Синтез и физико-химическое исследование твердооксидных электролитных и электродных материалов для среднетемпературных топливных элементов
- Авторы: Калинина М.В.1, Полякова И.Г.1, Мякин С.В.2,3, Хамова Т.В.1, Ефимова Л.Н.1, Кручинина И.Ю.1,4
-
Учреждения:
- Институт химии силикатов им. И.В. Гребенщикова РАН
- Санкт-Петербургский государственный технологический институт (технический университет)
- Институт аналитического приборостроения РАН
- Санкт-Петербургский государственный электротехнический университет “ЛЭТИ” им. В.И. Ульянова (Ленина)
- Выпуск: Том 69, № 3 (2024)
- Страницы: 286-293
- Раздел: ХИМИЯ ТВЕРДОГО ТЕЛА В СОВРЕМЕННОМ МАТЕРИАЛОВЕДЕНИИ
- URL: https://journal-vniispk.ru/0044-457X/article/view/262868
- DOI: https://doi.org/10.31857/S0044457X24030037
- EDN: https://elibrary.ru/YFJEJP
- ID: 262868
Цитировать
Полный текст
Аннотация
Методом совместной кристаллизации растворов азотнокислых солей синтезированы ксерогели и высокодисперсные мезопористые порошки в системах СeO2–Nd2O3 и Gd2O3–La2O3–SrO–Ni(Co)2O3–ä и на их основе получены нанокерамические материалы с кристаллической кубической структурой типа флюорита и орторомбической структурой типа перовскита с областью когерентного рассеяния ~55–88 нм (1300°С) соответственно. Изучены физико-химические свойства полученной керамики; выявлено, что она обладает открытой пористостью 7–11% для системы СeO2–Nd2O3 и 17–42% для системы Gd2O3–La2O3–SrO–Ni(Co)2O3–ä. Материалы на основе оксида церия обладают преимущественно ионным (числа переноса ионов ti = 0.71–0.89 в интервале 300–700°С) типом электропроводности, обусловленным образованием подвижных кислородных вакансий при гетеровалентном замещении Се4+ на Nd3+ (σ700°С = 0.31 × 10–2 См/см). Твердые растворы на основе кобальтита и никелата гадолиния обладают смешанной электронно-ионной проводимостью (σ700°С = 0.59 × 10–1 См/см) с числами переноса te = = 0.92–0.99, ti = 0.08–0.01. Показана перспективность использования полученных керамических материалов в качестве твердооксидных электролитов и электродов среднетемпературных топливных элементов.
Ключевые слова
Полный текст
ВВЕДЕНИЕ
В связи с нестабильностью на рынке углеводородов и обострением экологических проблем в последнее время происходит довольно сильное изменение структуры энергетического сектора. В общем объеме энергетических ресурсов наблюдается увеличение доли источников, альтернативных традиционным (древесине, углю, нефти), что открывает новые возможности развития систем аккумулирования энергии и распределенной генерации. Большое внимание привлекают топливные элементы – электрохимические устройства, непосредственно преобразующие химическую энергию топлива и окислителя в электроэнергию. Высокая термодинамическая эффективность и непрерывность функционирования в сочетании с хорошими экологическими характеристиками дают топливным элементам преимущества перед такими энергоустановками, как газовые микротурбины, двигатели внутреннего сгорания, ветрогенераторы и солнечные батареи [1–5]. В связи с этим активное развитие получает альтернативная водородная энергетика.
Перспективными являются твердооксидные топливные элементы (ТОТЭ). Среднетемпературные топливные элементы функционируют в интервале 300–700°C, что обусловливает их высокую энергетическую эффективность (КПД 50–70%), уменьшает влияние каталитических ядов на электроды, увеличивает скорость электродных реакций.
ТОТЭ представляют собой полностью керамическую систему, которая не оказывает отрицательного влияния на экологическую безопасность окружающей среды. Одним из преимуществ ТОТЭ является то, что в качестве топлива помимо водорода могут быть использованы любые углеводороды, преобразованные в синтез-газ (Н2–СО) [6].
Создание высокоэффективных и дешевых ТОТЭ особо актуально для России, поскольку две трети российских территорий (Дальний Восток, Сибирь и Арктика) малопригодны для централизованной энергетики. В связи с этим на рынке существует огромная потребность в ТОТЭ мощностью от 1 Вт до 1 кВт для мобильных и портативных устройств (военные приборы, электромобили, гаджеты и т.д.).
Таким образом, разработка и создание промышленного производства энергосистем на основе твердооксидных топливных элементов становятся первоочередной задачей распределенной энергетики, энергосбережения, когенерации и экономии топливных ресурсов.
Теоретический анализ. Основными составляющими частями ТОТЭ являются катод, электролит и анод. Электролиты различают по их ионно-транспортному механизму: анионные, протонные и ионно-смешанные. Процесс транспортировки иона кислорода (O2–) от катода к аноду, являющийся основным принципом работы топливных элементов, осуществляется только при наличии кислородных вакансий. В связи с этим оптимальным является тот материал электролита, в кристаллической решетке которого присутствуют анионные вакансии. В последние годы в качестве среднетемпературных электролитов особый интерес вызывают наноматериалы на основе диоксида церия, позволяющие снизить рабочую температуру топливной ячейки на 300–400°C [7].
Установлено, что при работе ТОТЭ в среднем интервале температур мощностные характеристики ячейки ограничиваются работой катода [8–11]. В связи с этим среднетемпературные катодные материалы должны быть ультрадисперсными и обладать высокой электронной или смешанной электронно-ионной проводимостью, а также развитой пористой структурой. Кроме того, важным является механическая совместимость катода и материала электролита. Этим требованиям соответствуют сложные оксиды металлов и их нанокомпозиты. В настоящее время для катодов среднетемпературных ТОТЭ в качестве новых материалов предлагаются однофазные сложные материалы со структурой типа перовскита LnMO3–ä (M = Cr, Mn, Fe, Ni, Co), устойчивые в окислительной атмосфере в широком интервале температур и обладающие достаточно высокой электропроводностью [12, 13].
Объекты и методы. На электрические свойства электролитных и катодных материалов оказывает влияние множество факторов: используемый метод синтеза, дисперсность полученных порошков-прекурсоров, плотность керамического материала, размер зерен [14–16]. Наиболее экономичным решением данной задачи является использование жидкофазных методов синтеза, а именно: методов совместной кристаллизации солей, совместного осаждения гидроксидов, золь-гель, гидротермального и др. [17].
Получение и исследование твердооксидных электролитных и катодных материалов по схеме состав–технология синтеза–структура–свойства позволяют достигнуть их оптимальных необходимых характеристик.
Цель настоящей работы – жидкофазный синтез методом совместной кристаллизации солей и исследование физико-химических свойств нанопорошков и керамики в системах СeO2–Nd2O3 и Gd2O3–La2O3–SrO–Ni(Co)2O3–δ для электролитных и катодных материалов современных энергоэффективных среднетемпературных топливных элементов.
ЭКСПЕРИМЕНТАЛЬНАЯ ЧАСТЬ
Синтез ксерогелей, нанопорошков и керамических материалов состава (СeO2)1–x(Nd2O3)x (х = 0.05; 0.10; 0.15; 0.20; 0.25), Gd1–xSrxCo0.5O3–ä (х = 0.1; 0.15; 0.2; 0.25), Gd0.4Sr0.1Ni0.5O3–ä и Gd0.125La0.125Sr0.25Co0.5O3–δ
Синтез ксерогелей и нанодисперсных порошков с разным концентрационным соотношением оксидов в системах CeO2–Nd2O3 и Gd2O3–La2O3–SrO–Ni(Co)2O3–ä осуществляли методом совместной кристаллизации азотнокислых солей [18, 19]. Для синтеза использовали нитраты церия Се(NO3)3 · · 6H2O (ч. д. а.), неодима Nd(NO3)3 · 6H2O (х. ч.), гадолиния Gd(NO3)3 · 6H2O (х. ч.), лантана La(NO3)3 · · 6H2O (х. ч.), стронция Sr(NO3)2 (ч. д. а.), никеля Ni(NO3)2 · 6H2O (ч.) и кобальта Co(NO3)2 · 6H2O (ч.), из которых были приготовлены растворы с концентрацией ~0.5 моль/л. Полученные растворы с учетом заданного стехиометрического соотношения оксидов смешивали и выпаривали на водяной бане в течение 3 ч до образования пересыщенного раствора. Пересыщенный раствор охлаждали при температуре 3–5°C, что способствовало адсорбции кристаллизующегося вещества на поверхности кристаллов, образовавшихся на этапе выпаривания смесей растворов солей.
Полученные в результате сушки (110°C, 0.5 ч) рентгеноаморфные ксерогели подвергали термообработке при 600°C в течение 1 ч. Консолидацию синтезированных порошков осуществляли методом одноосного холодного прессования при давлении 100–150 МПа и спеканием при 900°C в течение 3 ч, а затем при 1200–1300°C в течение 2 ч.
Разное давление прессования было выбрано специально с целью создания условий для получения малопористой (в случае электролитных материалов 150 МПа) и пористой структуры (для катодных материалов 100 МПа) в керамике. При низком давлении прессования происходит обособление больших агломератов и превращение их в крупные зерна с образованием большого порового пространства вокруг них при спекании.
Для получения низкопористой структуры керамики в системе CeO2–Nd2O3 и создания поровой структуры в керамике в системе Gd2O3–La2O3–SrO–Ni(Co)2O3–δ осуществляли подбор спекающих и порообразующих добавок, используемых как по отдельности, так и в комбинации друг с другом.
Рентгенофазовый анализ проводили на дифрактометре D8-Advanсe фирмы Bruker [20], дифференциальный термический анализ – на дериватографе Q-1000 фирмы МОМ. Измерения методом низкотемпературной адсорбции азота выполняли с использованием анализатора Nova 1000e (Quantachrome Instruments, США); определение открытой пористости и кажущейся плотности образцов осуществляли методом гидростатического взвешивания на установке “Комплекс программно-аппаратурный для исследований электрических свойств нанокерамики в разных газовых средах” [21]; методом Веста–Таллана определяли числа переноса ионов и электронов в образцах [22]; микроструктуру исследовали на сканирующем электронном микроскопе Tescan Vega 3 SBH (Tescan, Чехия).
РЕЗУЛЬТАТЫ И ОБСУЖДЕНИЕ
Для образцов всех исследуемых составов был изучен процесс термолиза. В качестве примера на рис. 1 приведены кривые дифференциального термического анализа ксерогеля состава Gd0.4Sr0.1Co0.5O3. Наблюдаемые эндо- и экзоэффекты характерны для процессов дегидратации кристаллогидрата, разложения азотнокислых солей и кристаллизации твердого раствора.
Рис. 1. Результаты дифференциального термического анализа нанопорошка состава Gd0.4Sr0.1Co0.5O3, полученного методом совместной кристаллизации солей.
С помощью метода низкотемпературной адсорбции азота обнаружено, что синтезированные порошки имеют мезопористую структуру с размером пор в интервале 3.6–13.2 нм, общим объемом пор 0.020–0.043 см3/г и площадью удельной поверхности 4.12–14.46 м2/г (табл. 1).
Таблица 1. Характеристики микроструктуры синтезированных порошков
Состав | Sуд, м2/г | Dпор, нм | Vпор, см3/г |
Для электролитных материалов | |||
(CeO2)0.95(Nd2O3)0.05 | 12.47 | 3.711 | 0.040 |
(CeO2)0.90(Nd2O3)0.1 | 11.32 | 3.68 | 0.035 |
(CeO2)0.85(Nd2O3)0.15 | 14.66 | 4.52 | 0.043 |
(CeO2)0.80(Nd2O3)0.20 | 7.41 | 3.62 | 0.031 |
(CeO2)0.75(Nd2O3)0.25 | 13.34 | 3.65 | 0.030 |
Для катодных материалов | |||
Gd0.4Sr0.1Co0.5O3 | 5.63 | 13.25 | 0.036 |
Gd0.35Sr0.15Co0.5O3 | 5.37 | 11.6 | 0.026 |
Gd0.30Sr0.20Co0.5O3 | 3.54 | 11.34 | 0.024 |
Gd0.25Sr0.25Co0.5O3 | 4.25 | 12.2 | 0.020 |
Gd0.4Sr0.1Ni0.5O3–δ | 5.31 | 13.2 | 0.035 |
Gd0.125La0.125Sr0.25Co0.5O3 | 4.12 | 7.83 | 0.019 |
Примечание. Sуд – удельная площадь поверхности; Dпор – средний размер пор; Vпор – удельный объем пор.
Определение значений плотности и открытой пористости керамики при введении спекающих и порообразующих добавок в системах CeO2–Nd2O3 и Gd2O3–La2O3–SrO–Ni(Co)2O3–δ
Для функциональности полученных электролитных и катодных материалов они должны обладать оптимальной плотностью и разной пористой структурой: электролиты – с низкой пористостью, катоды – с развитой поровой структурой. В связи с этим использованы спекающие добавки SiO2, ZnO и комбинированные добавки поливинилового спирта (ПВС) с гидроксидом алюминия Al(OH)3 [23].
Изучение кристаллической структуры твердых растворов в системах СeO2–Nd2O3 и Gd2O3–La2O3–SrO–Ni(Co)2O3–δ
По результатам рентгенофазового анализа установлено, что в рассматриваемых системах образуются твердые растворы: кубический типа флюорита и с орторомбической структурой типа перовскита с параметрами кристаллической решетки а = = 5.4545 Å и 15.020(6), b = 3.800(1), c = 5.510(2) Å соответственно (рис. 2, 3).
Рис. 2. Рентгенограммы нанопорошка (1, 600°С) и керамического образца (2, 1300°С) состава (СeO2)0.85(Nd2O3)0.15, синтезированного методом совместной кристаллизации солей церия и неодима.
Рис. 3. Рентгенограммы нанопорошка и керамики состава Gd0.25Sr0.25Co0.5O3– δ, обработанных при 900 (1) и 1200°С (2).
В качестве примера на рис. 4 представлены микрофотографии керамики состава Gd0.25Sr0.25Co0.5O3–ä после обжига при 1200°C. Видна поверхность хорошо спеченной керамики с обширным объемом порового пространства, сквозные поры имеют размеры в диапазоне от 10 до 50 мкм (рис. 4а). При большом увеличении на поверхности зерен видны пограничные сквозные поры и протяженные поры по границам зерен (рис. 4б).
Рис. 4. Микрофотографии керамики состава Gd0.25Sr0.25Co0.5O3–ä после обжига при 1200°С при увеличении 240× (a) и 2000× (б).
Сравнительное исследование физико-химических свойств керамики синтезированных составов в системах СeO2–Nd2O3 и Gd2O3–La2O3–SrO–Ni(Co)2O3–δ приведено в табл. 2.
Таблица 2. Физико-химические свойства керамических образцов в системах СeO2–Nd2O3 и Gd2O3–La2O3–SrO–Ni(Co)2O3–δ
Состав | ρтеор, г/см3 | ρэксп, г/см3 | ОКР, нм (1300°C) | Р, % | σ × 10–2, См/см (700°C) | Ea, эВ |
Электролитные материалы с добавкой ٣٪ ZnO | ||||||
(CeO2)0.95(Nd2O3)0.05 | 6.70 | 6.25 | 88 | 10.1 | 0.15 | 1.20 |
(CeO2)0.90(Nd2O3)0.10 | 7.15 | 6.52 | 75 | 7.4 | 0.26 | 1.05 |
(CeO2)0.85(Nd2O3)0.15 | 6.85 | 6.21 | 73 | 8.5 | 0.35 | 1.03 |
(CeO2)0.80(Nd2O3)0.20 | 7.12 | 6.97 | 69 | 11.4 | 0.19 | 1.00 |
(CeO2)0.75(Nd2O3)0.25 | 6.96 | 6.38 | 66 | 10.5 | 0.14 | 0.96 |
Катодные материалы с добавкой 10% ПВС + 5% Al(OH)3 | ||||||
Gd0.25Sr0.25Co0.5O3–δ | 7.65 | 6.93 | 55 | 17.1 | 0.41 | 0.62 |
Gd0.3Sr0.2Co0.5O3–δ | 7.23 | 6.40 | 62 | 27.5 | 0.36 | 0.63 |
Gd0.35Sr0.15Co0.5O3–δ | 6.41 | 6.23 | 65 | 30.1 | 0.28 | 0.61 |
Gd0.4Sr0.1Co0.5O3–δ | 6.37 | 5.2 | 70 | 38.8 | 0.22 | 0.64 |
Gd0.125La0.125Sr0.25Co0.5O3–δ | 6.43 | 5.86 | 74 | 27.3 | 0.59 | |
Примечание. ρэксп – экспериментальная плотность; ρтеор – теоретическая плотность; σ –удельная электропроводность; Ea – энергия активации; Р – открытая пористость.
Электрические свойства образцов полученной керамики
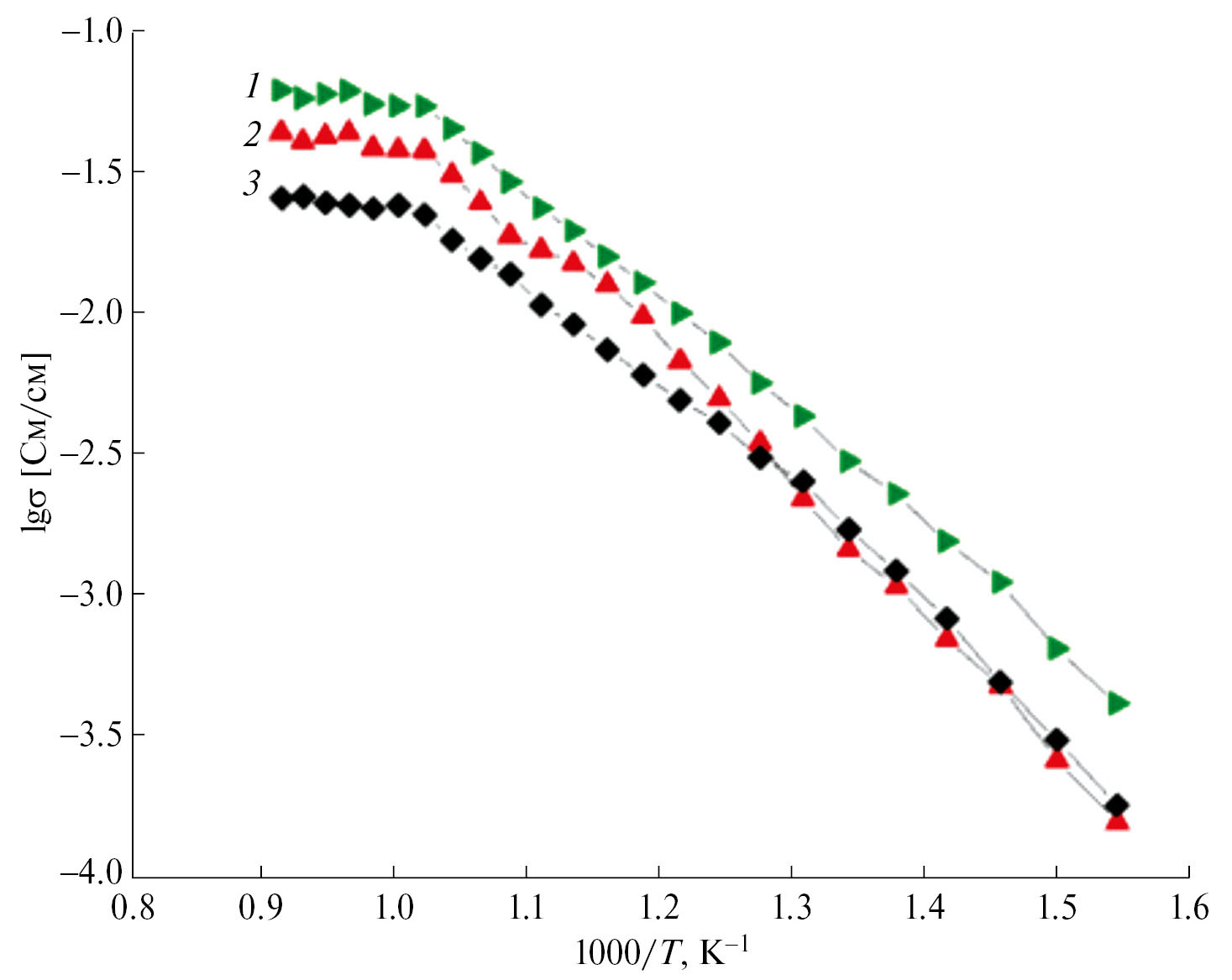
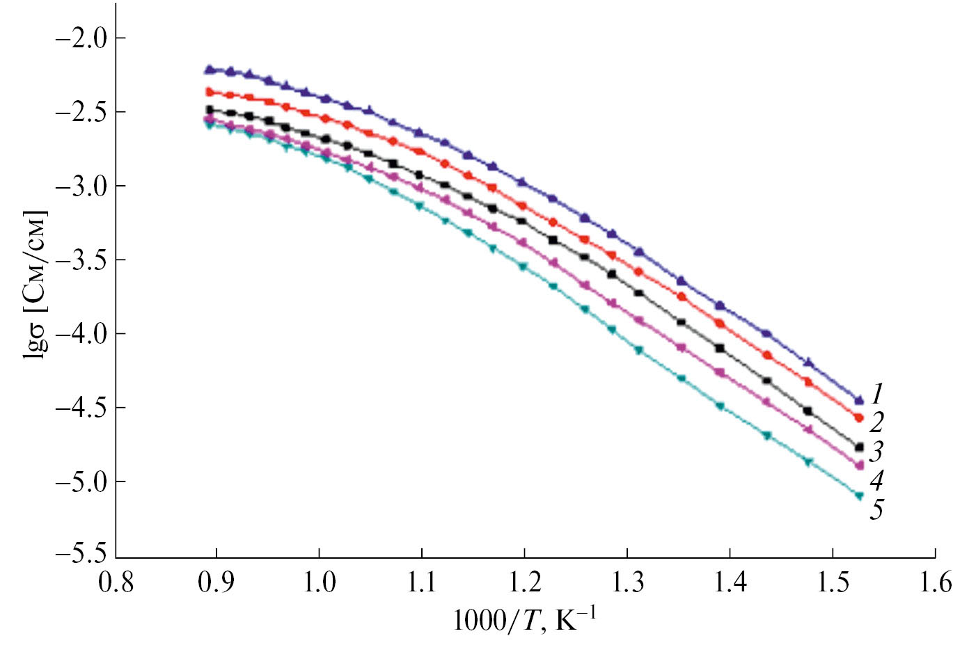
Двухконтактным методом на постоянном токе была измерена температурная зависимость удельной электропроводности твердых растворов в исследуемых системах (рис. 5, 6); для сравнения в табл. 3 приведены значения удельной электропроводности керамики в данных системах.
Таблица 3. Значения удельной электропроводности (σ) образцов в системах СеО2–Nd2O3 и Gd2O3–La2O3–SrO–Ni(Co)2O3–δ при 700°С
Керамика в системе (СeO2)1–х(Nd2O3)х с добавкой ٣٪ ZnO | σ × 10–2, См/см | Керамика в системе Gd2O3– La2O3–SrO–Ni(Co)2O3–δ с добавкой ١٠٪ ПВС + 5% Al(OH)3 | σ × 10–1, См/см |
(СeO2)0.95(Nd2O3)0.05 | 0.15 | Gd0.25Sr0.25Co0.5O3–δ | 0.41 |
(СeO2)0.90(Nd2O3)0.10 | 0.26 | Gd0.4Sr0.1Co0.5O3–δ | 0.22 |
(СeO2)0.85(Nd2O3)0.15 | 0.31 | Gd0.125La0.125Sr0.25Co0.5O3–δ | 0.59 |
(СeO2)0.80(Nd2O3)0.20 | 0.19 | Gd0.4Sr0.1Ni0.5O3–δ | 0.32 |
(СeO2)0.75(Nd2O3)0.25 | 0.17 |
Рис. 5. Температурные зависимости удельной электропроводности керамических образцов со спекающей добавкой ZnO состава (СeO2)1–x(Nd2O3)x, где x = 0.15 (1); 0.10 (2); 0.20 (3); 0.05 (4); 0.25 (5).
Рис. 6. Температурные зависимости удельной электропроводности керамических образцов состава Gd0.25Sr0.25Co0.5O3–δ (1), Gd0.4Sr0.1Co0.5O3–δ с комплексной добавкой (2), Gd0.25Sr0.25Co0.5O3–δ без добавки (3).
Показано, что образцы с содержанием 10–15% оксида неодима обладают более высокой проводимостью, затем проводимость уменьшается (рис. 5). Это связано с тем, что подвижные кислородные вакансии могут образовывать “квазихимические комплексы” (Nd′Се–VО••)•, приводящие к уменьшению подвижных вакансий и снижению электропроводности образцов [13].
Как видно из рис. 6, значения удельной электропроводности достигают максимума при 600–800°С и выходят на плато, что обусловлено изменением механизма проводимости с полупроводникового на металлический. Авторы [8, 24] считают, что возникновение в твердых растворах металлического типа проводимости обусловлено делокализацией d-электронов Со(Ni) при взаимодействии атомов кобальта (никеля) и кислорода в цепочках Со(Ni)–O–Со(Ni).
ЗАКЛЮЧЕНИЕ
Методом совместной кристаллизации солей синтезированы ксерогели – высокодисперсные порошки состава (СeO2)1–x(Nd2O3)x (x = 0.05, 0.10, 0.15, 0.20, 0.25), Gd1–xSrxCo0.5O3–δ (х = 0.1, 0.15, 0.2, 0.25), Gd0.4Sr0.1Ni0.5O3–δ и Gd0.125La0.125Sr0.25Co0.5O3–ä со средним размером кристаллитов ~10–14 нм. В результате консолидации нанопорошков получены керамические электролитные и катодные материалы. Они представляют собой однофазные твердые растворы с кубической структурой типа флюорита для системы СeO2‒Nd2O3 и орторомбической структурой типа перовскита для системы Gd2O3–La2O3–SrO–Ni(Co)2O3–ä.
Керамические материалы характеризуются ОКР 55–88 нм (1300°C), открытой пористостью 7–42%, кажущейся плотностью 5.86–6.97 г/см3. В синтезированных твердых растворах электропроводность осуществляется как по вакансионному механизму с преобладанием ионной проводимости с числами ионного переноса ti = 0.71–0.89 в системе CeO2‒Nd2O3, так и со смешанной электронно-ионной проводимостью с числами переноса te = 0.92–0.99, ti = 0.08–0.01 в системе Gd2O3–La2O3–SrO–Ni(Co)2O3–ä.
Установлена соизмеримость значений КТР полученного электролитного материала на основе диоксида церия СeO2‒Nd2O3 (12.5–12.7) и катодных материалов на основе кобальтита гадолиния (13.0–13.4), что позволяет рассматривать эту пару керамических материалов как составляющую часть ТОТЭ.
По своим физико-химическим (открытая пористость, плотность, коэффициент термического расширения) и электрофизическим свойствам полученные на их основе керамические материалы перспективны в качестве твердооксидных электролитов и катодов среднетемпературных топливных элементов.
БЛАГОДАРНОСТЬ
Авторы выражают благодарность руководителю Инжинирингового центра Санкт-Петербургского государственного технологического института (технического университета) Даниловичу Дмитрию Петровичу за проведение анализа исследуемых материалов методом сканирующей электронной микроскопии.
ФИНАНСИРОВАНИЕ РАБОТЫ
Работа выполнена в рамках государственного задания ИХС РАН (тема НИР № 1023032900322-9-1.4.3).
КОНФЛИКТ ИНТЕРЕСОВ
Авторы заявляют об отсутствии конфликта интересов.
Об авторах
М. В. Калинина
Институт химии силикатов им. И.В. Гребенщикова РАН
Автор, ответственный за переписку.
Email: tikhonov_p-a@mail.ru
Россия, Санкт-Петербург
И. Г. Полякова
Институт химии силикатов им. И.В. Гребенщикова РАН
Email: tikhonov_p-a@mail.ru
Россия, Санкт-Петербург
С. В. Мякин
Санкт-Петербургский государственный технологический институт (технический университет); Институт аналитического приборостроения РАН
Email: tikhonov_p-a@mail.ru
Россия, Санкт-Петербург; Санкт-Петербург
Т. В. Хамова
Институт химии силикатов им. И.В. Гребенщикова РАН
Email: tikhonov_p-a@mail.ru
Россия, Санкт-Петербург
Л. Н. Ефимова
Институт химии силикатов им. И.В. Гребенщикова РАН
Email: tikhonov_p-a@mail.ru
Россия, Санкт-Петербург
И. Ю. Кручинина
Институт химии силикатов им. И.В. Гребенщикова РАН; Санкт-Петербургский государственный электротехнический университет “ЛЭТИ” им. В.И. Ульянова (Ленина)
Email: tikhonov_p-a@mail.ru
Россия, Санкт-Петербург; Санкт-Петербург
Список литературы
- Maric R., Mirshekari G. Solid oxide fuel cells from fundamental principles to complete system. CRC Press, 2021. 256 p.
- Пономарева А.А., Иванова А.Г., Шилова О.А. и др. // Физика и химия стекла. 2016. Т. 42. № 1. С. 7.
- Ponomareva A., Babushok V., Simonenko E. et al. // J. Sol-Gel Sci. Technol. 2018. V. 87. № 1. P. 74. https://doi.org/10.1007/s10971-018-4712-0
- Galushko A.S., Panova G.G., Ivanova A.G. et al. // J. Ceram. Sci. Technol. 2017. V. 8. № 4. Р. 433. https://doi.org/10.4416/JCST2017-00041
- Pachauri Y.K., Chauhan R.P. // Renew. Sustain. Energy Rev. 2015. V. 43. P. 1301. https://doi.org/10.1016/j.rser.2014.11.098
- Касьянова А.В., Тарутина Л.Р., Руденко А.О. и др. // Успехи химии. 2020. Т. 89. № 6. С. 667.
- Пикалова Е.Ю., Калинина Е.Г. // Успехи химии. 2021. Т. 90. № 6. С. 703.
- Пальгуев С.Ф., Гильдерман В.К., Земцов В.И., Неуймин А.Д. Высокотемпературные оксидные электронные проводники для электрохимических устройств. М.: Наука, 1990. 196 с.
- SadykovV., Usoltsev V., Yeremeev N. et al. // J. Eur. Ceram. Soc. 2013. V. 33. № 12. P. 2241. https://doi.org/10.1016/j.jeurceramsoc.2013.01.007
- Симоненко Т.Л., Симоненко Н.П., Симоненко Е.П. и др. // Журн. неорган. химии. 2021. Т. 66. № 5. С. 610.
- Истомин С.Я., Лысков Н.В., Мазо Г.Н. и др. // Успехи химии. 2021. Т. 90. № 6. С. 644.
- Sadykov V.A., Pavlova S.N., Kharlamova T.S. et al. // Perovskites: structure, properties and uses. Nova Science Publishers, 2010. P. 67.
- Сальников В.В., Пикалова Е.Ю. // Физика тверд. тела. 2015. Т. 57. № 10. С. 1895.
- Moghadasi M., Li M., Ma C. et al. // Ceram. Int. 2020. V. 46. № 10. P. 16966. https://doi.org/10.1016/j.ceramint.2020.03.280
- Fathy A., Wagih A., Abu-Oqail A. // Ceram. Int. 2019. V. 45. № 2. P. 2319. https://doi.org/10.1016/j.ceramint.2018.10.147
- Li Z., He Q., Xia L. et al. // Int. J. Hydrogen Energy. 2022. V. 47. № 6. P. 4047. https://doi.org/10.1016/j.ijhydene.2021.11.022
- Prasad D.H., Son J.W., Kim B.K. et al. // J. Eur. Ceram. Soc. 2008. V. 28. P. 3107. https://doi.org/10.1016/j.jeurceramsoc.2008.05.021
- Fedorenko N.Yu., Mjakin S.V., Khamova T.V. et al. // Ceram. Int. 2022. V. 48. P. 6245. https://doi.org/10.1016/j.ceramint.2021.11.165
- Коваленко А.С., Шилова О.А., Морозова Л.В. и др. // Физика и химия стекла. 2014. Т. 40. № 1. С. 135.
- Duran P., Villegas M., Capel F. et al. // J. Eur. Ceram. Soc. 1996. V. 16. P. 945. https://doi.org/10.1016/0955-2219(96)00015-5
- Шилова О.А., Антипов В.Н., Тихонов П.А. и др. // Физика и химия стекла. 2013. Т. 39. № 5. С. 803.
- Пивоварова А.П., Страхов В.И., Попов В.П. // Письма в ЖТФ. 2002. Т. 28. № 19. С. 43.
- Гращенков Д.В., Балинова Ю.А., Тинякова Е.В. // Стекло и керамика. 2012. № 4. С. 32.
- Стрекаловский В.Н., Полежаев Ю.М., Пальгуев С.Ф. Оксиды с примесной разупорядоченностью: состав, структура, фазовые превращения. М.: Наука, 1987. 160 с.
Дополнительные файлы








