Extraction Of Actinides And Lanthanides From Nitric Acid Solutions With Mixtures of 1,5-N,N′- Bis[(Diphenylphosphoryl)Acetyl(Hexyl)Amino]Pentane And New Asymmetrical Phosphonium- And Imidazolium Based Ionic Liquid
- Authors: Turanov A.N.1, Karandashev V.K.2, Sharova E.V.3, Artyushin O.I.3
-
Affiliations:
- Yu.A. Ossipyan Institute of Solid State Physics of the Russian Academy of Sciences
- Institute of Microelectronics Technology and High-Purity Materials of the Russian Academy of Sciences
- A. N. Nesmeyanov Institute of Organoelement Compounds of the Russian Academy of Sciences
- Issue: Vol 69, No 2 (2024)
- Pages: 229-237
- Section: ФИЗИКОХИМИЯ РАСТВОРОВ
- URL: https://journal-vniispk.ru/0044-457X/article/view/260712
- DOI: https://doi.org/10.31857/S0044457X24020105
- EDN: https://elibrary.ru/ZHDYJP
- ID: 260712
Cite item
Full Text
Abstract
A new dicationic ionic liquid 1-methyl-3-(4-(tributylphosphonio)butyl)-1H-imidazol-3-ium di[bis(trifluoromethanesulfonul)imide] [ImP][Tf2N]2, characterized by high hydrophobicity (solubility in water 9.2 × 10-4 mol/l) was synthesized. The extraction of U(VI), Th(IV), and lanthanides(III) from nitric acid solutions with mixtures of 1,5-N,N’-bis[(diphenylphosphoryl)acety(hexyl)amino]pentane (L), containing two bidentate fragments Ph2P(O)CH2C(O)N(Hex)- interconnected by pentamethylene spacer through amide nitrogen atoms, and [ImP][Tf2N]2 in 1,2-dichloroethane (DCE) was studied. During the extraction of metal ions in this system, a significant synergistic effect is observed. The influence of the composition of the aqueous and organic phases on the efficiency of the extraction of metal ions into the organic phase is considered, and the stoichiometry of the extracted complexes is determined. The synergistic effect at the extraction of Ln(III) from 3 M HNO3 solutions with a mixture of L and [ImP][Tf2N]2 in DCE is an order of magnitude higher than in the L–[C8mim][Tf2N]–DCE system.
Full Text
ВВЕДЕНИЕ
Ионные жидкости (ИЖ) в последние годы завоевывают все более прочные позиции в различных областях науки и техники в связи с наличием у них комплекса уникальных физико-химических свойств, таких как превосходные сольватационные свойства, высокие значения диэлектрической проницаемости, низкая летучесть, негорючесть, низкая растворимость в воде и т.д., что нехарактерно для традиционных органических растворителей. Это делает ИЖ чрезвычайно востребованными в синтезе уникальных мономерных и полимерных материалов [1, 2], каталитических процессах [3], электрохимии [4], жидкостной и газовой хроматографии [5], в процессах извлечения и разделения органических соединений [6] и ионов металлов [7–10], в том числе при переработке отработанного ядерного топлива [11]. Было показано, что экстракция U(VI), Pu(IV) и Th(IV) карбамоилметилфосфиноксидами (КМФО) возрастает в десятки раз при использовании гексафторфосфата 1-бутил-3-метилимидазолия в качестве разбавителя по сравнению с традиционным n-додеканом [9], причем в качестве разбавителя не обязательно использовать чистую ИЖ, поскольку добавка даже небольших количеств ИЖ в обычный органический разбавитель приводит почти к такому же росту эффективности экстракции. Этот эффект был обнаружен при использовании различных фосфорорганических экстрагентов, таких как КМФО [12, 13], дигликольамиды [14], производные каликсаренов [11, 15] и т.д., и объясняется высокой гидрофобностью анионов ИЖ, которые участвуют в образовании экстрагируемых комплексов в качестве противоионов, повышая, таким образом, их гидрофобность и облегчая переход в используемый разбавитель. В настоящее время уже синтезированы десятки различных ИЖ и установлены некоторые закономерности влияния их структуры на экстракцию ионов металлов [11, 16, 17]. Так, увеличение гидрофобности аниона ИЖ и снижение гидрофобности ее катиона ведут к повышению экстракционной способности ИЖ [16]. Однако снижение гидрофобности катиона ИЖ, например при уменьшении длины алкильного заместителя при атоме азота в катионной части бис[(трифторметил)сульфонил]имидов 1-алкил-3-метилимидазолия [Cnmim][Tf2N], хотя и приводит к увеличению экстракциии Am(III) и Eu(III) растворами КМФО [17], однако сопровождается заметным переходом ИЖ в водную фазу, что не только приводит к заметным потерям ИЖ, но и создает дополнительные экологические проблемы при их применении в экстракционных процессах [18].
Более безопасными в этом плане считаются ИЖ с двумя катионными центрами, свойства которых в настоящее время интенсивно исследуются [19–23]. Однако данные о влиянии таких ИЖ на экстракцию ионов металлов в литературе отсутствуют.
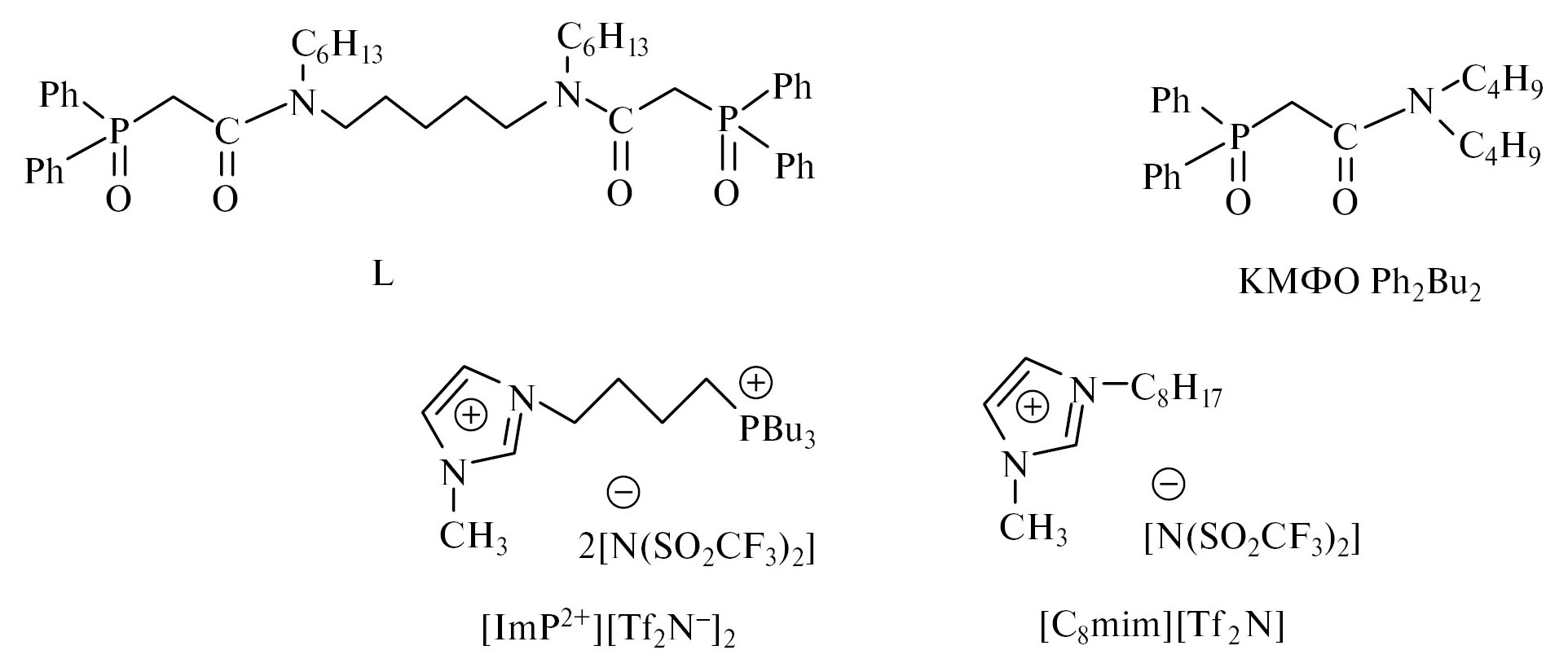
В настоящей работе исследовано влияние новой ИЖ с двумя катионными центрами [ImP][Tf2N]2 на экстракцию U(VI), Th(IV) и лантанидов(III) из растворов азотной кислоты с использованием 1,5-N,N′- бис[(дифенилфосфинил)ацетил(гексил)амино]пентана (L), молекула которого содержит два бидентатных фрагмента Ph2P(O)CH2C(O)N(Hex)–, соединенных между собой пентаметиленовым мостиком через амидные атомы азота. Ранее нами было показано, что значения коэффициентов распределения Ln(III), U(VI) и Th(IV) при экстракции раствором этого соединения в молекулярных растворителях значительно выше, чем при экстракции его моноаналогом КМФО Ph2Bu2 [24].
Экстракционные свойства этой ИЖ сравниваются с поведением бис(трифторметилсульфонил)имида 1-октил-3-метилимидазолия [C8mim][Tf2N].
ЭКСПЕРИМЕНТАЛЬНАЯ ЧАСТЬ
Исходные реактивы для синтеза экстрагента L и ионных жидкостей имели квалификацию “х. ч.” или “ч. д. а.” (Sigma-Aldrich, США) и применялись без дополнительной очистки.
Спектры 1H, 13C и 31P ЯМР регистрировали на приборе Bruker AV-400 (рабочая частота 400.13 МГц для 1H, 100.61 МГц для 13C и 161.97 МГц для 31P) в растворе CDCl3 при использовании сигнала остаточных протонов дейтерированного растворителя в качестве внутреннего эталона (1Н, 13С) и 85%-ной H3PO4 (31P) в качестве внешнего стандарта. Спектры 13С ЯМР регистрировали в режиме JMODECHO, сигналы атомов углерода с четным и нечетным числом протонов имеют противоположную полярность. ИК-спектры регистрировали на спектрометре Magna IR750 (Nicolet). Элементный анализ проводили в Лаборатории микроанализа ИНЭОС РАН.
1,5-N,N′-бис[(дифенилфосфинил)ацетил(гексил)амино]пентан (L) [24], дифенил(дибутилкарбамоилметил)фосфиноксид (КМФО Ph2Bu2) [25] и ионную жидкость бис[(трифторметил)сульфонил]имид 1-октил-3-метилимидазолия ([C8mim][Tf2N]) [26] синтезировали и очищали по ранее описанным методикам.
(4-Бромбутил)(трибутил)фосфоний бромид получен по модифицированной методике [27]. К раствору 5.3 г (0.025 моль) дибромбутана в 5 мл EtOH (абс.) при комнатной температуре в токе Ar добавляли за 1 ч 1.0 г (0.005 моль) трибутилфосфина. Полученный раствор перемешивали при 50°С в течение 1 ч, затем 2 ч при 80°С, растворитель отгоняли. Остаток выдерживали при 0.1 мм рт. ст. и 70°С до постоянной массы, промывали Et2O (4 × 15 мл). Полученное светло-желтое масло выдерживали при 0.1 мм рт. ст. до постоянной массы. Выход 1.8 г (87%).
31P ЯМР-спектр (δP, м.д.) 33.24. 1H ЯМР-спектр (δН, м.д.): 3.50 (т, 2H, CH2Br, 3JHH = 6.1 Гц); 2.66–2.57 (м, 2H, PCH2CH2CH2CH2Br); 2.44–2.36 (м, 6H, P(CH2CH2CH2CH3)3); 2.07 (п, 2H, PCH2CH2CH2CH2Br, 3JHH = 6.4 Гц); 1.80–1.72 (м, 2H, PCH2CH2CH2CH2Br); 1.59–1.43 (м, 12H, P(CH2CH2CH2CH3)3); 0.95 (т, 9H, P(CH2CH2CH2CH3)3, 3JHH = 7.0 Гц).
1-Метил-3-(4-(трибутилфосфонио)бутил)-1H-имидазол-3-ия дибромид получен по модифицированной методике [22]. К раствору 0.4 г (0.0052 моль) N-метилимидазола в 2 мл CHCl3 (абс.) при 0°С в токе Ar добавляли за 30 мин 1.8 г (0.0043 моль) (4-бромбутил)(трибутил)фосфония бромида. Полученный раствор перемешивали при 0°С в течение 3 сут, затем 6 сут при 40–45°С. Растворитель отгоняли, остаток выдерживали при 0.1 мм рт. ст. и температуре 40°С до постоянной массы. Остаток промывали Et2O (4 × 10 мл), полученное светло-желтое вязкое масло выдерживали при 0.1 мм рт. ст. и 30°С над P2O5 до постоянной массы. Выход 1.6 г (76%).
Найдено, %: C 48.06; H 8.44; N 5.59; P 7.02.
Вычислено для C20H41Br2N2P, %: C 48.01; H 8.26; N 5.60; P 6.19.
ИК-спектр (ν, см–1): 3429, 3143, 3074, 2961, 2933, 2874, 2189, 1622, 1573, 1465, 1412, 1383, 1283, 1232, 1171, 1099, 969, 923, 821, 730, 641, 624. 31P ЯМР-спектр (δP, м.д.) 33.50. 1H ЯМР-спектр (δН, м.д.): 10.21 (с, 1H, в Meim); 8.16 (с, 1H, в Meim); 7.31 (с, 1H, в Meim); 4.57 (уш. т, 2H, NCH2, 3JHH = 6.0 Гц); 4.02 (с, 3H, NCH3); 2.78–2.59 (м, 2H, NCH2CH2CH2CH2P); 2.41–2.26 (м, 8H, –CH2P(CH2CH2CH2CH3)3); 1.87 (уш. с, 2H, NCH2CH2CH2CH2P); 1.64–1.46 (м, 12H, P(CH2CH2CH2CH3)3); 0.94 (т, 9H, P(CH2CH2CH2CH3)3, 3JHH = 6.4 Гц). 13C ЯМР-спектр (δС, м.д.): 136.33 (с, NCH=N); 122.92 и 122.75 (оба с, NCH=CHN); 48.06 (с, NCH2–); 36.19 (с, NCH3); 30.36 (д, NCH2CH2CH2CH2P, 2JPC = 16.0 Гц); 23.32 (д, PCH2CH2CH2CH3, 2JPC = 15.3 Гц); 23.10(д, PCH2CH2CH2CH3, 3JPC = 4.6 Гц); 18.42 (д, PCH2CH2CH2CH2N, 1JPC = 48.4 Гц); 18.23 (д, PCH2CH2CH2CH3, 1JPC = 47.0 Гц); 17.88 (с, NCH2CH2CH2CH2P); 12.94 (с, CH3).
1-Метил-3-(4-(трибутилфосфонио)бутил)-1H-имидазол-3-ия ди[бис(трифторметилсульфонил)имид] ([ImP][Tf2N]2). К раствору 1.6 г (3.2 ммоль) 1-метил-3-(4-(трибутилфосфонио)бутил)-1H-имидазол-3-ия дибромида в 15 мл воды добавляли раствор 2.1 г (7.3 ммоль) бис(трифторметилсульфонил)имида лития в 10 мл воды и перемешивали в течение 2 ч при 40°С. Затем прибавляли 30 мл 1,2-дихлорэтана, перемешивали и отделяли органическую фазу. Полученный раствор использовали в экстракционных экспериментах.
При проведении экспериментов по экстракции ионов металлов в качестве растворителя использовали 1,2-дихлорэтан (ДХЭ) марки “х. ч.” (Вектон) без дополнительной очистки. Растворы экстрагента в ДХЭ готовили с использованием точных навесок. Водные растворы лантанидов(III), U(VI) и Th(IV) с концентрацией 0.01 моль/л готовили растворением соответствующих нитратов в воде. Эти растворы после разбавления с последующим добавлением HNO3 использовали для приготовления исходных водных растворов при проведении экспериментов по экстракции. Концентрация HNO3 в таких растворах изменялась в диапазоне 0.01–5 моль/л, концентрация ионов металлов составляла 4 × 10–6 моль/л. При изучении экстракции лантанидов(III) в исходной водной фазе присутствовали все Ln(III), кроме Pm. Все эксперименты по экстракции ионов металлов проводили в пластиковых пробирках при комнатной температуре (22 ± 2°C) и объемном соотношении органической и водной фаз 1 : 1. Контакт фаз осуществляли в роторном смесителе со скоростью 60 об/мин в течение 1 ч. Предварительно установлено, что этого времени достаточно для достижения постоянных значений коэффициента распределения (D).
Концентрацию Ln(III), U(VI) и Th(IV) в исходных и равновесных водных растворах определяли при помощи масс-спектрометрии с индуктивно связанной плазмой на масс-спектрометре XSeries 2 (ThermoScientific, США) по методике [28]. Концентрацию металлов в органической фазе находили по разнице между их концентрациями в водной фазе до и после экстракции. Коэффициент распределения ионов металлов рассчитывали как отношение концентраций ионов металлов в равновесных фазах. Погрешность измерений D составляла ~10%. Концентрацию [ImP2+] и [Tf2N–] в равновесных водных растворах находили путем определения содержания фосфора и серы методом атомно-эмиссионной спектрометрии с индуктивно связанной плазмой на спектрометре ICAP-61 (Thermo Jarrel Ash). Концентрацию HNO3 в равновесной водной фазе определяли потенциометрическим титрованием стандартным раствором NaOH.
РЕЗУЛЬТАТЫ И ОБСУЖДЕНИЕ
Важной характеристикой ионных жидкостей, используемых в процессах экстракции ионов металлов, является их растворимость в водных растворах. Растворимость [ImP][Tf2N]2 в воде составляет 9.2 × 10–4 моль/л. Для сравнения в табл. 1 приведены значения растворимости имидазолиевых ИЖ с катионом Tf2N–. Из этих данных следует, что гидрофобность [ImP][Tf2N]2 значительно больше, чем наиболее часто используемой в экстракции [C4mim][Tf2N]. Это является существенным достоинством [ImP][Tf2N]2.
Таблица 1. Растворимость ионных жидкостей в воде
Ионная жидкость | Растворимость в воде, ммоль/л | Ссылка |
[C2mim][Tf2N] | 48.9 ± 0.3 | [29] |
[C4mim][Tf2N] | 15.7 ± 0.2 | [29] |
[C6mim][Tf2N] | 7.2 ± 0.2 | [29] |
[C8mim][Tf2N] | 4.1 ± 0.2 | [29] |
[ImP][Tf2N]2 | 0.92 ± 0.05 | Настоящая работа |
Рассмотрено влияние концентрации HNO3 в равновесной водной фазе на экстракцию ионов U(VI), Th(IV) и Ln(III) растворами соединения L в ДХЭ, содержащем 0.002 M [ImP][Tf2N]2. Для сравнения на рис. 1 приведены данные по экстракции этих ионов растворами соединения L в ДХЭ без ИЖ. Увеличение концентрации HNO3 в водной фазе сопровождается ростом коэффициентов распределения Ln(III) при использовании раствора L в ДХЭ без ИЖ. При [HNO3] > 3 моль/л рост DU, DTh и DEu несколько замедляется (рис. 1), что связано с заметной соэкстракцией HNO3 [24]. Такой характер зависимости lgD–lg[HNO3] наблюдался при экстракции U(VI), Th(IV) и Ln(III) растворами КМФО в молекулярных растворителях по сольватному механизму в виде координационно-сольватированных нитратов [30].
Рис. 1. Влияние концентрации HNO3 в водной фазе на экстракцию Th(IV) (1, 4), U(VI) (2, 5) и Eu(III) (3, 6) растворами соединения L в дихлорэтане (4–6) и в дихлорэтане, содержащем 0.003 M ИЖ [ImP][Tf2N]2 (1–3). Концентрация L, моль/л: 0.0001 (1, 4), 0.0005 (2, 5), 0.002 (3, 6).
В присутствии ИЖ в органической фазе характер зависимости lgD–lg[HNO3] резко изменяется. При экстракции U(VI), Th(IV) и Eu(III) смесями L и [ImP][Tf2N]2 в ДХЭ значения D снижаются с увеличением концентрации HNO3 в водной фазе (рис. 1). Подобная зависимость D от кислотности водной фазы ранее наблюдалась при экстракции Ln(III) и актинидов растворами нейтральных фосфорорганических экстрактов, а также дигликольамидов [12–14] в обычных органических разбавителях в присутствии ИЖ [C4mim][Tf2N]. Мы полагаем, что характер зависимости D–[HNO3] для всех вышеупомянутых экстракционных систем можно объяснить снижением концентрации свободного экстрагента в органической фазе при повышении кислотности водной фазы вследствие соэкстракции как HNO3, так и HTf2N, которая присутствует в водной фазе в результате перехода анионного компонента ИЖ в водную фазу.
Как видно из рис. 1, при одинаковой концентрации HNO3 в водной фазе и экстрагента L добавка ИЖ в органическую фазу приводит к значительному увеличению коэффициентов распределения U(VI), Th(IV) и Eu(III). При этом сама ИЖ [ImP][Tf2N]2 не извлекает U(VI), Th(IV) и Eu(III) из растворов азотной кислоты (D < 10–2). Это указывает на проявление значительного синергетического эффекта в системе L–[ImP][Tf2N]2–ДХЭ. Наиболее вероятной причиной данного эффекта является участие анионов Tf2N– в образовании экстрагируемых комплексов в качестве противоионов. Это приводит к повышению гидрофобности таких комплексов по сравнению с комплексами, образующимися с нитрат-ионами в отсутствие ИЖ в органической фазе. Мы предполагаем, что анионы Tf2N–, обладающие слабой координационной способностью [31], находятся во внешней координационной сфере экстрагируемых комплексов. Большие анионы Tf2N– несовместимы с сильно связанной водородными связями структурой воды в водной фазе, что делает их переход в органическую фазу более энергетически выгодным, чем переход нитрат-анионов.
Величина синергетического эффекта при экстракции смесями L и ИЖ может быть оценена с использованием коэффициента синергизма (SC), рассчитанного как
SC = DL+ИЖ/(DL + DИЖ), (1)
где DL, DИЖ и DL+ИЖ – коэффициенты распределения иона металла при экстракции с L и ИЖ, взятыми отдельно, и с их смесями соответственно.
Сравнение зависимостей D–[HNO3] в системах L–ДХЭ и L–[ImP][Tf2N]2–ДХЭ (рис. 1) показывает, что синергетический эффект уменьшается, когда концентрация HNO3 в водной фазе увеличивается. Например, при экстракции Eu(III) увеличение [HNO3] от 0.5 до 5 моль/л приводит к снижению значений SC от 1120 до 3.2.
Проведено сравнение влияния ионных жидкостей [ImP][Tf2N]2 и [C8mim][Tf2N] на экстракцию Ln(III) соединением L и его моноаналогом (КМФО Ph2Bu2) из азотнокислых растворов. Как видно из рис. 2, [ImP][Tf2N]2 оказывает значительно больший синергетический эффект при экстракции Ln(III), чем [C8mim][Tf2N], хотя последняя и обладает меньшей гидрофобностью (табл. 1). В присутствии ИЖ в органической фазе эффективность экстракции Ln(III) из азотнокислых растворов соединением L значительно выше, чем его моноаналогом – КМФО Ph2Bu2. Следовательно, эффект предорганизации молекулы экстрагента L [32] проявляется и в системах с ИЖ.
Рис. 2. Коэффициенты распределения лантанидов(III) при экстракции из растворов 3 M HNO3 растворами соединений L (1, 2, 5) и КМФО Ph2Bu2 (3, 4, 6) в дихлорэтане (5, 6) и дихлорэтане, содержащем 0.025 M [ImP][Tf2N]2 (1, 3) и [C8mim][Tf2N] (2, 4). Концентрация соединения L 0.01 моль/л, КМФО Ph2Bu2 0.02 моль/л.
При умеренной концентрации HNO3 в равновесной водной фазе экстракция Ln(III) снижается по мере увеличения атомного номера (Z) Ln(III) (рис. 2). В целом такой порядок экстрагируемости в ряду лантанидов является типичным для КМФО [33] и их бис-производных [24] в азотнокислых средах. Указанный характер зависимости lgDLn–Z был объяснен увеличением энергии гидратации ионов Ln(III) по мере уменьшения их ионных радиусов с увеличением Z [33]. Можно отметить, что величина фактора разделения La и Lu (βLa/Lu = DLa/DLu) в системе L–[ImP][Tf2N]2 больше, чем в системе L–[C8mim][Tf2N] (рис. 2).
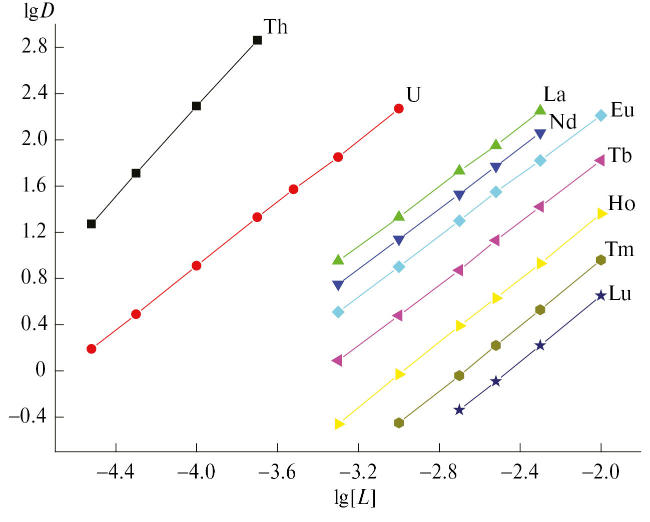
Стехиометрическое соотношение металл : L в комплексах, экстрагируемых в присутствии [ImP][Tf2N]2, определено методом сдвига равновесия. Угловой наклон зависимости lgDTh–lg[L] близок к 2 (рис. 3), что указывает на экстрагирование ионов Th(IV) из растворов азотной кислоты в виде дисольватов. При экстракции U(VI) и Ln(III) соединением L наблюдается нецелочисленный наклон зависимости lgD–lg[L] (рис. 3). Это может быть результатом образования смеси моно- и дисольватов в органической фазе.
Рис. 3. Влияние концентрации соединения L в дихлорэтане, содержащем 0.002 M [ImP][Tf2N]2, на экстракцию Th(IV), U(VI) и Ln(III) из растворов 1 M HNO3.
При постоянной концентрации HNO3 (0.3 М) изучали влияние концентрации ионов NO3– в водной фазе на экстракцию Ln(III) смесями L и [ImP][Tf2N]2 в ДХЭ. Изменение концентрации NH4NO3 от 0.5 до 4 моль/л не приводит к заметному изменению величины DLn. Следовательно, ионы NO3– не принимают участия в образовании экстрагируемых комплексов в системе L–[ImP][Tf2N]2–ДХЭ в этих условиях. Следует отметить, что ионы Ln(III) эффективно экстрагируются смесями L и [ImP][Tf2N]2 в ДХЭ также из растворов HCl и H3PO4. Например, при экстракции Eu(III) смесями 0.002 М L и 0.002 М [ImP][Tf2N]2 в ДХЭ из растворов 1 М HCl и H3PO4 значения DEu составляют 63 и 35.5 соответственно, хотя в отсутствие ИЖ ионы Ln(III) практически не переходят в органическую фазу (значения DEu не превышают 10–2). Это указывает на то, что при экстракции Ln(III) из растворов HCl и H3PO4 синергетический эффект в присутствии [ImP][Tf2N]2 в органической фазе проявляется в значительно большей степени, чем при экстракции из растворов HNO3.
С учетом найденных стехиометрических коэффициентов экстракция ионов Ln(III) в органическую фазу, содержащую нейтральный лиганд L и ионную жидкость [ImP][Tf2N]2, по катионообменному механизму может быть описана следующими равновесиями:
Ln3+(в) + L(о) + 3/2[ImP][Tf2N]2(о) LnL(Tf2N)3(о) + 3/2[ImP2+](в) , (2)
Ln3+(в) + 2L(о) + 3/2[ImP][Tf2N]2(о) LnL2(Tf2N)3(о) + 3/2[ImP2+](в) . (3)
Из этих уравнений следует, что повышение концентрации [ImP][Tf2N]2 в органической фазе должно приводить к увеличению эффективности экстракции Ln(III), а повышение концентрации ImP2+ в водной фазе – к ее снижению. Это подтверждают экспериментальные данные: угловой наклон зависимости lgDLn–lg[ImP(Tf2N)2] близок к 1.5 (рис. 4), а угловой наклон зависимости lgDLn– lg[ImP2+]–к–1.5 (рис. 5). Данный факт свидетельствует о том, что ионы Ln(III) экстрагируются смесями лиганда L и [ImP][Tf2N]2 по механизму катионного обмена.
Рис. 4. Влияние концентрации [ImP][Tf2N]2 в дихлорэтане, содержащем 0.002 M соединения L, на экстракцию Ln(III) из раствора 1 M HNO3.
Рис. 5. Влияние концентрации [ImP]Br2 в водной фазе на экстракцию Ln(III) из растворов 0.01 M HNO3 растворами 0.002 M соединения L в дихлорэтане, содержащем 0.002 M [ImP][Tf2N]2.
ЗАКЛЮЧЕНИЕ
Представленные данные показали, что при экстракции U(VI), Th(IV) и лантанидов(III) из водных растворов азотной кислоты смесями бис[(дифенилфосфинил)ацетил(гексил)амино]пентана (L) и ионной жидкости [ImP][Tf2N]2 в ДХЭ наблюдается значительный синергетический эффект. Этот эффект связан с высокой гидрофобностью анионов ИЖ, участвующих в образовании экстрагируемых комплексов в качестве противоиона. Процесс экстракции ионов металлов осуществляется по механизму катионного обмена. Показано, что величина синергетического эффекта при экстракции Ln(III) из 3 М растворов HNO3 смесью L и [ImP][Tf2N]2 в ДХЭ на порядок выше, чем в системе L–[C8mim][Tf2N]–ДХЭ.
ФИНАНСИРОВАНИЕ РАБОТЫ
Работа выполнена при поддержке Министерства науки и высшего образования Российской Федерации в рамках государственного задания ИФТТ РАН, ИПТМ РАН и ИНЭОС РАН (№ 075-03-2023-642) на 2023 г. с использованием научного оборудования Центра исследования строения молекул ИНЭОС РАН. Масс-спектральные измерения выполнены в Центре коллективного пользования научным оборудованием ИПТМ РАН.
КОНФЛИКТ ИНТЕРЕСОВ
Авторы заявляют об отсутствии конфликта интересов.
About the authors
A. N. Turanov
Yu.A. Ossipyan Institute of Solid State Physics of the Russian Academy of Sciences
Email: sharovaev@mail.ru
Russian Federation, Chernogolovka, 142432
V. K. Karandashev
Institute of Microelectronics Technology and High-Purity Materials of the Russian Academy of Sciences
Email: sharovaev@mail.ru
Russian Federation, Chernogolovka, 142432
E. V. Sharova
A. N. Nesmeyanov Institute of Organoelement Compounds of the Russian Academy of Sciences
Author for correspondence.
Email: sharovaev@mail.ru
Russian Federation, Moscow, 119334
O. I. Artyushin
A. N. Nesmeyanov Institute of Organoelement Compounds of the Russian Academy of Sciences
Email: sharovaev@mail.ru
Russian Federation, Moscow, 119334
References
- Welton T. // Chem. Rev. 1999. V. 99. P. 2071. https://doi.org/10.1021/cr980032t
- Nosov D., Ronnasi B., Lozinskaya E.I. et al. // ACS Appl. Polym. Mater. 2023. V. 5. № 4. P. 2639. https://doi.org/10.1021/acsapm.2c02223
- Ponkratov D.O., Shaplov A.S., Vygodskii Ya.S. // Polym. Sci. Ser. C. 2019. V. 61. № 1. P. 2. https://doi.org/10.1134/S1811238219010144
- Wang W., Murray R.W. // Anal. Chem. 2007. V. 79. № 3. P. 1213. https://doi.org/10.1021/ac0615697
- Berthod A., Ruiz-Angel M.J., Carda-Broch S. // J. Chromatogr. A. 2008. V. 1184. P. 6. https://doi.org/10.1016/j.chroma.2007.11.109
- Kamaz M., Vogler R.J., Jebur M. et al. // Sep. Purif. Technol. 2020. V. 236. P. 116237. https://doi.org/10.1016/j.seppur.2019.116237
- Atanassova M. // J. Mol. Liq. 2021. V. 343. P. 117530. https://doi.org/10.1016/j.molliq.2021.117530
- Iqbal M., Waheed K., Rahat S.B. et al. // J. Radioanal. Nucl. Chem. 2020. V. 325. P. 1. https://doi.org/10.1007/s10967-020-07199-1
- Arrachart G., Couturier J., Dourdain S. et al. // Processes. 2021. V. 9. P. 1202. https://doi.org/10.3390/pr9071202
- Белова В.В. // Радиохимия. 2021. Т. 63. № 1. С. 3. https://doi.org/10.31857/S0033831121010019 Belova V.V. // Radiochemistry. 2021. V. 63. № 1. P. 1. https://doi.org/10.1134/S106636222101001X
- Sun. X., Luo H., Dai S. // Chem. Rev. 2012. V. 112. № 4. P. 2100. https://doi.org/10.1021/cr200193x
- Turanov A.N., Karandashev V.K., Baulin V.E. // Solvent Extr. Ion Exch. 2012. V. 30. P. 244. http://dx.doi.org/10.1080/07366299.2011.639248
- Turanov A.N., Karandashev V.K., Sharova E.V. et al. // Radiochim. Acta. 2018. V. 106. P. 355. https://doi.org/10.1515/ract-2017-2851
- Turanov A.N., Karandashev V.K., Boltoeva M. et al. // Sep. Purif. Technol. 2016. V. 164. P. 97. http://dx.doi.org/10.1016/j.seppur.2016.03.004
- Gan Q., Cai Y., Fu K. et al. // Radiochim. Acta. 2020. V. 108. P. 239. https://doi.org/10.1515/ract-2019-3147
- Luo H., Dai S., Bonnesen P.V. et al. // Solvent Extr. Ion Exch. 2006. V. 24. P. 19. https://doi.org/10.1080/07366290500388624
- Sun T., Zhang Y., Wu Q. et al. // Solvent Extr. Ion Exch. 2017. V. 35. P. 408. https://doi.org/10.1080/07366299.2017.1379142
- Cho C.-W., Phan T.P.T., Zhao Y. et al. // Sci. Total Environ. 2021. V. 786. P. 147309. https://doi.org/10.1016/j.scitotenv.2021.147309
- Montalban M.G., Villora G., Licence P. // Ecotoxicol. Environ. Saf. 2018. V. 150. P. 129. https://doi.org/10.1016/j.ecoenv.2017.11.073
- Anderson J.I., Ding R., Ellern A., Armstrong D.W. // J. Am. Chem. Soc. 2005. V. 127. P. 593. https://doi.org/10.1021/ja046521u
- Shirota H., Mandai T., Fukazawa H., Kato T. // J. Chem. Eng. Data. 2011. V. 56. P. 2453. https://doi.org/10.1021/je2000183
- Hawker R.R., Haines R.S., Harper J.B. // Chem. Commun. 2018. V. 54. P. 2296. https://doi.org/10.1039/c8cc00241
- Arkhipova E.A., Ivanov A.S., Levin M.M. et al. // J. Mol. Liq. 2022. V. 346. P. 117095. https://doi.org/10.1016/j.molliq.2021.117095
- Turanov A.N., Karandashev V.K., Sharova E.V. et al. // Solvent Extr. Ion Exch. 2012. V. 30. P. 604. https://doi.org/10.1080/07366299.2012.671117
- Туранов А.Н., Карандашев В.К., Харитонов А.В. и др. // Журн. общей химии. 1999. Т. 69. № 7. С. 1109.
- Bonhote P., Dias A. P., Papageorgiou N. et al. // Inorg. Chem. 1996. V. 35. P. 1168. https://doi.org/10.1021/ic951325x
- Rothstein E., Saville R.W., Horn P.E. // J. Chem. Soc. 1953. P. 3994. https://doi.org/10.1039/JR9530003994
- Карандашев В.К., Лейкин А.Ю., Хвостиков В.А. и др. // Заводская лаборатория. Диагностика материалов. 2015. Т. 81. № 5. С. 5.
- Toh S.L.I., McFarlane J., Tsouris C. et al. // Solvent Extr. Ion Exch. 2006. V. 24. P. 33. https://doi.org/10.1080/07366290500388400
- Rozen A.M., Krupnov B.V. // Russ. Chem. Rev. 1996. V. 65. P. 973. https://doi.org/10.1070/RC1996v065n11ABEH000241
- Binnemans K. // Chem. Rev. 2007. V. 107. P. 2592. https://doi.org/10.1021/cr050979c
- Dam H.H., Reinhoudt D.N., Verboom W. // Chem. Soc. Rev. 2007. V. 36. P. 367. https://doi.org/10.1039/b603847f
- Horwitz E.P., Martin K.A., Diamond H., Kaplan L. // Solvent Extr. Ion Exch. 1986. V. 4. P. 449. https://doi.org/10.1080/07366298608917877
Supplementary files








