Анализ химических и фазовых превращений при синтезе стеклокерамики на основе висмут-барий-боратного стекла и Er : YAG
- Авторы: Плехович А.Д.1, Кутьин А.М.1, Балуева К.В.1, Ростокина Е.Е.1, Комшина М.Е.1, Шумовская К.Ф.1
-
Учреждения:
- Институт химии высокочистых веществ им. Г.Г. Девятых РАН
- Выпуск: Том 69, № 8 (2024)
- Страницы: 1155-1162
- Раздел: ФИЗИКО-ХИМИЧЕСКИЙ АНАЛИЗ НЕОРГАНИЧЕСКИХ СИСТЕМ
- URL: https://journal-vniispk.ru/0044-457X/article/view/274335
- DOI: https://doi.org/10.31857/S0044457X24080085
- EDN: https://elibrary.ru/XJOMOY
- ID: 274335
Цитировать
Полный текст
Аннотация
Оригинальное сочетание термической активации с воздействием сильного неоднородного электрического поля превращает многокомпонентный раствор в прекурсор. Превращение аэрозоля в готовую шихту исключает стадию образования геля, его длительную сушку и последующий загрязняющий размол, обеспечивая присущий золь-гель методу молекулярный уровень смешения разнообразных компонентов. Методом синхронного термического анализа изучены фазовые, химические и другие термические проявления висмут-барий-боратной (0.2Bi2O3–0.6B2O3–0.2BaO) части шихты, шихты из компонентов (Er0.5Y0.5)AG, а также шихтового прекурсора, изначально объединяющего все необходимые компоненты стеклокерамики. Методом минимизации энергии Гиббса определены условия образования кристаллических фаз граната и бората иттрия, выявленных с помощью рентгенофазового анализа в образцах стеклокерамики, сформированных из ультрадисперсной шихты при различных температурах.
Полный текст
ВВЕДЕНИЕ
Прозрачная стеклокерамика, проявляя синергию свойств кристаллов алюмоиттриевого граната (YAG) и боратного стекла в качестве известных преобразователей УФ-излучения в видимый и ИК-диапазоны, представляется весьма перспективным в этой области материалом, особенно ввиду того, что работа с высокотемпературным YAG по изготовлению таких преобразователей затруднительна. В связи с близкими значениями плотности и показателя преломления для получения оптически прозрачных стеклокристаллов на основе YAG подходит висмут-барий-боратное стекло. Предварительные исследования с использованием оригинального шихтового метода [1, 2] показали, что усложнение системы за счет взаимодействия компонентов стекла и граната с образованием боратов, с одной стороны, дает дополнительную ап-конверсионную (зеленая и красная) люминесценцию и люминесценцию в области 1.45–1.6 и 2.55–2.7 мкм при воздействии полупроводникового лазера на длине волны 975 нм, а с другой – требует развития средств управления синтезом стеклокристалла.
Современные компьютерные средства термодинамического анализа состояний многокомпонентных гетерофазных систем (ИВТАНТЕРМО [3], ТЕРРА (ранее АСТРА) [4, 5], CHEMCAD [6], Aspen HYSYS [7]) все более активно применяются в химии для описания транспортных реакций [8–10], процессов термолиза [11], химического осаждения [12], для оценки содержания структурных составляющих стекол и их вязкости [13, 14], расчета термодинамических характеристик расплавов [15, 16] и других лабораторных и промышленных процессов. Так, в работе [17] с помощью программы Thermo-Calc [18] проведен термодинамический анализ состава равновесных фаз в сплавах Ni–B, Ni–P(–Sn), Fe–Ni–P, Fe–Ni(–Cr)–P–B и Ni–W–P. В работе [19] дана оценка влияния температуры и избытка теллура на степень разложения теллурида германия(II).
Физико-химические свойства стеклообразующей системы BaO–Bi2O3–B2O3, включая используемый состав, исследованы в работах [20–23], где определена область стеклообразования и оптические свойства в зависимости от состава.
В работе [24] методом дифференциальной сканирующей калориметрии исследована кинетика кристаллизации, совмещенная с последующим плавлением образовавшихся фаз при изменении состава стеклообразующей системы 0.2Bi2O3–(0.8 – х)B2O3–хBaO при x = 0.05, 0.1, 0.15, 0.2 мол. д. Выделенные при установленных температурах кристаллические фазы исследованы методом РФА.
YAG, легированный различными редкоземельными элементами, уже нашел свое коммерческое применение как лазерный материал. Однако исследовательский поиск его новых форм в работе [25] привел к получению керамического волокна при 1100°C, которое показало максимальную прочность на разрыв благодаря небольшому диаметру (10 мкм) и малому размеру частиц (23 нм). Новые формы YAG с дополнительными и улучшенными функциональными характеристиками в настоящее время востребованы на пути получения стеклокристаллических материалов с пассивными или активными оптическими свойствами для планарных устройств фотоники средствами аддитивной технологии.
Цель настоящей работы – получение ультрадисперсной стеклообразующей шихты на основе компонентов Er : YAG и висмут-барий-боратного стекла с изучением последующего синтеза стеклокерамики методами термического анализа и идентификацией фаз методом РФА; определение состава и условий образования кристаллических фаз в образцах стеклокерамики, сформированных при различных температурах, методом минимизации энергии Гиббса.
ЭКСПЕРИМЕНТАЛЬНАЯ ЧАСТЬ
Синтез стеклокристалла и его составляющих. Синтез ультрадисперсной шихты проводили по разработанной методике на оригинальной лабораторной установке ультразвукового распыления многокомпонентного раствора. Улавливание и осаждение твердофазной дисперсии на термически контролируемую (575–675 K) и химически инертную поверхность осуществляли действием сильного неоднородного электрического поля. В работе использовали три варианта шихтового материала.
- Исходным для первой шихты являлся раствор прекурсоров Bi(NO3)3, H3BO3 и Ba(NO3)2 квалификации “ос ч.” в бидистиллированной воде. Мольное соотношение оксидов соответствовало кристаллизационно устойчивому стеклу состава 0.2Bi2O3–0.6B2O3–0.2BaO, близкому по плотности и показателю преломления к эрбийзамещенному гранату.
- Для шихты, соответствующей кристаллической составляющей, бинарный гидрозоль (Er0.5Y0.5)AG был синтезирован смешением индивидуально сформированных гидрозолей Al5(NO3)3(OH)12 и Y(OH)2(OOCCH3) в стехиометрическом соотношении граната. Более детальная схема синтеза приведена в работах [26, 27].
- Для наработки стеклокристаллической шихты к сформированному бинарному гидрозолю из пункта 2 добавляли раствор 1 для стеклофазы в количестве мольного соотношения стеклокристалла 0.46(0.2Bi2O3–0.6B2O3–0.2BaO)–0.54(Er0.5Y0.5)AG.
Термический анализ. Образцы стеклокерамической шихты исследовали на приборе STA 409 PC LUXX, откалиброванном с использованием эталонов: нитрата рубидия (RbNO3), нитрата калия (KNO3), перхлората калия (KClO4), сульфата серебра (Ag2SO4), хлорида цезия (CsCl), хромата калия (K2CrO4), карбоната бария (BaCO3), карбоната стронция (SrCO3). Термографирование проводили в платиновых тиглях в потоке 80 мл/мин высокочистого и осушенного Ar при скорости нагрева 10 град/мин на образцах массой не более 30 мг.
Подготовку образцов для рентгенофазового анализа (РФА) на дифрактометре XRD-6000 фирмы Shimadzu (излучение CuKα, геометрия съемки на отражение, шаг сканирования 0.02°, интервал углов 2θ 10°–60°) проводили в программно-управляемой печи. При температурной обработке (отжиге) образцы нагревали до заданных температур (1150, 1240 и 1425 K) со скоростью 15 град/мин, по достижении которых без изотермической выдержки переходили в контролируемое охлаждение до комнатной температуры со скоростью не более 20 град/мин.
Метод динамического рассеяния света. Размер стеклообразных частиц определяли методом динамического рассеяния света на анализаторе частиц и ζ-потенциала NanoBrook 90 Plus Zeta (Brookhaven Instruments, USA).
Термодинамическое моделирование. Термодинамическое моделирование проводили при помощи авторской компьютерной программы (А.М. Кутьин) Chemical Thermodynamics Calculator [28]. Моделирование многокомпонентных гетерогенных систем с химическими и фазовыми превращениями с использованием данной программы осуществляется посредством расчетов как равновесных, так и условно-равновесных состояний [29], включая ассоциативные равновесия для описания неидеальных растворов. Алгоритм программы основан на методе минимизации энергии Гиббса.
Основу необходимых для расчетов стандартных термодинамических функций компонентов системы составляет банк данных ИВТАНТЕРМО. Отсутствующие сведения о стандартных энтальпиях образования, температурных зависимостях теплоемкости и характеристиках переходов между состояниями для ряда компонентов были взяты из справочников [30–33]. При отсутствии исходных данных, в частности для тройных ассоциативных компонентов, аппроксимационные коэффициенты приведенной энергии Гиббса вычисляли по их более простым составляющим в рамках аддитивной схемы.
РЕЗУЛЬТАТЫ И ОБСУЖДЕНИЕ
Аппарат синхронного термоанализа (СТА) использован для исследования процессов превращения индивидуальных стекло- и керамической составляющих, а также стеклокерамической ультрадисперсной шихты − продуктов одностадийного термического преобразования диспергируемого водного раствора соответствующих прекурсоров.
Результаты СТА для полученной нами стеклообразующей шихты 0.2Bi2O3–0.6B2O3–0.2BaO представлены на рис. 1. Температурное поведение теплоемкости с температурами характерных переходов между состояниями обозначено сплошной линией, термогравиметрическая (ТГ) потеря массы – пунктирной. Наличие расстеклования − перехода из стеклообразного в переохлажденное жидкое состояние при температурах ~745 K (синяя линия) – свидетельствует о стеклообразном состоянии субмикронных частиц со средним размером ~500 нм, что подтверждается методом динамического рассеяния света. Отметим, что уменьшение массы на ТГ-кривой не более 5–7 мас. % свидетельствует о достаточно полном превращении исходных прекурсоров в стекло Bi2O3–B2O3–BaO. Повышенный термический отклик образца, представленного синей кривой, обусловлен возможным разложением остатков наиболее устойчивого нитрата бария выше температуры расстекловывания, совмещенным со “слипанием” ультрадисперсных частиц.
Рис. 1. СТА-кривая ультрадисперсного образца стекла 0.2Bi2O3–0.6B2O3–0.2BaO (синяя линия) и стекла такого же состава в форме диска из работы [24] (черная линия). Скорость нагревания 10 град/мин
На рис. 2 приведены СТА-кривые ксерогелей, полученных высушиванием бинарного гидрозоля состава Er0.5Y0.5AG при различных условиях. В первом случае убыль массы составляет 10–15 мас. %, во втором – 45–50 мас. %. Оставшаяся во втором образце вода и фрагменты кислот, используемых при синтезе, как показывает ТГ-кривая, могут быть удалены только при температуре >575 K. Однако в обоих случаях гранат формируется практически при одной температуре – около 1200 K, немного отставая для менее теплопроводящего ультрадисперсного образца, при этом его более широкий пик уменьшается по длине.
Рис. 2. СТА-кривые образцов шихты Er0.5Y0.5AG из гидрозоля состава Al5(NO3)3(OH)12 ∙ 3Y(OH)2(OOCCH3): зеленые линии соответствуют одностадийному распылительному варианту синтеза ультрадисперсной шихты при 675 K, розовые линии отвечают шихте, полученной высушиванием бинарного гидрозоля при 425 K в сушильном шкафу с последующим диспергированием в планетарной мельнице
Из термограмм и рентгенофазового анализа следует, что процесс интенсивного формирования граната начинается при температуре 1125 K.
Рентгенофазовый анализ. На рис. 3 приведены рентгенограммы образцов стеклокерамики после отжига при 1150–1425 K. В результате взаимодействия (Er0.5Y0.5)3Al5O12 (ISCD 067103) с оксидом бора B2O3 из стекла при 1150 K наблюдается образование дополнительных кристаллических фаз Er0.5Y0.5BO3 (ISCD 100015) и (Er0.5Y0.5)3BO6 (ISCD 84966). Однако уже при 1240 K фаза (Er0.5Y0.5)3BO6 не идентифицируется. Дальнейший рост температуры обработки способствует более высокой степени кристалличности как целевой фазы граната (Er0.5Y0.5)Al5O12, так и небольшого количества сопутствующей примесной фазы бората эрбия-иттрия, при этом при температурах >1175 K содержание фазы граната увеличивается.
Рис. 3. Рентгенограммы образцов стеклокерамики после отжига при 1150, 1240 и 1425 K. Приведенные штрихдиаграммы соответствуют Y3BO6 (ISCD 84966), YBO3 (ISCD 100015) и Y3Al5O12 (ISCD 067103)
По приведенным рентгенограммам были рассчитаны параметры элементарной ячейки каждой идентифицированной кристаллической фазы (табл. 1). При температурах 1150 и 1240 K интенсивность рефлексов значительно меньше, чем при 1425 K, что обусловливает разницу в погрешностях расчетов.
Таблица 1. Вычисленные параметры элементарной ячейки Er0.5Y0.5AG, Er0.5Y0.5BO3 и (Er0.5Y0.5)3BO6
Химическая формула, сингония, пр. гр. | Параметры элементарной ячейки | ||
1150 K | 1240 K | 1425 K | |
Er0.5Y0.5AG кубическая, Ia3d | a = 11.978(5) Å V = 1718.4(8) Å3 | a = 11.9756(4) Å V = 1717.5(2) Å3 | a = 11.9735(4) Å V = 1716.6(2) Å3 |
Er0.5Y0.5BO3 гексагональная, Pc2 | a = 3.788(3) Å c = 8.817(1) Å V = 109.6(9) Å3 | a = 3.765(5) Å c = 8.796(4) Å V = 108.0(8) Å3 | a = 3.7645(2) Å c = 8.7880(1) Å V = 107.9(2) Å3 |
(Er0.5Y0.5)3BO6 моноклинная, C2/m | a = 18.121(3) Å b = 3.637(6) Å c = 14.046(5) Å β = 119.5(5)º V = 806(1) Å3 | – | – |
В изначально рентгеноаморфном гранате Er0.5Y0.5AG в составе стеклокерамики его кристаллическая фаза идентифицируется после обработки при 1150 K. Следовательно, формированию кристаллического граната соответствует первый из трех экзотермических пиков на красной линии термограммы рис. 4, пиковое значение которого достигается при температуре 1160 K. Для сравнения, соответствующее пиковое значение, отражающее процесс формирования индивидуального кристаллического граната из аморфного состояния на зеленой линии термограммы (рис. 3), равно 1210 K, что на 50° больше.
Рис. 4. Сравнение СТА-кривых синтезированных в одинаковых условиях трех вариантов ультрадисперсной шихты: 1 – стекла 0.2Bi2O3–0.6B2O3–0.2BaO (рис. 1), 2 – ксерогеля Er0.5Y0.5AG (рис. 2) и 3 – шихтового прекурсора, изначально объединяющего все компоненты стеклокерамики 0.46(0.2Bi2O3–0.6B2O3–0.2BaO)–0.54Er:YAG. Серым цветом выделен температурный интервал расстекловывания для кривых 1 и 3
Таким образом, рекомендуемый режим термической обработки ультрадисперсной шихты для получения стеклокристалла по разработанной методике не превышает 1375 K.
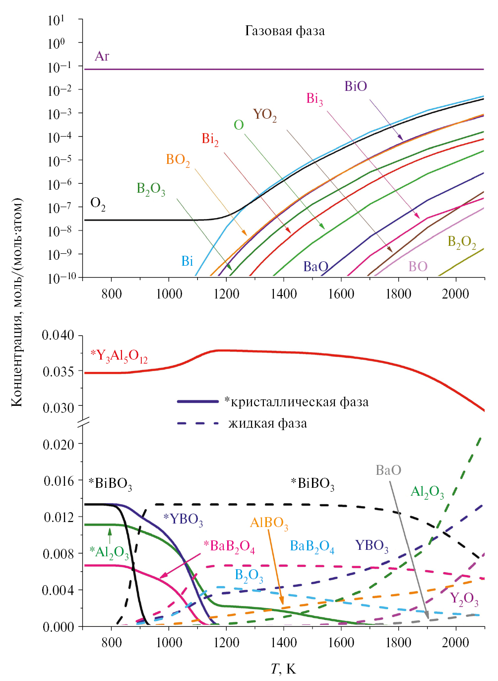
Термодинамическое моделирование. Расчет содержания компонентов в гетерогенной системе YAG + Bi2O3–B2O3–BaO + газ и характеристик равновесия осуществляли при равновесных условиях, близких к условиям получения стеклокристаллов (табл. 2).
Таблица 2. Входные данные для термодинамических расчетов*
Характеристика | Значение |
Температурный диапазон, K | 700–2100 |
Общее давление, включая аргон, атм | 1 |
Количественный состав конденсированной фазы | 0.54Y3Al5O12 + 0.46[0.2Bi2O3–0.6B2O3–0.2BaO] |
Качественный состав конденсированной фазы (твердое и жидкое состояния) | Y3Al5O12 [34], Y2O3, YBO3 [31], Bi2O3, Al2O3, BaO, B2O3, AlBO3 [35], Al5BO9 [36], Al4B2O9 [37], Ba2B6O11 [38], BaB2O4 [39], BiBO3 [40], Bi4B2O9 [41] |
Состав газовой фазы | Ar, O, O2, O3, Y, YO, YO2, Y2O2, Y2O, Al, Al2, AlO, Al2O, Al2O2, Al2O3, Ba, Ba2, BaO, Bi, Bi2, Bi3, Bi4, BiO, Bi4O6, B, B2, BO, BO2, B2O, B2O2, B2O3 |
* Из-за недостатка необходимой термодинамической информации по редкоземельному эрбию он не учитывался в выполненных расчетах, поскольку его поведение в отношении образования оксидов и боратов подобно иттрию. При этом присутствующая в системе часть эрбия как бы замещалась иттрием.
Качественный состав конденсированной фазы был взят согласно фазовым диаграммам бинарных, псевдобинарных и тройных систем между элементами Al, Y, Ba, B, Bi и O [42–44]. Однако из-за отсутствия в литературе необходимой для расчетов термодинамической информации в качестве входных данных использовали лишь основные простые бораты, для которых недостающие сведения (в том числе аппроксимационные коэффициенты приведенной энергии Гиббса) были получены в рамках аддитивной схемы по более простым составляющим. Вместе с тем приведенное термодинамическое моделирование, коррелируя с данными РФА, конкретизирует температурную зависимость соотношений фаз и компонентов при образовании стеклокристалла, показывая превалирующее содержание YAG и наличие Er0.5Y0.5BO3, при используемых ограничениях (см. примечание к табл. 2) в термодинамическом расчете заменяемого близким по энергетике соединением YBO3, но по уточненным данным РФА не учитывает бората (Er0.5Y0.5)3BO6.
Расплав исследуемой системы YAG + 0.2Bi2O3–0.6B2O3–0.2BaO, включая его переохлажденную часть, был представлен в виде ассоциированных растворов жидкофазных компонентов.
Как видно из рис. 5, взаимодействие YAG с компонентами стекла 0.2Bi2O3–0.6B2O3–0.2BaO = 0.4BiBO3–0.2BaB2O4–0.2B2O3, кроме входящих в его состав боратов висмута и бария, приводит к образованию прежде всего бората иттрия. Расчет подтверждает термодинамическую выгоду образования простых боратов BiBO3, BaB2O4, YBO3. При этом последний образуется за счет оксида иттрия из YAG, что приводит к соответствующему выделению Al2O3 из YAG. После температур ~1100–1200 K параллельно с плавлением ассоциированного раствора боратов и растворенных в нем компонентов, а также испарением продуктов их разложения (красная линия в нижней части рис. 5) происходит своеобразный ресинтез YAG с увеличением его содержания до температур ~1450 K. Увеличение количества YAG подтверждается данными РФА (рис. 3). Сравнение кривых на рис. 3 показывает, что ресинтез поверхностного слоя частиц шихты, измененного взаимодействием со стеклофазой (красная кривая 3), происходит в том же температурном интервале (~1100–1450 K), практически совпадающем с интервалом кристаллизации в шихте индивидуального YAG (зеленая кривая 2)). Отличие от кристаллизации YAG заключается в менее глубоком и последовательном по цепочке трех кристаллизационных процессов. Отметим, что структура и состав скрепляющего межкристаллитного слоя между частицами YAG требуют отдельного исследования в своеобразном химическом методе формирования стеклокристалла.
Рис. 5. Равновесный состав стеклокристаллов 0.54YAG + 0.46[0.2Bi2O3–0.6B2O3–0.2BaO]. В нижней части рисунка – отдельно кристаллизующиеся фазы и компоненты ассоциированного раствора (расплава)
ЗАКЛЮЧЕНИЕ
Для исследования возможностей и условий получения стеклокерамики Er0.5Y0.5AG + 0.2Bi2O3–0.6B2O3–0.2BaO использовали следующие методики и методы.
По оригинальной экспресс-методике получена ультрадисперсная шихта, перспективная для формирования, в частности, функциональных микроструктурных оптических элементов, например, лазерным излучением со специально подобранными параметрами.
Методами синхронного термоанализа и РФА исследованы фазовые и химические превращения висмут-барий-боратной части шихты, шихты Er0.5Y0.5AG, а также шихты, приготовленной для получения стеклокерамики 0.46(0.2Bi2O3–0.6B2O3–0.2BaO)–0.54(Er0.5Y0.5AG). Согласно полученным данным, рекомендуемый режим термической обработки не должен превышать т 1375 K, что способствует высокой кристалличности целевой фазы граната в составе стеклокерамики и оптимизирует содержание примесной фазы Er0.5Y0.5BO3.
Методом минимизации энергии Гиббса определены условия образования кристаллических фаз граната и бората иттрия из ультрадисперсной стеклокристаллической шихты.
ФИНАНСИРОВАНИЕ РАБОТЫ
Исследование выполнено при финансовой поддержке РНФ в рамках научного проекта № 20-73-10110, https://rscf.ru/en/project/20-73-10110/.
КОНФЛИКТ ИНТЕРЕСОВ
Авторы заявляют, что у них нет конфликта интересов.
Об авторах
А. Д. Плехович
Институт химии высокочистых веществ им. Г.Г. Девятых РАН
Автор, ответственный за переписку.
Email: plekhovich@ihps-nnov.ru
Россия, Нижний Новгород
А. М. Кутьин
Институт химии высокочистых веществ им. Г.Г. Девятых РАН
Email: plekhovich@ihps-nnov.ru
Россия, Нижний Новгород
К. В. Балуева
Институт химии высокочистых веществ им. Г.Г. Девятых РАН
Email: plekhovich@ihps-nnov.ru
Россия, Нижний Новгород
Е. Е. Ростокина
Институт химии высокочистых веществ им. Г.Г. Девятых РАН
Email: plekhovich@ihps-nnov.ru
Россия, Нижний Новгород
М. Е. Комшина
Институт химии высокочистых веществ им. Г.Г. Девятых РАН
Email: plekhovich@ihps-nnov.ru
Россия, Нижний Новгород
К. Ф. Шумовская
Институт химии высокочистых веществ им. Г.Г. Девятых РАН
Email: plekhovich@ihps-nnov.ru
Россия, Нижний Новгород
Список литературы
- Plekhovich A.D., Kut’in A.M., Rostokina E.E. et al. // Int. Conf. Laser Optics (ICLO 2022). Proceedings, 2022. WeR9-p24. https://doi.org/10.1109/ICLO54117.2022.9840279
- Plekhovich A.D., Kut’in A.M., Rostokina E.E. et al. // Int. Conf. Laser Optics (ICLO 2022). Proceedings, 2022. WeR9-p33. https://doi.org/10.1109/ICLO54117.2022.9840272
- Belov G., Iorish V.S., Yungman V.S. // Calphad. 1999. V. 23. № 2. P. 173. https://doi.org/10.1016/S0364-5916(99)00023-1
- Bourago N.G. // Proc. 7th Nordic Seminar on Computational Mechanics. Trondheim, Norway, 1994. P. 48. https://doi.org/10.13140/2.1.3798.3520
- Ватолин Н.А., Моисеев Г.К., Трусов Б.Г. Термодинамическое моделирование в высокотемпературных неорганических системах. М.: Металлургия, 1994. 352 c.
- CHEMCAD, Chemstations, Inc., USA. https://www.chemstations.com/
- Aspen HYSYS, Aspen Technology, USA. https://www.aspentech.com/en/products/engineering/aspen-hysys
- Никонов К.С., Ильясов А.С., Бреховских М.Н. // Журн. неорган. химии. 2020. Т. 65. № 9. С. 1222. https://doi.org/10.31857/S0044457X20090123
- Piekarczyk W. // J. Cryst. Growth. 1981. V. 55. № 3. P. 543. https://doi.org/10.1016/0022-0248(81)90113-5
- Velmuzhov A.P., Sukhanov M.V., Anoshina D.E. et al. // J. Non-Cryst. Solids. 2022. V. 585. P. 121529. https://doi.org/10.1016/j.jnoncrysol.2022.121529
- Ежов Ю.С. // Журн. физ. химии. 2008. Т. 82. № 3. С. 575.
- Косяков В.И., Шестаков В.А., Косинова М.Л. // Журн. неорган. химии. 2018. Т. 63. № 6. С. 777. https://doi.org/10.7868/S0044457X1806017X
- Гончаров О.Ю., Канунникова О.М. // Журн. физ. химии. 2009. Т. 83. № 12. С. 2205.
- Chromčíková M., Liška M., Macháček J., Chovanec J. // J. Non-Cryst. Solids. 2014. V. 401. P. 237. https://doi.org/10.1016/j.jnoncrysol.2014.01.021
- Сенин А.В., Кузнецова О.В., Лыкасов А.А. // Журн. физ. химии. 2006. Т. 80. № 11. С. 1992. https://doi.org/10.1134/S003602440611015X
- Cruz R.A., Romero S.A., Vargas R.M. et al. // J. Non-Cryst. Solids. 2005. V. 351. № 16–17. P. 1359. https://doi.org/10.1016/j.jnoncrysol.2005.03.008
- Sha W. // J. Alloys Compd. 2001. V. 322. № 1–2. P. L17. https://doi.org/10.1016/S0925-8388(01)01258-0
- Sundman B., Jansson B., Andersson J.-O. // Calphad. 1985. V. 9. P. 153. http://dx.doi.org/10.1016/0364-5916(85)90021-5
- Velmuzhov A.P., Tyurina E.A., Sukhanov M.V. et al. // SeP. Purif. Technol. 2023. V. 324. P. 124532. https://doi.org/10.1016/j.seppur.2023.124532
- Егорышева А.В., Володин В.Д., Скориков В.М. // Неорган. материалы. 2008. Т. 44. № 11. С. 1397. https://doi.org/10.1134/S0020168508110228
- Кьяо В., Чен П. // Физика и химия стекла. 2010. Т. 36. № 3. С. 376. https://doi.org/10.1134/S1087659610030053
- Бобкова Н.М., Трусова Е.Е., Захаревич Г.Б. // Стекло и керамика. 2012. Т. 85. № 11. С. 9. https://doi.org/10.1007/s10717-013-9480-2
- Плехович А.Д., Ростокина Е.Е., Комшина М.Е. и др. // Неорган. материалы. 2022. Т. 58. № 7. С. 763. https://doi.org/10.31857/S0002337X22060094
- Plekhovich A.D., Kut’in A.M., Rostokina E.E. et al. // J. Non-Cryst. Solids. 2022. V. 588. P. 121629. https://doi.org/10.1016/j.jnoncrysol.2022.121629
- Lu B., Gai K., Wang Q., Zhao T. // Ceram. Int. 2023. V. 49. № 19. P. 32318. http://dx.doi.org/10.1016/j.ceramint.2023.07.098
- Плехович А.Д., Ростокина Е.Е., Кутьин А.М., Гаврищук Е.М. // Неорган. материалы. 2022. T. 58. № 12. С. 1353. http://dx.doi.org/10.31857/S0002337X22120090
- Балабанов С.С., Гаврищук Е.М., Дроботенко В.В. и др. // Неорган. материалы. 2014. Т. 50. № 10. С. 1114. http://dx.doi.org/10.7868/S0002337X14100030
- Балуева К.В., Плехович А.Д., Кутьин А.М., Суханов М.В. // Журн. неорган. химии. 2021. Т. 66. № 8. С. 1046. http://dx.doi.org/10.31857/S0044457X2108002X
- Воронин Г.Ф. Основы термодинамики. М.: Изд-во МГУ, 1987. 192 c.
- Binnewies M., Milke E. Thermochemical Data of Elements and Compounds. Weinheim: Wiley-VCH Verlag GmbH, 2002. 928 P. http://dx.doi.org/10.1002/9783527618347
- Термические константы веществ / Под ред. Глушко В.П. М.: ВИНИТИ, 1965–1982. Вып. 1–10.
- Robie R.A., Hemmingway B.S., Fisher J.R. // U.S. Geol. Survey Bull. 1978. V. 1452. https://doi.org/10.3133/b1452
- Barin I. Thermochemical Data of Pure Substances. N.Y., 1995.
- Konings R.J.M., van der Laan R.R., van Genderen A.C.G., van Miltenburg J.C. // Thermochim. Acta. 1998. V. 313. P. 201. https://doi.org/10.1016/S0040-6031(98)00261-5
- Chizhikov A.P., Bazhin P.M., Stolin A.M. // Lett. Mater. 2020. V. 10. P. 135. https://doi.org/10.22226/2410-3535-2020-2-135-140
- Zhou Y., Xiang H. // J. Am. Ceram. Soc. 2016. V. 99. P. 2742. https://doi.org/10.1111/jace.14261
- Ray S.P. // J. Am. Ceram. Soc. 1992. V. 75. P. 2605. https://doi.org/10.1111/j.1151-2916.1992.tb05622.x
- Liu L., Yang Y., Dong X. et al. // Eur. J. Inorg. Chem. 2015. P. 3328. https://doi.org/10.1002/ejic.201500399
- Bekker T.B., Rashchenko S.V., Seryotkin Y.V. et al. // J. Am. Ceram. Soc. 2017. V. 101. P. 450. https://doi.org/10.1111/jace.15194
- Pottier M.J. // Bull. Soc. Chim. Belg. 1974. V. 83. P. 235. https://doi.org/10.1002/bscb.19740830704
- Muehlberg M., Burianek M., Edongue H., Poetsch Ch. // J. Cryst. Growth. 2002. V. 237. P. 740. https://doi.org/10.1016/S0022-0248(01)01993-5
- Денисов В.М., Белоусова Н.В., Денисова Л.Т. // Журн. Сиб. фед. ун-та. Химия. 2013. № 2. С. 132.
- Wong-Ng W., Roth R.S., Vanderah T.A., McMurdie H.F. // J. Res. Natl. Inst. Stand. Technol. 2001. V. 106. P. 1097. https://doi.org/10.6028/jres.106.059
- Hovhannisyan M. Phase diagram of the ternary BaO–Bi2O3–B2O3 system: new compounds and glass ceramic characterization // Advances in Ferroelectrics. London, 2012. P. 127. https://doi.org/10.5772/52405
Дополнительные файлы








