Synthesis, structure and optical properties of semiconductor perovskite nanoparticles CsBX3 (B = Pb, Mn; X = Br, Cl)
- Authors: Gushchina V.A.1,2, Son A.G.1,2, Egorova A.A.2, Arkhipenko A.A.2, Teplonogova M.A.2, Efimov N.N.2, Kozyukhin S.A.2
-
Affiliations:
- Moscow Institute of Physics and Technology (National Research University)
- Kurnakov Institute of General and Inorganic Chemistry of the Russian Academy of Sciences
- Issue: Vol 69, No 6 (2024)
- Pages: 935-944
- Section: НЕОРГАНИЧЕСКИЕ МАТЕРИАЛЫ И НАНОМАТЕРИАЛЫ
- URL: https://journal-vniispk.ru/0044-457X/article/view/273158
- DOI: https://doi.org/10.31857/S0044457X24060162
- EDN: https://elibrary.ru/XSQSOK
- ID: 273158
Cite item
Full Text
Abstract
Currently, ABX3 nanoparticles (NPs) based on lead halides attract the attention due to their unique optical properties and a wide range of applications. The preparation of NPs with lead as a partial or complete replacement is particularly interesting because of the toxicity of this chemical element and most of its compounds. In this study, we propose a modified method for perovskite NPs synthesis using manganese as a partial replacement for lead. The results obtained describe the structures, shapes and dimensions of the synthesized nanoparticles. It has been shown that partial replacement of lead with manganese leads to the appearance of new photoluminescence bands in the region of 600 nm.
Keywords
Full Text
Введение
За прошедшие годы активное развитие технологий биовизуализации открыло возможность раннего предупреждения различных заболеваний и диагностики с помощью флуоресцентной томографии, магнитно-резонансной томографии, рентгеновской компьютерной томографии, эмиссионного компьютерного томографа, а также фототермического имиджинга [1]. Такой метод, как флуоресцентная томография, может быть использован для обнаружения очагов патологических процессов (метастаз) на ранней стадии развития, для отслеживания биометок, для разработки лекарственных препаратов и оптимизации лечения благодаря высокой чувствительности обнаружения, количественному определению, многоцветности изображения, а также простоте его использования. Основным компонентом в методе флуоресцентной томографии является флуоресцентный зонд. Современные флуоресцентные зонды обычно изготавливаются из таких материалов, как флуоресцентные красители [2–3], флуоресцентные белки [4–6], биолюминесцентные молекулы [7–8], а также плазмонные наночастицы [9]. Однако низкая светопоглощающая способность и плохая фотостабильность таких материалов ограничивают функциональность биовизуализации, в частности, высокую чувствительность зонда и получение изображений с высоким разрешением. Одним из перспективных материалов, рассматриваемых для применения в различных биологических приложениях, являются полупроводниковые наночастицы, в частности, со структурой перовскита состава CsPbX3 (X = Br, I, CI), которые обладают превосходными физическими и оптическими свойствами, такими как высокая подвижность носителей, яркая флуоресценция в видимой области спектра и т.д. [10]. Полностью неорганические перовскиты CsPbX3 (X = Br, I, CI) являются перспективными материалами для оптоэлектронных устройств, так как обладают лучшей стабильностью в сравнении с гибридными органо-неорганическими перовскитами.
Применение органо-неорганических материалов со структурой перовскита ABX3 (А – органический катион, В – катион свинца, Х – галоген) на основе галогенидов свинца в качестве функциональных материалов в фотовольтаических устройствах, таких как перовскитные солнечные элементы, светодиоды и фотодетекторы, привлекает пристальное внимание исследователей в силу их уникальных оптических и электронных свойств, таких как высокий коэффициент поглощения, низкая энергия связи экситонов, возможность настройки ширины запрещенной зоны, высокая подвижность носителей зарядов, а также высокая устойчивость к дефектам [11–14]. Исследования показывают, что эффективность солнечных элементов на основе перовскитов сопоставима с эффективностью устройств на основе неорганических полупроводников и характеризуется беспрецедентным ростом данного значения. За последнее десятилетие эффективность преобразования энергии устройств на основе материалов со структурой перовскита возросла от 3.8 до 25.7% [15]. Ввиду стабильности функциональных свойств перспективными являются полностью неорганические перовскиты, у которых органический катион метиламмония замещается на неорганический, например Cs+ [16].
Введение легирующих примесей или допантов позволяет управлять физико-химическими и функциональными свойствами полупроводников. В литературе приведены сведения о частичной замене иона Pb2+ на ионы Cd2+ или Zn2+, результатом которой является изменение оптических свойств перовскита, в частности, наблюдается гипсохромное смещение эмиссионного максимума в спектрах фотолюминесценции в сравнении со спектром для состава CsPbBr3 [17]. Потенциальными кандидатами на замену свинца являются изовалентные с ним элементы 14-ой группы, например, Ge и Sn, имеющие схожие оптоэлектронные свойства. В частности, катион Sn2+ является перспективным, поскольку имеет не только аналогичное электронное строение, но и близкий ионный радиус (Pb2+ – 119 пм, Sn2+ – 110 пм) [18].
Введение марганца в структуру перовскита позволяет изменять оптоэлектронные и магнитные свойства материала, а также повышает стабильность перовскита [19]. Впервые легирование наночастиц перовскита состава CsPbCl3 марганцем методом горячего впрыска было продемонстрировано в 2019 г., когда было обнаружено, что переходы электронов на d-орбитали марганца вносят существенный вклад в люминесцентные свойства перовскитных наночастиц [20]. Как известно, устойчивость структуры перовскита можно оценить с помощью фактора толерантности Гольдшмидта:
(1)
где – ионные радиусы элементов A, B и X соответственно. Фактор толерантности идеальной кубической структуры перовскита равен 1, в реальности данный параметр соответствует диапазону 0.891, а для искаженной решетки значения колеблются в пределах 0.750.89. Существенным параметром, определяющим возможность образования структуры перовскита, также является октаэдрический фактор , который указывает на возможность формирования октаэдра из галогенид-ионов вокруг катионов B:
(2)
где – радиус катиона метала B, – радиус галогенид-ионов X. Согласно литературным данным [21], устойчивый октаэдр образуется при значении параметра ˃ 0.41. Значение для октаэдра [MnBr6]4– составляет 0.5, тогда как для [PbBr6]4 – 0.7, из чего можно сделать вывод, что свинцово-бромидный октаэдр является более устойчивым. Легирование марганцем наночастиц CsPbBr3 методом горячего впрыска является синтетически сложной задачей, как и получение однофазного соединения. В литературе описаны разные подходы к решению данной задачи, например получение бромидно-свинцовых перовскитных нанокристаллов с марганцем возможно при формировании лигандного комплекса L2[Pb1–xMnx]Br4 перед впрыском цезия [22]. В рамках теоретического исследования легирования марганцем перовскита CsPbBr3 было установлено, что частичное замещение катиона свинца на марганец приводит к уменьшению запрещенной зоны материала, а также увеличивает эффективную массу носителей заряда [23].
Целью работы являлось получение перовскитных наночастиц (НЧ) состава CsBX3 (B = Pb, Mn; X = = Cl, Br) с использованием модифицированной методики горячего впрыска, подбор оптимального количества стабилизаторов для получения стабильных коллоидных растворов перовскитных НЧ [24]; изучение формы, размера и кристаллической структуры полученных НЧ, а также их оптических свойств.
Экспериментальная часть
Операции по синтезу и выделению наночастиц CsPbBr3, CsPbClzBr3–z, CsPbCl3, CsPb1–yMnyClzBr3–z и CsPb1–yMnyCl3 осуществляли по модифицированной методике горячего впрыска при различных температурах в атмосфере аргона с использованием абсолютированных растворителей. Исходные реактивы Cs2CO3, PbBr2 (99.999%, “SigmaAldrich”), PbCl2 (99.999%, “SigmaAldrich”), MnCl2 (99.999%, “SigmaAldrich”), олеиновая кислота (97.4%, Русхим), олеиламин (98%, Sigma-Aldrich), минеральное масло и толуол (х. ч., “Химмед”) использовали без дополнительной очистки. Диспергирование проводили в гексане с помощью ультразвуковой ванны мощностью 10 Вт в течение 10 мин. Очистку суспензий проводили с помощью центрифуги при 8000 об/мин.
Получение олеата цезия. Навеску Cs2CO3 массой 0.814 г (2.5 ммоль), 40 мл минерального масла и 2.5 мл олеиновой кислоты помещали в колбу. Полученную смесь грели при температуре 150°C в атмосфере аргона до полного протекания реакции карбоната цезия с олеиновой кислотой при активном перемешивании магнитной мешалкой со скоростью 1000 об/мин с образованием коричневого прозрачного раствора.
Синтез наночастиц состава CsPbBr3. Навеску PbBr2 массой 0.069 г (0.188 ммоль), 10 мл минерального масла, 1 мл олеиновой кислоты и 1 мл олеиламина помещали в колбу с тремя горлышками. Полученную смесь нагревали до t = 180°С в атмосфере аргона в течение 40 мин при активном перемешивании магнитной мешалкой со скоростью 1000 об/мин. После полного растворения бромида свинца(II) быстро вводили 0.4 мл олеата цезия. В течение 5 с после впрыска реакционную смесь резко охлаждали на ледяной бане.
Синтез наночастиц состава CsPbCl3–zBrz. Навески PbBr2 и PbCl2 массами 0.0363 г (0.1 ммоль) и 0.0278 г (0.1 ммоль) соответственно, 15 мл минерального масла, 1 мл олеиновой кислоты и 1 мл олеиламина помещали в колбу с тремя горлышками. Полученную смесь нагревали до t = 120°C в атмосфере аргона до полного растворения солей в течение 40 мин при активном перемешивании магнитной мешалкой со скоростью 1000 об/мин. После полного растворения бромида свинца(II) и хлорида свинца(II) быстро вводили 0.4 мл олеата цезия. В течение 5 с после впрыска реакционную смесь резко охлаждали на ледяной бане.
Синтез наночастиц состава CsPbCl3. Навеску PbCl2 массой 0.2781 г (1 ммоль), 20 мл минерального масла, 1 мл олеиновой кислоты и 1 мл олеиламина помещали в колбу с тремя горлышками. Полученную смесь нагревали до t = 120°С в атмосфере аргона в течение 1.5 ч при активном перемешивании магнитной мешалкой со скоростью 1000 об/мин. После полного растворения хлорида свинца(II) быстро вводили 1.1 мл олеата цезия. В течение 5 с после впрыска реакционную смесь резко охлаждали на ледяной бане.
Синтез наночастиц состава CsPb1–yMnyCl3–zBrz. Навески PbBr2, PbCl2 и MnCl2 массами 0.1835 г (0.5 ммоль), 0.1391 г (0.5 ммоль) и 0.2517 г (2 ммоль) соответственно, 20 мл минерального масла, 3 мл олеиновой кислоты и 3 мл олеиламина помещали в колбу c тремя горлышками. Полученную смесь нагревали до t = 90°C в атмосфере аргона до полного растворения MnCl2 при активном перемешивании магнитной мешалкой со скоростью 1000 об/мин, после увеличивали температуру до 120°C и грели до полного растворения солей свинца. После полного растворения бромида свинца(II), хлорида свинца(II) и хлорида марганца(II) быстро вводили 3 мл олеата цезия. В течение 5 с после впрыска реакционную смесь резко охлаждали на ледяной бане.
Синтез наночастиц состава CsPb1–yMnyCl3. Навески PbCl2 и MnCl2 массами 0.2781 г (1 ммоль) и 0.2517 г (2 ммоль) соответственно, 20 мл минерального масла, 3 мл олеиновой кислоты и 3 мл олеиламина помещали в колбу с тремя горлышками. Полученную смесь нагревали до t = 90°C в атмосфере аргона при активном перемешивании магнитной мешалкой со скоростью 1000 об/мин, после увеличивали температуру до 120°C и нагревали в течение 15 мин, затем повышали температуру до 130°C. В процессе нагревания реакционной смеси добавляли 1 мл OLA для повышения растворимости неорганических солей в минеральном масле. После полного растворения хлорида свинца(II) и хлорида марганца(II) быстро вводили 3 мл олеата цезия. В течение 5 с после впрыска реакционную смесь резко охлаждали на ледяной бане.
Выделение и очистка наночастиц. Замену высококипящего растворителя в коллоидном растворе осуществляли с помощью центрифугирования полученной суспензии. После охлаждения на ледяной бане коллоидные растворы центрифугировали при 8000 об/мин в течение 5 мин при комнатной температуре (t = 25°C). Полученный супернатант сливали, а осадок диспергировали в течение 10 мин в 30 мл н-гексана с использованием ультразвуковой ванны мощностью 10 Вт. Далее суспензию центрифугировали при 8000 об/мин в течение 5 мин при комнатной температуре (t = 25°C) с целью получения более узкой дисперсии НЧ в коллоидном растворе.
Микрофотографии наночастиц были получены с использованием растрового электронного микроскопа Tescan Amber GMH, изображения – с помощью детектора R-STEM при ускоряющем напряжении 30 кВ. Получение микрофотографий осуществляли в режимах светлого и темного поля при увеличениях ×200 000–900 000. Образец для исследований готовили путем растворения золя перовскитных НЧ в толуоле в соотношении 1 : 10, после чего наносили на медную сетку формвар/углерод/Cu (Ted Pella Inc., 3.05 мм, 400 ячеек).
Рентгенофазовый анализ (РФА) образцов проводили с помощью дифрактометра Bruker D8 Advance (CuKα-излучение, Ni-фильтр и детектор Lynxeye) в диапазоне углов 2θ 10°–60° с шагом 0.02° и временем накопления не менее 0.4 с/шаг. Для идентификации синтезированных соединений использовали пакет программ DIFFRAC.EVA (Bruker) и кристаллографическую базу данных ICDD PDF2 (2012).
Элементный анализ коллоидных растворов перовскитных наночастиц выполняли с помощью метода рентгенофлуоресцентной спектроскопии (РФС) с использованием рентгенофлуоресцентного волнодисперсионного спектрометра Спектроскан Макс-GVM (ООО “НПО СПЕКТРОН”), условия анализа указаны в табл. 1. Соотношение основных компонентов устанавливали с помощью метода фундаментальных параметров (МФП), заложенного в программном обеспечении “Спектр-Квант”. В основу данного способа положен алгоритм, предусматривающий итерационный расчет влияния состава анализируемого материала на интенсивность аналитических линий рентгеновской флуоресценции. В методе фундаментальных параметров влияние элементов друг на друга рассчитывается теоретически.
Таблица 1. Условия элементного анализа коллоидных растворов перовскитных НЧ методом РФС
Элемент | Тип линии | Длина волны, мÅ | Кристалл-анализатор | Экспозиция, с | Напряжение трубки, кВ | Ток трубки, мА |
Cs | Lα | 2893.40 | C002 | 1 | 10 | 3.0 |
Pb | Lα | 1176.04 | LiF200 | 1 | 10 | 0.5 |
Mn | Kα | 2103.17 | LiF200 | 1 | 20 | 3.5 |
Cl | Kα | 4728.87 | C002 | 1 | 30 | 3.5 |
Br | Kα | 1041.14 | LiF200 | 1 | 10 | 0.5 |
Электронные спектры поглощения коллоидных растворов регистрировали с помощью двухлучевого спектрометра “Cary 5000 UV-Vis-NIR” (разрешение 0.05 нм) в интервале длин волн 200–600 нм. Спектры фотолюминесценции регистрировали с помощью однолучевого люминесцентного спектрометра “Perkin Elmer LS-55” (разрешение 0.5 нм) в интервале длин волн 350–700 нм с размерами спектральных щелей 5 нм. Все операции по исследованию оптических свойств синтезированных коллоидных растворов проводили при комнатной температуре с использованием стандартной кварцевой кюветы и однопозиционного держателя кювет для жидких образцов.
Спектры электронного парамагнитного резонанса (ЭПР) регистрировали c использованием спектрометра ЭПР “Elexsys E680X” фирмы BRUKER в X-диапазоне (рабочая частота ~9.8 ГГц) при комнатной температуре.
Результаты и обсуждение
На рис. 1 представлены дифрактограммы наночастиц со структурой перовскита составов CsBX3 (B = Pb, Mn; X = Cl, Br). Образцы наночастиц составов CsPbBr3 (рис. 1, кривая 1) и CsPbCl3 (рис. 1, кривая 3) характеризуются наличием элементарных ячеек кубической сингонии с пр. гр. Pmm. Данные РФА сопоставимы с кристаллографической базой данных ICDD PDF2. Дифрактограмма образца CsPbCl3–zBrz (рис. 1, кривая 2) отличается наличием сдвига основных рефлексов в сторону больших углов 2θ = 0.33° относительно рефлексов, характерных для наночастиц состава CsPbBr3, что указывает на включение Cl-аниона в структуру перовскита [25]. Cдвиг основных рефлексов характерен также для образцов наночастиц составов CsPb1–yMnyCl3 (рис. 1, кривая 4) и CsPb1–yMnyCl3–zBrz (рис. 1, кривая 5). Сдвиг рефлексов в сторону больших углов для CsPb1–yMnyCl3 составляет 2θ = 0.84°, для CsPb1–yMnyCl3–zBrz – 2θ = 0.43° относительно рефлексов наночастиц CsPbCl3. Аналогичные сдвиги основных рефлексов на дифракционной картине наблюдались при легировании марганцем составов CsPbX3 (X = Cl, Br), когда было показано, что сдвиг основных рефлексов образцов при введении марганца соответствует уменьшению параметров элементарной ячейки [26–28]. Уточненные параметры элементарных ячеек приведены в табл. 2. На основании данных РФА была проведена оценка размеров перовскитных наночастиц. Расчет был основан на зависимости среднего размера областей когерентного рассеяния от угла дифракции и выполнялся с использованием уравнения Шеррера:
(3)
где d – средний размер областей когерентного рассеяния, – длина волны рентгеновского излучения, k – безразмерный коэффициент формы частиц (постоянная Шеррера), – ширина рефлекса на полувысоте, – угол дифракции. Средний размер кристаллитов состава CsPbBr3 оценивается в 27.6 ± 5.2 нм, для CsPbCl3–zBrz – 33.4 ± 8.9 нм, для CsPbCl3 – 14.5 ± 1.3 нм, для CsPb1–yMnyCl3 – 17.1 ± 2.4 нм, для CsPb1–yMnyCl3–zBrz – 20.7 ± 3.9 нм.
Рис.1. Дифрактограммы перовскитных наночастиц: 1 – CsPbBr3; 2 – CsPbCl3–zBrz; 3 – CsPbCl3; 4 – CsPb1–yMnyCl3–zBrz; 5 – CsPb1–yMnyCl3.
Таблица 2. Параметры элементарных ячеек для образцов НЧ составов CsBX3 (B = Pb, Mn; X = Cl, Br)
Образец | Пр. гр. | a, Å | Угол β, град |
CsPbBr3 | Pmm | 5.8013(47) | 90 |
CsPbCl3–zBrz | Pmm | 5.7966(25) | 90 |
CsPbCl3 | Pmm | 5.6856(47) | 90 |
CsPb1–yMnyCl3–zBrz | Pmm | 5.6857(75) | 90 |
CsPb1–yMnyCl3 | Pm-3m | 5.586(14) | 90 |
Для коллоидных растворов наночастиц составов CsBX3 (B = Pb, Mn; X = Cl, Br) был проведен элементный анализ методом РФС, с помощью которого было получено массовое соотношение химических элементов в составе коллоидных растворов (табл. 3). На основании полученных данных рассчитано атомное соотношение элементов CsByXz (B = Pb, Mn; X = Cl, Br), табл. 4.
Таблица 3. Результаты рентгенофлуоресцентного анализа, полученные с помощью МФП
Образец | Элемент | Содержание, мас. % |
CsPbBr3 | Cs | 23.85 ± 2.10 |
Pb | 41.78 + 3.28 | |
Br | 34.37 ± 2.57 | |
CsPbCl3–zBrz | Cs | 23.91 ± 2.85 |
Pb | 37.17 ± 3.29 | |
Cl | 3.67 ± 0.47 | |
Br | 35.25 ± 3.08 | |
CsPbCl3 | Cs | 29.76 ± 2.71 |
Pb | 60.09 ± 4.06 | |
Cl | 10.15 ± 0.89 | |
CsPb1–yMnyCl3–zBrz | Mn | 29.41 ± 2.67 |
Cs | 9.55 ± 1.05 | |
Pb | 40.95 ± 3.61 | |
Cl | 11.52 ± 1.13 | |
Br | 2.23 ± 0.32 | |
CsPb1–yMnyCl3 | Mn | 33.10 ± 2.08 |
Cs | 10.17 ± 1.25 | |
Pb | 47.29 ± 3.50 | |
Cl | 15.77 ± 1.77 |
Таблица 4. Результаты элементного анализа наночастиц CsBX3 (B = Pb, Mn; X = Cl, Br)
Образец | Теоретическое атомное соотношение химических элементов | Экспериментальное атомное соотношение химических элементов |
CsPbBr3 | СsPbBr3 | CsPb1.2Br2.5 |
CsPbCl3–zBrz | CsPbCl1.5Br1.5 | Cs1.1PbCl0.59Br2.59 |
CsPbCl3 | CsPbCl3 | CsPb1.3Cl1.3 |
CsPb1–yMnyCl3–zBrz | CsPb0.3Mn0.7Cl2.5Br0.5 | CsPb1.2Mn0.7Cl2.5Br2.2 |
CsPb1–yMnyCl3 | CsPb0.3Mn0.7Cl3 | CsPb0.8Mn0.7Cl2.58 |
На рис. 2 представлены микрофотографии наночастиц CsBX3 (B = Pb, Mn; X = Br, Cl), полученные в режиме ПРЭМ. Для состава CsPbBr3 (рис. 2а) характерна кубическая форма, размеры наночастиц варьируют в пределах от 10 до 30 нм. Частицы состава CsPbCl3 (рис. 2в) представляют собой кубы, размеры которых 15–20 нм, кроме того, наблюдается формирование частиц с формой параллелепипеда и размерами 6–20 нм. В процессе синтеза наночастиц со смешанным анионным составом, Cl и Br (рис. 2б), образуются кубы большего размера 30–60 нм, вместе с тем наблюдается формирование параллелепипедов размерами 10–40 нм. При частичной замене свинца на марганец наблюдается изменение размера частиц. Так, НЧ состава CsPb1–yMnyCl3 (рис. 2г) формируются в виде кубов с размерами 10–20 нм, при этом при формировании частиц смешанного анионного и катионного состава CsPb1–yMnyCl3–zBr3 (рис. 2д) наблюдается образование частиц с формой куба с размерами 10–20 нм, а также единичных крупных НЧ, размеры которых варьируют в пределах от 50 до 60 нм. Отметим, что полученные результаты коррелируют с оценкой размеров кристаллитов кубической формы, рассчитанной по данным РФА.
Рис. 2. Микрофотографии наночастиц различных составов: CsPbBr3 (а); CsPbCl3–zBrz (б); CsPbCl3 (в); CsPb1–yMnyCl3–zBrz (г); CsPb1–yMnyCl3 (д).
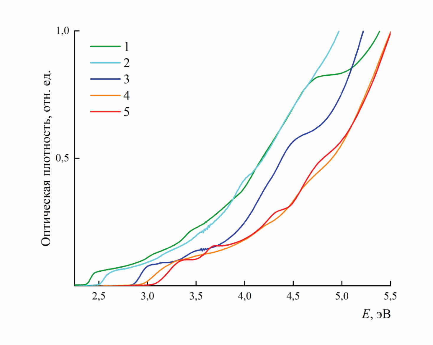
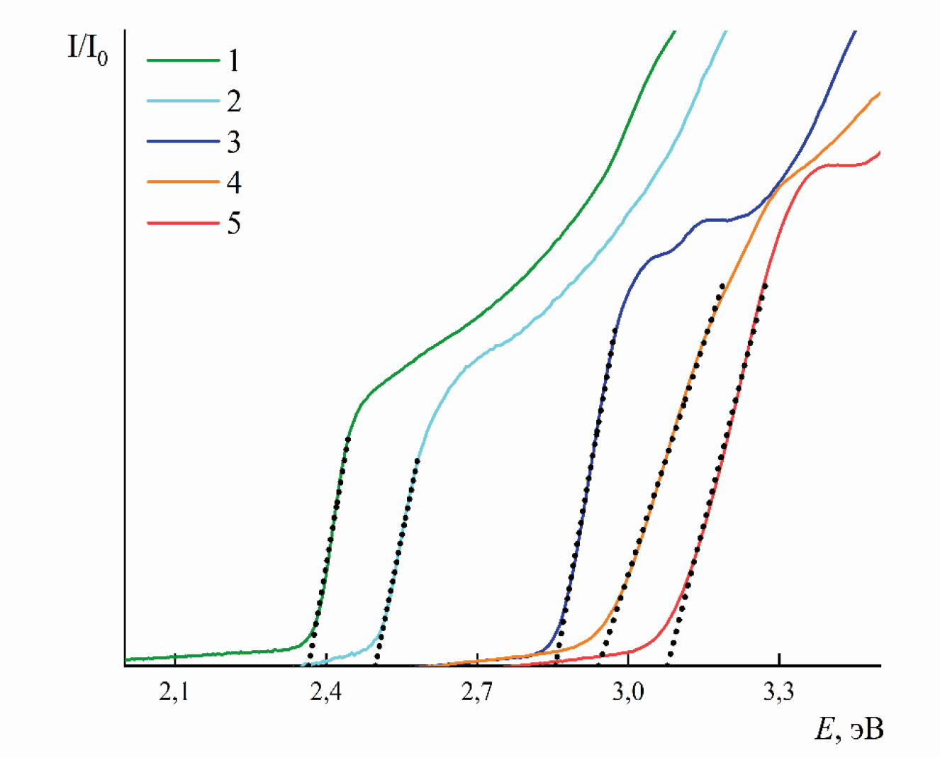
Наночастицы со структурой перовскита обладают яркой люминесценцией в видимой части спектрального диапазона. Для изучения оптических характеристик перовскитных частиц мы использовали методы электронной спектроскопии и флуоресцентного анализа. На рис. 3. представлены зависимости оптической плотности коллоидных растворов от энергии кванта света. Известно, что экспериментальные исследования оптических спектров в области краевого поглощения дают информацию об энергетическом спектре электронов вблизи краев зоны проводимости и запрещенной зоны. На рис. 4 представлены электронные спектры поглощения коллоидных растворов наночастиц CsBX3 (B = Pb, Mn; X = Cl, Br) в области, близкой к краю поглощения. Так, для CsPbBr3 значение края поглощения составило 2.37 эВ, для CsPbCl3–zBrz – 2.49 эВ, для CsPbCl3 – 2.86 эВ, для CsPb1–yMnyCl3–zBrz – 2.94 эВ, для CsPb1–yMnyCl3 – 3.08 эВ. Согласно литературным данным, полученные значения близки к значениям ширины запрещенной зоны перовскитов, которые варьируют в диапазонах от 2.38 до 2.46 эВ для нанокристаллов состава CsPbBr3 и от 3.06 до 3.25 эВ для состава CsPbCl3 в зависимости от размера получаемых частиц [27, 29]. Кроме того, наблюдается смещение края спектра поглощения в сторону значений меньших энергий с увеличением значений параметров кристаллической ячейки перовскитных наночастиц (табл. 1). Это позволяет сделать вывод о том, что, изменяя размеры элементарной ячейки наночастицы с помощью тонкой синтетической настройки, можно менять оптическую ширину запрещенной зоны перовскитных структур, что является важным требованием при функционализации данных материалов.
Рис. 3. Электронные спектры поглощения наночастиц составов: 1 – CsPbBr3; 2 – CsPbCl3–zBrz; 3 – CsPbCl3; 4 – CsPb1–yMnyCl3–zBrz; 5 – CsPb1–yMnyCl3.
Рис. 4. Электронные спектры поглощения вблизи области краевого поглощения наночастиц: 1 – CsPbBr3; 2 – CsPbCl3–zBrz; 3 – CsPbCl3; 4 – CsPb1–yMnyCl3–zBrz; 5 – CsPb1–yMnyCl3.
На рис. 5 представлены нормированные спектры флуоресценции коллоидных растворов CsBX3 (B = Pb, Mn; X = Cl, Br). Видно, что на спектрах для всех составов коллоидных растворов присутствует узкая эмиссионная полоса в интервале длин волн от 420 до 520 нм с шириной спектральной линии ~20 нм, положение центра которой меняется в зависимости от химического состава наночастиц (табл. 5). В спектрах флуоресценции НЧ составов CsPb1–yMnyCl3–zBrz и CsPb1–yMnyCl3 наблюдается присутствие второй эмиссионной полосы с центрами 600 и 595 нм соответственно. Согласно литературным данным [28, 30], наличие в спектрах флуоресценции эмиссионной полосы в интервале длин волн 585–600 нм является признаком вхождения марганца в состав полупроводниковых наночастиц. В работе [28] отмечается, что эмиссия в красном спектральном диапазоне происходит в результате перехода электронов между уровнями энергии T → A ионов Mn2+, возникающего из-за переноса энергии с полупроводниковой матрицы на возбужденные уровни ионов марганца. Следует отметить, что d-электронные состояния марганца не могут быть возбуждены напрямую и сенсибилизируются только за счет возбуждения свинца, что может быть связано с отсутствием полос, характеризующих экситонное поглощение, в спектрах электронного поглощения [31].
Рис. 5. Спектры фотолюминесценции наночастиц: 1 – CsPbBr3 (λвозб = 365 нм); 2 – CsPbCl3–zBrz (λвозб = = 365 нм); 3 – CsPbCl3 (λвозб = 365 нм); 4 – CsPb1–yMnyCl3–zBrz (λвозб = 227 нм); 5 – CsPb1–yMnyCl3 (λвозб = 241 нм).
Таблица 5. Характеристики ФЛ-спектров наночастиц CsPbBr3, CsPbCl3–zBrz, CsPbCl3, CsPb1–yMnyCl3–zBrz, CsPb1–yMnyCl3
Состав | λлюм, нм | Ширина спектральной линии (FWHM), нм |
CsPbBr3 | 511.7 ± 0.1 | 20.4 ± 0.2 |
CsPbCl3–zBrz | 485.3 ± 0.1 | 19.2 ± 0.1 |
CsPbCl3 | 427.4 ± 0.1 | 16.1 ± 0.1 |
CsPb1–yMnyCl3–zBrz | 408.4 ± 0.3 | 19.3 ± 0.4 |
600.2 ± 0.4 | 44.3 ± 0.5 | |
CsPb1–yMnyCl3 | 421.5 ± 0.2 | 20.1 ± 0.2 |
595.6 ± 0.4 | 45.3 ± 0.5 |
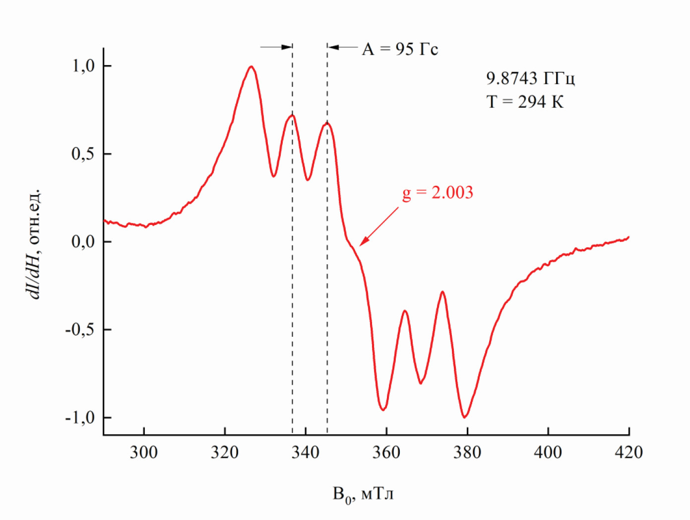
С целью определения степени окисления марганца, входящего в состав наночастиц, были проведены исследования парамагнитных свойств коллоидного раствора CsPb1–yMnCl3 методом ЭПР. В наночастице со структурой перовскита А-позицию занимает большой одновалентный катион цезия Cs+, который находится в окружении двенадцати галогенид-анионов Х–, позицию B может занимать двухвалентный катион металла, например свинца Pb2+, или катион марганца Mn2+ обязательно в степени окисления +2 с целью сохранения условия электронейтральности [32]. Перовскитные наночастицы CsPbХ3 (Х = Cl, Br) являются диамагнетиками, что подтверждается отсутствием сигналов в спектрах ЭПР данных соединений. При добавлении хлорида марганца в реакционную среду образуются частицы CsPb1–yMnyCl3, что приводит к появлению интенсивных сигналов в спектре ЭПР с g-фактором 2.003 (рис. 6). В спектре наблюдается сверхтонкая структура из шести линий от взаимодействия неспаренных электронов с ядром марганца (ядерный спин 55Mn = 5/2) с константой сверхтонкого взаимодействия А = 95 Гс. Вид спектра является характерным для соединений марганца(II). Согласно литературным данным [28, 31, 33], похожие результаты были получены для НЧ составов CsPbCl3 и PbSe, легированных Mn.
Рис. 6. Спектры ЭПР для наночастиц CsPb1–yMnyCl3 (Х-диапазон, 294 K).
Заключение
Подобраны оптимальные условия синтеза коллоидных растворов перовскитных наночастиц CsPbX3 (B = Pb, Mn; X = Cl, Br) методом горячего впрыска. Полученные наночастицы охарактеризованы методами рентгенофазового анализа, рентгенофлуоресцентной спектроскопии, просвечивающей растровой электронной микроскопии, а также электронного парамагнитного резонанса, что позволило выдвинуть предположение о механизме вхождения в структуру наночастиц Mn, имеющего степень окисления +2. На основе результатов исследования оптических свойств показано, что, изменяя химический состав наночастиц, можно варьировать длину волны эмиссии.
Благодарность
Авторы выражают признательность А.А. Садовникову за помощь в получении результатов ПРЭМ-снимков. Данная работа выполнена с помощью оборудования Центра коллективного пользования физическими методами исследования веществ и материалов и оборудования Центра цвета ИОНХ им. Н.С. Курнакова РАН.
Финансирование работы
Работа выполнена при финансовой поддержке Минобрнауки России в рамках государственного задания ИОНХ РАН.
Конфликт интересов
Авторы заявляют, что у них нет конфликта интересов.
About the authors
V. A. Gushchina
Moscow Institute of Physics and Technology (National Research University); Kurnakov Institute of General and Inorganic Chemistry of the Russian Academy of Sciences
Email: ya.l2er0us0ya2012@ya.ru
Russian Federation, Dolgoprudny, 141701; Moscow, 119991
A. G. Son
Moscow Institute of Physics and Technology (National Research University); Kurnakov Institute of General and Inorganic Chemistry of the Russian Academy of Sciences
Author for correspondence.
Email: sonsacha@gmail.com
Russian Federation, Dolgoprudny, 141701; Moscow, 119991
A. A. Egorova
Kurnakov Institute of General and Inorganic Chemistry of the Russian Academy of Sciences
Email: sonsacha@gmail.com
Russian Federation, Moscow, 119991
A. A. Arkhipenko
Kurnakov Institute of General and Inorganic Chemistry of the Russian Academy of Sciences
Email: sonsacha@gmail.com
Russian Federation, Moscow, 119991
M. A. Teplonogova
Kurnakov Institute of General and Inorganic Chemistry of the Russian Academy of Sciences
Email: sonsacha@gmail.com
Russian Federation, Moscow, 119991
N. N. Efimov
Kurnakov Institute of General and Inorganic Chemistry of the Russian Academy of Sciences
Email: sonsacha@gmail.com
Russian Federation, Moscow, 119991
S. A. Kozyukhin
Kurnakov Institute of General and Inorganic Chemistry of the Russian Academy of Sciences
Email: sonsacha@gmail.com
Russian Federation, Moscow, 119991
References
- Cheng L., Chi J., Su M. et al. // J. Mater. Chem. C. 2023. № 11. P. 7970. https://doi.org/10.1039/D2TC04967H
- Terenziani F., Katan C., Badaeva E. et al. // Adv. Mater. 2008. V. 20. № 24. P. 4641. https://doi.org/10.1002/adma.200800402
- Kaur P., Singh K. // J. Mater. Chem. C. 2019. V. 7. № 37. P. 11361. https://doi.org/10.1039/C9TC03719E
- Zhang J., Campbell R.E., Ting A.Y. et al. // Nat. Rev. Mol. Cell Biol. 2002. V. 3. P. 906. https://doi.org/10.1038/nrm976
- Tsien R.Y. // Annu. Rev. Biochem. 1998. V. 67. P. 509. https://doi.org/10.1146/annurev.biochem.67.1.509
- Nagai T., Ibata K., Park E.S. et al. // Nat. Biotechnol. 2002. V. 20. P. 87. https://doi.org/10.1038/nbt0102-87
- Xue L., Yu Q., Griss R. et al. // Angew. Chem. Int. Ed. 2017. V. 56. № 25. P. 7112. https://doi.org/10.1002/anie.201702403
- Arts R., Ludwig S.K.J., Gerven B.C.B. van et al. // ACS Sensor. 2017. V. 2. № 11. P. 1730. https://doi.org/10.1021/acssensors.7b00695
- de Aberasturi D.J., Serrano-Montes A.B., Liz-Marzan L.M. // Adv. Opt. Mater. 2015. V. 3. № 5. P. 602. https://doi.org/10.1002/adom.201500053
- Pan Y., Zhang Y., Kang W. et al. // Mater. Adv. 2022. V. 3. P. 4053. https://doi.org/10.1039/D2MA00100D
- He Y., Petryk M., Liu Z. et al. // Nat. Photonics. 2021. V. 15. P. 36. https://doi.org/10.1038/s41566-020-00727-1
- Fateev S.A., Khrustalev V.N., Simonova A.V. et al. // Russ. J. Inorg. Chem. 2022. V. 67. P. 997. https://doi.org/10.1134/S0036023622070087
- Muratova E.N., Moshnikov V.A., Aleshin A.N. et al. // Glass Phys Chem. 2023. V. 49. P. 672. https://doi.org/10.1134/S1087659623600357
- Fateev S.A., Stepanov N.M., Petrov A.A. et al. // Russ. J. Inorg. Chem. 2022. V. 67. P. 992. https://doi.org/10.1134/S0036023622070075
- The National Renewable Energy Laboratory (NREL) Best Research-Cell Efficiency Chart URL: https://www.nrel.gov/pv/assets/pdfs/best-research-cell-efficiencies-rev220630.pdf
- Reb L.K., Bohmer M., Predeschly B. et al. // Sol. RRL. 2022. V. 6. № 11. P. 2200537. https://doi.org/10.1002/solr.202200537
- Kolobkova E.V., Makurin A.V., Dadykin A.Y. et al. // Glass Phys Chem. 2022. V. 48. P. 403. https://doi.org/10.1134/S1087659622800070
- Mastryukov M.V., Son A.G., Tekshina E.V. et al. // Russ. J. Inorg. Chem. 2022. V. 67. № 10. P. 1492. https://doi.org/10.31857/S0044457X22100336
- Bartesaghi D., Ray A., Jiang J. et al. // APL Mater. 2018. V. 6. P. 121106. https://doi.org/10.1063/1.5060953
- Pandey N., Kumar A., Chakrabarti S. // RSC Advances. 2019. V. 9. № 51. P. 29556. https://doi.org/10.1039/c9ra05685h
- Travis W., Glover E. N. K., Bronstein H. // Chem. Sci. 2016. V. 7. № 7. P. 4548. https://doi.org/10.1039/C5SC04845A
- Parobek D., Dong Y., Qiao T. et al. // ACS Chem. Mater. 2018. V. 30. № 9. P. 2939. https://doi.org/10.1021/acs.chemmater.8b00310
- Kanoun M.B., Goumri-Said S. // Mater. Energy. 2021. V. 21. P. 100796. https://doi.org/10.1016/j.mtener.2021.100796
- Meinardi F., Akkerman Q. A., Bruni F. et al. // ACS Energy Lett. 2017. V. 2. P. 2368. https://doi.org/10.1021/acsenergylett.7b00701
- Li M., Zhang X., Du Y. et al. // J. Lumin. 2017. V. 190. P. 397. https://doi.org/10.1016/j.jlumin.2017.05.080
- Pandey N., Chakrabarti S. // IEEE J. Photovoltaics. 2020. V. 10. № 5. P. 1359. https://doi.org/10.1109/JPHOTOV.2020.3005210
- Kim. S.H., Park K.-D., Lee H.S. // MDPI. 2021. V. 14. № 2. P. 275. https://doi.org/10.3390/en14020275
- De A., Mondal N., Samanta A. // Nanoscale. 2017. V. 7. P. 16722. https://doi.org/10.1039/C7NR06745C
- Chen S. // Journal of Material Science: Materials in Electronics. 2019. V. 30. P. 19536. https://doi.org/10.1007/s10854-019-02319-4
- Pradeep K.P., Ranjani V. // APL Mater. 2020. V. 8. P. 020901. https://doi.org/10.1063/1.5140888
- Hills-Kimball K., Perez M.J., Nagaoka Y. et al. // ACS Chem. Mater. 2020. V. 32. № 6. P. 2489. https://doi.org/10.1021/acs.chemmater.9b05082
- Goldschmidt V.M., Die Gesetze der Krystallochemie // Naturwissenschaften. 1926. V. 14. № 21. P. 477. https://doi.org/10.1007/BF01507527
- Park J.-S., Lee H.-S., Lai J.R. et al. // J. ACS. 2003. V. 125. № 28. P. 8539. https://doi.org/10/1021/ja034180z
Supplementary files








