On phosphine-containing gold(I) complexes in solutions in connection with their biological applications
- Authors: Mironov I.V.1, Kharlamova V.Y.1, Kal’nyi D.B.1
-
Affiliations:
- Nikolaev Institute of Inorganic Chemistry, Siberian Branch, Russian Academy of Sciences
- Issue: Vol 69, No 6 (2024)
- Pages: 899-906
- Section: ФИЗИКОХИМИЯ РАСТВОРОВ
- URL: https://journal-vniispk.ru/0044-457X/article/view/273154
- DOI: https://doi.org/10.31857/S0044457X24060129
- EDN: https://elibrary.ru/XTBDHC
- ID: 273154
Cite item
Full Text
Abstract
Some transformations involving AuCl(PPh3) in CH3CN/H2O solution are considered and a comparison is made with known data for auranofin. Interaction with GSH leads to the formation of a binuclear (GSH)[Au(PPh3)]2 (at CGSH/CAu < 0.5) or mononuclear Au(GSH)(PPh3) (CGSH/CAu > 0.5) complex; PPh3 substitution is not observed. Interaction with BSA leads to Cl– substitution. A cyclic voltammetry study showed the presence of several peaks of irreversible oxidation of AuCl(PPh3) and complexes with GSH.
Keywords
Full Text
ВВЕДЕНИЕ
Комплексы золота находят широкое применение в практике. В частности, в последние 20–30 лет их испытывают в качестве противоопухолевых препаратов, и они нередко показывают результаты лучше комплексов платины(II) [1–8]. Среди них заметную группу образуют фосфиновые комплексы золота(I) [9–15]. Следует отметить, что комплексы этого типа давно используют в медицине в терапии ревматоидного артрита. Параллельно с клиническим применением проводили исследование их химических свойств. Наиболее изученным является применяемый уже более 40 лет в терапии ревматоидного артрита ауранофин – смешанный комплекс, содержащий в качестве лигандов триэтилфосфин PEt3 и тиолат – тетраацетильное производное тиоглюкозы (ATGS–). В работе [16] показано, что он также обладает выраженным противоопухолевым действием, не уступая комплексам золота(III). Поведение в растворе других фосфиновых комплексов изучено гораздо меньше.
Цель работы – изучение некоторых процессов взаимодействия трифенилфосфинхлоридного комплекса золота(I) с биологически активными тиолами в растворе, а также сопоставление полученных данных с результатами для схожих объектов.
ЭКСПЕРИМЕНТАЛЬНАЯ ЧАСТЬ
Исходный раствор HAuCl4 готовили растворением металлического золота (99.9%) в царской водке с последующим многократным упариванием с соляной кислотой, а затем с водой. Кроме того, в работе использовали перхлорат лития (ч.), соляную кислоту (фиксанал), фосфатный буфер pH 6.86 (фиксанал), L-цистеин (H2Cys, “Реахим”, Россия, >98%), L-глутатион восстановленный (GSH, АО “Вектон”, Россия, >98%), бычий сывороточный альбумин (BSA, Serva, США), трифенилфосфин (PPh3, “Sigma-Aldrich”, >95%), раствор NaOH (“без CO2”), этиловый спирт, диэтиловый эфир, ацетонитрил (AN, “Вектон”, х. ч., перегнанный), бидистиллированную воду. Концентрацию HAuCl4 устанавливали по УФ-поглощению раствора (ε = 5600 M–1 см–1 при 314 нм, среда 0.1 M HCl).
Комплекс AuCl(PPh3) получали по реакции: AuCl + 2PPh3 + H2O D AuCl(PPh3) + P(O)PPh3 + + 2H+ + 3Cl–. К 2 мл водного раствора HAuCl4 (0.88 ммоль) добавляли 8 мл этанола и затем при перемешивании 25 мл раствора PPh3 (2.30 ммоль) в смеси (4/1) этанола с диэтиловым эфиром. Образовавшийся белый осадок отфильтровывали на пористом стеклянном фильтре, промывали несколькими порциями этилового спирта и затем диэтиловым эфиром. Сушили сутки в вакуумном шкафу. Выход комплекса в виде белого порошка составил по золоту 71%.
Данные C,H-анализа для C18H15AuClP (вычислено/найдено): C 43.7/44.3, H 3.0/3.0; tпл = 241°С. Комплекс плохо растворяется в воде, не растворяется в этаноле и ДМСО, но растворяется в ацетонитриле при wAN > 35%. Добавки тиомочевины или тиосульфата натрия растворимость в воде заметно не увеличивают.
Растворы глутатиона, цистеина и бычьего сывороточного альбумина готовили непосредственно перед экспериментами из сухих реактивов. Исходный фосфатный буфер (рН 6.86) доводили до рН 7.4 добавлением щелочи; рН 3.0 создавали при помощи HCl. Для лигандов (как свободных, так и в комплексах) в тексте мы используем обычные обозначения (Cys, GSH, BSA) без указания степени их протонирования и заряда.
Спектры поглощения записывали на спектрофотометре СФ-2000 (ОКБ Спектр) в диапазоне длин волн 240–340 нм, l = 0.2–1 см.
Показания циклической вольтамперометрии (ЦВА) снимали в трехэлектродной ячейке с неразделенными катодным и анодным пространствами, как в работе [17]. Рабочим электродом служил стеклоуглеродный диск (диаметр 5.0 мм), вспомогательным – стеклоуглеродный стержень, электродом сравнения был серебряный (Ag/0.1 M AgNO3 в AN, для контакта с раствором использовали капилляр Луггина, заполненный рабочим раствором). Все потенциалы указаны относительно используемого электрода сравнения. Перед каждым измерением поверхность рабочего электрода полировали алмазной пастой АСМ 0.3/0, несколько раз промывали ацетоном и бидистиллированной водой, сушили на воздухе. Фоновый электролит содержал 0.10 М LiClO4, AN (80%), бидистиллированную воду (20%). Его использовали для приготовления всех растворов в этих экспериментах. Скорость развертки составляла 100 и 50 мВ/с.
РЕЗУЛЬТАТЫ И ОБСУЖДЕНИЕ
Из фосфинсодержащих комплексов вида AuX(PR3) одним из наиболее распространенных является AuCl(PPh3). Он легко получается по реакции восстановления AuCl под действием PPh3. В работах [18, 19] сообщается о высокой эффективности AuCl(PPh3), наряду с другими фосфиновыми комплексами золота(I), в качестве гомогенного катализатора в органическом синтезе, особенно при циклизации непредельных соединений. Низкая растворимость в воде служит препятствием для исследований его на противоопухолевую активность, однако есть несколько работ, в которых такие исследования проводились с результатом не хуже, чем для ауранофина [16, 20, 21]. Тем не менее, данных о химических свойствах комплекса в растворах практически нет.
При попадании в организм комплексы золота(III) и золота(I) неминуемо реагируют с компонентами физиологических сред, вступая в реакции замещения лигандов и редокс-процессы и превращаясь в итоге в совсем другие формы. В известных случаях для этих форм только центральный атом золота(I) остается общим с исходным комплексом. Важной особенностью золота(I) является очень высокая устойчивость его комплексов с тиолатами, которая уступает только устойчивости комплексов с цианидом и фосфинами. Кроме того, для комплексов золота(I), в том числе высокоустойчивых, характерны высокие скорости обмена лигандами. По аналогии с медью(I), серебром(I) и ртутью(II) предполагают, что скорость лигандного обмена у них лимитируется диффузией. И хотя есть примеры, когда скорости значительно ниже [10, 22], но и в этих случаях они остаются высокими. Однако полная или частичная сохранность исходного комплекса в растворе зависит не только от скорости лигандного обмена. Если в растворе отсутствуют дополнительные лиганды, соизмеримые по силе с лигандами в составе комплекса, то при больших константах устойчивости даже очень низкая равновесная концентрация лигандов, достигнутая в результате диссоциации комплекса, будет препятствовать дальнейшему снижению его концентрации. Так, в молекуле ауранофина Au(ATGS)(PEt3)
анион ацетилтиоглюкозы может легко и быстро замещаться на другие тиолаты, присутствующие в окружающем растворе, в первую очередь на остатки неокисленного цистеина в составе белков. В то же время связь золота(I) с фосфином является более прочной, и прямого замещения лиганда PR3 на тиолаты не наблюдается, хотя он легко замещается на CN– [23], т.е. устойчивость фосфиновых комплексов занимает промежуточное положение между тиолатными и цианидными. В работах [24–26] представлены данные, полученные методом 31P и 13C ЯМР-спектроскопии, о константах равновесий Kd = K2/K1 диспропорционирования 2Au(CN)(PR3) = Au(PR3) + + Au(CN) для нескольких фосфинов в метаноле. Значения Kd лежат в интервале 0.11–0.49, что сопоставимо со статистической оценкой 0.25, несмотря на резкое различие PR3 и CN– как лигандов [27]. Величины K1 и K2 являются константами первой и второй ступеней замещения PR3 в Au(PR3) на CN–. В небольшой степени (⁓2%) диспропорционирование отмечено и для ауранофина [28]. Однако прямых данных об устойчивости фосфиновых комплексов золота(I), в том числе о самих величинах K1 и K2, нет.
Замещение на тиолат RS– второго (нефосфинового) лиганда в комплексах общего вида AuX(PR3) может протекать намного легче. Так, равновесие замещения AuCl(PEt3) + ATGS– = Au(ATGS)(PEt3) + + Cl– устанавливается быстро и имеет lgβ1 = 10.5 [10], что согласуется с lgβ2 = 20–23 [29–31] для двухступенчатых равновесий:
AuCl + 2RS– = Au(RS) + 2Cl–(RS = GSH, Cys, тиомалат). (1)
Как и для обычных тиолатов золота(I), при недостатке ATGS– образуется биядерный комплекс: 2AuCl(PEt3) + ATGS– = (ATGS)[Au(PEt3)]2 + 2Cl–, lgK1 = 3.3. Взаимодействие ауранофина Au(ATGS)(PEt3) с сывороточным альбумином изучали в работах [11, 32]. При этом ATGS– замещается на неокисленный остаток цистеина AlbCys34S– быстрее, чем за 5 мин, и образуется комплекс вида (AlbCys34S)Au(PEt3).
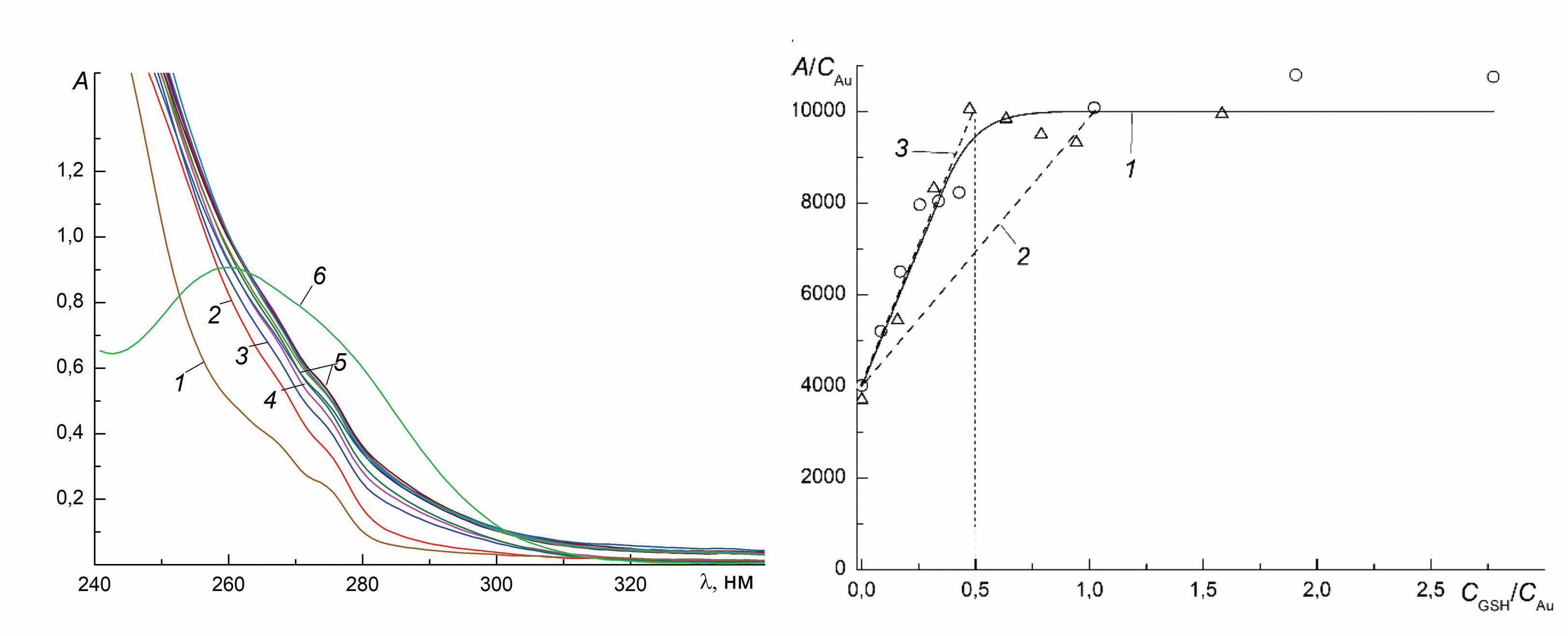
На рис. 1 показано изменение спектра AuCl(PPh3) в 50%-ном AN при добавлении глутатиона GSH (pH 7.4, фосфатный буфер). Поскольку константа замещения Cl– на тиолат велика, то процессы протекают количественно и при обычном образовании Au(GSH)(PPh3) должен был бы реализоваться стандартный вид кривой спектрофотометрического титрования, когда A изменяется почти линейно с “изломом” при GSH/Au = 1. Однако вид изменения спектров более сложный. В частности, наклон зависимости A от CGSH намного больше и на начальном этапе соответствует образованию биядерного комплекса (GSH)[Au(PPh3)]2, который присутствует в растворе наряду с исходным AuCl(PPh3), так же как при взаимодействии AuCl(PEt3) с ATGS– (см. выше). Зависимость A/lCAu от CGSH/CAu имеет вид ε0 + 2(ε21 – ε0) CGSH/CAu, где ε0 и 2ε21 – коэффициенты экстинкции AuCl(PPh3) и (GSH)[Au(PPh3)]2 соответственно.
Рис. 1. Изменение УФ-спектра раствора AuCl(PPh3) в 50%-ном AN при добавлении GSH (pH 7.4, l = 1 см). CAu = 1.34 × × 10–4 M, CGSH (10–5 M): 0 (1); 3.2 (2); 6.4 (3); 9.6 (4); 12.8–230 (5). Спектр 6 – PPh3 (9.11 × 10–5 M) (а). Изменение A/lCAu при λ = 260 нм. CAu (10–4 M): 1.34 (Δ), 0.52 (Ο). 1 – расчетная кривая, 2 – предполагаемое изменение для моноядерных форм, 3 – предполагаемое изменение для биядерной формы, l = 1 см (б).
Образование полиядерных (полимерных) тиолатных комплексов с мостиковыми атомами S характерно для золота(I). Однако при биологическом использовании эти комплексы не имеют значения, поскольку в физиологических условиях какой-либо тиолат всегда присутствует в большом избытке по сравнению с золотом(I), что приводит к образованию мономерных бис-комплексов AuR(1)R(2). При соотношениях 1 > CGSH/CAu > 0.5 поглощение A изменяется мало. На этом этапе, очевидно, присутствуют оба комплекса, (GSH)[Au(PPh3)]2 и Au(GSH)(PPh3), и A/lCAu = (2ε21 – ε1) + (2ε1 – ε21) CGSH/CAu, где ε1 – коэффициент экстинкции Au(GSH)(PPh3). При CGSH/CAu > 1 спектр (рис. 1а, 1б) прекращает изменяться, A/lCAu = ε1, и даже при большом избытке GSH замещение PPh3 не происходит. Для λ = 260 нм (рис. 1) величины ε0 = 4.0 × 103, ε21 = 1.1 × 104, ε1 = = 1.0 × 104 M–1 см–1. Высокие поглощения, в отличие от AuX(PEt3), обусловлены наличием трех фенильных колец в составе лиганда.
Аналогичные изменения УФ-спектров наблюдались при использовании цистеина (Cys) (рис. 2). На начальном этапе Cl– замещается на Cys с образованием биядерного Cys[Au(PPh3)]2, а затем моноядерного Au(Cys)(PPh3) комплексов. Следов белого осадка AuHCysтв не наблюдалось, т.е. замещения фосфина на Cys не происходит, в том числе при CCys/CAu = 20.
Рис. 2. Изменение УФ-спектра раствора при взаимодействии AuCl(PPh3) с цистеином. CAu = 1.34 × 10–4 M, CCys (10–4 M): 0 (1); 0.35 (2); 0.67 (3); 1.0–12 (4). pH 7.4, 50%-ный AN, l = 1 см.
Практически важным является вопрос о редокс-превращениях фосфиновых комплексов. Исследования электрохимического окисления AuCl(PPh3) на платиновом электроде в среде AN выполнены в работах [33–35] при помощи метода ЦВА. По сравнению с бис-цистеинатным Au(HCys) комплекс AuCl(PPh3) окисляется при более высоком (на 0.35 В) потенциале, в то время как Au(PPh3) – при более низком (на 0.41 В) потенциале. В ацетонитриле пик необратимого окисления AuCl(PPh3) находится при 1.54 В (относительно НКЭ). Несмотря на очень подробные исследования, мнения авторов относительно природы процесса полностью расходятся. Одни считают, что происходит двухэлектронное окисление золото(I) → золото(III) с последующей быстрой реакцией и образованием форм AuCl, соответствующих данному pH. Другие уверены, что окисление одноэлектронное и не затрагивает золото(I). Указаний на образование фосфиноксида P(O)Ph3 нет.
На рис. 3 приведены анодные ветви первых циклов ЦВА-грамм растворов комплекса AuCl(PPh3) в AN в присутствии 1 × 10–3 M HCl и HClO4. Также показаны зависимости для комплекса с добавками GSH (CGSH/CAu = 0.4/1 и 0.9/1), соответствующими образованию биядерной GSH[Au(PPh3)]2 или моноядерной Au(GSH)(PPh3) формы. Дополнительно приведены зависимости для PPh3 и GSH. Для наглядности зависимости представлены в разностном виде: ΔI = I – Iфон. Отметим, что, как следует из полных циклов, обратимых процессов в этих условиях ни для одной из систем не наблюдается.
Рис. 3. ЦВА-граммы растворов, содержащих AuCl(PPh3) (CAu = 1.0 × 10–3 M) и GSH. CGSH/CAu: 0 (1); 0.4/1 (2); 0.9/1 (3). Зависимости (4) и (5) относятся к растворам GSH и PPh3 (C = 1.0 × 10–3 M). Все растворы содержат 0.1 M LiClO4, AN (80%), H2O (20%). а – 1 × 10–3 M HCl, б – 1 × 10–3 M HClO4. E отн. Ag+/Ag электрода, скорость развертки 100 мВ/с.
В присутствии HCl (1 × 10–3 M) обращает на себя внимание наличие пика вблизи E = 1.25 В практически для всех систем, который отсутствует в HClO4 и ЦВА-грамме фона (1 × 10–3 M HCl, 80%-ный AN, 0.1 M LiClO4). Этот факт свидетельствует, что один из процессов окисления любого из компонентов протекает с участием хлорид-иона. Положения остальных пиков в этих средах различаются мало. Зависимость для исходного комплекса AuCl(PPh3) имеет один пик при E = 1.80 В, в то время как ЦВА-граммы GSH-содержащих комплексов имеют по два пика, имеющих попарно близкое расположение.
В экспериментах по окислению под действием кислорода воздуха раствор AuCl(PPh3) в 50%-ном AN (CAu = 5 × 10–5 M, V = 5 мл) помещали в закрытый сосуд со свободным объемом ⁓50 мл. Количество кислорода в этом объеме более чем в 200 раз превышало количество комплекса в растворе. В то же время свободного объем было совершенно недостаточно, чтобы значимо изменить объем раствора вследствие его испарения. Раствор умеренно перемешивали на магнитной мешалке на протяжении 6 ч. Концентрацию комплекса в растворе периодически проверяли спектрофотометрически. За время эксперимента никаких изменений спектра не наблюдалось. Следовательно, окисление кислородом воздуха происходит чрезвычайно медленно. Устойчивость фосфиновых комплексов к кислороду воздуха отмечена также в работе [36]. В то же время в [16] наблюдалось значительное увеличение УФ-поглощения (более чем вдвое при 260 нм) во времени как для раствора самого комплекса AuCl(PPh3), так и для его смеси с большим избытком GSH. Причины этих изменений для лабильных комплексов золота(I) непонятны.
Для биологического применения фосфиновых комплексов важнейшее значение имеет реакция окисления фосфинового лиганда под действием дисульфидов [23, 36–38]:
Au(R(1)S)(PR3) + H2O + R(2)SSR(2) →
→ (R(1)S)Au(R(2)S)– + P(O)R3 + R(2)SH + H+.
Примечательно, что окисление идет в комплексе без диссоциации связи Au–P. Скорость реакции зависит от вида тиола, дисульфида, растворителя [36]. Образующийся фосфиноксид P(O)R3 является намного более слабым лигандом, чем PR3, и легко замещается на тиолат. В результате образуется бис-тиолатный комплекс золота(I). Аналогичные реакции проходят с участием комплекса (AlbCys34S)Au(PEt3), образующегося при взаимодействии ауранофина с альбумином (см. выше), в составе молекулы которого есть 17 дисульфидных групп. Помимо P(O)R3 образуется некоторое количество P(S)R3.
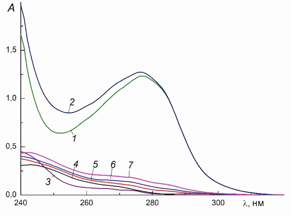
Изменение УФ-поглощения растворов при взаимодействии AuCl(PPh3) с BSA показано на рис. 4. Поскольку одному атому золота(I) требуются два лиганда, то растворы дополнительно содержали цистеин (2.0 × 10–4 M). Отметим, что в реальных системах помимо альбумина всегда присутствуют другие тиолаты (Cys, GSH, дипептиды цистеина). На рис. 4 приведены разностные спектры поглощения раствора, содержащего AuCl(PPh3) в 1%-ном BSA (CAu = 1.0 × 10–4 M, CBSA = 1.45 × 10–4 M), и 1%-ного BSA без добавления комплекса для различных интервалов времени τ после смешения. Как следует из приведенных данных, уже для τ = 0 это различие значительно отличается от спектра раствора AuCl(PPh3), что означает образование комплекса с альбумином (AlbCys34S)Au(PPh3). Далее наблюдается более медленный рост интенсивности с появлением максимума в области 270 нм, т.е. приблизительно там же, где находится один из максимумов P(O)Ph3 (ε ⁓ 1300–1500 M–1 см–1). Это согласуется с известными данными об окислении фосфина дисульфидами альбумина (RSSR) с образованием бис-тиолатного комплекса (AlbCys34S)Au(Cys):
(AlbCys34S)Au(PPh3) + RSSR + H2O + Cys →
→ (AlbCys34S)Au(Cys) + P(O)Ph3 + 2 RSH.
Рис. 4. Изменения УФ-спектров при взаимодействии AuCl(PPh3) с BSA (1%) в AN (37%) в присутствии Cys (2.0 × 10–4 M). 1 – 1% BSA; 2 – 1% BSA + 1.0 × 10–4 M AuCl(PPh3) τ = 0; 3 – 1.0 × 10–4 M AuCl(PPh3) без BSA; 4–7 – разностные спектры A2–A1 для τ (мин) после смешения: 0 (4), 10 (5), 30 (6), 60 (7), l = 0.2 см.
В то же время при отсутствии дополнительного лиганда (Cys) сразу после смешения наблюдалось образование только (AlbCys34S)Au(PPh3), и далее спектр не изменялся. Так, в данном случае окисления фосфинового лиганда не происходит.
ЗАКЛЮЧЕНИЕ
Для фосфиновых комплексов золота(I), используемых в биологических экспериментах, в условиях, близких к физиологическим, наиболее важны два вида взаимодействий. Во-первых, это замещение нефосфинового лиганда на тиолаты, присутствующие в этом же растворе, в частности, на остаток неокисленного цистеина в составе молекулы альбумина AlbCys34S–. Во-вторых, это редокс-взаимодействие с дисульфидами, приводящее к окислению фосфина до фосфиноксида и его замещению на тиолат. В результате этих взаимодействий исходный комплекс за непродолжительное время полностью трансформируется в бис-тиолатный комплекс золота(I), в котором лигандами являются тиолаты из окружающего раствора, присутствующие в организме.
В целом, почти все исследуемые в качестве противоопухолевых препаратов и показывающие хорошие результаты комплексы золота можно разделить на три неравные группы. Самую большую группу составляют комплексы золота(III) с N-содержащими полидентатными лигандами. В работах [39, 40] на примере нескольких комплексов, имеющих низкие IC50, было показано, что в физиологических условиях они быстро восстанавливаются до золота(I) тиолами, присутствующими в организме, в том числе глутатионом, цистеином и неокисленными цистеиновыми остатками в составе белков. Это ведет к образованию бис-тиолатных высокоустойчивых комплексов золота(I), способных к быстрому замещению на другие тиолаты из окружающей среды. В результате различные исходные комплексы золота(III) за короткое время переходят в одни и те же комплексы золота(I), лигандный состав которых определяется тиолами из окружающего раствора. Эти комплексы и обеспечивают основную часть цитотоксического действия. Следовательно, нет смысла синтезировать множество новых комплексов золота(III) и испытывать их на противоопухолевую активность. Рациональнее, используя ограниченный набор уже хорошо известных комплексов, подробнее изучить физиологическое действие тиолатных комплексов золота(I), так как несмотря на почти столетний период их практического применения в медицине механизм действия остается неясным. Единственное, что не вызывает сомнения, так это очевидное положение о том, что золото(I) способно образовывать прочные связи с цистеиновыми остатками многих ферментов, изменяя характер их дальнейшего взаимодействия с белками.
Вторая группа комплексов, исследуемых в качестве противоопухолевых препаратов, включает рассматриваемые фосфиновые комплексы золота(I), из которых наиболее изучен ауранофин. Ярким примером, подтверждающим вывод о нестойкости таких комплексов, являются результаты экспериментов in vivo и in vitro с ауранофином, содержащим меченые атомы S, P, Au [41]. Оказалось, что золото намного дольше задерживается в организме по сравнению с мечеными S и P. Кроме того, после добавления препарата к крови уже через 20 мин меченые атомы оказались в разных местах: одни в плазме, другие в эритроцитах, что также свидетельствует о быстром разложении исходного комплекса и превращении его в другие формы. Таким образом, для этих комплексов золота(I) справедливы те же выводы в отношении природы их противоопухолевой активности, что и для комплексов золота(III). Следует отметить, что выводы в отношении трансформации фосфиновых комплексов были сделаны давно [41], но не были широко восприняты.
Третью, малочисленную, группу образуют комплексы золота(III) с макроциклическими лигандами. В данном случае обычный механизм восстановления золота(III) через замещение лигандов на тиолат (первая стадия процесса) практически невозможен. С другой стороны, если комплекс не способен к окислительно-восстановительным превращениям, то маловероятно, что он будет реагировать с биологическими молекулами. В литературе известны два крайних примера результатов применения таких комплексов. Первый – комплекс с цикламином (предельный циклический тетрамин), который практически не проявляет противоопухолевых свойств [42, 43]. Второй – комплексы с порфиринами, которые, наоборот, проявляют очень хорошие свойства [43, 44], хотя есть данные, что механизм физиологического действия этих комплексов совсем другой [43], отличающийся от остальных комплексов золота(III). Порфириновые комплексы фактически являются самостоятельными объектами, имеющими мало общего с другими комплексами золота(III). Вероятно, их действие связано с редокс-подвижностью порфиринового лиганда, содержащего множество сопряженных связей и способного легко восстанавливаться [45].
Дополнительным фактором противоопухолевой активности является появление при разложении исходных комплексов свободных лигандов, многие из которых сами обладают цитотоксическими свойствами. Например, в [46] показано, что активность биядерных комплексов золота(I) с бидентатными фосфиновыми лигандами вида H2P(CH2)nPH2 близка к активности самих лигандов.
ФИНАНСИРОВАНИЕ РАБОТЫ
Работа поддержана Министерством науки и высшего образования Российской Федерации, проект №121031700315-2.
КОНФЛИКТ ИНТЕРЕСОВ
Авторы заявляют, что у них нет конфликта интересов.
About the authors
I. V. Mironov
Nikolaev Institute of Inorganic Chemistry, Siberian Branch, Russian Academy of Sciences
Author for correspondence.
Email: imir@niic.nsc.ru
Russian Federation, Novosibirsk, 630090
V. Y. Kharlamova
Nikolaev Institute of Inorganic Chemistry, Siberian Branch, Russian Academy of Sciences
Email: imir@niic.nsc.ru
Russian Federation, Novosibirsk, 630090
D. B. Kal’nyi
Nikolaev Institute of Inorganic Chemistry, Siberian Branch, Russian Academy of Sciences
Email: imir@niic.nsc.ru
Russian Federation, Novosibirsk, 630090
References
- Dey D., Al-Hunaiti A., Gopal V. et al. // J. Mol. Struct. 2020. V. 1222. P. 128919. https://doi.org/10.1016/j.molstruc.2020.128919
- Корман Д.Б., Островская Л.А., Кузьмин В.А. // Вопросы онкологии. 2018. Т. 64. № 6. С. 697. https://doi.org/10.37469/0507-3758-2018-64-6-697-707
- Yeo C.I., Ooi K.K., Tiekink E.R.T. // Molecules. 2018. V. 23. P. 1410. https://doi.org/10.3390/molecules23061410
- Van der Westhuizen D., Bezuidenhout D.I., Munro O.Q. // Dalton Trans. 2021. V. 50. P. 17413. https://doi.org/10.1039/d1dt02783b
- Radisavljević S., Petrović B. // Front. Chem. 2020. V. 8. P. 379. https://doi.org/10.3389/fchem.2020.00379
- Yang Z., Jiang G., Xu Z. et al. // Coord. Chem. Rev. 2020. V. 423. P. 213492. https://doi.org/10.1016/j.ccr.2020.213492
- Lu Y., Ma X., Chang X. et al. // Chem. Soc. Rev. 2022. V. 51. P. 5518. https://doi.org/10.1039/d1cs00933h
- Zhang J., Li Y., Fang R. et al. // Front. Pharmacol. 2022. V. 13. P. 979951. https://doi.org/10.3389/fphar.2022.979951
- Shaw III C.F. // Chem. Rev. 1999. V. 99. P. 2589. https://doi.org/10.1021/cr980431o
- Bryan D.L.B., Mikuriya Y., Hempel J.C. et al. // Inorg. Chem. 1987. V. 26. P. 4180. https://doi.org/10.1021/ic00272a009
- Roberts J.R., Xiao J., Schliesman B. et al. // Inorg. Chem. 1996. V. 35. P. 424. https://doi.org/10.1021/ic9414280
- Keter F.K., Guzei I.A., Nell M. et al. // Inorg. Chem. 2014. V. 53. P. 2058. https://doi.org/10.1021/ic4025926
- Kim J.H., Reeder E., Parkin S., Awuah S.G. // Sci. Rep. 2019. V. 9. P. 12335. https://doi.org/10.1038/s41598-019-48584-5
- Landini I., Lapucci A., Pratesi A. et al. // Oncotarget 2017. V. 8. P. 96062. https://doi.org/10.18632/oncotarget.21708
- Walz D.T., DiMartino M.J., Griswold D.E. et al. // Am. J. Med. 1983. V. 75. P. 90. https://doi.org/10.1016/0002-9343(83)90481-3
- Chrysouli M.P., Banti C.N., Kourkoumelis N. et al. // J. Inorg. Biochem. 2018. V. 179. P. 107. https://doi.org/10.1016/j.jinorgbio.2017.11.004
- Кращенко Т.Г., Введенский А.В., Бобринская Е.В., Кулешова Н.Е. // Конденсированные среды и межфазные границы. Т. 16. № 1. С. 42.
- Obradors C., Echavarren A.M. // Chem. Commun. 2014. V. 50. P. 16. https://doi.org/10.1039/c3cc45518a
- Mézailles N., Ricard L., Gagosz F. // Org. Lett. 2005. V. 7. P. 4133. https://doi.org/10.1021/ol0515917
- Křikavová R., Hošek J., Vančo J. et al. // PLoS One. 2014. 9(9): e107373. https://doi.org/10.1371/journal.pone.0107373
- Caruso F., Rossi M., Tanski J. et al. // J. Med. Chem. 2003. V. 46. P. 1737. https://doi.org/10.1021/jm0204690
- Dickson P.N., Wehrli A., Geier G. // Inorg. Chem. 1988. V. 27. P. 2921. https://doi.org/10.1021/ic00290a006
- Shaw III C.F., Isab A.A., Hoeschele J.D. et al. // J. Am. Chem. Soc. 1994. V. 116. P. 2254. https://doi.org/10.1021/ja00085a003
- Hormann-Arendt A.L., Shaw III C.F. // Inorg. Chem. 1990. V. 29. P. 4683. https://doi.org/10.1021/ic00348a019
- Hormann-Arendt A.L., Shaw III C.F., Bennett D.W., Reiff W.M. // Inorg. Chem. 1986. V. 25. P. 3953. https://doi.org/10.1021/ic00242a025
- Ahmad S. // Coord. Chem. Rev. 2004. V. 248. P. 231. https://doi.org/10.1016/j.cct.2003.10.015
- Белеванцев В.И., Пещевицкий Б.И. Исследование сложных равновесий в растворе. Новосибирск: Наука, 1978. 254 с.
- Albert A., Brauckmann C., Blaske F. et al. // Anal. At. Spectrom. 2012. V. 27. P. 975. https://doi.org/10.1039/C2JA30109A
- Mironov I.V., Kharlamova V.Yu. // J. Solution Chem. 2020. V. 49. P. 583. https://doi.org/10.1007/s10953-020-00994-0
- Миронов И.В., Харламова В.Ю. // Журн. неорган. химии. 2017. Т. 62. № 7. С. 1008. https://doi.org/10.7868/S0044457X17070157
- Mironov I.V., Kharlamova V.Yu. // J. Solution Chem. 2018. V. 47. P. 511. https://doi.org/10.1007/s10953-018-0735-y
- Coffer M.T., Shaw III C.F., Eidsness M.K. et al. // Inorg. Chem. 1986. V. 25. P. 333. https://doi.org/10.1021/ic00223a020
- Rakhimov R.D., Butin K.P., Grandberg K.I. // J. Organomet. Chem. 1994. V. 464. P. 253. https://doi.org/10.1016/0022-328X(94)87282-1
- Anderson J.E., Sawtelle S.M., McAndrews C.E. // Inorg. Chem. 1990. V. 29. P. 2627. https://doi.org/10.1021/ic00339a020
- Mohamed A.A., Bruce A.E., Bruce M.R. // The chemistry of organic derivatives of gold and silver / Eds. Patai S., Rappoport Z. John Wiley & Sons, 1999. P. 313.
- Garusinghe G.S.P., Bessey S.M., Aghamoosa M. et al. // Inorganics. 2015. V. 3. P. 40. https://doi.org/10.3390/inorganics3010040
- Garusinghe G.S.P., Bessey S.M., Bruce A.E., Bruce M.R.M. // Dalton Trans. 2016. V. 45. P. 11261. https://doi.org/10.1039/c6dt01400c
- Coffer M.T., Shaw III C.F., Hormann A.L. et al. // J. Inorg. Biochem. 1987. V. 30. P. 177. https://doi.org/10.1016/0162-0134(87)80062-4
- Mironov I.V., Kharlamova V.Yu. // ChemistrySelect. 2023. V. 8. P. e202301337. https://doi.org/10.1002/slct.202301337
- Миронов И.В., Харламова В.Ю. // Журн. неорган. химии. 2023. Т. 68. № 10. С. 1495. https://doi.org/10.31857/S0044457X23600639
- Pacheco E.A., Tiekink E.R.T., Whitehouse M.W. Gold Chemistry: Applications and Future Directions in the Life Sciences. Ch. 6: Gold Compounds and Their Applications in Medicine. WILEY-VCH Verlag GmbH & Co, 2009. P. 304. https://doi.org/10.1002/9783527626724.ch6
- Kimura E., Kurogi Y., Koike T. et al. // J. Coord. Chem. 1993. V. 28. P. 33. https://doi.org/10.1080/00958979308035142
- Gabbiani C., Casini A., Messori L. // Gold Bull. 2007. V. 40. P. 73. https://doi.org/10.1007/BF03215296
- Che C.-M., Sun R.W.-Y., Yu W.-Y. et al. // Chem. Commun. 2003. P. 1718. https://doi.org/10.1039/b303294a
- Jamin M.E., Ivamoto R.T. // Inorganica Chim. Acta. 1978. V. 27. P. 135. https://doi.org/10.1016/S0020-1693(00)87273-4
- Berners-Price S.J., Sadler P.J. // Phosphines and metal phosphine complexes: relationship of chemistry to anticancer and other biological activity in structure and bonding. 1988. V. 70. P. 27. https://doi.org/10.1007/3-540-50130-4_2
Supplementary files







