Особенности люминесценции многокомпонентных фторидов со структурой кубического пирохлора, легированных ионами европия
- Авторы: Хайдуков Н.М.1, Бреховских М.Н.1, Кирикова Н.Ю.2, Кондратюк В.А.2, Махов В.Н.2
-
Учреждения:
- Институт общей и неорганической химии им. Н.С. Курнакова РАН
- Физический институт им. П.Н. Лебедева РАН
- Выпуск: Том 69, № 9 (2024)
- Страницы: 1254-1266
- Раздел: СИНТЕЗ И СВОЙСТВА НЕОРГАНИЧЕСКИХ СОЕДИНЕНИЙ
- URL: https://journal-vniispk.ru/0044-457X/article/view/280357
- DOI: https://doi.org/10.31857/S0044457X24090057
- EDN: https://elibrary.ru/JSYFOA
- ID: 280357
Цитировать
Полный текст
Аннотация
Высокотемпературным твердофазным синтезом получены керамические образцы многокомпонентных фторидов Na3CaMg3AlF14 и NaCaMg2F7 со структурой кубического пирохлора, легированных ионами европия. Сравнение рентгенограмм полученных соединений показало, что для фторида Na3CaMg3AlF14 получена новая полиморфная модификация со структурой кубического пирохлора, отличная от описанной в литературе фазы этого соединения с ромбоэдрической структурой. Добавление фторида NH4(HF2) перед последним отжигом обеспечивает восстановительные условия для стабилизации ионов европия исключительно в валентном состоянии 2+. Ионы Eu2+ в синтезированных фторидных матрицах испускают люминесценцию с пиком полосы около 395 нм, обусловленную межконфигурационными переходами 4f 65d–4f 7. В данных матрицах ионы Eu2+ образуют оптические центры преимущественно одного типа, что обеспечивает достаточно узкую ширину полосы 4f65d–4f 7-люминесценции (~30 нм). Ионы Eu2+ в синтезированных керамиках испускают также линейчатую люминесценцию с основной линией при ~362 нм, связанную с внутриконфигурационными переходами 4f 7–4f 7 из нижайшего возбужденного состояния 6P7/2 в основное состояние 8S7/2. Синтезированные керамики демонстрируют достаточно высокую температурную стабильность 4f 65d–4f7-люминесценции ионов Eu2+ с температурами термического тушения T1/2 = 504 и 543 K для Na3CaMg3AlF14:Eu2+ (1.0 ат. %) и NaCaMg2F7:Eu2+ (0.5 ат. %) соответственно. Это свойство может представлять интерес для практического применения указанных люминофоров. Дополнительный отжиг керамик в атмосфере аргона с добавлением NaHF2 вместо NH4(HF2) приводит к частичной конверсии ионов европия из двухвалентного состояния в трехвалентное. Как результат, в красной области спектра появляется серия узких линий люминесценции, обусловленных внутриконфигурационными переходами 4f 6–4f 6 (5D0 → 7FJ) в ионах Eu3+.
Ключевые слова
Полный текст
Введение
Несмотря на то что люминофорные белые светодиодные лампы уже практически вытеснили источники света других типов почти во всех сферах человеческой деятельности, в частности в бытовом освещении, во многих лабораториях продолжается поиск и исследование новых эффективных и термически стабильных люминофоров для светодиодных источников белого света. В частности, для достижения более высоких значений индекса цветопередачи и световой эффективности светодиодных источников света большое внимание уделяется разработке новых эффективных узкополосных люминофоров, излучающих свет с различной длиной волны в видимой области спектра на межконфигурационных переходах 4f n–15d–4f n в редкоземельных ионах (РЗИ) [1, 2]. Для получения таких люминофоров с узкополосной люминесценцией с шириной на полувысоте (FWHM) ≤30 нм должно выполняться очевидное условие, а именно – легирующий оптически активный ион создает в матрице люминофора только один тип люминесцентных центров. Данное свойство реализуется в том случае, если легирующие ионы занимают только одну кристаллографическую позицию в структуре матрицы люминофора или больше, чем одну позицию, но координационные полиэдры этих позиций являются практически идентичными [3]. В частности, предполагается, что для разработки узкополосных люминофоров, содержащих ионы Eu2+, следует использовать соединения, в структуре которых ионы европия занимают координационный полиэдр в виде куба [3, 4].
Среди потенциальных кандидатов на роль узкополосных люминофоров практически не исследован целый класс многокомпонентных фторидных соединений, имеющих структуру кубического пирохлора. В кристаллической структуре кубического пирохлора A2B2X7 (пр. гр. Fdm) катионы A и B расположены на двух различных катионных позициях. Более крупный катион A с 8-кратной (искаженный куб) координацией анионами X занимает позицию 16d, а меньший катион B с 6-кратной октаэдрической координацией анионами располагается на позиции 16c [5]. Известно множество работ, посвященных исследованию кристаллических структур и оптических свойств оксидных пирохлоров A2B2O7, в частности, легированных РЗИ (например, обзор [5] и ссылки [6–9]). Однако практически нет работ по исследованию люминесцентных свойств фторидных соединений со структурой кубического пирохлора, легированных РЗИ.
В отличие от оксидов со структурой пирохлора A2B2O7, для поддержания баланса заряда и стабилизации кристаллической структуры фторидные материалы со структурой пирохлора должны иметь более сложный состав, содержащий по меньшей мере три различных катиона, имеющих разное валентное состояние, и их общая формула может быть представлена как A1+A′2+B2+2F7. В такой структуре катионы A и A′ случайным образом занимают катионные узлы с 8-кратной координацией ионами F–. Кристаллическая структура более 10 таких фторидов со структурой кубического пирохлора была исследована в ряде работ, ссылки на большинство из них можно найти в работе [10]. Потенциально уникальная кристаллическая структура пирохлора позволяет создавать очень широкий спектр соединений путем варьирования химических элементов в позициях A, B и X. В частности, могут быть получены более сложные фторидные пирохлоры, содержащие четыре различных катиона, химическая формула которых может быть представлена в виде A31+A′2+B32+B′3+F14. В таких структурах пары катионов A и A′, а также B и B’ случайным образом занимают катионные узлы с 8- и 6-кратной координацией ионами F– соответственно.
В данной работе приведены результаты синтеза и исследования люминесцентных свойств двух многокомпонентных фторидов со структурой кубического пирохлора, а именно: Na3CaMg3AlF14 и NaCaMg2F7, легированных ионами европия.
Цель настоящей работы – выяснение взаимосвязи между свойствами люминесценции ионов европия и химическим составом соединений в рамках структуры кубического пирохлора, а также оценка использования подобных люминесцентных материалов как практических люминофоров. Авторам не известны публикации, где были бы приведены результаты спектроскопических исследований люминесценции РЗИ во фторидных матрицах со структурой кубического пирохлора, кроме нашей работы [11].
Экспериментальная часть
Керамические образцы сложных фторидов Na3CaMg3AlF14 и NaCaMg2F7 были получены методом высокотемпературных твердофазных реакций между фторидами NaHF2, CaF2, MgF2 и AlF3 (99.9%). Легированные европием образцы получали с использованием EuF2 (99.99%). Фториды CaF2, MgF2 и AlF3 предварительно обрабатывали бифторидом аммония с целью их очистки от сорбированных примесей воды, кислорода и OHˉ-групп. Для этого в платиновый тигель с крышкой помещали смеси из 90 мол. % CaF2 или MgF2 (AlF3) и 10 мол. % NH4HF2. Смеси нагревали до 400°С в токе аргона в трубчатой печи в течение 4 ч. Подвергнутые такой обработке фториды и NaHF2 использовали для синтеза многокомпонентных фторидов.
Компоненты в стехиометрических соотношениях смешивали, растирали в агатовой ступке в сухом боксе в атмосфере аргона и прессовали в таблетки. Таблетки переносили в графитовые тигли объемом ~18 см3 с крышками, на дно которых загружали 0.05 г гидрофторида аммония. Графитовые тигли помещали в корундовый тигель большего размера и засыпали древесным углем. Синтез проводили при заданных температурах в течение 4 или 8 ч. Температуру отжига последовательно увеличивали от 500°C. Были найдены оптимальные температуры отжига для получения однофазных образцов Na3CaMg3AlF14 и NaCaMg2F7, которые оказались в диапазоне 750–800°C. Для уменьшения примеси ионов кислорода обычно перед последним отжигом к образцам добавляли 2 мол. % NH4(HF2). Фазовый состав синтезированных образцов контролировали с помощью рентгенодифракционного анализа керамических образцов или их порошков. В случае появления в образцах примесных фаз дополнительно к кубической фазе пирохлора в образцы добавляли соответствующие исходные реактивы с последующим отжигом.
При оптимальных температурах отжига были получены фториды Na3CaMg3AlF14 и NaCaMg2F7, легированные 1.0 и 0.5 ат. % Eu2+ соответственно относительно ионов Ca2+. Отметим, что добавление фторида NH4(HF2) перед последним отжигом создает в образцах восстановительные условия, необходимые для стабилизации ионов европия в валентном состоянии 2+. С другой стороны, были проведены исследования по отжигу образцов, содержащих только ионы Eu2+, с добавлением NaHF2 вместо NH4(HF2) в корундовых тиглях в атмосфере аргона. В результате, как будет показано ниже, в образцах обнаруживаются ионы европия в валентных состояниях как 2+, так и 3+.
Рентгенодифракционный анализ выполняли на дифрактометре D8 Advance (Bruker, Германия) в монохроматическом CuKα-излучении. Рентгенограммы записывали в диапазоне углов 2θ = 10°–70°. Для идентификации синтезированных соединений и индицирования рентгенограмм использовали пакет программ DIFFRAC.EVA (Bruker) и базы данных COD и ICDD PDF-2.
Спектры фотолюминесценции (ФЛ) и возбуждения фотолюминесценции (ВФЛ) измеряли при комнатной температуре на спектрофлуориметре CМ 2203 (Solar, Минск). В приборе источником возбуждающего излучения служила импульсная ксеноновая лампа FX-4401 (Perkin Elmer Optoelectronics) с длительностью импульса несколько микросекунд, что позволяет исследовать кинетику люминесценции в субмиллисекундном диапазоне. Благодаря импульсному возбуждению в приборе реализован также режим измерения “спектров фосфоресценции”, когда люминесценция регистрируется с задержкой после возбуждающего импульса в течение заданного временного интервала, длительность которого может варьировать. Такой режим измерений, аналогичный методике измерения спектров с временным разрешением, позволяет увеличить относительную интенсивность более медленной компоненты по отношению к более быстрой компоненте в измеряемых спектрах люминесценции и возбуждения люминесценции.
Температурные зависимости спектров ФЛ синтезированных образцов исследовали на установке, в которой источником возбуждения служил светодиод с пиковой длиной волны излучения 260 нм и FWHM <10 нм. При этом спектры ФЛ анализировали с помощью светосильного монохроматора МДР-12, управляемого с персонального компьютера через контроллер КСП-3.3.001.0 (ОКБ “Спектр”). Детектирование ФЛ осуществлялось с помощью ФЭУ-106. Спектральное разрешение при таких измерениях спектров ФЛ составляло 0.5 нм. Температура образца могла изменяться в диапазоне от температуры жидкого азота (~80 K) до ~500°C. Для низкотемпературных измерений использовали малогабаритный азотный криостат проливного типа специальной конструкции. Температуру образца контролировали с помощью калиброванного платинового термосопротивления PT100Ω. Для проверки точности измерений температурные зависимости исследовали как при повышении, так и при понижении температуры.
Кинетику затухания люминесценции в наносекундном диапазоне изучали на установке, оснащенной системой коррелированного по времени счета одиночных фотонов (PicoQuant), включающей в себя субнаносекундный импульсный светодиод PLS 290 (длительность импульса 900 пс, пиковая длина волны 295 нм, FWHM <20 нм), управляемый контроллером PDL-800-B, детектор счета фотонов Hamamatsu PMA 182-N-M и компьютерную плату время-цифрового преобразователя TimeHarp 200 с PCI-интерфейсом. Длину волны детектируемой люминесценции выбирали с помощью интерференционных светофильтров. Максимальный временной диапазон, доступный для анализа кинетики люминесценции на данной установке, составляет ~300 нс.
Результаты и обсуждение
Изучение кристаллической структуры
На рис. 1 приведены рентгенограммы, полученные для синтезированных фторидов Na3CaMg3AlF14 и NaCaMg2F7. Как было показано нами в работе [11], в экспериментах по синтезу получена новая полиморфная модификация фторида Na3CaMg3AlF14 со структурой кубического пирохлора (пр. гр. Fdm, параметр кубической решетки a = 10.172 Å). Ранее была изучена модификация данного фторида с ромбоэдрической структурой (пр. гр. Rm), производной от решетки кубического пирохлора [12]. В структуре кубического фторида Na3CaMg3AlF14 ионы Na+ и Ca2+ находятся в окружении фторидных ионов, имеющем вид искаженного куба, а ионы Mg2+ и Al3+ создают октаэдрическое окружение. В данной структуре ионы Na+ и Ca2+ случайным образом распределены по узлам типа “A” аналогично структуре исследованного ранее кубического пирохлора NaCaMg2F7 [13], а ионы Mg2+ и Al3+ – по узлам типа “B” структуры пирохлора.
Рис. 1. Рентгенограммы синтезированных в настоящей работе фторидов Na3CaMg3AlF14 (a) и NaCaMg2F7 (б), звездочками отмечены отражения, принадлежащие примесной фазе; рентгенограмма кубического пирохлора NaCaMg2F7 (в), сгенерированная с помощью программы VESTA с использованием кристаллографических данных, приведенных в работе [13]. Рядом с пиками указаны индексы Миллера соответствующих плоскостей кристаллической решетки (hkl)
Рентгенограмма синтезированного нами фторида NaCaMg2F7 индицируется в кубической сингонии с параметром решетки a = 10.225 Å, близким к полученному в [13]. На рис. 1в приведена рентгенограмма данного соединения, сгенерированная с помощью программы VESTA [14], с использованием структурных параметров для кубического NaCaMg2F7, приведенных в работе [13]. Видно полное соответствие рентгенограмм на рис. 1б и 1в, хотя на рентгенограмме синтезированной нами керамики присутствуют слабые рефлексы, принадлежащие примесной фазе.
Таким образом, оба синтезированных фторида относятся к семейству соединений со структурой кубического пирохлора. Отметим, что химическую формулу фторида NaCaMg2F7 можно записать как Na2Ca2Mg4F14, т.е. в виде, более похожем на формулу фторида Na3CaMg3AlF14, и вполне очевидно, что структуры рентгенограмм этих двух фторидов идентичны, хотя отношение интенсивностей для рефлексов незначительно отличается.
Сравнивая ионные радиусы [15] Na+ (КЧ = 8), Ca2+ (КЧ = 8), Mg2+ (КЧ = 6) и Al3+ (КЧ = 6), равные 1.18, 1.12, 0.72 и 0.535 Å соответственно, с ионными радиусами Eu2+ (1.25 Å для КЧ = 8 и 1.17 Å для КЧ = 6) и Eu3+ (1.066 Å для КЧ = 8 и 0.947 Å для КЧ = 6), можно сделать вывод, что легирующие ионы Eu2+ и Eu3+ могут замещать в структуре фторидов Na3CaMg3AlF14 и NaCaMg2F7 только ионы Na+ и Ca2+. Однако при легировании ионами Eu3+ необходима зарядовая компенсация, механизм которой может быть различным, что потенциально может привести к образованию нескольких Eu3+-центров различного типа. При легировании данных соединений ионами Eu2+ отсутствуют структурные факторы, способные привести к образованию более чем одного типа Eu2+-центров, поскольку в структуре кубического пирохлора имеется только одна кристаллографическая позиция, общая для Na+ и Ca2+ (с КЧ = 8), на которую могут входить легирующие ионы Eu2+.
Исследование люминесцентных свойств
Межконфигурационные 4f 65d–4f 7-переходы в Eu2+. Ионы Eu2+ в синтезированных фторидных матрицах испускают люминесцентную полосу, обусловленную межконфигурационными излучательными переходами с нижайшего уровня конфигурации 4f 65d на основной уровень 8S7/2 конфигурации 4f 7 с максимумом полосы при 395 нм (рис. 2). Поскольку легирование ионами Eu2+ не требует зарядовой компенсации, ионы Eu2+ образуют в данных матрицах оптические центры преимущественно одного типа, что обеспечивает достаточно узкую ширину полосы 4f 65d–4f 7 (далее 5d–4f) люминесценции: 29 и 32 нм (при комнатной температуре) соответственно. Спектр возбуждения 5d–4f-люминесценции имеет порог, соответствующий краю 4f 7–4f 65d-переходов, который составляет ~400 нм для обоих образцов. Спектры ВФЛ характеризуются двумя широкими полосами, отделенными друг от друга некоторым интервалом, что обусловлено расщеплением состояния 5d-электрона в кубическом кристаллическом поле на два состояния: 5d (eg) (нижнее по энергии) и 5d (t2g). Аналогичная форма спектра возбуждения 5d–4f-люминесценции Eu2+ наблюдается и в других матрицах с кубической симметрией, в частности в CaF2:Eu2+(0.1%) [11], где показано, что спектр поглощения данного кристалла повторяет по форме спектр ВФЛ. Сложная структура полос возбуждения, соответствующих переходу 4f 7–4f 65d, возникает из-за дополнительного расщепления состояний возбужденной электронной конфигурации 4f 65d иона Eu2+ в результате электрон-электронного и спин-орбитального взаимодействия. Энергетическая ширина полос спектра ВФЛ приблизительно соответствует энергетическому диапазону расщепления на 7 подуровней 7FJ остовной 4f 6-конфигурации 4f 65d-состояний иона Eu2+ [16]. Вибронная структура в спектрах ВФЛ, измеренных при комнатной температуре, не проявляется. Отметим, что помимо 5d–4f-люминесценции ионы Eu2+ в синтезированных фторидных матрицах испускают слабое (при комнатной температуре) линейчатое свечение, которое рассмотрено ниже.
Рис. 2. Нормированные спектры ФЛ при возбуждении на длине волны 330 нм и спектры ВФЛ, регистрируемой на длине волны 420 нм, полученные при комнатной температуре для керамик Na3CaMg3AlF14:Eu2+ (1.0 ат. %) и NaCaMg2F7:Eu2+ (0.5 ат. %).
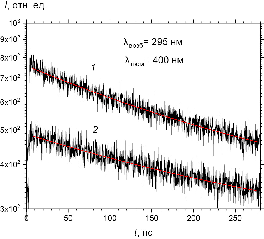
Экспериментальные кривые затухания 5d–4f-люминесценции ионов Eu2+, измеренные при комнатной температуре (рис. 3), хорошо моделируются одноэкспоненциальной функцией с временами затухания τ = 280 ± 8 и 315 ± 15 нс для Na3CaMg3AlF14:Eu2+ (1.0 ат. %) и NaCaMg2F7:Eu2+ (0.5 ат. %) соответственно. Величины времен затухания не изменяются при изменении детектируемой длины волны в районе максимума полосы люминесценции при использовании интерференционных светофильтров 400 или 420 нм.
Рис. 3. Кривые затухания люминесценции, детектируемой через интерференционные светофильтры 400 нм при возбуждении на длине волны 295 нм при комнатной температуре для Na3CaMg3AlF14:Eu2+ (1) и NaCaMg2F7:Eu2+ (2) соответственно. Линиями показаны результаты моделирования полученных кривых одноэкспоненциальной функцией с временами распада 280 и 315 нс соответственно
Термическая стабильность 5d–4f-люминесценции ионов Eu2+. Как и ожидалось, при повышении температуры наблюдается тушение 5d–4f-люминесценции ионов Eu2+ (рис. 4, 5) в результате ординарного механизма термостимулированных безызлучательных переходов через энергетический барьер (энергию активации) с излучающего уровня 4f 65d в основное состояние 8S7/2. При этом синтезированные керамики, легированные Eu2+, демонстрируют относительно высокую термическую стабильность люминесценции. Полученные температурные зависимости интенсивности 5d–4f-люминесценции Eu2+ в области Т > 295 K хорошо описываются стандартной формулой для термически стимулированного тушения через энергетический барьер Ea (красные кривые на рис. 5):
, (1)
где I0 – максимальная интенсивность люминесценции, параметр В характеризует скорость тушения, kB – постоянная Больцмана. Значения энергии активации Ea, полученные в результате моделирования этой функцией экспериментальных температурных зависимостей, составляют 0.38 и 0.63 мэВ для Na3CaMg3AlF14:Eu2+ и NaCaMg2F7:Eu2+ соответственно, а температуры термического тушения T1/2, т.е. температура, при которой интенсивность люминесценции уменьшается в 2 раза от максимальной величины, равны 504 и 543 K. Значения параметра В, полученные в результате моделирования, заметно меньше ожидаемой “теоретической” величины В = τ ω/2π ~ 5 × 106. Данный факт указывает на более сложный механизм температурного тушения, который может включать также тушение в результате ионизации 5d-электрона в зону проводимости.
Рис. 4. Спектры ФЛ для образцов Na3CaMg3AlF14:Eu2+ (1.0 ат. %) и NaCaMg2F7:Eu2+ (0.5 ат. %) при различных температурах. Возбуждение на длине волны λ = 260 нм. Уширенной зеленой линией выделены спектры, измеренные при комнатной температуре
Рис. 5. Температурные зависимости интегральной (в спектральном диапазоне 340–500 нм) интенсивности люминесценции образцов Na3CaMg3AlF14:Eu2+ (1.0 ат. %) и NaCaMg2F7:Eu2+ (0.5 ат. %). Возбуждение на длине волны λ = 260 нм. Линиями показаны смоделированные температурные зависимости, полученные с помощью формулы (1) при Т > 295 K и формулы (2) при Т < 295 K
Следует отметить, что при температуре ниже комнатной наблюдается некоторое увеличение интенсивности люминесценции с ростом температуры. Такое температурное поведение интегральной люминесценции связано с эффектом увеличения коэффициента поглощения излучения вследствие роста заселенности фононами колебательных уровней при повышении температуры (формула Бозе–Эйнштейна), что приводит к зависимости интенсивности люминесценции от температуры, описываемой выражением [17]:
(ћω/2kBT), (2)
где I0 – интенсивность при Т = 0, ω – “эффективная” (усредненная) частота колебаний решетки. Экспериментальные зависимости интенсивности люминесценции при Т < 295 K хорошо моделируются данной формулой (синие кривые на рис. 5) со значениями энергий фононов ћω, равными 584 (72 мэВ) и 556 см–1 (69 мэВ) для Na3CaMg3AlF14:Eu2+ и NaCaMg2F7:Eu2+ соответственно, что близко к предельной энергии оптических фононов, полученных в [13] для NaCaMg2F7. Сходные температурные зависимости интенсивности люминесценции Eu2+ наблюдаются для многих других люминофоров, легированных Eu2+ (см., например, обзор [18]).
Моделирование спектральной формы полосы 5d–4f-люминесценции ионов Eu2+. В экспериментальных спектрах 5d–4f-люминесценции ионов Eu2+ в синтезированных фторидах не удается идентифицировать бесфононную линию (БФЛ), т.е. в этих системах реализуется случай достаточно сильного электрон-фононного взаимодействия. Спектральное положение БФЛ можно оценить, исходя из общего свойства симметрии форм полос люминесценции и возбуждения люминесценции, а именно: по точке пересечения нормированных спектров ФЛ и ФВЛ, что дает 383.5 (3.233 эВ) и 383 нм (3.237 эВ) для Na3CaMg3AlF14:Eu2+ (1.0 ат. %) и NaCaMg2F7:Eu2+ (0.5 ат. %) соответственно. Удвоенная разность энергии между БФЛ и максимумом полосы люминесценции 4f 65d –4f 7 (8S7/2) дает величину стоксова сдвига (∆S) 0.188 (1520 см–1) и 0.189 мэВ (1523 см–1) соответственно. В случае сильного электрон-фононного взаимодействия выполняются соотношения [17]:
ΔS=(2S-1)·ћω , (3)
Г(0)≅2.36ћωS1/2, (4)
где S – параметр Хуанга–Риса, характеризующий силу электрон-фононного взаимодействия; ћω – “эффективная” энергия фононов, участвующих во взаимодействии; Γ(0) – FWHM для полосы люминесценции при нулевой температуре. Можно принять, что форма спектра ФЛ, измеренного при температуре жидкого азота, практически идентична форме спектра при нулевой температуре. Тогда, используя экспериментально полученные величины ∆S и Γ(0), с помощью этих двух формул можно найти значения S и ћω. Полученные таким образом значения S и ћω составляют 2.56 и 46 мэВ (371 см–1) для Na3CaMg3AlF14:Eu2+ и 2.67 и 44 мэВ (355 см–1) для NaCaMg2F7:Eu2+, т.е. действительно здесь реализуется случай достаточно сильного электрон-фононного взаимодействия, а “эффективная” энергия фононов близка к средней энергии в фононном спектре, исследованном в [13] для фторида NaCaMg2F7. Используя полученные параметры S и ћω, низкотемпературные спектры 5d–4f-люминесценции можно промоделировать стандартным выражением, включающим БФЛ и вибронные полосы [17]:
(E0-nћω-E). (5)
Как видно из рис. 6, спектр ФЛ для Na3CaMg3AlF14:Eu2+ удовлетворительно моделируется данной функцией при использовании параметров S и ћω, полученных из формул (3) и (4). Однако в спектре ФЛ для NaCaMg2F7:Eu2+ достаточно хорошее соответствие с моделирующей функцией (5) наблюдается только для высокоэнергетической части спектра. Отметим, что лучшее совпадение расчетных и экспериментальных спектров получено при немного уменьшенных значениях ћω, как указано на рис. 6, и при некотором сдвиге положения БФЛ, что вполне ожидаемо с учетом принятых приближений. Таким образом, низкоэнергетическая часть спектра ФЛ для NaCaMg2F7:Eu2+ не вписывается в данную модель. Это может означать, что в синтезированных керамиках присутствует некоторая доля Eu2+-центров другого типа, у которых энергия нижнего 4f 65d-состояния меньше, т.е. расщепление кристаллическим полем состояний конфигурации 4f 65d больше, чем у основных Eu2+-центров. Большее расщепление кристаллическим полем может быть связано с наличием около некоторых ионов Eu2+ каких-то дефектов или примесей, искажающих симметрию окружения ионами фтора этих ионов Eu2+. Следует отметить, что данные рассуждения могут частично относиться и к низкоэнергетической части спектра ФЛ для Na3CaMg3AlF14:Eu2+.
Рис. 6. Моделирование с помощью формулы (5) спектров 4f 65d–4f 7- люминесценции ионов Eu2+ в Na3CaMg3AlF14:Eu2+ (1.0 ат. %) и NaCaMg2F7:Eu2+ (0.5 ат. %), полученных при температуре жидкого азота и возбуждении на длине волны 260 нм. Экспериментальные спектры I(λ) преобразованы в масштаб “на единицу энергии фотонов” по формуле I(E) = I(λ) λ2, а затем нормированы
Внутриконфигурационные 4f 7–4f 7-переходы в Eu2+. Как указано выше, помимо 5d–4f-люминесценции ионов Eu2+ в синтезированных фторидных матрицах наблюдается слабое (при комнатной температуре) свечение около 362 нм, обусловленное внутриконфигурационными переходами 4f 7–4f 7 (далее 4f–4f) в Eu2+ из нижайшего возбужденного состояния 6P7/2 в основное состояние 8S7/2, причем энергия уровня 6P7/2 превышает энергию нижайшего 4f 65d-состояния. При комнатной температуре данную люминесценцию удается надежно идентифицировать только при использовании режима измерения “спектров фосфоресценции”, особенно для Na3CaMg3AlF14:Eu2+ (рис. 7). При повышении температуры 4f–4f-люминесценция тушится быстрее, чем 5d–4f-люминесценция (рис. 4).
Рис. 7. Спектры ФЛ, измеренные при комнатной температуре в стандартном режиме (красные кривые) и в режиме фосфоресценции (зеленые кривые), при возбуждении на длине волны 260 нм для Na3CaMg3AlF14:Eu2+ (1.0 ат. %) и NaCaMg2F7:Eu2+ (0.5 ат. %). Спектры ВФЛ для 5d–4f-люминесценции (регистрация на длине волны 420 нм, стандартный режим, синие кривые) и для 4f–4f-люминесценции (регистрация на длине волны 362 нм, режим фосфоресценции, черные кривые) ионов Eu2+ в этих керамиках
Спектральные свойства 4f–4f-люминесценции ионов Eu2+ очень похожи для двух матриц, но интенсивность больше для матрицы NaCaMg2F7. Поэтому детали этой люминесценции рассмотрены более подробно для данной матрицы (рис. 8). В спектре этой люминесценции в дополнение к основной полосе при 361.8 нм, отнесенной к БФЛ на переходе 6P7/2–8S7/2, можно идентифицировать две стоксовы вибронные линии, отстоящие от БФЛ на 38 (310 см–1) и 64 мэВ (520 см–1), что соответствует характерным энергиям фононов в данной матрице [13]. Кроме того, при не очень низкой температуре в спектре наблюдается слабая линия при 356 нм, за которую отвечает переход не из нижайшего возбужденного состояния 6P7/2 конфигурации 4f 7 иона Eu2+, а переход 6P5/2–8S7/2. Определенное из спектров энергетическое расстояние между уровнями 6P5/2 и 6P7/2 составляет ~450 см–1 (~56 мэВ), что согласуется с литературными данными (например, [19, 20]).
Рис. 8. Спектр 4f–4f-люминесценции ионов Eu2+, измеренный при различных температурах ниже 295 K для NaCaMg2F7:Eu2+ (0.5 ат. %) при возбуждении на длине волны 260 нм
4f–4f-Люминесценция не наблюдается при возбуждении в низкоэнергетические 4f 65d-состояния иона Eu2+, т.е. этот тип люминесценции имеет более высокоэнергетический порог возбуждения, чем 5d–4f-люминесценция, а именно: ~330 и ~345 нм для Na3CaMg3AlF14:Eu2+ (1.0 ат. %) и NaCaMg2F7:Eu2+ (0.5 ат. %) соответственно (рис. 7). В [11] нами предложена модель, объясняющая наблюдаемый эффект возбуждением в более высокоэнергетические низкоспиновые (S = 5/2) 4f 65d(2)-состояния иона Eu2+ с последующей релаксацией на уровень 4f 7 (6P7/2), имеющий такое же значение спина (S = 5/2), с учетом правил отбора по спину для безызлучательных переходов и наличия энергетического барьера для безызлучательного перехода с уровня 6P7/2 на нижележащий уровень 4f 65d(1) иона Eu2+. При повышении температуры выше комнатной узкополосная 4f 7–4f 7-люминесценция достаточно быстро тушится из-за термостимулированных безызлучательных переходов через энергетический барьер из состояния 6P7/2 в более низкоэнергетическое состояние 4f 65d(1), излучательный распад которого дает 5d–4f-люминесценцию. Отметим, что равенство спинов основного 4f 7-состояния и нижайшего по энергии (высокоспинового) 4f 65d-состояния иона Eu2+ отличается от ситуации, которая реализуется для таких состояний в РЗИ из второй половины лантаноидной серии, т.е. для РЗИ с более чем наполовину заполненной 4f n-оболочкой (n > 7). Для таких РЗИ спин основного 4f n-состояния меньше, чем спин нижайшего по энергии (высокоспинового) 4f n–15d-состояния, т.е. на краю 4f n–4f n–15d-поглощения наблюдаются запрещенные по спину переходы, которые, в частности, приводят к появлению в некоторых РЗИ, например Er3+, Tm3+ и Lu3+ [21, 22], запрещенной по спину относительно медленной 4f n–15d –4f n-люминесценции. Однако при возбуждении в более высокоэнергетические низкоспиновые 4f n–15d-состояния, т.е. в состояния с такой же величиной спина, как и в основном 4f n-состоянии, может наблюдаться разрешенная по спину быстрая и более высокоэнергетическая 4f n–15d–4f n-люминесценция.
Наблюдаемая относительно низкая интенсивность 4f–4f-люминесценции от ионов Eu2+ на переходе 6P7/2–8S7/2 может быть обусловлена тем фактом, что коэффициент поглощения на запрещенных по спину переходах 8S7/2–4f 65d (S = 5/2) намного меньше, чем на разрешенных по спину переходах 8S7/2–4f 65d (S = 7/2), и в случае, если данные переходы накладываются друг на друга по энергии, возбуждающие фотоны будут поглощаться в основном на разрешенных по спину переходах. Однако в данных фторидных матрицах спектральная область предполагаемых запрещенных по спину переходов в ионах Eu2+, находящихся в кубическом кристаллическом поле, попадает как раз в область между основными полосами разрешенных по спину переходов, что потенциально увеличивает эффективность поглощения на запрещенных по спину переходах и обеспечивает достаточно высокую для регистрации интенсивность люминесценции на переходе 6P7/2–8S7/2.
Альтернативным механизмом для появления данной люминесценции с более высокой энергией перехода 6P7/2–8S7/2, чем энергия излучательного перехода с нижайшего уровня 4f 65d (S = 7/2) Eu2+ на основной уровень 8S7/2, может быть существование в данной матрице другого Eu2+-центра, у которого энергия нижайшего состояния 4f 65d (S = 7/2) выше, чем энергия состояния 6P7/2. Именно при таком соотношении энергий этих состояний при возбуждении на 4f 65d-уровни в результате безызлучательной релаксации на уровень 6P7/2 будет наблюдаться люминесценции на переходе 6P7/2–8S7/2. В частности, такая ситуация реализуется во фторидах LiBaF3 [19] и KMgF3 [20], легированных ионами Eu2+. Однако в этих фторидах со структурой перовскита ионы Eu2+ подвержены действию достаточно слабого кристаллического поля. Это связано с тем, что в LiBaF3 и KMgF3 ионы Eu2+ замещают ионы Ba2+ и K+, которые, во-первых, имеют высокое координационное число (КЧ = 12) и, во-вторых, обладают бóльшим ионным радиусом (1.64 и 1.60 Å соответственно [15]) по сравнению с ионом Eu2+ (1.35 Å), т.е. имеют большое расстояние до ближайших ионов фтора. Как результат, имеется слабое расщепление 4f 65d-уровней кристаллическим полем, что обусловливает достаточно высокую величину энергии нижайшего 4f 65d-уровня иона Eu2+. В исследуемых фторидах со структурой пирохлора регулярные легирующие ионы Eu2+ занимают позицию “A” в структуре кубического пирохлора, т.е. имеют КЧ = 8, и подвергаются действию достаточно сильного кристаллического поля, что приводит к меньшей энергии нижайшего 4f 65d-уровня, чем энергия уровня 6P7/2, и доминирующей 4f 65d–8S7/2-люминесценции. Вообще говоря, в структуре кубического пирохлора нет катионных позиций со слабым кристаллическим полем. Кроме того, при таком расположении уровней энергии для 4f 65d-состояний в Eu2+, как в KMgF3 и LiBaF3, при достаточно высокой температуре начинает термически заселяться вышележащий уровень 4f 65d. Это должно приводить к появлению более коротковолновой люминесценции, обусловленной переходом 4f 65d–8S7/2, что не наблюдается в экспериментальных спектрах исследованных фторидов.
Валентные состояния Eu2+ и Eu3+ в Na3CaMg3AlF14 и NaCaMg2F7. После отжига образцов Na3CaMg3AlF14 и NaCaMg2F7, содержащих только двухвалентные ионы европия, в атмосфере аргона с добавлением NaHF2 вместо NH4(HF2) в спектрах ФЛ этих керамик в дополнение к полосе с максимумом около 395 нм, характерной для спектра ионов Eu2+, наблюдается также линейчатая люминесценция в красной области спектра (рис. 9, 10), обусловленная внутриконфигурационными переходами 4f 6–4f 6 в ионах Eu3+, а именно переходами 5D0 → 7FJ (в рассматриваемой спектральной области J = 0, 1, 2, 3). Поскольку наиболее интенсивная ФЛ получена для ионов Eu3+ в керамике Na3CaMg3AlF14, детали этой 4f 6–4f 6-люминесценции рассмотрены подробно только для данного люминофора. Как видно из рисунков, наибольшая интенсивность наблюдается для линий, соответствующих так называемым сверхчувствительным переходам на штарковские подуровни состояния 7F2, причем наблюдаются три интенсивные линии с наиболее интенсивной линией при 617 нм. В области ~590 нм имеются существенно менее интенсивные линии, обусловленные переходом 5D0 → 7F1. Слабые линии в области 650–655 нм соответствуют переходам 5D0 → 7F3. Также наблюдается весьма слабая линия запрещенного перехода 5D0 → 7F0 при 576 нм. При длине волны ~536 нм в спектре видны слабые линии, обусловленные переходами с уровня 5D1 на уровень 7F1 иона Eu3+. Не исключено, что в спектральной области переходов 5D0 → 7F1,2 некоторые слабые линии также обусловлены переходами с уровня 5D1 на уровни 7FJ (J = 3, 4). Спектр ВФЛ для Eu3+ представляет собой широкую полосу с порогом при ~300 нм (рис. 9).
Рис. 9. Спектр ФЛ ионов европия во фториде Na3CaMg3AlF14 после отжига в атмосфере аргона при возбуждении на длине волны 260 нм. Спектры ВФЛ ионов Eu2+ (регистрация на длине волны 420 нм) и Eu3+ (регистрация на длине волны 617 нм) для данной керамики
Рис. 10. Температурные зависимости спектра люминесценции и (на вставке) интенсивности ФЛ, проинтегрированной в диапазоне 560–660 нм, ионов Eu3+ в керамике Na3CaMg3AlF14 после отжига в атмосфере аргона. Возбуждение на длине волны 260 нм. Линия на вставке – аппроксимация простым полиномом температурной зависимости интенсивности ФЛ
Как было указано выше, ионы Eu3+ могут входить в решетку синтезированных соединений на позиции “A” (КЧ = 8) в структуре кубического пирохлора, следовательно, требуется некоторый механизм зарядовой компенсации. Если кристалл (или керамика) получен в присутствии кислорода, компенсация избыточного заряда может осуществляться путем замещения иона Fˉ ионом О2ˉ в ближайшем окружении иона Eu3+, что приводит к образованию локальной структуры тригональной симметрии (C3V) вместо кубической симметрии (Oh).
Для перехода 5D0 → 7F2 максимальное число штарковских линий может достигать 5 при низкосимметричном окружении ионов Eu3+. В полученном спектре наблюдаются только три штарковские линии для этого перехода, что как раз соответствует тригональной симметрии C3V [17]. Тем не менее следует отметить, что потенциально возможна реализация и других схем зарядовой компенсации как в анионной подсистеме, например при внедрении междоузельного иона Fˉ, так и в катионной подсистеме, например при введении катиона-компенсатора с меньшим зарядом. Существование других типов Eu3+-центров может проявляться в наличии в спектрах (слабых) линий люминесценции Eu3+, не характерных для тригональных Eu3+-центров.
При схеме зарядовой компенсации путем замещения иона Fˉ ионом О2ˉ могут образовываться комплексы с переносом заряда О2ˉ → Eu3+, проявляющиеся в спектрах ВФЛ ионов Eu3+ в виде широких полос в УФ-области. Создание состояний с переносом заряда приводит к появлению люминесценции Eu3+, так как в результате безызлучательной релаксации из состояния с переносом заряда энергия передается на нижележащие возбужденные 4f-уровни иона Eu3+. Возможны также переходы с переносом заряда от ионов фтора F– → Eu3+, но эти переходы лежат в более высокоэнергетической области ~7.8 эВ (~159 нм) [23], чем получено в эксперименте. Также в люминофорах, содержащих примесные ионы в разном зарядовом состоянии, возможны переходы с переносом заряда между этими ионами (так называемые “межвалентные переходы с переносом заряда”). В частности, в люминофорах, легированных ионами европия, возможны переходы Eu2+ 4f → Eu3+ 4f с переносом электрона [24]. Однако, как показано в [24], фотопоглощение с созданием такого состояния с переносом заряда не сопровождается какой-либо последующей люминесценцией, потому что это состояние очень быстро безызлучательно распадается в результате многофононной релаксации. Кроме того, очевидно, что для наблюдения таких межвалентных переходов с переносом заряда необходимы достаточно высокие концентрации легирующих ионов.
Таким образом, красная люминесценция ионов Eu3+ эффективно возбуждается только в области далекого УФ, а полосу возбуждения красной люминесценции с порогом при ~300 нм следует приписать переходам с переносом заряда О2ˉ → Eu3+. При этом наблюдается сильное температурное тушение люминесценции Eu3+ (рис. 10), что не характерно для данного иона, а именно: механизм тушения люминесценции 5D0 → 7FJ для Eu3+ в результате многофононной релаксации с уровня 5D0 на ближайшее более низкое состояние 7F6 практически не работает даже при высокой температуре, поскольку для этого нужно преодолеть большой энергетический зазор в 1.55 эВ. Наблюдаемое температурное тушение этой люминесценции связано с тем, что состояние с переносом заряда температурно нестабильно, и при повышении температуры растет вероятность его безызлучательного распада.
Заключение
Методом высокотемпературных твердофазных реакций синтезированы керамические образцы двух многокомпонентных фторидных соединений Na3CaMg3AlF14 и NaCaMg2F7 со структурой кубического пирохлора A2B2X7 (пр. гр. Fdm, параметры кубической решетки 10.172 и 10.225 Å соответственно), активированных ионами европия. Сравнение рентгенограмм полученных фторидов показало их почти полную идентичность, что подтвердило получение новой полиморфной модификации со структурой кубического пирохлора для фторида Na3CaMg3AlF14, отличной от описанной в литературе данной стехиометрии с ромбоэдрической структурой.
Ионы Eu2+ в исследованных фторидных матрицах испускают люминесценцию, обусловленную межконфигурационными излучательными переходами 4f 65d–4f 7. Поскольку легирование ионами Eu2+ не требует зарядовой компенсации, ионы Eu2+ образуют в данных матрицах оптические центры преимущественно одного типа, что обеспечивает достаточно узкую ширину полосы 4f 65d–4f 7-люминесценции с FWHM ~30 нм. Помимо 4f 65d–4f 7-люминесценции ионы Eu2+ в синтезированных фторидных матрицах испускают и линейчатое свечение, связанное с внутриконфигурационными переходами 4f 7–4f 7 из нижайшего возбужденного состояния 6P7/2 в основное состояние 8S7/2. Однако этот тип люминесценции не наблюдается при возбуждении в низкоэнергетические (высокоспиновые, 2S + 1 = 8) 4f 65d-состояния иона Eu2+, т.е. имеет более высокоэнергетический порог возбуждения, чем 4f 65d–4f 7-люминесценция. Предложенная модель объясняет наблюдаемый эффект возбуждением в более высокоэнергетические низкоспиновые (2S + 1 = 6) 4f 65d-состояния иона Eu2+ с последующим преимущественным заселением состояния 6P7/2 при учете правил отбора по спину для безызлучательных переходов.
Синтезированные многокомпонентные фториды, легированные Eu2+, демонстрируют хорошую термическую стабильность люминесценции, обусловленной 4f 65d–4f 7-переходами в ионах Eu2+. В частности, температура термического тушения T1/2 люминесценции Na3CaMg3AlF14:Eu2+ (1.0 ат. %) и NaCaMg2F7:Eu2+ (0.5 ат. %) составляет 504 и 543 K соответственно, что может представлять интерес для практического применения люминофоров данного типа в светодиодных источниках света.
Отжиг керамик, содержащих двухвалентные ионы европия, в атмосфере аргона приводит к частичной конверсии двухвалентного состояния в трехвалентное состояние ионов европия. Такие керамики испускают как 4f 65d–4f 7-люминесценцию ионов Eu2+, так и линейчатую люминесценцию в красной области спектра, обусловленную переходами 4f 7–4f 7 (5D0 → 7FJ) в ионах Eu3+. Однако оба типа люминесценции одновременно эффективно возбуждаются только в области далекого УФ (λ < 300 нм), где спектрально перекрываются полоса с переносом заряда О2ˉ → Eu3+, дающая красную люминесценции Eu3+, и высокоэнергетическая полоса 4f 7 –4f 65d-поглощения ионов Eu2+.
Благодарность
Исследования проводили с использованием оборудования ЦКП ФМИ ИОНХ РАН и ФИАН.
Финансирование работы
Работа выполнена при поддержке Министерства науки и высшего образования Российской Федерации в рамках государственных заданий Института общей и неорганической химии им. Н.С. Курнакова и Физического института им. П.Н. Лебедева.
Конфликт интересов
Авторы заявляют, что у них нет конфликта интересов.
Об авторах
Н. М. Хайдуков
Институт общей и неорганической химии им. Н.С. Курнакова РАН
Автор, ответственный за переписку.
Email: mbrekh@igic.ras.ru
Россия, 119991, Москва, Ленинский пр-т, 31
М. Н. Бреховских
Институт общей и неорганической химии им. Н.С. Курнакова РАН
Email: mbrekh@igic.ras.ru
Россия, 119991, Москва, Ленинский пр-т, 31
Н. Ю. Кирикова
Физический институт им. П.Н. Лебедева РАН
Email: mbrekh@igic.ras.ru
Россия, 119991, Москва, Ленинский пр-т, 53
В. А. Кондратюк
Физический институт им. П.Н. Лебедева РАН
Email: mbrekh@igic.ras.ru
Россия, 119991, Москва, Ленинский пр-т, 53
В. Н. Махов
Физический институт им. П.Н. Лебедева РАН
Email: mbrekh@igic.ras.ru
Россия, 119991, Москва, Ленинский пр-т, 53
Список литературы
- Fang M.-H., Leaño Jr.J.L., Liu R.-S. // ACS Energy Lett. 2018. V. 3. № 10. P. 2573. https://doi.org/10.1021/acsenergylett.8b01408
- Hariyani S., Sójka M., Setlur A., Brgoch J. // Nat. Rev. Mater. 2023. V. 8. № 11. P. 759. https://doi.org/10.1038/s41578-023-00605-6
- Liao H., Zhao M., Molokeev M.S. et al. // Angew. Chem. Int. Ed. 2018. V. 57. № 36. P. 11728. https://doi.org/10.1002/anie.201807087
- Liu R.S. // Chem. Mater. 2023. V. 35. № 16. P. 6179. https://doi.org/10.1021/acs.chemmater.3c01743
- Subramanian M.A., Aravamudan G., Subba Rao G.V. // Prog. Solid State Chem. 1983. V. 15. № 2. P. 55. https://doi.org/10.1016/0079-6786(83)90001-8
- Holliday K., Finkeldei S., Neumeier S. et al. // J. Nucl. Mater. 2013. V. 433. № 1–3. P. 479. https://dx.doi.org/10.1016/j.jnucmat.2012.10.028
- Garcia M.A.P., Gupta S.K., Mao Y. // J. Mol. Struct. 2020. V. 1220. P. 128688. https://doi.org/10.1016/j.molstruc.2020.128688
- Gupta S.K., Nigam S., Zuniga J.P., Mao Y. // Mater. Today Chem. 2022. V. 24. P. 100931. https://doi.org/10.1016/j.mtchem.2022.100931
- Berwal U., Singh V., Sharma R. // J. Lumin. 2023. V. 257. P. 119687. https://doi.org/10.1016/j.jlumin.2023.119687
- Sidey V. // Z. Kristallogr. 2017. V. 232. № 10. P. 729. https://doi.org/10.1515/zkri-2017-2057
- Khaidukov N.M., Brekhovskikh M.N., Kirikova N.Yu. et al. // J. Lumin. 2024. V. 272. P. 120646. https://doi.org/10.1016/j.jlumin.2024.120646
- Mumme W.G., Gray I.E., Birch W.D. et al. // Am. Mineral. 2010. V. 95. № 5-6. P. 736.
- Oliveira E.A., Guedes I., Ayala A.P. et al. // J. Solid State Chem. 2004. V. 177. № 8. P. 2943. https://doi.org/10.1016/j.jssc.2004.04.055
- Momma K., Izumi F. // J. Appl. Crystallogr. 2011. V. 44. № 6. P. 1272. https://doi.org/10.1107/S0021889811038970
- Shannon R.D. // Acta Crystallogr., Sect. A. 1976. V. 32. № 5. P. 751. https://doi.org/10.1107/S0567739476001551
- Ryan F.M., Lehmann W., Feldman D.W., Murphy J. // J. Electrochem. Soc. 1974. V. 121. № 11. P. 1475. https://doi.org/10.1149/1.2401714
- Henderson B., Imbusch G.F. Optical Spectroscopy of Inorganic Solids. Oxford: Clarendon Press, 1989.
- Adachi S. // ECS J. Solid State Sci. Technol. 2023. V. 12. № 1. P. 016002. https://doi.org/10.1149/2162-8777/acaeb9
- Meijerink A. // J. Lumin. 1993. V. 55. № 3. P. 125. https://doi.org/10.1016/0022-2313(93)90033-J
- Ellens A., Meijerink A., Blasse G. // J. Lumin. 1994. V. 59. № 5. P. 293. https://doi.org/10.1016/0022-2313(94)90056-6
- Wegh R.T., Meijerink A. // Phys. Rev. B. 1999. V. 60. № 15. P. 10820. https://doi.org/10.1103/PhysRevB.60.10820
- Kirm M., Stryganyuk G., Vielhauer S. et al. // Phys. Rev. B. 2007. V. 75. № 7. P. 075111. https://doi.org/10.1103/PhysRevB.75.075111
- Belsky A.N., Krupa J.C. // Displays. 1999. V. 19. № 4. P. 185. https://doi.org/10.1016/S0141-9382(98)00049-3
- Joos J.J., Seijo L., Barandiarán Z. // J. Phys. Chem. Lett. 2019 V. 10. № 7. P. 1581. https://doi.org/10.1021/acs.jpclett.9b00342
Дополнительные файлы













