Optical ceramics obtained by hot pressing of CVD-ZnSe powder
- Authors: Balabanov S.S.1, Timofeeva N.A.1, Evstropov T.O.1, Kosyanov D.Y.2, Naumova A.V.1, Filofeev S.V.1
-
Affiliations:
- G.G. Devyatykh Institute of Chemistry of High-Purity Substances of RAS
- Far Eastern Federal University
- Issue: Vol 69, No 7 (2024)
- Pages: 1084-1092
- Section: НЕОРГАНИЧЕСКИЕ МАТЕРИАЛЫ И НАНОМАТЕРИАЛЫ
- URL: https://journal-vniispk.ru/0044-457X/article/view/274400
- DOI: https://doi.org/10.31857/S0044457X24070171
- EDN: https://elibrary.ru/XNACGV
- ID: 274400
Cite item
Full Text
Abstract
The influence of mechanical grinding conditions of high-purity CVD zinc selenide (ZnSe) powders on their particle size distribution, their sintering process, and the transparency of optical ceramics has been studied. Powders with an optimal granulometric composition were obtained, having an average particle size of 0.3 μm with a maximum of not more than 1 μm. These parameters were achieved by grinding the powders in a planetary ball mill for 20 hours at a grinding bowl rotation speed of 150 rpm. ZnSe optical ceramics are fabricated by a combination of hot pressing and subsequent hot isostatic pressing of CVD powders. The maximum transmission for 2 mm thick samples was 69% (close to theoretically achievable) at a wavelength of 14 μm. The combination of characteristics of CVD ZnSe powders subjected to additional grinding shows their promise for use in optical ceramic technology.
Keywords
Full Text
ВВЕДЕНИЕ
Разработка керамической технологии оптических элементов из селенида цинка (ZnSe), легированного ионами хрома (Cr2+) или железа (Fe2+), перспективна для создания активных сред ИК-лазеров [1, 2]. Контролируемое распределение концентрации активных ионов Cr2+ и Fe2+ в объеме элемента влияет на его лучевую стойкость, порог развития паразитной генерации, термонаведенные эффекты, определяя тем самым эффективность работы ИК-лазера, качество пучка и достижимую выходную мощность [3–8]. Керамический синтез открывает возможность получения заданных в объеме концентрационных профилей ионов Cr2+ и Fe2+, что затруднительно или невозможно при использовании традиционных подходов изготовления легированного ZnSe по расплавной и сублимационной технологиям или при диффузионном легировании [9].
Ключевой стадией получения керамики лазерного качества является синтез порошков с контролируемыми химической и фазовой чистотой, морфологией и дисперсным составом [10]. До настоящего времени не разработана методика, позволяющая получать порошки ZnSe, удовлетворяющие всем требованиям.
Представлены единичные работы, посвященные получению прозрачной керамики ZnSe (в том числе легированной) как с использованием порошков, синтезированных химическим осаждением из водных растворов [11–14], так и приготовленных механическим измельчением [15–18]. Недостаток химического осаждения – сложность очистки полученного продукта от кислородсодержащих примесей [9]. Механический размол ZnSe позиционируется как быстрый, недорогой и эффективный подход к синтезу порошков с субмикронным размером частиц. Вместе с тем исходным сырьем для размола должен выступать высокочистый ZnSe, так как последующие этапы керамической технологии могут лишь снизить его чистоту, а не наоборот.
Синтезированный химическим осаждением из газовой фазы ZnSe (CVD-метод) обладает превосходными характеристиками по примесному составу и стехиометрии [19]. В CVD-процессе происходит самоочистка реагентов, а осаждение проходит в бескислородной атмосфере. Порошки, полученные размолом объемных образцов поликристаллического CVD-ZnSe, использовали для спекания оптической керамики [15]. Однако повышение качества керамики до лазерного требует дальнейшей оптимизации методики размола. В частности, применение порошкообразного исходного материала вместо объемного приведет к сокращению продолжительности размола, обеспечив более узкое распределение частиц ZnSe по размерам и их меньшее повреждение. Механическое воздействие при размоле создает в порошках разнообразные дефекты: от макроскопических (например, трещин) до структурных (дислокаций, вакансий, дефектов упаковки и пр.), что может увеличивать время их залечивания и/или уменьшать движущие силы спекания [20, 21].
Сокращение доли гетерофазных реакций в CVD-процессе позволяет синтезировать существенную часть ZnSe в виде порошка с высокой чистотой и постоянством стехиометрического состава, присущими объемному материалу. В настоящей работе показана перспективность модификации дисперсного состава CVD-порошков ZnSe размолом в планетарной мельнице для использования в технологии оптической керамики.
ЭКСПЕРИМЕНТАЛЬНАЯ ЧАСТЬ
В качестве исходного материала использовали порошок ZnSe, синтезированный в горизонтальном проточном CVD-реакторе [22]. Получение порошка проходило одновременно с осаждением плотного поликристаллического ZnSe по реакции: Zn(г) + H2Se(г) → ZnSe(тв) + Н2(г). Селеноводород и цинк перед поступлением в установку разбавляли аргоном чистотой 99.999%. Рост плотных слоев ZnSe проходил в графитовом реакторе при температуре 730°С и давлении 1 кПа, которое регулировали с помощью скорости откачки газов из рабочего объема. Порошок селенида цинка осаждался в зоне улавливания, следующей сразу за реактором, с температурой 500–600°С с выходом ~20% по исходным реагентам.
Порошки ZnSe подвергали измельчению в планетарной шаровой мельнице Retsch PM100 в стальном (AISI 304) стакане объемом 245 см3. В качестве мелющих тел использовали 50 шариков из нитрида кремния Si3N4 диаметром 10 мм, загрузка ZnSe составляла 20 г. Размол осуществляли при скорости вращения стакана 150 об/мин с чередованием 10 мин работы/10 мин охлаждения и изменением направления вращения.
Порошки ZnSe после различного времени размола (0, 2, 4, 6, 12, 20, 40 и 60 ч) подвергали горячему прессованию в вакууме. Остаточное давление в камере не превышало 2 Па. Порошки предварительно формировали в таблетку диаметром 20 мм на одноосном прессе (давление 2 МПа), затем переносили ее в графитовую форму. Пуансоны были изолированы от ZnSe порошкообразным нитридом бора. Режим горячего прессования включал предварительный нагрев до температуры 1050°С при одноосном давлении 1.25 МПа и выдержке 5 мин, затем температуру снижали до 1000°С, и она была фиксированной в течение 100 мин при давлении 50 МПа. Скорость нагрева составляла 20 град/мин, охлаждение осуществляли без приложения давления в режиме выключенной печи.
Полученные керамики были обработаны горячим изостатическим прессованием в течение 20 ч при давлении аргона 90 МПа, затем отполированы алмазными суспензиями до третьего класса чистоты согласно ГОСТ 11141-84.
Морфологию порошков исследовали с помощью сканирующего электронного микроскопа высокого разрешения S-5500 (Hitachi High-Tech. Corp., Япония). Измерение удельной поверхности (SБЭТ) порошков проводили методом адсорбции азота на приборе Sorbi-MS (Мета, Россия) при использовании уравнения Брунауэра–Эммета–Теллера (БЭТ). Эквивалентный диаметр частиц (dБЭТ, нм) рассчитывали в предположении сферичности их формы: dБЭТ = 6000/(ρ × SБЭТ), где ρ – теоретическая плотность ZnSe (5.27 г/см3). Гранулометрический состав порошков определяли методом динамического рассеяния света в водной среде с использованием анализатора размера частиц и ζ-потенциала NanoBrook 90Plus Zeta (Brookhaven Instr. Corp., США). Измерения проводили в диапазоне размеров частиц от 1 нм до 10 мкм предварительной деагломерацией порошков ультразвуковой обработкой и добавлением поверхностно-активного вещества DOLAPIX.
Регистрацию спектров пропускания керамик ZnSe осуществляли методом ИК-Фурье-спектроскопии на приборе Tensor 27 (Bruker Corp., США). Фотографии дефектов получены на оптическом микроскопе AxioPlan 2 (Zeiss, Германия) в отраженном и проходящем свете.
РЕЗУЛЬТАТЫ И ОБСУЖДЕНИЕ
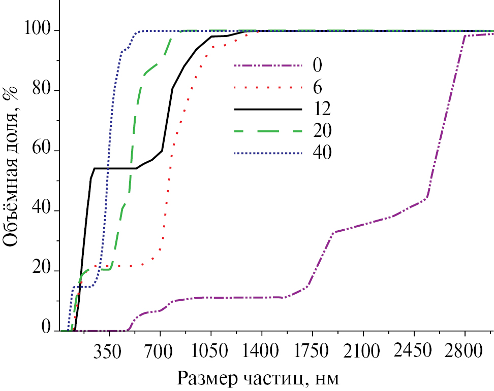
Исходные CVD-порошки ZnSe имели характерный для этого соединения светло-желтый цвет и представляли собой смесь частиц разных размеров (от субмикронного до ~3 мкм). Распределение частиц по размерам в зависимости от времени размола (0−40 ч) показано на рис. 1. Здесь и далее численное значение присвоенного номера образца соответствует времени размола порошка. Для всех образцов характерно полидисперсное распределение. В исходном порошке ZnSe объемная доля субмикронных частиц составляет 11%. С увеличением времени размола дисперсность порошка возрастает; частицы размером >1 мкм не обнаруживаются при режимах ≥20 ч.
Рис. 1. Влияние времени размола (0, 6, 12, 20 и 40 ч) на интегральные кривые объемного распределения частиц по размерам для CVD-порошков ZnSe.
На рис. 2 приведены данные измерений SБЭТ и dБЭТ порошков. Режим размола 60 ч обеспечил десятикратное уменьшение dБЭТ от 1630 до 150 нм. В начале размола SБЭТ ожидаемо возрастает быстрее, чем при дальнейшей обработке (после разрушения крупных агломератов). Например, после 20 ч обработки размер частиц уменьшается в 6.5 раз до уровня 250 нм, а за последующие 20 ч − только в 1.7 раза.
Рис. 2. Влияние времени размола на удельную площадь поверхности SБЭТ и эквивалентный диаметр частиц dБЭТ CVD‑порошков ZnSe.
В качестве примера на рис. 3 приведены микроснимки CVD-порошков ZnSe для режимов размола 2 и 60 ч. Показано, что первичные частицы после механической обработки имеют плотную кристаллическую структуру с изометрической морфологией. Они объединены в мягкие агломераты, характеризующиеся отсутствием перешейков между частицами. С ростом продолжительности размола несколько увеличивается доля наноразмерных частиц, однако основное количество первичных частиц имеет субмикронный размер. Эти данные хорошо согласуются с результатами исследований методами адсорбции азота и динамического рассеяния света.
Рис. 3. Микрофотографии CVD-порошков ZnSe после размола в течение 2 (а) и 60 ч (б).
Фотографии керамик ZnSe, консолидированных в одинаковых условиях из подготовленной серии CVD-порошков, представлены на рис. 4. Образцы имеют форму диска диаметром 20 мм и толщиной 2 мм. Все керамики ZnSe, кроме образцов 40 и 60, прозрачны в видимом диапазоне длин волн. Цвет варьируется от желтого до коричнево-желтого. Визуальное заметное потемнение керамик наблюдали для образца 6 ZnSe и последующих.
Рис. 4. Внешний вид образцов керамик ZnSe из CVD-порошков с разным временем размола.
В спектрах пропускания керамик ZnSe (рис. 5) фиксируются полосы поглощения примесных соединений. Интенсивный пик с максимумом при 4.23 мкм, а также широкие полосы с максимумами при 13.75, 14.80 и 15.25 мкм относятся к оксиду углерода(IV), вероятно, находящемуся в порах [23]. Явно выраженной зависимости их интенсивности от времени размола порошков не наблюдается.
Рис 5. Спектры пропускания керамик ZnSe, полученных из CVD-порошков с временем размола 0, 2, 6, 12 и 20 ч.
Интенсивный пик с максимумом для различных образцов в довольно широких пределах (от ~9.03 до 9.80 мкм) объясняется загрязнением кислородом. Смещение пика, вероятно, обусловлено как формированием связей с различными элементами (цинком [24], кремнием, в качестве источника последнего выступают размольные шары), так и различным содержанием селена в их координационной сфере и/или образованием новых соединений, например силиката цинка. Намеренное введение 0.02 мол. % нанопорошка оксида цинка в образцы перед горячим прессованием (чуть более предела его растворимости в ZnSe) приводит к появлению широкого пика с максимумом при 9.11 мкм, а также менее выраженных пиков при 8.58, 12.57 и 12.85 мкм. В исследуемых образцах пик при 8.58 мкм не фиксируется ввиду его малой интенсивности, другие два не разделяются и образуют широкую полосу от ~12.20 до 13.50 мкм с отличным от образца к образцу максимумом. Интенсивность пиков, отвечающих за наличие кислорода, растет со временем размола, и отсутствует в керамике 0. Из этих результатов следует, что CVD-порошки ZnSe достаточно инертны и могут без заметного загрязнения храниться и использоваться на воздухе. Ряд экспериментов проводили на порошках со сроком хранения более года в полиэтиленовом пакете, и керамики на их основе не отличались по уровню загрязнения от полученных из свежеизготовленных порошков, т.е. поступление кислорода в ZnSe происходит в результате размола CVD-порошков на воздухе вследствие механоактивации и износа размольной гарнитуры.
Проблема данного типа загрязнений может решаться несколькими способами: путем подбора условий CVD-синтеза для получения порошков заданного гранулометрического состава и варьированием процедуры размола (проведением его в инертной атмосфере и/или посттермической обработке готового продукта в аргоне, селеноводороде и т.п.
Еще один пик в спектрах керамик (за исключением образца 0) имеет максимум при 2.93 мкм и относится к поглощению ионами Fe2+ [25], внесенными в порошки из-за применения стального размольного стакана. Поскольку конечной целью данного исследования является в том числе создание лазерных керамических элементов Fe2+ : ZnSe, примесь железа не является лимитируемой. Более того, представляется целесообразным изготовление всего комплекта размольной гарнитуры из Fe-содержащих сплавов при создании керамик Fe2+ : ZnSe.
Максимумы пика CO2 (4.23 мкм) и полосы люминесценции ионов Fe2+ в ZnSe (4.35 мкм) имеют близкое положение. Хотя, как правило, генерация в активных элементах Fe2+ : ZnSe без дополнительной селекции смещается в длинноволновую область (~4.50 мкм), где уже не наблюдается поглощение CO2, существует вероятность увеличения нерадиационных потерь и дополнительного нагрева активного элемента в результате наличия CO2 в керамике. Поэтому вопрос допустимого содержания данной примеси требует дополнительных исследований.
С увеличением времени размола пропускание керамик ZnSe в средней ИК-области постепенно повышается и достигает максимального уровня при использовании 20-часовой обработки. Максимум прозрачности (69% при теоретическом 70%) для образца 20 соответствует длине волны 14.00 мкм. Оптическое пропускание постепенно снижается при смещении в область меньших длин волн и на длине волны генерации Fe2+ : ZnSe лазера (4.50 мкм) составляет 61%. Дальнейшее увеличение времени размола приводит к получению практически непрозрачных керамик ZnSe (образцы 40 и 60).
Это связано с наличием разнонаправленных процессов во время консолидации, что находит отражение в финишной микроструктуре керамик. Без размола порошки содержат относительно крупные частицы, имеющие наименьшую спекаемость. Исходный размер пор при компактировании порошка обычно сопоставим с размерами частиц и их агломератов [26]. Поэтому в полидисперсных порошках поры также имеют широкое распределение по размерам. Более крупные поры являются центрами стока вакансий и не только не уменьшаются в размере, а в ряде случаев даже увеличиваются в процессе консолидации. На рис. 6 приведены фотографии объема керамик с разным временем размола исходных CVD-порошков ZnSe. Видно, что снижение среднего размера частиц в результате их размола приводит к уменьшению количества и размера остаточных пор. В образце 2 наблюдаются множественные скопления пор микронных размеров по всему объему, а в образце 20 – лишь отдельные поры, вероятно, сформировавшиеся вследствие наличия остаточных агломератов или дефектов прессования.
Рис. 6. Фотографии пор в объеме керамик ZnSe 2 (а) и 20 (б).
Другим последствием преобладания крупных частиц в исходном порошке является меньшая движущая сила роста зерна в керамике. Крупные частицы при спекании быстро поглощают соседние субмикронные зерна. Их дальнейший рост замедляется ввиду близких размеров, и движение границ не обеспечивает заметного снижения общей свободной энергии системы. На рис. 7 представлены гистограммы распределения зерен по размерам, а в табл. 1 – средние размеры зерен полученной серии образцов. Видно, что керамика 0 имеет наиболее узкое распределение зерен по размерам (рис. 7а) и наименьший их средний размер по сравнению с образцами 2−20.
Таблица 1. Некоторые характеристики серии керамик ZnSe, полученных из CVD-порошков с разным временем размола (0−60 ч)
Параметр | Образец | |||||||
0 | 2 | 4 | 6 | 12 | 20 | 40 | 60 | |
Пропускание при λ = 4.5 мкм, % | 38 | 42 | 50 | 50 | 55 | 61 | − | − |
Средний размер зерна, мкм | 82 | 123 | 113 | 8*/189* | 224 | 130 | 6 | 7 |
* Наблюдается вторичная рекристаллизация, средний размер зерна зависит от выбранной области исследования. Представлены данные для характерных зон с мелкозернистой и крупнозернистой структурами соответственно.
Рис. 7. Гистограммы распределения зерен по размерам для керамик ZnSe: образцы 0 (а), 12 (б), 20 (в).
При размоле порошков их исходные крупные частицы становятся более изолированными за счет увеличения количества субмикронных частиц, и лишь полное поглощение последних приводит межзеренные границы в относительное равновесие. Это способствует росту среднего размера зерен и их дисперсии. При доле крупных частиц по отношению к субмикронным на уровне ~5 об. % движение их границ не встречает ограничений и инициирует начало вторичной рекристаллизации. В частности, морфология образца 6 характеризуется бимодальной зеренной структурой: аномально крупные зерна окружены сеткой из более мелких, которые занимают примерно равные площади (рис. 8а).
Рис. 8. Фотографии микроструктур керамик ZnSe: образцы 6 (а) и 20 (б).
Последующий размол еще больше сокращает объемную долю крупных частиц. Спекаемость мелкой фракции возрастает, что позволяет сформировать относительно равновесную зеренную структуру до начала интенсивного роста зерен. Поэтому в образце 12, несмотря на крупный размер зерен и их бимодальной тип распределения (рис. 7б), не создаются условия для активизации вторичной рекристаллизации.
Измельчение в течение 20 ч позволяет перевести размерность всех частиц в субмикронный диапазон, что наиболее благоприятно отражается как на их спекаемости, так и на однородности упаковки в компакте. Поэтому образец содержит незначительное количество пор и обладает наибольшей прозрачностью в исследуемой серии (табл. 1).
Другим фактором, влияющим на рост зерна и оптическую прозрачность керамик ZnSe, является рост загрязнения порошков с увеличением продолжительности размола. Соединения кремния и/или кислорода образуют вторичные фазы и обусловливают повышение рассеяния в керамиках. Можно предположить, что в образцах с увеличением времени размола постепенно начинает преобладать вклад вторичных фаз в рассеяние по сравнению с порами. На рис. 8 приведены фотографии поверхности керамик после химического травления. Так, в наиболее прозрачном образце 20 фиксируются включения вторичных фаз (рис. 8б). В образцах 40 и 60 содержание примесей настолько высоко, что их концентрирование по границам блокирует рост зерен селенида цинка. Средний размер зерна в этих образцах в ~15−30 раз меньше, чем в других образцах серии (табл. 1). Непрозрачность данных образцов также может быть обусловлена снижением спекаемости порошков вследствие накопления ими дефектов при размоле.
Данное исследование согласуется с общепринятой концепцией о необходимости применения субмикронных (предпочтительно размером ≤0.2 мкм) порошков для получения прозрачной керамики, что, однако, не является единственным условием [27]. Существенное повышение реакционной способности, в частности к взаимодействию с кислородом неоксидных материалов, с уменьшением размеров частиц [28, 29], обусловливает в нашем случае лучшие результаты при использовании порошков со средней модой 0.3 мкм. Повышенной реакционной способностью материала также обусловлен выбор “сухого” деагломерирования ZnSe вместо более эффективного коллоидного измельчения, проводимого, как правило, в воде или спиртах.
Предварительные эксперименты по деагломерации в абсолютированном изопропиловом спирте показали существенное возрастание линии поглощения в области 9−10 мкм, тогда как общий уровень пропускания полученных керамик ZnSe практически совпадал с данными для “сухого” деагломерирования. Увеличение интенсивности пика, связанного с кислородом, вероятно, обусловлено возрастанием доли более реакционноспособных наноразмерных частиц в порошке в результате разрушения субмикронных частиц, которые существенно меньше разрушаются без дисперсионной среды. А общая пористость, связанная с наличием в порошке агломератов, практически не изменяется, поскольку и при “сухом”, и при “мокром” измельчении крупные агломераты разрушаются эффективно; для полного их устранения требуется соответствующее количество соударений их с размольными шарами, которое не зависит от наличия или отсутствия дисперсионной среды.
ЗАКЛЮЧЕНИЕ
Исследована возможность применения CVD-порошков ZnSe в технологии оптической керамики. Показано, что исходные порошки имеют размеры частиц в диапазоне от 0.35 до 3 мкм при эквивалентном диаметре частиц dБЭТ = 1.65 мкм. Сочетание методов горячего прессования и последующего горячего изостатического прессования позволяет получить оптически прозрачный ZnSe с максимальным пропусканием 69%. При размоле CVD-порошков в течение 20 ч размер всех частиц снижается до субмикронного, а керамика на их основе имеет наибольшую прозрачность в серии (69 или 98% от теоретической при длине волны 14 мкм и 61% в области генерации Fe2+ : ZnSe лазера при длине волны 4.5 мкм). Фактором, снижающим пропускание керамик, является загрязнение в процессе размола соединениями кислорода, а также кремния при использовании размольной гарнитуры из Si3N4.
Применение CVD-порошков ZnSe в технологии оптической керамики представляется перспективным. Дальнейшая оптимизация должна быть направлена на снижение загрязнения исходных порошков путем подбора материала размольной гарнитуры, созданием инертной атмосферы при размоле, последующей обработкой порошков для удаления кислорода (в инертной/восстановительной/селенсодержащей атмосфере), изменением условий проведения CVD-синтеза порошков ZnSe для достижения целевых морфологии и дисперсного состава.
ФИНАНСИРОВАНИЕ РАБОТЫ
Исследование выполнено при поддержке Российского научного фонда (грант № 23-23-00512), https://rscf.ru/project/23-23-00512/.
КОНФЛИКТ ИНТЕРЕСОВ
Конфликт интересов отсутствует.
About the authors
S. S. Balabanov
G.G. Devyatykh Institute of Chemistry of High-Purity Substances of RAS
Author for correspondence.
Email: timofeeva@ihps-nnov.ru
Russian Federation, Nizhny Novgorod, 603137
N. A. Timofeeva
G.G. Devyatykh Institute of Chemistry of High-Purity Substances of RAS
Email: timofeeva@ihps-nnov.ru
Russian Federation, Nizhny Novgorod, 603137
T. O. Evstropov
G.G. Devyatykh Institute of Chemistry of High-Purity Substances of RAS
Email: timofeeva@ihps-nnov.ru
Russian Federation, Nizhny Novgorod, 603137
D. Yu. Kosyanov
Far Eastern Federal University
Email: timofeeva@ihps-nnov.ru
Russian Federation, Vladivostok, 690922
A. V. Naumova
G.G. Devyatykh Institute of Chemistry of High-Purity Substances of RAS
Email: timofeeva@ihps-nnov.ru
Russian Federation, Nizhny Novgorod, 603137
S. V. Filofeev
G.G. Devyatykh Institute of Chemistry of High-Purity Substances of RAS
Email: timofeeva@ihps-nnov.ru
Russian Federation, Nizhny Novgorod, 603137
References
- Page R.H., DeLoach L.D., Wilke G.D. et al. // Cr2+-doped II-VI crystals: new widely-tunable, room-temperature mid-IR lasers, in: LEOS ’95. IEEE Lasers Electro-Optics Soc. 1995 Annu. Meet. 8th Annu. Meet. Conf. Proc.30–31 October. San Francisco, 1995. P. 449. https://doi.org/10.1109/LEOS.1995.484795
- Adams J.J., Bibeau C., Page R.H. et al. // Opt. Lett. 1999. V. 24. № 23. P. 1720. https://doi.org/10.1364/OL.24.001720
- Schepler K.L., Peterson R.D., Berry P.A. et al. // IEEE J. Sel. Top. Quantum Electron. 2005. V. 11. № 3. P. 713. https://doi.org/10.1109/JSTQE.2005.850570
- Firsov K.N., Gavrishchuk E.M., Ikonnikov V.B. et al. // Laser Phys. Lett. 2016. V. 13. № 5. P. 055002. https://doi.org/10.1088/1612-2011/13/5/055002
- Kurashkin S.V., Martynova O.V., Savin D.V. et al. // Laser Phys. Lett. 2019. V. 16. № 7. P. 075801. https://doi.org/10.1088/1612-202X/ab21cd
- Balabanov S.S., Firsov K.N., Gavrishchuk E.M. et al. // Laser Phys. Lett. 2019. V. 16. № 5. P. 055004. https://doi.org/10.1088/1612-202X/ab09e8
- Palashov O.V., Starobor A.V., Perevezentsev E.A. et al. // Materials (Basel). 2021. V. 14. № 14. P. 3944. https://doi.org/10.3390/ma14143944
- Dormidonov A.E., Firsov K.N., Gavrishchuk E.M. et al. // Phys. Wave Phenom. 2020. V. 28. № 3. P. 222. https://doi.org/10.3103/S1541308X20030073
- Timofeeva N., Balabanov S., Li J. // Ceramics. 2023. V. 6. № 3. P. 1517. https://doi.org/10.3390/ceramics6030094
- Yavetskiy R.P., Balabanov A.E., Parkhomenko S.V. et al. // J. Adv. Ceram. 2021. V. 10. № 1. P. 49. https://doi.org/10.1007/s40145-020-0416-3
- Karki K., Yu S., Fedorov V. et al. // Opt. Mater. Express. 2020. V. 10. № 12. P. 3417. https://doi.org/10.1364/OME.410941
- Yu S., Carloni D., Wu Y. // J.Am. Ceram. Soc. 2020. V. 103. № 8. P. 4159. https://doi.org/10.1111/jace.17144
- Zhou G., Calvez L., Delaizir G. et al. // Optoelectron. Adv. Mater. Rapid Commun. 2014. V. 8. P. 436.
- Yu S., Wu Y. // J.Am. Ceram. Soc. 2019. V. 102. № 12. P. 7089. https://doi.org/10.1111/jace.16612
- Luo Y., Yin M., Chen L. et al. // Opt. Mater. Express. 2021. V. 11. № 8. P. 2744. https://doi.org/10.1364/OME.432380
- Wei S., Zhang L., Yang H. et al. // Opt. Mater. Express. 2017. V. 7. № 4. P. 1131. https://doi.org/10.1364/OME.7.001131
- Luo Y., Yin M., Chen L. et al. // Ceram. Int. 2022. V. 48. № 3. P. 3473. https://doi.org/10.1016/j.ceramint.2021.10.125
- Gao J.L., Liu P., Zhang J. et al. // Solid State Phenom. 2018. V. 281. P. 661. https://doi.org/10.4028/www.scientific.net/SSP. 281.661
- Гаврищук Е.М. // Неорган. материалы. 2003. Т. 39. № 9. С. 1030. https://doi.org/10.1023/A:1025529017192
- Li J., Liu J., Liu B. et al. // J. Eur. Ceram. Soc. 2014. V. 34. № 10. P. 2497. https://doi.org/10.1016/j.jeurceramsoc.2014.03.004
- Parkhomenko S., Balabanov A., Kryzhanovska O. et al. // Ceram. Int. 2023. V. 49. № 17. P. 29048. https://doi.org/10.1016/j.ceramint.2023.06.179
- Гаврищук Е.М., Савин Д.В., Иконников и др. // Неорган. материалы. 2006. Т. 42. № 8. С. 928. https://doi.org/10.1134/S0020168506080061
- Пермин Д.А., Беляев А.В., Кошкин В.А. и др. // Неорган. материалы. 2021. Т. 57. № 8. С. 901. https://doi.org/10.31857/S0002337X21080248
- Морозова Н.К., Плотниченко В.Г., Гаврищук Е.М. и др. // Неорган. материалы. 2003. Т. 39. № 8. С. 920. https://doi.org/10.1023/A:1025004808839
- Балабанов С.С., Гаврищук Е.М., Гладилин А.А. и др. // Неорган. материалы. 2019. Т. 55. № 5. С. 459. https://doi.org/10.1134/S0002337X19050014
- Papynov E.K., Portnyagin A.S., Modin E.B. et al. // Mater. Charact. 2018. V. 145. P. 294. https://doi.org/10.1016/j.matchar.2018.08.044
- Goldstein A., Krell A. // J.Am. Ceram. Soc. 2016. V. 99. № 10. P. 3173. https://doi.org/10.1111/jace.14553
- Садовников С.И., Сергеева С.В. // Журн. неорган. химии. 2023. Т. 68. № 4. С. 444. https://doi.org/10.1134/S0036023623600120
- Симоненко Е.П., Симоненко Н.П., Гордеев А.Н. и др. // Журн. неорган. химии. 2018. Т. 63. № 11. С. 1465. https://doi.org/10.1134/S0044457X1811017X
Supplementary files










