Thermocrystallochemistry of Magnetic Materials with Managed Properties (Review)
- Authors: Bubnova R.S.1, Biryukov Y.P.1, Filatov S.K.2
-
Affiliations:
- Institute of Silicate Chemistry of Russian Academy of Sciences
- Saint Petersburg State University
- Issue: Vol 69, No 3 (2024)
- Pages: 335-349
- Section: STRUCTURE, MAGNETIC AND OPTICAL PROPERTIES OF MATERIALS
- URL: https://journal-vniispk.ru/0044-457X/article/view/262877
- DOI: https://doi.org/10.31857/S0044457X24030087
- EDN: https://elibrary.ru/YEKSHH
- ID: 262877
Cite item
Full Text
Abstract
This paper presents a short review of comprehensive studies of synthetic and natural borates possessing nontrivial temperature-dependent magnetic properties. Particular attention is paid to identifying correlations between crystal structure, chemical composition, thermal behavior and magnetic phase transitions.
Full Text
ВВЕДЕНИЕ
Возросший за последнее десятилетие интерес к боратам, содержащим переходные металлы, обусловлен сочетанием богатой кристаллохимии этих соединений с проявлением ими множества полезных функциональных свойств, таких как мультиферроидные, ферроэлектрические, электрохимические, магнитные, резонансные, оптические и др. [1–6]. Особый интерес вызывают и недавно обнаруженные в боратах переходных металлов экзотические явления: каскады магнитных переходов, протекающие в независимых магнитных подсистемах, состояние спиновых жидкости, стекла и льда, геометрические фрустрации, высокие температуры сохранения магнитного порядка. Благодаря такому комплексу полезных свойств и явлений на основе этих соединений разработаны незаменимые коммерческие монокристаллические материалы для мессбауэровских источников гамма-излучения на синхротронных установках [7], катодные и анодные элементы для металл-ионных аккумуляторов [8], перспективные элементы магниторезистивной памяти MRAM для приложений спинтроники [9].
Магнитные свойства материалов являются температурно-зависимыми, в частности, с повышением температуры происходят переходы, обусловленные процессами магнитного разупорядочения. Одними из наиболее простых примеров являются переходы типа ферромагнетик ↔ парамагнетик и антиферромагнетик ↔ парамагнетик. Оказалось неожиданным, что до недавнего времени термокристаллохимия боратов переходных металлов была малоизученной, а термическое расширение не было исследовано совсем. Например, в период с 1980 по 2018 гг. было опубликовано, по данным Springer и Science Direct (Scopus), более 50 и 100 статей соответственно, посвященных всесторонним исследованиям кальцитоподобного FeBO3, при этом не было ни одной работы по изучению термического расширения этого бората. Аналогичная ситуация наблюдалась и для других боратов переходных металлов.
В настоящей работе представлены результаты исследования боратов переходных металлов, для которых получены рентгеноструктурные данные и изучены магнитные и термические свойства. Среди боратов систем MO–M′2O3–B2O3 (M, M′= Mg, Ti, Mn, Fe, Co, Ni, Cu, Zn) их набирается не очень много. Так, на настоящий момент взаимосвязь между термическим расширением, магнитными свойствами и кристаллическим строением выявлена для синтетических FeBO3 и Fe3O2(BO4) [10–12], природных вонсенита и халсита Fe22+Fe3+O2(BO3) [9, 13], азопроита (Mg,Fe2+)2(Fe3+,Ti)O2(BO3) [14] и людвигита (Mg,Fe2+)2Fe3+O2(BO3) [15], варвикита (Fe2+,Mg)Fe3+O(BO3) [16]. Бораты групп котоита M32+(BO3)2 и суанита M22+B2O5 (M = Mn, Fe, Co, Ni, Cu, Zn) с позиций термокристаллохимии изучались научными группами Института физики им. Л.В. Киренского СО РАН [17–20]. Данные по боратам группы хантита R3+Fe33+(BO3)4 (R = Y, La, Pr, Nd, Sm, Gd, Tb, Ho, Er) представлены здесь по результатам монокристальных рентгеноструктурных исследований при варьируемых температурах, выполненных исследователями ФНИЦ “Кристаллография и фотоника” РАН [21–23].
Известные сверхструктуры и разупорядоченные структуры, производные или сходные с людвигитом, такие как Co3Mn3(O2BO3)2, Ni5Sn(BO5)2 и др., а также бораты, содержащие дополнительные анионы –F- и OH−-группы, например группы ноцерита M3(BO3)F3 (M = Fe, Co, Ni), в настоящем обзоре не рассматриваются в виду наличия публикаций, посвященных только синтезу и расшифровке структур. К таким относятся и высокобарические полиморфные модификации боратов семейств M2+B4O7, M2+B2O4, M22+B2O5 (M2+= Fe, Co, Zn) и др., полученные группой профессора Х. Хуппертца (Инсбрукский университет им. Леопольда и Франца, Австрия), о которых, однако, нельзя не упомянуть по причине значительного вклада в структурную химию боратов [24–26]. Оказалось примечательным, что подавляющее число работ по термокристаллохимии боратов переходных металлов выполнено отечественными исследователями.
Представленные в работе данные по термическим свойствам боратов получены благодаря разработке оригинальных авторских подходов и методик, которые заключаются в применении нескольких взаимодополняющих in situ методов, в основном терморентгенодифракционных и термомессбауэровской спектроскопии, что позволяет комплексно исследовать как локальные структурные, так и объемные явления, протекающие в магнетиках. Развиваемый авторами настоящей работы подход был успешно апробирован на примере изучения термического поведения ряда синтетических и природных боратов-магнетиков [9–16], а также перовскитоподобных фаз SrFexTi1–xO3–ä [27] и может быть рекомендован для исследования других магнитных материалов.
В настоящем кратком обзоре впервые подведены итоги авторских, а также известных на сегодняшний день исследовательских работ в области термокристаллохимии синтетических и природных боратов, содержащих переходные металлы. Показано, что анизотропия магнитных и термических свойств помимо химического состава в значительной мере обусловлена и особенностями кристаллического строения. Комплексное исследование таких соединений позволяет внести существенный вклад в основы кристаллохимического предсказания и конструирования перспективных магнитных материалов.
ЭКСПЕРИМЕНТАЛЬНАЯ ЧАСТЬ
Наибольшее число публикаций, посвященных боратам переходных металлов, где описаны исследования при переменных температурах, отводится FeBO3, людвигитоподобным Fe22+Fe3+O2(BO3), Co22+Co3+O2(BO3) и Fe2+Fe3+O(BO3) групп варвикита и искаженного варвикита, а также боратам группы хантита R3+Fe33+(BO3)4 (R = Y, La, Pr, Nd, Sm, Gd, Tb, Ho, Er). В основном эти соединения получают методами кристаллизации из раствора в расплаве (метод флюса) и твердофазного синтеза (традиционный и ампульный). Поскольку эти бораты являются в основном магнетиками, наиболее часто используемыми методами исследования являются магнитометрия (измерение температурных и полевых зависимостей намагниченности, магнитной восприимчивости, определение магнитных порядка и анизотропии и др.), термомессбауэровская спектроскопия (определение степени окисления, координационного окружения, спинового состояния и соотношения атомов переходных металлов, выявление локальных магнитных эффектов), рентгеновская дифракция и дифракция нейтронов (расшифровка и уточнение кристаллической и магнитной структуры, анализ изменения длин связей и геометрических параметров полиэдров с температурой, а также расчет параметров тензора термического расширения). Дополнительно обычно привлекается термический анализ, а также спектроскопические, электрохимические и некоторые другие методы.
Комплексный подход к изучению термоиндуцированных магнитных свойств. При изучении магнитных свойств материалов в условиях переменных температур метод терморентгенографии применяют достаточно редко вследствие низкой чувствительности к магнитным фазовым переходам, обусловленным магнитным упорядочением. Многие немагнитные и магнитные модификации не различаются по симметрии и кристаллической структуре классическими рентгенодифракционными методами. Строго говоря, чтобы выявить магнитную симметрию и магнитную структуру требуется дифракция нейтронов.
Однако, как следует из опыта авторов [9–16, 27], при детальном подходе к планированию экспериментов и обработке данных метод терморентгенографии позволяет зафиксировать и такие переходы. Так, критические температуры (температуры Кюри, Нееля, магнитного упорядочения–разупорядочения, окисления) определяли прямыми методами – мессбауэровской спектроскопией и магнитометрией и методом терморентгенографии по обнаружению особых точек на температурных зависимостях `параметров элементарной ячейки. В случае появления особых точек на температурных зависимостях параметров элементарной ячейки наблюдали плохую сходимость аппроксимации полиномами (или степенными функциями) с экспериментальными значениями во всем интервале исследования, соответственно, эти зависимости аппроксимируются независимо на нескольких температурных интервалах (до и после особой точки). С использованием полученных коэффициентов уравнений аппроксимации рассчитывают главные значения тензора термического расширения кристаллической решетки по разработанному алгоритму [28], реализованному в программном обеспечении (ПО) RietveldToTensor [29]. В случае аппроксимации зависимостей параметров элементарной ячейки от температуры на нескольких интервалах фиксируется скачок главных значений тензора термического расширения, что согласуется с термодинамикой фазовых переходов второго рода [30]. Ярким примером исследования обратимых переходов антиферромагнетик–парамагнетик, проявляющихся на температурных зависимостях параметров мессбауэровских спектров и элементарной ячейки, служит определение температуры Нееля (TN) в антиферромагнетиках FeBO3 и Fe3BO6 по излому на температурных зависимостях параметров (см. следующий параграф и рис. 3, а также [11]). Несмотря на разные условия выполнения экспериментов, температуры магнитных переходов, определенные по данным прямых методов и терморентгенографии, обычно близки и различаются примерно на ±5 K. На заключительном этапе дается детальная трактовка термического расширения соединения как с позиций вклада катионных, так и оксоцентрированных полиэдров.
Для исследования процесса окисления методом терморентгенографии был развит методический прием, по-видимому, впервые предложенный [28, 31] при исследовании термического расширения Fe-содержащих турмалинов AD3G6(T6O18)(BO3)3X3Z (A = Ca, Na, K, Pb; D = Al, Fe2+, Fe3+, Li, Mg2+, Mn2+, Ti; G = Al, Cr3+, Fe3+, V3+; T = Si; X = O и/или OH; Z = F, O и/или OH). Наблюдаемое резкое уменьшение параметра a элементарной ячейки с повышением температуры, по мнению авторов, обусловлено окислением Fe2+ → Fe3+ вследствие меньшего размера Fe3+ (rion = 0.55 Å) по сравнению с Fe2+ (rion = 0.61 Å) [32]. В случае турмалинов при окислении Fe2+ → Fe3+ сохранение валентного баланса может быть достигнуто одновременным замещением OH−-групп ионами О2−, что позволяет сохраняться соединению в широком интервале температур (400–800°С). Если таких групп нет, то с дальнейшим повышением температуры структура разлагается, как правило в твердом состоянии, нередко с выделением Fe2O3. Таким образом, окисление железа приводит к уменьшению структурно-чувствительных параметров и объема решетки, а дальнейшее повышение температуры – к разложению исходной фазы. Такие твердофазные превращения протекают медленно, и определяемая температура окисления зависит от скорости нагревания. Примерами комплексных in situ исследований процесса окисления Fe2+ → Fe3+ в боратах, протекающего в воздушной атмосфере, являются природные вонсенит и халсит Fe22+Fe3+O2(BO3), азопроит (Mg,Fe2+)2(Fe3+,Ti)O2(BO3) и людвигит (Mg,Fe2+)2Fe3+O2(BO3) [9, 13–15]. В связи с различным временем выполнения экспериментов (термический анализ – часы, терморентгенография – сутки, термомессбауэровская спектроскопия – недели) температура начала окисления Fe2+ → Fe3+ вследствие кинетики связанных с окислением процессов (твердофазным разложением и образованием новых фаз), по данным термомессбауэровской спектроскопии, обычно на 20–100 K ниже, чем установленная по данным терморентгенографии. В работах [9, 13–15] температуру начала процесса окисления железа (Tox) авторы оценивали по данным термомессбауэровской спектроскопии, считая ее значение ближе к равновесной. Следовательно, для вычисления параметров тензора термического расширения с применением ПО RietveldToTensor [29] последующую аппроксимацию температурных зависимостей параметров элементарной ячейки проводили до температур, определенных по данным термомессбауэровской спектроскопии.
РЕЗУЛЬТАТЫ И ОБСУЖДЕНИЕ
Термокристаллохимия боратов переходных металлов
В настоящем разделе кратко изложены результаты термокристаллохимических исследований боратов переходных металлов. Температуры структурных Ts и магнитных фазовых переходов Tord (Нееля TN, Кюри TC или образования спинового стекла Tf) и окисления Tox рассматриваемых боратов, по данным разных методов, представлены в табл. 1, кристаллохимические характеристики и параметры тензора термического расширения, вычисленные по данным порошковой и монокристальной терморентгенографии – в табл. 2. Также в табл. 2 приведена количественная оценка анизотропии термического расширения Ämax из работы [28] – степень анизотропии плоскости сечения фигуры тензора расширения с наиболее сильно различающимися значениями ámax и ámin: Ämax = (ámax − ámin)/(ámax + ámin).
Таблица 1. Критические температуры Tord магнитных переходов (температура Нееля TN, Кюри TC и замораживания спинового стекла Tf), температуры структурных переходов Ts и окисления Tox в боратах M22+M3+BO5, M2+M3+BO4, M32+(BO3)2, R3+M33+(BO3)4, M3+BO3, M33+BO6, M22+B2O5
Соединение, минерал | Tord, K | Ts, K | Tox, K | Ссылка |
Группа людвигита M22+M3+BO5 | ||||
Cu2AlO2(BO3) | TN ~3 | Не обнаружен* | Нет данных | |
Cu2CrO2(BO3) | TN 119 | Не обнаружен | Нет данных | [36] |
Cu2MnO2(BO3) | TC ~92 | Не обнаружен | Нет данных | [37–39] |
Cu2FeO2(BO3) | TNCu 20, TNFe 38, TfFe 63 | Не обнаружен | Нет данных | [40] |
Cu2GaO2(BO3) | TN 4.1 | Не обнаружен | Нет данных | |
Fe2+2Fe3+O2(BO3) | TCCo ~40, TСFe 70, TN 112 | 283 | Нет данных | [41–43] |
Co2+2Co3+O2(BO3) | TC 42 | Не обнаружен | 873 | [44–46] |
Вонсенит Fe2+2Fe3+O2(BO3) | ТМС*: 70, 113 | Не обнаружен | 500 | |
ТР**: 120 | ~600 | |||
Азопроит (Mg,Fe2+)2(Fe3+,Ti)O2(BO3) | Не обнаружен | Не обнаружен | ТМС: >800 | [14] |
ТР: 873 | ||||
Людвигит (Mg,Fe2+)2Fe3+O2(BO3) | Не обнаружен | Не обнаружен | ТМС: 600 | [15] |
ТР: ~700 | ||||
Группа пинакиолита M22+M3+BO5 | ||||
Халсит Fe2+2Fe3+O2(BO3) | ТМС: 70, 125, 383* | Не обнаружен | ТМС: 600 | |
ТР: 120, 390** | ТР: ~620 | |||
Группа варвикита M2+M3+BO4 | ||||
V2+V3+O(BO3) | 35 | Не обнаружен | Нет данных | [47] |
Mn2+Mn3+O(BO3) | TN 26, TN 114 | Не обнаружен | Нет данных | [48–52] |
Fe2+Fe3+O(BO3) P21/n | TC 155 | 327–347 | Нет данных | [53–56] |
Fe2+Fe3+O(BO3) Pnma | Нет данных | Нет данных | [56] | |
Варвикит (Fe2+,Mg)Fe3+O(BO3) | Нет данных | Не обнаружен | 400–500 | [16] |
Группа котоита M32+(BO3)2 | ||||
Mn32+(BO3)2 | 3, TN 35, 55 | Не обнаружен | Нет данных | [57] |
Co3(BO3)2 | 10, TN 30, TC 63 | Не обнаружен | Нет данных | |
Ni3(BO3)2 | TC 5, TN 46 | Не обнаружен | Нет данных | |
Группа хантита R3+M33+(BO3)4 | ||||
YFe3(BO3)4 | TN 37 | 370 | Нет данных | [58] |
PrFe3(BO3)4 | Нет данных | Не обнаружен | Нет данных | [59] |
NdFe3(BO3)4 | TN 31 | Не обнаружен | Нет данных | [22] |
SmFe33+(BO3)4 | TN 32 | Не обнаружен | Нет данных | [21] |
EuFe3(BO3)4 | TN 34 | 58 | Нет данных | |
GdFe3(BO3)4 | TN 32 | 155 | Нет данных | [62] |
TbFe3(BO3)4 | TN 40 | 200 | Нет данных | [63] |
DyFe3(BO3)4 | TN 39 | 340 | Нет данных | [64] |
HoFe3(BO3)4 | TSR 5, TN 38 | 365 | Нет данных | [58] |
ErFe3(BO3)4 | Не обнаружен | Не обнаружен | Нет данных | [59] |
Группа кальцита M3+BO3 | ||||
VBO3 | TC 32.5 | Не обнаружен | Не обнаружен | |
CrBO3 | TN 15 | Не обнаружен | Не обнаружен | [65–67] |
FeBO3 | ТМС: TN 351 | Не обнаружен | Не обнаружен | |
ТР: TN 353 | ||||
Соединение, минерал | Tord, K | Ts, K | Tox, K | Ссылка |
Группа норбергита M33+BO6 | ||||
Fe3BO6 | ТМС: TN 510 | Не обнаружен | Не обнаружен | |
ТР: TN 513 | ||||
Группа суанита M22+B2O5 | ||||
Fe2B2O5 | 24, TN 70 | Не обнаружен | Нет данных | |
Co2B2O5 | TN 45 | Не обнаружен | Нет данных | |
*Не обнаружены какие-либо переходы.
**ТМС (по данным термомессбауэровской спектроскопии).
***ТР (по данным терморентгенографии).
Данные об аппроксимации температурных зависимостей параметров элементарной ячейки полиномами большинства изученных объектов приведены в цитируемых работах; для нескольких боратов, параметры тензора термического расширения которых вычислены в настоящей работе с применением ПО RietveldToTensor [29] по монокристальным структурным данным при нескольких температурах (обычно 4–6), взятым из публикаций (табл. 2), аппроксимированы первой степенью.
Таблица 2. Главные значения тензора термического расширения боратов M2+2M3+BO5, M2+M3+BO4, M2+3(BO3)2, R3+M33+(BO3)4, M3+BO3 и M33+BO6
Соединение, минерал | Пр. гр. | á (×106 K–1)* | ÄТ (K)** | Ссылка | ||||
á11 | á22 | á33 | áV | Ämax | ||||
Группа людвигита M22+M3+BO5 (MO : M2O3 : B2O3 = 4 : 1 : 1) | ||||||||
Вонсенит Fe2+2Fe3+O2(BO3) | Pbam | –34.6 | –29.1 | –5.3 | –58.3 | −0.73 | 93–115 | [9] |
11.9 | 12.8 | 8.3 | 33.1 | 0.21 | 293–500 | |||
Азопроит (Mg,Fe2+)2(Fe3+,Ti)O2(BO3) | Pbam | 9.5 | 5.7 | 13.1 | 28.4 | 0.39 | 293–1373 | [14] |
Людвигит Mg,Fe2+)2Fe3+O2(BO3) | Pbam | 8.6 | 7.6 | 9.1 | 25.2 | 0.09 | 293–600 | [15] |
Группа пинакиолита M22+M3+BO5 (MO : M2O3 : B2O3 = 4 : 1 : 1) | ||||||||
Халсит Fe2+2Fe3+O2(BO3) | P2/m | –24.4 | –17.1 | −9.3 | −50.8 | −0.45 | 93–120 | [9] |
14.8 | 7.4 | 12.3 | 35.5 | 0.33 | 293–600 | |||
Группа варвикита M2+M3+BO4 (MO : M2O3 : B2O3 = 2 : 1 : 1) | ||||||||
Варвикит | Pnma | 12.2 | –0.3 | 3.9 | 15.8 | 1.05 | 293–513 | [16] |
P21/n | 11.1 | 2.1 | –2.6 | 10.6 | 1.61 | 3–337 | Расчет по данным [53] | |
Группа котоита M32+(BO3)2 (MO : B2O3 = 2 : 1) | ||||||||
Co3(BO3)2 | Pnnm | 12.2 | 11.3 | 7.5 | 31 | 0.24 | 10–300 | Расчет по данным [20] |
Группа хантита R3+M33+(BO3)4 (R2O3 : M2O3 : B2O3 = 1 : 3 : 4) | ||||||||
Nd0.91Bi0.09Fe3(BO3)4 | R32 | 0.5 | 0.5 | 9.4 | 10.4 | 0.90 | 90–500 | Расчет по данным [22] |
Sm0.93Bi0.07Fe3(BO3)4 | R32 | 0.4 | 0.4 | 7.8 | 8.7 | 0.90 | 90–400 | Расчет по данным [23] |
Ho0.96Bi0.04Fe3(BO3)4 | P3121 | 4.4 | 4.4 | 11.1 | 19.8 | 0.43 | 90–360 | Расчет по данным [23] |
R32 | 5.7 | 5.7 | 23.3 | 34.8 | 0.61 | 365–500 | ||
Y0.95Bi0.05Fe3(BO3)4 | P3121 | 3.1 | 3.1 | 7.0 | 13 | 0.39 | 90–370 | Расчет по данным [23] |
R32 | 10.7 | 10.7 | 18.3 | 40 | 0.26 | 375–500 | ||
Группа кальцита M3+BO3 (M2O3 : B2O3 = 1 : 1) | ||||||||
FeBO3 | R3c | 4.1 | 4.1 | 10.3 | 18.4 | 0.43 | 293–353 | |
5.6 | 5.6 | 13.1 | 24.3 | 0.40 | 353–873 | |||
Группа норбергита M33+BO6 (M2O3 : B2O3 = 3 : 1) | ||||||||
Fe3BO6 | Pnma | 10.4 | 7.4 | 5.6 | 23.4 | 0.30 | 293–513 | [10–12] |
12.3 | 10.1 | 9.9 | 32.3 | 0.11 | 513–873 | |||
*Значения даны для начальной температуры интервала аппроксимации.
**Интервал аппроксимации.
Подавляющее число боратов переходных металлов (>100 соединений) относится по размерности аниона к островным (0D), из которых ~94% – к структурам с изолированными полиэдрами (рис. 1а–1ж), в основном с треугольниками [BO3]3− (91%) и значительно реже с тетраэдрами [BO4]5− (3%), а также с изолированными группировками из двух вершинносвязанных треугольников [B2O5]4− (6%) (рис. 1з). В единичных случаях встречаются бораты другой размерности. При описании структур рассматриваемых боратов мы придерживались структурной иерархии, разработанной еще Брэггом–Махачки для систематики силикатов и впервые предложенной для боратов С. Теннисон в 1963 г. Эта современная структурная систематика, развитая для боратов, изложена в работах [1, 4, 33]: сначала деление происходит по размерности боратного аниона (0D, 1D, 2D, 3D), затем по количеству атомов бора в группировке и далее внутри каждого сета по мере возрастания содержания B2O3.
Рис. 1. Разнообразие кристаллических структур рассматриваемых боратов и фигуры поверхности тензора термического расширения: M22+M3+BO5 (а – людвигиты (Pbam), б – пинакиолиты), M2+M3+BO4 (Pnma) (в), M32+(BO3)2 (г), R3+M33+(BO3)4 (R32) (д), M3+BO3 (е), M33+BO6 (ж), M2+2B2O5 (P1) (з).
0D–1B-бораты (n = 1), 1B : 1∆ : ∆, группа людвигита M22+M3+BO5 (MO : M2O3 : B2O3 = 4 : 1 : 1), M = Mg, Ti, Mn, Fe, Co; четыре катионные позиции Mn+. Большинство соединений группы людвигита кристаллизуется в ромбической сингонии (пр. гр. Pbam), известны и другие установки (# 2004063-ICSD [74]), однако Cu-содержащие бораты Cu2M3+BO5 (M = Al, Cr, Mn, Fe, Ga) за счет искажений, вызванных эффектом Яна–Теллера, кристаллизуются в моноклинной сингонии с пр. гр. P21/c (# 401469-ICSD [74]). В обоих случаях в структуре формируется катионный каркас, сложенный зигзагообразными лентами из связанных по вершинам и ребрам октаэдров [MO6]n–, в пустотах которого располагаются изолированные треугольники [BO3]3– (рис. 1а). За счет наличия двух свободных атомов кислорода, не связанных с бором и образующих с переходными металлами оксоцентрированные тетраэдры [OM4]n+ и пирамиды [OM5]n+, формула в терминах оксоцентрической кристаллохимии может быть записана как M22+M3+O2(BO3).
В структуре Cu2GaO2(BO3) [34, 35] атомы меди полностью заселяют позиции M1 и M2, а позиции M3 и M4 заселены атомами меди и галлия в разных соотношениях. В Cu2AlO2(BO3) [34, 35] все четыре позиции статистически заселены атомами алюминия и меди. Оба бората упорядочиваются антиферромагнитно вблизи первых градусов Кельвина, при этом магнитные свойства обеспечены вкладом меди. В борате Cu2CrO2(BO3) при температурах >100 K обнаружены мультиферроидные свойства, что связано с сильными магнитными взаимодействиями Cu–O–Cu [36]. В Cu2FeO2(BO3) с изменением температуры обнаруживается несколько эффектов, а именно: с понижением температуры до 38 K Cu-подрешетка упорядочивается антиферромагнитно, а при 20 K Fe- и Cu-подрешетки упорядочиваются ферромагнитно; температура замораживания спинового стекла Fe-подрешетки определена как 63 K [40]. При исследовании монокристаллов Cu2MnO2(BO3) [37–39] в интервале температур 60–350 K установлено, что при TC ~ 92 K соединение обладает ферромагнитными свойствами, при этом магнитные моменты ионов Cu2+ и Mn3+ антипараллельны и не совпадают ни с одной кристаллографической осью.
Наиболее изученными с позиций термокристаллохимии являются Fe- и Co-содержащие ромбические людвигиты (рис. 1а, табл. 1). Так, температура Нееля TN в Co2+2Co3+O2(BO3) составляет 42 K [44], при этом магнетизм проявляется главным образом за счет ионов LSCo3+, а при 470 и 500 K на температурных зависимостях параметров ячейки наблюдаются аномалии, связанные с электронными переходами, обусловленными делокализацией ионов Co3+ [45]. На монокристаллах Co22+Co3+O2(BO3) [46] было показано, что смешановалентный характер ионов Co сохраняется до 873 K, хотя перераспределение заряда и катионное разупорядочение имеют место при ~370 K. В кристаллической структуре синтетического людвигита Fe22+Fe3+(BO3)O2 представлены два типа одномерных (1D) магнитных подрешеток, образованных тройками атомных позиций Fe(3)–Fe(1)–Fe(3) и Fe(4)–Fe(2)–Fe(4), которые образуют вытянутые вдоль оси c ленты [41, 42]. При 283 K был обнаружен структурный фазовый переход от низкотемпературной (Pbnm) к высокотемпературной модификации (Pbam) [42, 43], при этом первая характеризуется как сверхструктура с удвоенным параметром c. Следует отметить, что в природных соединениях группы людвигита какие-либо структурные переходы не обнаруживаются, вероятно, за счет стабилизации примесными катионами [9, 13–15]. По данным нейтронной дифракции, при понижении температуры в синтетическом Fe22+Fe3+(BO3)O2 фиксируется каскад магнитных фазовых переходов. Так, при температуре 112 K подрешетка из Fe(4)–Fe(2)–Fe(4) упорядочивается антиферромагнитно, при этом ионы Fe(3) и Fe(1) находятся в парамагнитном состоянии. При температуре 70 K подрешетка, образованная тройками Fe(3)–Fe(1)–Fe(3), упорядочивается ферромагнитно, ниже 70 K все ионы железа упорядочены ферримагнитно [42]. В структуре исследованного нами природного вонсенита (Fe2+1.86Mg0.13)Σ1.99(Fe3+0.92Mn2+0.05Sn4+0.02Al0.02)Σ1.01O2(BO3) (идеализированная формула Fe22+Fe3+O2(BO3)) выделены такие же типы магнитных подрешеток (рис. 2), в которых, по данным магнитометрии и термомессбауэовской спектроскопии, происходит аналогичный каскад магнитных переходов [9]. При температуре 113 K подрешетка из M4–M2–M4 упорядочивается антиферромагнитно, а ниже 70 K ферромагнитное упорядочение реализуется в тройках M3–M1–M3. Таким образом, разница в критических температурах в синтетическом Fe2+2Fe3+(BO3)O2 и природном вонсените не превышает ±2 K, несмотря на наличие примесных катионов в составе последнего. По данным терморентгенографии, магнитный переход сопровождается аномалиями на температурных зависимостях параметров элементарной ячейки и скачкообразным изменением коэффициентов термического расширения (рис. 2). Особая точка на температурных зависимостях параметров ячейки была определена как 120 K. До температуры 120 K вонсенит демонстрирует резко отрицательное (NTE) объемное термическое расширение. Обогащенные магнием изоструктурные людвигит и азопроит, напротив, не испытывают в широком интервале температур магнитных фазовых переходов, поскольку дальний магнитный порядок не реализуется за счет доминирующего над железом количества немагнитных ионов [14, 15].
Рис. 2. Температурные зависимости параметров элементарной ячейки и главных значений тензора термического расширения вонсенита.
0D–1B-бораты (n = 1), 1B : 1∆ : ∆, группа пинакиолита M2+2M3+BO5 (MO : M2O3 : B2O3 = 4 : 1 : 1), M = Mg, Ti, Fe, Sn, моноклинная сингония, пр. гр. P2/m; пять катионных позиций Mn+ (# 2116500-ICSD [74]). Близкие по химическому составу к людвигитам бораты группы пинакиолита имеют сходный мотив кристаллического строения. В структуре этих боратов имеется пять независимых позиций для катионов переходных металлов, координированных шестью атомами кислорода. Связываясь между собой, эти октаэдры образуют прямые и зигзагообразные цепи, вытянутые вдоль оси c (рис. 1б). Синтетических Fe-содержащих аналогов минералов этой группы на настоящий момент не выявлено. В структуре пинакиолитоподобного Fe-содержащего халсита (Fe2+1.90Mg0.11)Σ2.01(Fe3+0.88Mn2+0.06Sn4+0.05Al0.01)Σ1.00(BO3)O2 (идеализированная формула Fe2+2Fe3+(BO3)O2 [9]) впервые выделены две магнитные подрешетки – M1–M2 и M3–M4, в которых с повышением температуры происходит каскад магнитных переходов. Так, до 70 K соединение находится в объемном ферриупорядоченном состоянии, в диапазоне температур 120–383 K подрешетка M1–M2 упорядочена антиферромагнитно, а подрешетка M3–M4 находится в парамагнитном состоянии. Выше 383 K соединение парамагнитно. Указанные переходы, как и в вонсените, сопровождаются аномалиями на температурных зависимостях параметров элементарной ячейки (особые точки отмечены при 120 и 390 K) и главных значений тензора термического расширения. Поскольку Fe-содержащий пинакиолит был исследован впервые, а его синтетические аналоги на настоящий момент неизвестны, можно предположить, что полученный в дальнейшем синтетический аналог будет проявлять схожие магнитные свойства.
0D–1B-бораты (n = 1), 1B : 1∆ : ∆, M2+M3+BO4 (MO : M2O3 : B2O3 = 2 : 1 : 1), M = Mg, Ti, V, Mn, Fe, Co, моноклинная сингония, пр. гр. P21/n, группа “искаженного” варвикита при низких и комнатной температурах; две катионные позиции Mn+ (# 88453-ICSD [74]). С повышением температуры происходит полиморфный переход к структурному типу варвикита, ромбическая сингония, пр. гр. Pnma (# 88454-ICSD [74]). Природные соединения этой группы кристаллизуются только в ромбической сингонии. В кристаллической структуре варвикита атомы переходных металлов координированы шестью атомами кислорода с образованием октаэдров. Такие октаэдры слагают разнонаправленные ленты, лежащие в плоскости bc. Ленты связываются в каркас треугольниками [BO3]3– (рис. 1в). За счет наличия не связанного с бором кислорода, образующего оксоцентрированные тетраэдры [OM4]n+, структурная формула может быть записана как M2+M3+O(BO3).
Сложное термическое поведение гомометаллических варвикитов M2+M3+BO4 (M = V, Mn и Fe) обусловлено магнитными и структурными фазовыми переходами. При комнатной температуре V2+V3+O(BO3) обладает ромбической сингонией (пр. гр. Pnma), а с понижением температуры, по-видимому, происходит несколько структурных переходов, хотя их существование на настоящий момент не подтверждено [47]. Ниже ~35 K в V2+V3+O(BO3) происходит переход в ферримагнитное состояние. В моноклинном Mn2+Mn3+O(BO3) (P21/n) были обнаружены антиферромагнитный переход при TN = 104 K и слабый ферромагнетизм ниже 70 K [48], однако в последующих работах было показано, что TN составляет 26 K [49]. Магнитные измерения на кристаллах Mn2+Mn3+O(BO3) [50] для двух направлений приложенного поля относительно оси c позволили выявить одноосную анизотропию. Монокристаллы Mn2+Mn3+O(BO3) в [51] исследовали спектроскопическими методами в интервале 7–295 K, где было показано, что дальний магнитный порядок устанавливается при температурах ниже TN = 23 K. Согласно [52], Mn2+Mn3+O(BO3) сохраняет моноклинную симметрию до 773 K. Обнаруженная большая разница в значениях суммы валентных усилий для двух позиций Mn позволила предположить наличие зарядового упорядочения Mn2+ и Mn3+, возникающего за счет укладки ян–теллеровских искаженных октаэдров [MnO6] по двухцепочечной схеме, предпочтительной для моноклинной структуры. Fe-содержащий варвикит Fe2+Fe3+O(BO3) является наиболее изученным объектом данного семейства. Помимо ферромагнитного перехода (TC = 155 K) обнаружена область существования соразмерно и несоразмерно модулированных (P21/c) 2a × b × c фаз с зарядовым упорядочением катионов Fe2+ и Fe3+ эквивалентно по обеим кристаллографическим позициям до TCO = 317 K, выше которой железо находится в промежуточной степени окисления из-за перераспределения электронов Fe2+–Fe3+ [53–56]. Методом терморентгенографии [56] был обнаружен полиморфный переход от моноклинной к ромбической модификации при температурах 327–347 K, который может быть определен по изменению угла моноклинности β, значения которого с температурой изменялись от 90.2° (моноклинная модификация) до 90° (ромбическая модификация).
Природный варвикит (Fe2+,Mg)Fe3+O(BO3) был исследован методом порошковой терморентгенографии в интервале температур от 93 до 513 K [16]. При уточнении экспериментальных данных методом Ритвельда в качестве структурных моделей были взяты моноклинная (P21/c) и ромбическая (Pnma) модификации в интервале температур 93–513 K (шаг по температуре 5–20 K). Однако при использовании моноклинной модели угол â, равный 90.22(2)°, изменялся в пределах ошибки (вариации β ~ 0.01°) во всем интервале температур, что, по-видимому, свидетельствует об отсутствии структурного перехода в исследуемом природном варвиките. На температурной зависимости параметров элементарной ячейки вблизи 170 K наблюдался слабый излом, что может быть связано с магнитным переходом при 155 K [53]. В интервале температур 93–400 K основной вклад в анизотропию расширения варвикита вносит предпочтительная ориентировка борокислородных треугольников [BO3]3– [4, 33, 75, 76]: термическое расширение в плоскости их нахождения bc минимально, а вдоль перпендикулярной им оси a максимально (табл. 2). Кроме того, выше 270 K начинает проявляться отрицательное расширение вдоль оси b. Выше 400 K, вероятно, в связи с частичным окислением ионов Fe2+ до Fe3+ в термическом расширении начинает преобладать затухающий характер по параметрам a и b вплоть до отрицательного линейного и объемного расширения (рис. 1в).
0D–1B-бораты (n = 1), 1B : 1∆ : ∆, M2+3(BO3)2 (MO : B2O3 = 2 : 1), M = Co, Ni, группа котоита, ромбическая сингония, пр. гр. Pnmn; две катионные позиции Mn+ (# 34561-ICSD [74]). Структура представлена в виде плотноупакованного катионного каркаса, сложенного из октаэдров [MO6]10– и изолированных треугольников [BO3]3– (рис. 1ж).
Методом магнитометрии были установлены температуры Нееля для Mn3(BO3)2 (3, 35 и 55 K), Co3(BO3)2 (30 K) и Ni3(BO3)2 (49 K) [57]. Исследования полевых и температурных зависимостей намагниченности монокристаллов Co3(BO3)2 и Ni3(BO3)2 [17] показали, что для первого соединения аномалии на кривых намагниченности имеют место при 10 K, это связано с возможным спин-переориентационным переходом. В случае Co3(BO3)2 [18] обнаружены две магнитные аномалии при 10 и 33 K, а также показано, что при повышении температуры метал-кислородные октаэдры сжимаются в направлении длинных связей и удлиняются в направлении коротких. Методами ИК- и КР-спектроскопии, а также терморентгенографии исследованы механизмы динамики решетки в Co3(BO3)2 [20] и показано, что структурные переходы отсутствуют в интервале температур 10–300 K. Для Co3(BO3)2, вероятно, за счет плотноупакованного катионного каркаса и лежащих под разным углом друг к другу борокислородных треугольников характерна слабая анизотропия расширения (табл. 2, рис. 1г). Ni3(BO3)2 [19] претерпевает структурный фазовый переход ниже TN = 46 K, связанный с антиферромагнитным упорядочением.
0D–1B-бораты (n = 1), 1B : 1∆ : ∆, R3+M33+(BO3)4 (R2O3 : M2O3 : B2O3 = 1 : 3 : 4), группа хантита, тригональная сингония, пр. гр. P3121, R = Eu, Gd, Tb, Dy, Ho, Er, Y, M = Fe (# 170828-ICSD [74]) и R32, R = La, Ce, Pr, Nd, Sm, M = Fe; одна катионная позиция Mn+ (# 170829-ICSD [74]). Каркас структуры этих боратов сложен из металл-кислородных октаэдров, атомы бора координированы атомами кислорода с образованием изолированных треугольников [BO3]3– (рис. 1д).
Большой интерес к боратам данного семейства, особенно с M = Fe3+, вызван проявляемыми ими мультиферроидными и магнитными свойствами, а также структурными фазовыми переходами, происходящими с понижением температуры, от высокотемпературной тригональной модификации R32 к низкотемпературной P3121, которые были обнаружены для боратов-хантитов с R = Y (Ts ~ 370 K), Eu (Ts ~ 58 K), Gd (Ts ~ 155 K), Tb (Ts ~ 200 K), Dy (Ts ~ 340 K), Ho (Ts ~ 365 K). Температура структурных переходов (табл. 1) увеличивается с ростом ионного радиуса редкоземельного элемента [23]. Магнитное упорядочение в этих боратах обнаруживается при температурах <40 K, спин-переориентационные фазовые переходы – при температурах <10 K. В EuFe3(BO3)4 температура Нееля составляет 34 K, это связано с магнитным упорядочением Fe-подрешетки [60, 61]. В Gd- и Tb-аналогах температура Нееля составляет 32 и 40 K соответственно [62]. В работе [63] показано, что квадрупольное приближение удовлетворительно описывает данные продольной магнитострикции в TbFe3(BO3)4 и PrFe3(BO3)4 вдоль оси третьего порядка. По данным метода дифракции нейтронов, в DyFe3(BO3)4 антиферромагнитное упорядочение наблюдается при температурах ниже 39 K, а вблизи 27 K обнаруживаются незначительные аномалии в поведении параметра ячейки a [64]. Температуры Нееля для YFe3(BO3)4 и HoFe3(BO3)4 (оба имеют пр. гр. P3121) [58], равные 37 и 38 K, были установлены методами магнитометрии и дифракции нейтронов в функции от температуры. Сильное поляризационное воздействие Fe-подрешетки на ионы Ho3+ приводит к одновременному упорядочению обеих подрешеток в HoFe3(BO3)4, температура спин-переориентационного перехода в котором равна 5 K. В ErFe3(BO3)4 структурный и спин-переориентационный переходы в диапазоне температур 1.5–520 K не обнаружены [59]. Монокристаллы (Nd0.91Bi0.09)Fe3(BO3)4 с пр. гр. R32 (TN = 31 K) были исследованы методом терморентгеновской дифракции в интервале 20–500 K [22], где структурный переход не обнаружен. При охлаждении в интервале температур 500–90 K параметры ячейки монотонно уменьшаются, но ниже 90 K наблюдается аномальное увеличение параметра c, аналогичное обнаруженному авторами ранее для Gd-, Ho- и Y-аналогов. При понижении температуры связи (Nd,Bi)–O, (Nd,Bi)–B, (Nd,Bi)–Fe, Fe–O, Fe–B и Fe–Fe внутри и между Fe-цепочек сокращаются, в то время как связи B1–O остаются практически неизменными, а B2–O незначительно возрастают, что также сходно с изученными ранее Ho- и Y-аналогами. Авторы предположили, что обнаруженное отрицательное расширение вдоль направления c характерно для Nd-, Gd-, Ho- и Y-хантитов [22]. Деформации полиэдров [(R,Bi)O6]9– и [FeO6]9– вызваны геометрическими искажениями треугольников [B2O3]3–, связанных с октаэдрами через общие атомы кислорода O2. SmFe33+(BO3)4 был исследован в интервале температур 11–400 K в работе [21], где не выявлено структурных переходов в интервале 90–400 K, но обнаружено отрицательное термическое расширение вдоль направления c при температурах ниже 80 K. Механизм изменения длин связей похож на обнаруженный ранее для Nd-, Ho- и Y-аналогов. Температура Нееля в SmFe33+(BO3)4 составляет 32 K. Методами рентгеноструктурного анализа и мессбауэровской спектроскопии были исследованы монокристаллы R3+Fe33+(BO3)4 (R = Nd, Sm, Gd, Ho и Y) [23] при 25 K, данные сопоставлены с ранее полученными в диапазоне температур 90–500 K. Показано [23], что в указанном интервале температур длины связей B–O, являясь самыми жесткими, практически не изменяются с температурой, а изменения других длин связей аналогичны описанным выше. Исключением являются связи Fe–Fe и углы FeOFe, которые увеличиваются с понижением температуры и, будучи вытянутыми вдоль оси c, объясняют аномальное увеличение соответствующего параметра ячейки. Интересной является и обнаруженная тенденция разворота треугольников [B2O3]3–к редкоземельным ионам с изменением температуры [23].
Коэффициенты термического расширения хантитоподобных боратов были рассчитаны по данным монокристальных исследований [22, 23] в диапазоне температур от 80–90 до 500 K (табл. 2), в области с отрицательным расширением вдоль оси c вычисления не проводили из-за малого числа точек. В целом, для этих боратов независимо от симметрии полиморфов (P3121 и R32) характерна резкая анизотропия расширения, т.е. в плоскости расположения треугольников ab расширение минимально, а в перпендикулярном направлении вдоль оси c максимально (рис. 1д, табл. 2). При этом более резко анизотропно расширяются бораты (R32) с крупными редкоземельными элементами: с уменьшением размера редкоземельного элемента отчетливо прослеживается тенденция к понижению степени анизотропии от Ämax = 0.9 (Nd, Sm) до 0.26 (Y) (табл. 2).
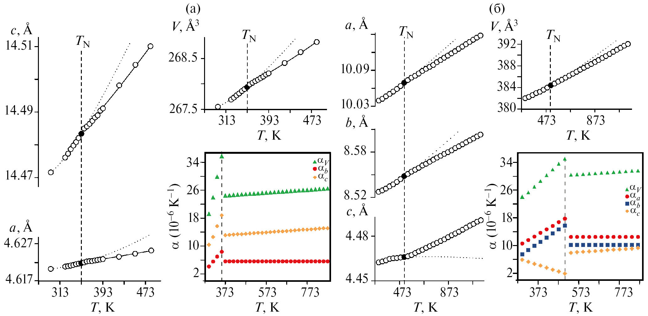
0D–1B-бораты (n = 1), 1B : 1∆ : ∆, M3+BO3 (M2O3 : : B2O3 = 1 : 1), M = V, Cr, Fe, группа кальцита, тригональная сингония, пр. гр. R3c; катионная позиция Mn+ (# 34474-ICSD [74]). Кристаллическая структура построена из изолированных плоских треугольников [BO3]3– и октаэдров [MO6]9– (рис. 1е). Среди кальцитоподобных боратов изучено термическое поведение CrBO3, VBO3 и FeBO3. С изменением температуры ни в одном из них не были обнаружены структурные фазовые переходы. В работе [65], посвященной измерению магнитных и электрических свойств монокристаллов CrBO3 и VBO3, было показано, что первый является коллинеарным двухподрешеточным антиферромагнетиком с температурой Нееля TN = 15 K, магнитные моменты в котором лежат вдоль оси третьего порядка L3, а второй – коллинеарным ферромагнетиком с температурой Кюри TC = 32.5 K. В твердых растворах V1–xCrxBO3 увеличение концентрации хрома относительно ванадия приводит к постепенному понижению TC. На монокристаллах VBO3 и CrBO3 [66, 67] исследовали анизотропию магнитных свойств при наложении поля параллельно и перпендикулярно базисной плоскости (111). В VBO3 обнаружена одноосная анизотропия, в CrBO3 – сосуществование одноосной и гексагональной анизотропии. Как говорилось ранее, FeBO3 – наиболее изученный борат семейства MBO3 – является слабым высокотемпературным ферромагнетиком с TN = 348 K, в магнитной структуре которого выделяются две антиферромагнитные подрешетки [68]. Данный борат в настоящее время занимает особое место среди модельных объектов для изучения и объяснения ряда магнитных свойств и явлений. Полученный твердофазным методом синтеза FeBO3 исследован впервые методом терморентгенографии в интервале температур 93–1173 K в работах [11, 12], где показано, что борат стабилен до ~900 K, после чего претерпевает твердофазное разложение с образованием гематита á-Fe2O3 (900 K) и Fe3BO6 (1080 K). На графиках зависимости параметров ячейки FeBO3 от температуры (рис. 3а) видно, что они изменяют свой характер вблизи TN (особенно хорошо это прослеживается на зависимостях параметра c и объема ячейки V). Представляется возможным выделить точки излома или особые точки, учет которых при аппроксимации параметров ячейки приводит к обнаружению скачкообразного изменения коэффициентов термического расширения (вставка на рис. 3а).
Рис. 3. Температурные зависимости параметров элементарной ячейки и коэффициентов термического расширения FeBO3 (а) и Fe3BO6 (б).
Во всем интервале температур термическое расширение бората резко анизотропно: максимальное расширение наблюдается вдоль оси с (ác = 10.3(7) × × 10–6 K–1 при 293 K), т.е. перпендикулярно плоскости изолированных треугольников [ВО3]3–, а минимальное – в плоскости ab (áa = 4.1(4) × 10–6 K–1 при 293 K) (табл. 2), где лежат треугольники (рис. 1е), что характерно для кальцитоподобных соединений [75]. С ростом температуры характер расширения сохраняется, однако после TN интенсивность расширения уменьшается, происходит его затухание по всем кристаллографическим направлениям, т.е. наблюдается сжатие структуры. Подобное поведение можно объяснить сокращением длин связей Fe–O и изменением геометрических параметров соответствующих полиэдров, углов между ними, что сказывается на изменении метрики решетки и, в свою очередь, происходит за счет протекающих магнитострикционных эффектов.
0D–1B-бораты (n = 1), 1B : 1D : D, M33+BO6 (M2O3 : B2O3 = 3 : 1), M = Fe, группа норбергита, ромбическая сингония, пр. гр. Pnma; две катионные позиции Mn+ (# 1910-ICSD [74]). Структура может быть охарактеризована как плотноупакованный катионный каркас, состоящий из искаженных октаэдров [FeO6]9–. Атомы бора координируются атомами кислорода с образованием изолированных тетраэдров [BO4]5– (рис. 1ж). Формула может быть представлена как M33+O2(BO4) за счет наличия двух не связанных с бором атомов кислорода, образующих треугольники [OM3]7+.
Среди боратов данной группы термическое поведение изучено только для Fe3BO6 или Fe3O2(BO4) [10–12]. По изменению на температурных зависимостях сверхтонких параметров мессбауэровских спектров было установлено, что TN составляет ~510 K для обеих позиций Fe3+, что близко к определенной впервые на монокристалле температуре 508 K [69]. Из данных терморентгенографии выявлено, что борат стабилен до ~930 K. При дальнейшем повышении температуры наблюдается появление дифракционных пиков Fe2O3 на дифрактограмме, что свидетельствует о начале разложения Fe3O2(BO4). Характер температурных зависимостей параметров ромбической ячейки соединения вблизи TN изменяется (рис. 3б), это особенно заметно для параметра c. Такие изменения в зависимостях параметров элементарной ячейки могут быть связаны с магнитострикционными и/или магнитоупругими эффектами. Магнитный фазовый переход сопровождается резким скачком коэффициентов термического расширения (вставка на рис. 3б). Соединение расширяется слабо анизотропно в направлениях a и b (табл. 2), это связано с тем, что в структуре имеются борокислородные тетраэдры, связи B–O в которых распределены практически равномерно во всех направлениях, обусловливая близкий к изотропному характер расширения [4, 75, 76]. Такой характер расширения обусловлен также плотноупакованным катионным каркасом, сложенным из связанных по ребрам октаэдров [FeO6]9– (рис. 1ж). Данный борат является ярким примером вклада оксоцентрированных полиэдров в расширение. Вдоль направления a располагаются вытянутые цепочки из связанных по вершинам и ребрам треугольников [OFe3]7+, вдоль которых с приближением к температуре Нееля наблюдается сжатие, что может быть вызвано изменением углов FeFeFe в цепочках. С дальнейшим повышением температуры расширение становится близким к изотропному.
0D–2B-бораты (n = 2), 2B : 2∆ : ∆∆, M2+2B2O5 (MO : B2O3 = 2 : 1), M = Co, Fe, группа суанита, триклинная сингония, пр. гр. P1; две катионные позиции Mn+ (# 96562-ICSD [74]). В структуре октаэдры [MO6]10– образуют четырехрядные бесконечные ленты, вытянутые вдоль короткой диагонали параллелограмма bc, которые “сшиваются” борокислородными димерами [B2O5]4– (рис. 1з). Некоторые твердые растворы на основе пироборатов могут кристаллизоваться в моноклинной сингонии (пр. гр. P21/c), при этом мотив кристаллического строения сохраняется. Это семейство наименее изучено. Fe2B2O5 является низкотемпературным антиферромагнетиком с TN ~ 24 K [70]. Позднее при исследовании монокристаллов Fe2B2O5 [71] в интервале температур 4–300 K было обнаружено, что ниже TN = 70 K соединение упорядочивается антиферромагнитно. Недавно в Co2B2O5 (P1) обнаружен переход в антиферромагнитное состояние при TN = 45 K и спин-переориентационный переход при наложении сильных магнитных полей [72, 73].
Хотя термическое расширение боратов переходных металлов M22+B2O5 пока не изучено, многие пиробораты являются структурно суанитоподобными, в частности с M2+ = Ca, Sr, моноклинные структуры которых также построены из четырехрядных бесконечных лент CaO6- или SrO7-полиэдров. Для этих боратов обнаружены серии термических полиморфных переходов и изучено резко анизотропное расширение полиморфов [77, 78]. В их строении сохраняется практически параллельное расположение димеров B2O5 – структуры максимально расширяются перпендикулярно плоскостям димеров [B2O5]4–. Учитывая сходное строение пироборатов, от суанитов переходных металлов следует ожидать подобного характера анизотропии расширения.
ЗАКЛЮЧЕНИЕ
Обобщая данные о кристаллическом строении, магнитных и термических свойствах боратов переходных металлов, изученных в широком интервале температур (преимущественно от 90 до 900 K), можно выделить некоторые закономерности магнитного и термического поведения этих боратов.
Практически все изученные в широком интервале температур бораты относятся к островным структурам, содержащим в подавляющем большинстве изолированные треугольные группы [BO3]3–, соответственно, содержание B2O3 не превышает 50 мол. %. Среди них около половины боратов имеют дополнительный кислород (46%). Термическое расширение изучено только для островных структур с изолированными полиэдрами [BO3]3– и [BO4]5–. Объемное расширение αV этих боратов при комнатной температуре варьирует в интервале от 10 до 40 × 10–6 K–1, что немного меньше, хотя и сопоставимо с расширением боратов двух- и трехвалентных металлов [4, 33, 79]. В интервале низких температур (20–100 K) наблюдается отрицательное объемное расширение (табл. 2), в частности для людвигитов и халсита. Степень анизотропии термического расширения (Ämax) относительно невысока и, как правило, не превышает 0.5, исключение составляют варвикиты и хантитоподобные бораты с крупными редкоземельными элементами, резко расширяющиеся вплоть до сжатия по некоторым направлениям (табл. 2). Одной из причин относительно незначительной анизотропии боратов с изолированными треугольными группами, в частности людвигитов и халсита, является, по-видимому, малое содержание B2O3 (4 : 1 : 1) по сравнению, например, с хантитами (1 : 3 : 4). Анизотропия обусловлена главным образом термическими вибрациями борокислородных треугольных группировок, нередко она возрастает с повышением температуры [4, 33, 75, 76], что позволяет предсказать характер анизотропии термического расширения еще не изученных пироборатов с димерами [B2O5]4–.
Причинами аномального термического поведения параметров решетки, проявляющегося в перегибах, изломах, термическом затухании, являются магнитные переходы и связанная с ними магнитострикция, а также процессы окисления переходных металлов, сопровождаемые изменением длин связей Mn+–Mn+, Mn+–O и, следовательно, геометрических параметров соответствующих полиэдров. По изменению термической зависимости параметров элементарной ячейки довольно точно оценивается температура магнитного упорядочивания–разупорядочивания Tord, к которой относятся TC и TN.
Окисление Fe2+ → Fe3+ проявляется в уменьшении параметров и объема элементарной ячейки вследствие меньшего размера ионов Fe3+ по сравнению с ионами Fe2+. При нагревании процесс окисления Fe2+ → Fe3+ обнаружен в обогащенных Fe2+-боратах: людвигитах, пинакиолитах и варвикитах. Окисление же ионов Co2+ в синтетическом Co-людвигите происходит при более высокой температуре по сравнению с Fe-содержащими людвигитами. Таким образом, согласно результатам исследований, метод терморентгенографии с учетом развиваемого комплексного подхода может быть рекомендован для исследования термически индуцированных магнитных переходов и процессов окисления переходных металлов.
БЛАГОДАРНОСТЬ
Авторы глубоко признательны рецензентам за уделенные работе внимание и время, ее оценку, а также за полезные комментарии, способствовавшие улучшению статьи. Работа посвящается 300-летию РАН, 300-летию Санкт-Петербургского государственного университета и 75-летию Института химии силикатов им. И.В. Гребенщикова РАН.
ФИНАНСИРОВАНИЕ РАБОТЫ
Работа выполнена при поддержке Российского научного фонда (грант № 22-13-00317), https://rscf.ru/project/22-13-00317/
КОНФЛИКТ ИНТЕРЕСОВ
Авторы заявляют об отсутствии конфликта интересов.
About the authors
R. S. Bubnova
Institute of Silicate Chemistry of Russian Academy of Sciences
Author for correspondence.
Email: rimma_bubnova@mail.ru
Russian Federation, Saint Petersburg
Y. P. Biryukov
Institute of Silicate Chemistry of Russian Academy of Sciences
Email: rimma_bubnova@mail.ru
Russian Federation, Saint Petersburg
S. K. Filatov
Saint Petersburg State University
Email: rimma_bubnova@mail.ru
Russian Federation, Saint Petersburg
References
- Hawthorne F.C., Burns P.C., Grice J.D. // Rev. Miner. 1996. V. 33. P. 41.
- Touboul M., Penin N., Nowogrocki G. // Solid State Sci. 2003. V. 5. P. 1327. https://doi.org/10.1016/S1293-2558(03)00173-0
- Yuan G., Xue D. // Acta Cryst. 2007. V. B63. P. 353. https://doi.org/10.1107/S0108768107015583
- Bubnova R.S., Filatov S.K. // Z. Kristallogr. 2013. V. 228. P. 395. https://doi.org/10.1524/zkri.2013.1646
- Huang C., Mutailipu M., Zhang F. et al. // Nat. Commun. 2021. V. 12. P. 2597. https://doi.org/10.1038/s41467-021-22835-4
- Mutailipu M., Poeppelmeier K.R., Pan S.L. // Chem. Rev. 2021. V. 121. P. 1130. https://doi.org/10.1021/acs.chemrev.0c00796
- Potapkin V., Chumakov A.I., Smirnov G.V. et al. // J. Synchrotron Rad. 2012. V. 19. P. 559. https://doi.org/10.1107/S0909049512015579
- Yang Si-Han, Xue H., Guo Sheng-Ping. // Coord. Chem. Rev. 2021. V. 427. P. 213551. https://doi.org/10.1016/j.ccr.2020.213551
- Biryukov Y.P., Zinnatullin A.L., Cherosov M.A. et al. // Acta Cryst. 2021. V. B77. P. 1021. https://doi.org/10.1107/S2052520621010866
- Biryukov Y.P., Bubnova R.S., Filatov S.K. et al. // Glass Phys. Chem. 2016. V. 42. P. 202. https://doi.org/10.1134/S1087659616020048
- Biryukov Y.P., Filatov S.K., Vagizov F.G. et al. // J. Struct. Chem. 2018. V. 59. P. 1980. https://doi.org/10.1134/S0022476618080309
- Biryukov Y.P., Bubnova R.S., Dmitrieva N.V. et al. // Glass Phys. Chem. 2019. V. 45. P. 147. https://doi.org/10.1134/S1087659619020032
- Biryukov Y.P., Zinnatullin A.L., Bubnova R.S. et al. // Acta Cryst. 2020. V. B76. P. 543. https://doi.org/10.1107/S2052520620006538
- Biryukov Y.P., Zinnatullin A.L., Levashova I.O. et al. // Acta Cryst. 2022. V. B78. P. 809. https://doi.org/10.1107/S2052520622009349
- Biryukov Y.P., Zinnatullin A.L., Levashova I.O. et al. // Acta Cryst. 2023. V. B79. P. 368. https://doi.org/10.1107/S2052520623006455
- Бирюков Я.П., Бубнова Р.С., Филатов С.К. // Физика и химия стекла. 2023. Т. 49. № 5. С. 538. https://doi.org/10.31857/S0132665123600231
- Bezmaternykh L.N., Sofronova S.N., Volkov N.V. et al. // Phys. Status Solidi B. 2012. V. 249. № 8. P. 1628. https://doi.org/10.1002/pssb.201147518
- Казак Н.В., Платунов М.С., Иванова Н.Б. и др. // ЖЭТФ. 2013. Т. 144. № 1. С. 109. https://doi.org/10.7868/S0044451013070122
- Pisarev R.V., Prosnikov M.A., Davydov V.Yu. et al. // Phys. Rev. 2016. V. B93. P. 134306. https://doi.org/10.1103/PhysRevB.93.134306
- Molchanova A.D., Prosnikov M.A., Petrov V.P. et al. // J. Alloys Compd. 2021. V. 865. P. 158797. https://doi.org/10.1016/j.jallcom.2021.158797
- Smirnova E.S., Alekseeva O.A., Dudka A.P. et al. // Acta Cryst. 2022. V. B78. P. 546. https://doi.org/10.1107/S2052520622003948
- Smirnova E.S., Alekseeva O.A., Dudka A.P. et al. // Acta Cryst. 2022. V. B78. P. 1. https://doi.org/10.1107/S205252062101180X
- Alekseeva O.A., Smirnova E.S., Frolov K.V. et al. // Crystals. 2022. V. 12. P. 1203. https://doi.org/10.3390/cryst12091203
- Huppertz H. // Chem. Commun. 2011. V. 47. P. 131. https://doi.org/10.1039/c0cc02715d
- Knyrim J.S., Roeßner F., Jakob S. et al. // Angew. Chem. 2007. V. 119. P. 9256.
- Neumair S.C., Kaindl R., Huppertz H. // Z. Naturforsch. B. 2014. V. 65. № 11. P. 1312. https://doi.org/10.1515/znb-2010-1104
- Chezhina N., Korolev D., Bubnova R. et al. // J. Solid State Chem. 2019. V. 274. P. 259. https://doi.org/10.1016/j.jssc.2019.03.029
- Филатов С.К. Высокотемпературная кристаллохимия. Л.: Недра, 1990. 288 с.
- Bubnova R.S., Firsova V.A., Volkov S.N. et al. // Glass Phys. Chem. 2018. V. 44(1). P. 33. https://doi.org/10.1134/S1087659618010054
- Ehrenfest P. // Proc. R. Acad. 1933. V. 36. P. 153.
- Филатов С.К., Горская М.Г., Болотникова Н.И. // Изв. АН СССР. Неорган. материалы. 1987. Т. 23. № 4. С. 594.
- Shannon R.D. // Acta Cryst. V. A32. 1976. P. 751.
- Бубнова Р.С., Филатов С.К. Высокотемпературная кристаллохимия боратов и боросиликатов. Санкт-Петербург: Наука, 2008. 760 с.
- Еремина Р.М., Мошкина Е.М., Гаврилова Т.П. и др. // Изв. РАН. Сер. физическая. 2019. T. 83. № 7. С. 999. https://doi.org/10.1134/S0367676519070147
- Eremina R.M., Gavrilova T.P., Moshkina E.M. et al. // J. Magn. Magn. Mater. 2020. V. 515. P. 167262. https://doi.org/10.1016/j.jmmm.2020.167262
- Damay F., Sottmann J., Fauth F. et al. // Appl. Phys. Lett. 2021. V. 118. P. 192903. https://doi.org/10.1063/5.0049174
- Moshkina E., Ritter C., Eremin E. et al. // J. Phys.: Condens. Matter. 2017. V. 29. P. 245801. https://doi.org/10.1088/1361-648X/aa7020
- Moshkina E.M., Eremin E.V., Velikanov D.A. // J. Phys.: Conf. Ser. 2019. V. 1389. P. 012130. https://doi.org/10.1088/1742-6596/1389/1/012130
- Gamzatov A.G., Koshkid’ko Y.S., Freitas D.C. et al. // Appl. Phys. Lett. 2020. V. 116. P. 232403. https://doi.org/10.1063/5.0012490
- Continentino M.A., Fernandes J.C., Guimaraes R.B. et al. // Eur. Phys. 1999. V. B9. P. 613. https://doi.org/10.1007/s100510050805
- Guimaraes R.B., Mir M., Fernandes J. C. et al. // Phys. Rev. B. 1999. V. 60. P. 6617.
- Bordet P., Suard E. // Phys. Rev. B. 2009. V. 79. P. 144408. https://doi.org/10.1103/PhysRevB.79.144408
- Mir M., Guimaraes R.B., Fernandes J.C. et al. // Phys. Rev. Lett. 2001. V. 87. P. 147201. https://doi.org/10.1103/PhysRevLett.87.147201
- Freitas D.C., Continentino M.A., Guimarães R.B. et al. // Phys. Rev. B. 2008. V. 77. P. 184422. https://doi.org/10.1103/PhysRevB.77.184422
- Galdino C.W., Freitas D.C., Medrano C.P.C. et al. // Phys. Rev. B. 2019. V. 100. P. 165138. https://doi.org/10.1103/PhysRevB.100.165138
- Galdino C.W., Freitas D.C., Medrano C.P.C. et al. // Phys. Rev. B. 2021. V. 104. P. 195151. https://doi.org/10.1103/PhysRevB.104.195151
- Carnicoma E.M., Górnicka K., Klimczuk T. et al. // J. Solid State Chem. 2018. V. 265. P. 319. https://doi.org/10.1016/j.jssc.2018.06.021
- Continentino M.A., Pedreira A.M., Guimaraes R.B. et al. // Phys. Rev. B. 2001. V. 64. P. 014406. https://doi.org/10.1103/PhysRevB.64.014406
- Goff R.J., Williams A.J., Attfield J.P. // Phys. Rev. B. 2004. V. 70. P. 014426. https://doi.org/10.1103/PhysRevB.70.014426
- Kazak N.V., Platunov M.S., Knyazev Yu.V. et al. // J. Magn. Magn. Mater. 2015. V. 393. P. 316. https://doi.org/10.1016/j.jmmm.2015.05.081
- Gnezdilov V., Pashkevich Yu., Kurnosov V. et al. // Low Temp. Phys. 2019. V. 45. P. 1046. https://doi.org/10.1063/1.5121280
- Kazak N.V., Platunov M.S., Knyazev Yu.V. et al. // Phys. B: Condens. 2019. V. 560. P. 228. https://doi.org/10.1016/j.physb.2019.02.019
- Attfield J.P., Bell A.M.T., Rodriguez-Martinez L.M. et al. // J. Mater. Chem. 1999. V. 9. P. 205. https://doi.org/10.1039/A804642E
- Angst M., Hermann R.P., Schweika W. et al. // Phys. Rev. Lett. 2007. V. 99. P. 256402. https://doi.org/10.48550/arXiv.0707.3127
- Akrap A., Angst M., Khalifah P. et al. // Phys. Rev. B. 2010. V. 82. P. 165106. https://doi.org/10.1103/PhysRevB.82.165106
- Shimomura S., Nakamura S., Ikeda N. et al. // J. Magn. Magn. Mater. 2007. V. 310. P. 793. https://doi.org/10.1016/j.jmmm.2006.10.184
- Newnham R.E., Santoro R.P., Seal P.F. // Phys. Status Solidi. 1966. V. 5. P. K17.
- Ritter C., Vorotynov A., Pankrats A. et al. // J. Phys.: Condens. Matter. 2008. V. 20. P. 365209. https://doi.org/10.1088/0953-8984/20/36/365209
- Ritter C., Vorotynov A., Pankrats A. et al. // J. Phys.: Condens. Matter. 2010. V. 22. P. 206002. https://doi.org/10.1088/0953-8984/22/20/206002
- Dyakonov V.P., Szymczak R., Prokhorov A.D. et al. // Eur. Phys. J. 2010. V. B 78. P. 291. https://doi.org/10.1140/epjb/e2010-10059-3
- Boldyrev K.N., Stanislavchuk T.N., Klimin S.A. et al. // Phys. Lett. A. 2012. V. 376. P. 2562. http://dx.doi.org/10.1016/j.physleta.2012.06.028
- Klimin S.A., Kuzmenko A.B., Kashchenko M.A. et al. // Phys. Rev. B. 2016. V. 93. P. 054304. https://doi.org/10.1103/PhysRevB.93.054304
- Demidov A.A., Kolmakova N.P., Volkov D.V. et al. // Phys. B: Condens. 2009. V. 404. P. 213.
- Ritter C., Pankrats A., Gudim I. et al. // J. Physics: Conference Series. 2012. V. 340. P. 012065. https://doi.org/10.1088/1742-6596/340/1/012065
- Bither T.A., Frederick C.G., Gier T.E. et al. // Solid State Commun. 1970. V. 8. P. 109.
- Балаев А.Д., Иванова Н.Б., Казак Н.В. и др. // Физика твердого тела. 2003. Т. 45. № 2. С. 273.
- Eibschütz M., Pfeiffer L., Nielsen J.W. // J. Appl. Phys. 1970. V. 41. P. 1276.
- Овчинников С.Г., Руденко В.В., Казак Н.В. и др. // ЖЭТФ. 2020. Т. 158. № 1 (7). С. 184. https://doi.org/10.31857/S0044451020070160
- Wolfe R., Pierce R.D., Eibschütz M. et al. // Solid State Commun. 1969. V. 7. P. 949.
- Fernandes J.C., Sarrat F.S., Guimaraes R.B. et al. // Phys. Rev. B. 2003. V. 67. P. 104413. https://doi.org/10.1103/PhysRevB.67.104413
- Kawano T., Morito H., Yamada T. et al. // J. Solid State Chem. 2009. V. 182. P. 2004. https://doi.org/10.1016/j.jssc.2009.05.009
- Kawano T., Morito H., Yamane H. // Solid State Sci. 2010. V. 12. P. 1419. https://doi.org/10.1016/j.solidstatesciences.2010.05.021
- Казак Н.В., Бельская Н.А., Мошкина Е.М. и др. // Письма в ЖЭТФ. 2021. Т. 114. № 2. С. 89. https://doi.org/10.31857/S123456782114007X
- Zagorac D., Müller H. Ruehl S. et al. // Appl. Cryst. 2019. V. 52. P. 918. https://doi.org/10.1107/S160057671900997X
- Bubnova R.S., Filatov S.K. // Struct. Chem. 2016. V. 27(6). Р. 1647. https://doi.org/10.1007/s11224-016-0807-9
- Filatov S.K., Bubnova R.S. // Phys. Chem. Glasses: Eur. J. Glass Sci. Technol. B. 2015. V. 56(1). Р. 24.
- Yukhno V., Volkov S., Bubnova R. et al. // Solid State Sci. 2021. V. 121. P. 106726. https://doi.org/10.1016/j.solidstatesciences.2021.106726
- Volkov S., Dušek M., Bubnova R. et al. // Acta Cryst. 2017. V. B73. P. 1056. https://doi.org/10.1107/S2052520617012689
- Filatov S.K., Krzhizhanovskaya M.G., Bubnova R.S. et al. // Struct. Chem. 2016. V. 27(6). P. 1663. https://doi.org/10.1007/s11224-016-0810-1
Supplementary files





