О взаимодействии комплексов золота(III) с метионином
- Авторы: Харламова В.Ю.1, Миронов И.В.1
-
Учреждения:
- Институт неорганической химии им. А.В. Николаева СО РАН
- Выпуск: Том 69, № 10 (2024)
- Страницы: 1459-1465
- Раздел: ФИЗИКОХИМИЯ РАСТВОРОВ
- URL: https://journal-vniispk.ru/0044-457X/article/view/281879
- DOI: https://doi.org/10.31857/S0044457X24100125
- EDN: https://elibrary.ru/JIBHLE
- ID: 281879
Цитировать
Полный текст
Аннотация
Изучено взаимодействие комплексов золота(III) AuCl4–, Au(bipy)Cl2+, Au(en)23+ и Au(C9H19N4)2+ с метионином (HMet) в водном растворе (pH 2.0 и 7.4; I = 0.2 M (NaCl), CAu = (5–10) × 10–5 моль/л, CHMet < (6–50) × 10–5 моль/л) при 25°С. Метионин восстанавливает золото(III) до золота(I), однако процессы протекают гораздо медленнее (в сотни раз), чем под действием тиолов. По мере увеличения дентатности лигандов в комплексе золота(III) скорость реакций с HMet сильно падает.
Ключевые слова
Полный текст
ВВЕДЕНИЕ
Золото является фармацевтически важным металлом. В течение последних десятилетий комплексы золота широко изучались как противоартритные и противоопухолевые средства [1–6]. Поскольку комплексы золота(III) являются изоэлектронными с комплексами платины(II), они были проверены на противораковую активность in vitro и продемонстрировали значительные цитотоксические эффекты. Возможное применение комплексов золота(III) для лечения рака вызвало интерес к взаимодействию золота(III) с различными биологически важными лигандами, такими как аминокислоты и пептиды [7]. В наших предыдущих работах [8, 9] было показано, что взаимодействие комплексов золота(III) с биологически активными тиолами приводит к быстрому восстановлению золота(III) до золота(I) с образованием высокоустойчивых тиолатных комплексов. Однако помимо тиолов в организме присутствуют и другие компоненты, способные восстанавливать золото(III). В первую очередь это относится к метионину и его производным.
Метионин (HMet) представляет собой аминокислоту, содержащую тиоэфирную группу. Он входит в состав большинства белков и ферментов в организме человека и является вероятной мишенью для ионов металлов in vivo. Поэтому изучение взаимодействия HMet с комплексами золота актуально с точки зрения бионеорганической химии.
Цель настоящей работы – исследование взаимодействия между комплексами золота(III) и метионином. Выбор комплексов обусловлен их использованием в биологических исследованиях.
ЭКСПЕРИМЕНТАЛЬНАЯ ЧАСТЬ
Исходный раствор HAuCl4 готовили растворением металлического золота (99.9%) в царской водке с последующим многократным упариванием с соляной кислотой, а затем с водой. Кроме того, в работе использовали соляную кислоту (фиксанал), фосфатный буфер с pH 6.86 (фиксанал); L-метионин (HMet, ПанЭко, Россия, >98%); L-глутатион восстановленный (GSH, АО “Вектон”, Россия, >98%); этилендиамин (en), 2,2ʹ-бипиридил (bipy, Reanal, Венгрия, ч. д. а.); раствор NaOH (без CO2), бидистиллированную воду. Концентрацию HAuCl4 устанавливали по УФ-поглощению раствора (ε = 5600 M–1 см–1 при 314 нм, среда – 0.1 M HCl).
Растворы метионина и глутатиона готовили непосредственно перед экспериментами из сухих реактивов. Исходный фосфатный буфер (рН 6.86) доводили до рН 7.4 добавлением щелочи; рН 2.0 создавали при помощи HCl.
Комплекс с бипиридилом Au(bipy)Cl2+ получали в растворе согласно [10]. Комплекс Au(bipy)(OH)2+ в растворе получали из Au(bipy)Cl2+ замещением 2Cl– на 2OH– после выдерживания в среде фосфатного буфера с pH 7.4 не менее 1 ч. Комплекс золота(III) с этилендиамином [Au(en)2]Cl3 получали аналогично [11]. Комплекс золота(III) [Au(C9H19N4)](ClO4)2 (N,Nʹ-бис-(2-аминоэтил)-2,4-пентандииминатозолота(III) бис-перхлорат) получали согласно [12].
Спектры поглощения записывали на спектрофотометре СФ-2000 (ОКБ “Спектр”) в диапазоне длин волн 220–400 нм, l = 1 см.
К раствору, содержащему комплекс золота(III), 0.2 M NaCl, а также буфер (0.01 M) или HCl (0.01 M), добавляли рассчитанный объем метионина, быстро перемешивали и начинали сканирование спектров через определенные промежутки времени. Мертвое время составляло 5–10 с. В большинстве случаев CAu = 1.0 × 10–4 моль/л, соотношение CRS/CAu = 0.6–5.0. Для предотвращения быстрого спонтанного диспропорционирования:
помимо добавки NaCl (0.2 M) мы не использовали CAu > 10–3 моль/л, pH < 2. В этих условиях появление следов золота(0) не наблюдалось в течение 6 ч.
РЕЗУЛЬТАТЫ И ОБСУЖДЕНИЕ
Нейтральный L-метионин (HMet) существует в водном растворе в виде цвиттер-иона –OOC–CH(NH3+)–(CH2)2–S–CH3 с протонированной аминогруппой и депротонированной –COO–-группой. Константа протонирования аминогруппы (Met– + H+ = HMet0) равна lgKH = 9.00 (I = 0.2 M (NaCl)) [13]. Константа протонирования –COO–-группы мала и может иметь значение только в сильнокислой области. Для равновесий замещения Cl– на Met– в комплексе золота(I)
(1)
величины констант равны: lgβ1 = 3.8, lgβ2 = 5.4 [13], т.е. комплексы золота(I) с Met– гораздо менее устойчивы по сравнению с тиолатными комплексами [14]. Способ координации метионина к золоту(I) (через амино- или тиоэфирную группу –S–) достоверно неизвестен. В работе [15] на основании данных ЯМР авторы полагают, что метионин координирован к золоту(I) через атом серы. Однако из данных работы [13] следует, что более вероятна координация через атом азота аминогруппы.
Имеющиеся в литературе данные [15–19] по взаимодействию комплексов золота(III) с метионином и его дипептидами относятся к AuCl4– и AuenCl2+. В работах [16–18] показано, что редокс-процесс включает две стадии: быстрое замещение одного хлорида на один остаток метионина и дальнейшее внутрисферное окисление метионина с одновременным восстановлением золота(III) до золота(I). Скорость восстановления имеет общий второй порядок, т.е. наблюдается полная аналогия с процессами взаимодействия AuCl4– с органическими сульфидами [20, 21]. Кинетика процессов сильно зависит от вида комплексов. Так, для AuenCl2+ скорость в 200 раз ниже, чем для AuCl4– в таких же условиях (pH 2) [18]. Во всех указанных работах отмечено диспропорционирование золота(I), ведущее к выделению Au0, что обусловлено низкой устойчивостью образующегося в результате восстановления комплекса золота(I) с метионином. С цианидным комплексом золота(III) Au(CN)4– метионин вообще не взаимодействует [22].
Метионин обычно окисляется до сульфоксида –OOC–CH(NH3+)–(CH2)2–S(O)–CH3 [18, 19, 23]. Взаимное превращение остатков HMet и его сульфоксида (MetO) в белках играет значительную роль в различных биологических процессах: защите от окислительного стресса, регуляции активности, деградации белков и развитии ряда заболеваний [24].
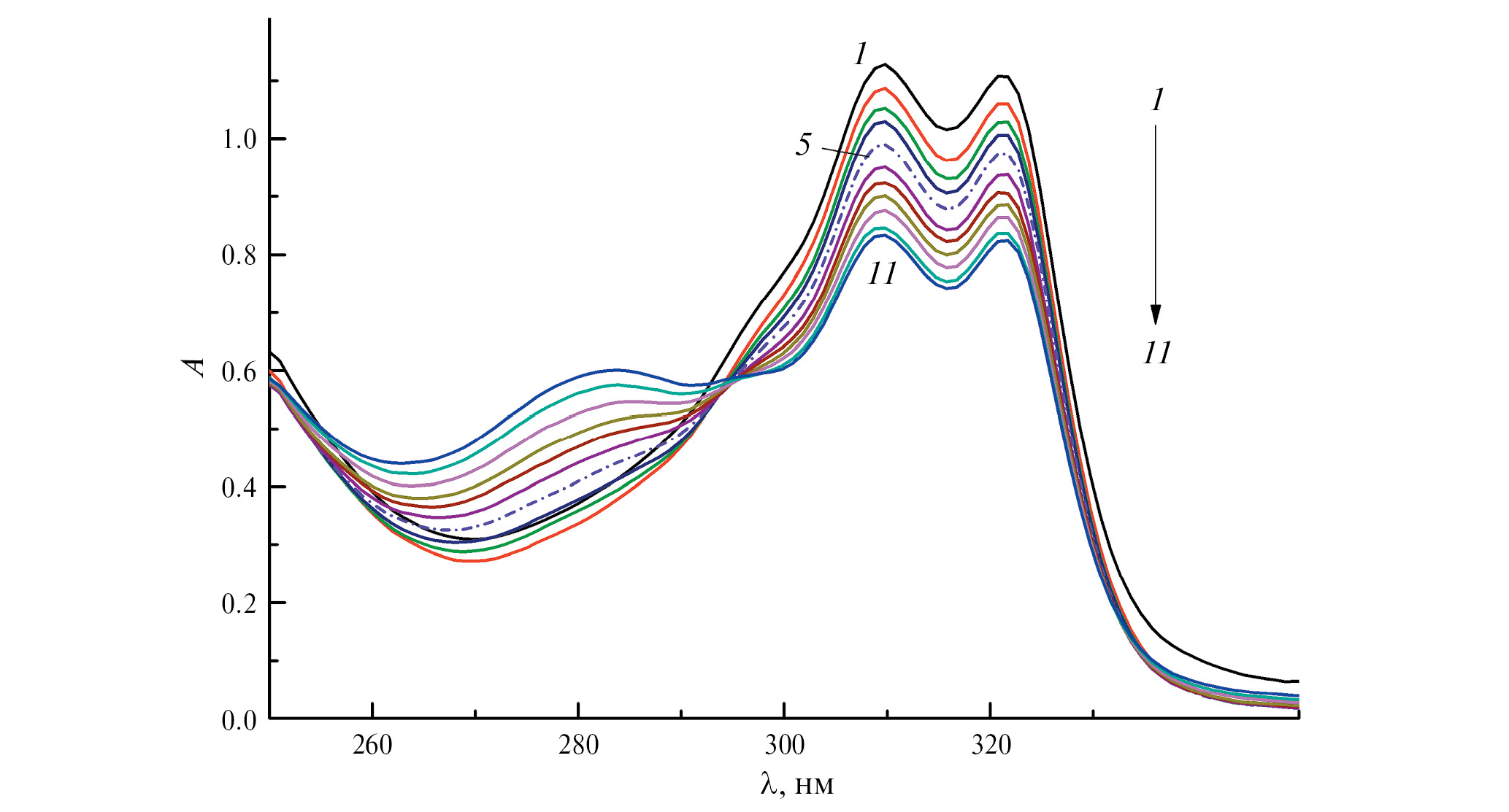
Взаимодействие AuCl4– с HMet. На рис. 1 показано изменение спектра AuCl4– во времени при добавлении метионина (pH 2) для двух соотношений CMet/CAu.
Рис. 1. Изменение во времени УФ-спектра раствора при взаимодействии AuCl4– с метионином (CAu = 1.0 × 10–4 моль/л, pH 2, l = 1 см): а – CHMet = 6.0 × 10–5 моль/л, время после смешения τ = 6 c (1), 30 с (2), 1 мин (3), 1 мин 30 с (4), 2–30 мин (5); б – CHMet = 5.0 × 10–4 моль/л, время после смешения τ = 8 c (1), 30 с (2), 1 мин (3).
Изменение УФ-спектра на начальном этапе по сравнению со спектром AuCl4– вызвано быстрым замещением Cl– на HMet. При росте соотношения CHMet/CAu оно становится более резким. Изменения спектра во времени при CHMet/CAu = 0.6 качественно совпадают c данными работ [15, 17]. Несмотря на довольно быстрое в данном случае протекание редокс-процесса, в аналогичных условиях реакции с тиолатами [8] заканчиваются намного быстрее (за секунды).
Отметим, что при СHMet/CAu = 0.6 уже через 2.5–3 мин процесс практически прекращается. УФ-спектр раствора точно соответствует спектру AuCl4– в количестве 40 % от исходной концентрации CAu (A = 0.22 при λ = 314 нм, ε = 5600 М–1 см–1), т.е. несмотря на высокий редокс-потенциал золота(III) (AuCl4– + 2ē = AuCl2– + 2Cl–, E0 = 0.93 В), метионин отдает только два электрона и окисляется до сульфоксида.
Взаимодействие Au(bipy)Cl2+ с HMet. На рис. 2 показано изменение УФ-спектра раствора Au(bipy)Cl2+ под действием HMet (0.6/1) при СAu = 1.0 × 10–4 моль/л. Происходит постепенное смещение максимума спектра комплекса в сторону свободного лиганда (Hbipy+), что свидетельствует о его высвобождении и, следовательно, восстановлении золота(III) до золота(I). Образование комплексов золота(I) с bipy нехарактерно.
Рис. 2. Изменение во времени УФ-спектра раствора при взаимодействии Au(bipy)Cl2+ с HMet. CAu = 1.0 × 10–4 моль/л, CHMet = 6.0 × 10–5 моль/л; τ = 5 c (1), 10 (2), 20 (3), 40 (4), 60 (5), 76 (6), 109 (7), 143 (8), 174 (9), 230 мин (10); pH 2.0, l = 1 см.
В целом процесс намного более медленный, чем в случае AuCl4–: величина τ1/2 составляет ~80 мин, в то время как для AuCl4– она меньше 1 мин. Этот результат совпадает с наблюдением, сделанным в работе [18]: введение в молекулу комплекса бидентатного лиганда резко снижает скорость редокс-процесса несмотря на то, что возможность замещения ионов Cl– на метионин сохраняется.
В таких же условиях восстановление комплекса Au(bipy)Cl2+ под действием глутатиона протекает быстрее, чем за 15 с [10].
Взаимодействие Au(bipy)(OH)2+ с HMet. В физиологических условиях (pH 7.4, CNaCl = 0.16 моль/л) основной формой бипиридильного комплекса золота(III) является Au(bipy)(OH)2+ [10].
На рис. 3 показано изменение УФ-спектра раствора Au(bipy)(OH)2+ под действием HMet (0.6/1) при СAu = 1.0 × 10–4 моль/л. Наблюдается постепенное уменьшение полосы поглощения комплекса в области 310–320 нм. Одновременно происходит увеличение A в области 280 нм. Это свидетельствует о восстановлении золота(III) до золота(I) и высвобождении бипиридила из состава комплекса.
Рис. 3. Изменение во времени УФ-спектра раствора при взаимодействии Au(bipy)(OH)2+ с HMet. CAu = 1.0 × 10–4 моль/л, CHMet = 6.0 × 10–5 моль/л; τ = 5 c (1), 1 (2), 5 (3), 10 (4), 20 (5), 30 (6), 40 (7), 50 (8), 60 (9), 70 (10), 80 мин (11); pH 7.4, l = 1 см.
Уравнение процесса можно представить в виде:
, (2)
где R = –OOC–CH(NH3+)–(CH2)2–. Значительных различий в скорости по сравнению с хлоридным комплексом Au(bipy)Cl2+ при pH 2.0 нами не выявлено.
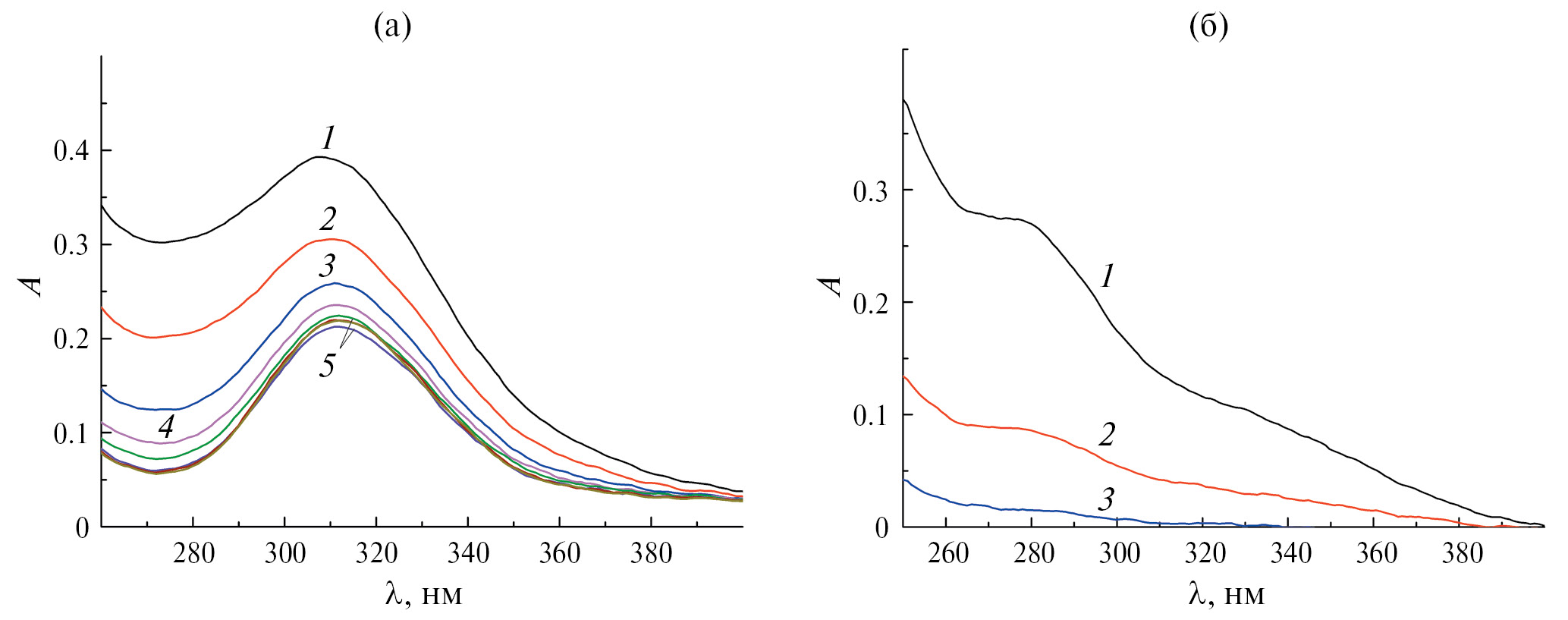
Взаимодействие Au(en)2* с HMet. Из-за способности к депротонированию [11] комплекс Au(en)23+ при pH 7.4 в присутствии 0.2 M NaCl существует в виде смеси Au(en)23+ + Auen(en-H)2+. Эту систему будем обозначать как Au(en)2*.
На рис. 4 показаны спектры Au(en)2* при добавлении метионина (pH 7.4, фосфатный буфер). Несмотря на высокое соотношение CMet/CAu, равное 5, УФ-спектр раствора во времени совершенно не изменяется, т.е. процесс если и идет, то крайне медленно. После добавления к раствору HCl до CHCl = 1.6 моль/л происходит быстрое замещение Au(en)2* + 2H+ + 2Cl– = Au(en)Cl2+ + enH22+. Образующийся комплекс Au(en)Cl2+ реагирует с метионином быстрее, что согласуется с данными [18, 19]. Таким образом, метионин, в отличие от тиолатов [8], вероятно, не способен заместить бидентатный лиганд en в Au(en)23+.
Рис. 4. Изменение во времени УФ-спектра раствора при взаимодействии Au(en)2* с HMet. CAu = 1.0 × 10–4 моль/л, CHMet = 5.0 × 10–4 моль/л; τ = 7 c – 20 мин (1); pH 7.4, l = 1 см. Добавление к раствору HCl до CHCl = 1.6 моль/л, τ = 8 с (2), 5 (3), 10 (4), 15 мин (5).
Взаимодействие Au(C9H19N4) 2+ с HMet и GSH. Эксперименты по изучению взаимодействия метионина с комплексом золота(III) Au(C9H19N4)2+ (рис. 5) с тетрадентатным лигандом показали, что даже при соотношении CHMet/CAu = 10 (pH 7.4) в течение 1 ч никаких признаков реакции не наблюдалось. Однако при взаимодействии с глутатионом (GSH) процесс идет достаточно быстро: в условиях, указанных на рис. 6, за 45 мин 66% золота(III) восстанавливается до золота(I).
Рис. 5. Строение комплекса Au(C9H19N4)2+.
Рис. 6. Изменение во времени УФ-спектра раствора при взаимодействии Au(C9H19N4)2+ с GSH. CAu = 5.2 × 10–5 моль/л, CGSH = 1.0 × 10–3 моль/л; τ = 8 c (1), 5 (2), 15 (3), 25 (4), 35 (5), 45 (6), 55 (7), 70 (8), 90 (9), 115 (10), 140 (11), 230 мин (12); pH 7.4, l = 1 см.
ЗАКЛЮЧЕНИЕ
Хотя метионин действительно взаимодействует с некоторыми комплексами золота(III), процессы протекают гораздо медленнее, чем под действием тиолов. Хорошо известно, что редокс-процессы с участием комплексов протекают в две ступени: замещение лиганда на нуклеофил и далее внутрисферный редокс-процесс. По данным [23], константы скорости замещения лигандов в нескольких комплексах золота(III) на остаток метионина или же на тиол различаются не очень сильно. Про механизмы внутрисферных редокс-процессов известно мало, но если обращаться к взаимодействию с обычными окислителями, то механизм окисления тиолов и тиоэфиров сильно различается. Для тиолов (при их избытке) это чаще всего образование дисульфидов, для тиоэфиров процесс сводится к переносу кислорода. Таким образом, возможная причина уменьшения скорости реакций комплексов золота(III) с метионином по сравнению с взаимодействием с тиолами состоит в очень разных механизмах редокс-процессов. Кроме того, золото(I) не образует высокоустойчивых комплексов с метионином. Таким образом, при соизмеримых концентрациях метионина и тиолов в физиологических условиях, основной путь превращения комплексов золота(III) будет состоять в восстановлении золота(III) тиолом и образовании высокоустойчивых тиолатных комплексов золота(I). Влияние взаимодействия с метионином будет гораздо меньше.
По мере увеличения дентатности лигандов в комплексе золота(III) скорость реакций с метионином сильно падает. Например, при переходе от AuCl4– к AuenCl2+ скорость падает в сотни раз, хотя доступные для замещения ионы хлора сохраняются. Комплексы золота(III) Au(en)2* и Au(C9H19N4)2+, в которых лиганды координированы только через атомы азота, с метионином вовсе не реагируют. Хотя, как показали дополнительные эксперименты, оба комплекса взаимодействуют с GSH.
ФИНАНСИРОВАНИЕ РАБОТЫ
Работа поддержана Министерством науки и высшего образования Российской Федерации (проект № 121031700315-2).
КОНФЛИКТ ИНТЕРЕСОВ
Авторы заявляют, что у них нет конфликта интересов.
Об авторах
В. Ю. Харламова
Институт неорганической химии им. А.В. Николаева СО РАН
Автор, ответственный за переписку.
Email: kharlamova@niic.nsc.ru
Россия, пр-т Академика Лаврентьева, 3, Новосибирск, 630090
И. В. Миронов
Институт неорганической химии им. А.В. Николаева СО РАН
Email: kharlamova@niic.nsc.ru
Россия, пр-т Академика Лаврентьева, 3, Новосибирск, 630090
Список литературы
- Casini A., Kelter G., Gabbiani C. et al. // J. Biol. Inorg. Chem. 2009. V. 14. P. 1139. https://doi.org/10.1007/s00775-009-0558-9
- Brown D.H., Smith W.E. // Chem. Soc. Rev. 1980. V. 9. P. 217. https://doi.org/10.1039/CS9800900217
- Fricker S.P. // Gold Bull. 1996. V. 29. P. 53. https://doi.org/10.1007/BF03215464
- Gorini G., Magherini F., Fiaschi T. et al. // Biomedicines. 2021. V. 9. P. 871. https://doi.org/10.3390/biomedicines9080871
- Tong K.-C., Hu D., Wan P.-K. et al. // Front. Chem. 2020. V. 8. P. 587207. https://doi: 10.3389/fchem.2020.587207
- Gabbiani C., Casini A., Messori L. // Gold Bull. 2007. V. 40. P. 73. https://doi.org/10.1007/BF03215296
- Glišić B.Đ., Rychlewska U., Djuran M.I. // Dalton Trans. 2012. V. 41. P. 6887. https://doi.org/10.1039/C2DT30169E
- Mironov I.V., Kharlamova V.Yu. // ChemistrySelect. 2023. V. 8. P. e202301337. https://doi.org/10.1002/slct.202301337
- Миронов И.В., Харламова В.Ю. // Журн. неорган. химии. 2023. Т. 68. № 10. С. 1495. https://doi.org/10.31857/S0044457X23600639
- Миронов И.В., Харламова В.Ю., Ху Ц. // Журн. неорган. химии. 2023. Т. 68. № 3. С. 342. https://doi.org/10.31857/S0044457X22601651
- Block B.P., Bailar J.C. // J.Am. Chem. Soc. 1951. V. 73. P. 4722. https://doi.org/10.1021/ja01154a071
- Brawner S.A., Lin I.J.B., Kim J.-H., Everett Jr.G.W. // Inorg. Chem. 1978. V. 17. P. 1304. https://doi.org/10.1021/ic50183a040
- Миронов И.В., Харламова В.Ю. // Журн. неорган. химии. 2017. Т. 62. № 12. С. 1672. https://doi.org/10.7868/S0044457X17120182
- Миронов И.В., Харламова В.Ю. // Журн. неорган. химии. 2017. Т. 62. № 7. С. 1014. https://doi.org/10.7868/S0044457X17070157
- Vujačić A.V., Savić J.Z., Sovilj S.P. et al. // Polyhedron. 2009. V. 28. P. 593. https://doi.org/10.1016/j.poly.2008.11.045
- Glišić B.Đ., Rajković S., Stanić Z.D., Djuran M.I. // Gold Bull. 2011. V. 44. P. 91. https://doi.org/10.1007/s13404-011-0014-9
- Bordignon E., Cattalini L., Natile G., Scatturin A. // J. Chem. Soc., Chem. Commun. 1973. P. 878. https://doi.org/10.1039/C39730000878
- Glišić B.Đ., Djuran M.I., Stanić Z.D., Rajković S. // Gold Bull. 2014. V. 47. P. 33. https://doi.org/10.1007/s13404-013-0108-7
- Al-Maythalony B.A., Wazeer M.I.M., Isab A.A., Ahmad S. // Spectroscopy. 2010. V. 24. P. 567. https://doi.org/10.3233/SPE-2010-0478
- Ericson A., Elding L.I., Elmroth S.K.C. // J. Chem. Soc., Dalton Trans. 1997. P. 1159. https://doi.org/10.1039/A608001D
- Annibale G., Canovese L., Cattalini L., Natile G. // J. Chem. Soc., Dalton Trans. 1980. P. 1017. https://doi.org/10.1039/DT9800001017
- Al-Maythalony B.A., Wazeer M.I.M., Isab A.A. // Inorg. Chim. Acta. 2010. V. 363. P. 3244. https://doi.org/10.1016/j.ica.2010.06.001
- Đurović M.D., Bugarčić Ž.D., Heinemann F.W., Eldik R. // Dalton Trans. 2014. V. 43. P. 3911. https://doi.org/10.1039/C3DT53140F
- Stadtman E.R, Moskovitz J., Levine R.L. // Antioxid. Redox Signal. 2003. V. 5. P. 577. https://doi.org/10.1089/152308603770310239
Дополнительные файлы









