriptamat.2017.10.010
- Ren K., Cao Y., Chen Y. et al. // Scripta Mater. 2020. V. 187. P. 384. https://doi.org/10.1016/j.scriptamat.2020.06.055
- Ngo Q.Q., Nguyen V.N., To V.N. et al. // Интеллектуальная электротехника. 2022. № 2. C. 16. https://doi.org/10.46960/2658-6754_2022_2_16
Supplementary files










