Zirconosilicate Sorbent Based on Coal Fly Ash Cenospheres for Cesium Immobilization in a Ceramic Form
- Authors: Vereshchagina T.A.1,2, Kutikhina E.A.1, Buyko O.V.2, Belov A.A.3, Shichalin O.O.3,4, Anshits A.G.1
-
Affiliations:
- Krasnoyarsk Science Center of the Siberian Branch of the Russian Academy of Sciences
- Siberian Federal University
- Far Eastern Federal University
- Sakhalin State University
- Issue: Vol 69, No 10 (2024)
- Pages: 1466-1477
- Section: НЕОРГАНИЧЕСКИЕ МАТЕРИАЛЫ И НАНОМАТЕРИАЛЫ
- URL: https://journal-vniispk.ru/0044-457X/article/view/281883
- DOI: https://doi.org/10.31857/S0044457X24100136
- EDN: https://elibrary.ru/JHSIOG
- ID: 281883
Cite item
Full Text
Abstract
Hollow aluminosilicate microspheres (cenospheres) of stabilized composition (glass phase – 95.4 wt. %; (SiO2/Al2O3)glass – 3.1) isolated from fly ashes from coal combustion were used to prepare composite sorbents containing a sorption-active component based on zirconosilicates of framework structure. The synthesis products were characterized by XRD, SEM-EDS and low-temperature nitrogen adsorption methods, and their sorption properties towards Cs+ were studied. Zirconosilicate material demonstrates the high distribution coefficient in the process of Cs+ sorption from aqueous solutions (~103–104 ml/g) and stability of sorption capacity as a result of decationation. The possibility of application of SPS-synthesis technology to create high-density mineral-like ceramics for cesium immobilization based on the zirconosilicate sorbent has been investigated. The results of dilatometry, structure and porosity analyses were obtained for ceramics sintered at different temperatures (800–1000°C).
Full Text
ВВЕДЕНИЕ
Интерес к получению цеолитоподобных микропористых цирконосиликатов c гетерополиэдрическим каркасом связан с их возможным использованием в качестве ионообменных материалов, селективных адсорбентов и молекулярных сит [1, 2]. Высокая способность цирконосиликатов к ионному обмену в отношении ионов щелочных, щелочноземельных и тяжелых металлов (KD > 105 для Sr2+, Ba2+, Cr3+, Co2+, Pb2+), в том числе в условиях высокого солевого фона (1 М NaNO3), обусловлена присутствием в их структуре высокоподвижных катионов щелочных металлов (Na+, K+) [3]. В настоящее время детально изучены структура и сорбционные свойства большинства природных цирконосиликатов, разрабатываются методы синтеза их синтетических аналогов [4].
Среди каркасных цирконосиликатов заслуживает внимания соединение состава Na4Zr2(SiO4)3 (гексагон., пр. гр. R3c), которое является крайним членом ряда твердых растворов Na1+xZr2(SiO4)x(PO4)3–x (х = 3) структурного типа NASICON (гексагон., пр. гр. Rc) [5, 6] (рис. 1) и характеризуется катионообменной активностью за счет высокой подвижности катионов Na+, локализованных в каналах каркасной структуры [7, 8]. Гексагональная фаза Na4Zr2(SiO4)3 обычно ассоциирована с фазой Na4ZrSi3O10 (монокл., пр. гр. C2/c), которая является нестабильной и за счет этого претерпевает превращение в гексагональную модификацию.
Рис. 1. Гетерополиэдрическая каркасная структура фазы Na4Zr2(SiO4)3 семейства NASICON.
Катионообменные свойства соединений со структурой NASICON детально исследованы в отношении Li+ и К+ [7], однако в литературе отсутствуют сведения об их ионообменной способности в отношении других катионов. В частности, большой практический интерес представляют сорбенты Cs+, некоторые изотопы которого являются одними из наиболее опасных элементов для объектов окружающей среды и входят в состав жидких высокотоксичных отходов [9]. Сорбционные технологии удаления Cs из жидких отходов с использованием силикатных сорбентов позволяют перевести водорастворимые формы цезия в экологически безопасные минералоподобные фазы-матрицы путем сорбции целевого катиона с последующей термобарической консолидацией Cs-формы сорбента [10].
Среди методов эффективной консолидации порошковых материалов активно развиваются методы электрофизического спекания, в частности метод электроимпульсного плазменного спекания (ЭИПС), который хорошо подходит для уплотнения порошковых материалов различной природы [11–13]. В этом методе спекание происходит за счет воздействия на порошковые материалы электрического поля при постоянно приложенном одноосном давлении. Значительным преимуществом данной технологии является короткое время спекания, а также значительно более низкая температура получения керамики по сравнению с традиционными методами. Точечное управление параметрами процесса, такими как скорость нагрева и прикладываемое давление, позволяет контролировать рост зерна, что значительно сказывается на механических свойствах получаемых керамик. Возможность получения методом ЭИПС минералоподобных керамических матриц для иммобилизации цезия на основе цеолитов продемонстрирована в работах [14–16].
Цеолитоподобные цирконосиликаты могут быть получены в условиях мягкого гидротермального синтеза (t ≤ 200°С) с использованием чистых химических реагентов [3]. Наряду с этим в качестве источника кремния/алюминия для синтеза цеолитных материалов используют также доступные природные и техногенные силикатные материалы (глины, летучую золу и др.), что позволяет снизить стоимость конечного продукта [17]. В работе [18] получены моноцеолитные материалы исходя из узких фракций полых алюмосиликатных микросфер, или ценосфер, выделенных из летучих зол от сжигания угля. В то же время авторами [19] установлено, что алюминий стеклофазы ценосфер препятствует формированию каркасных цирконосиликатов в системе, содержащей ценосферы, направляя реакцию по маршруту образования каркасных алюмосиликатов. В связи с этим представляет интерес поиск условий гидротермального синтеза каркасных цирконосиликатов с использованием ценосфер в качестве источника кремния.
Целью настоящей работы являлось получение и изучение сорбционных свойств в отношении Cs+ материалов, содержащих каркасные цирконосиликаты, в том числе фазы структурного типа NASICON, с использованием в качестве источника кремния узкой фракции ценосфер, а также исследование возможности применения метода ЭИПС для создания высокоплотной керамики на основе Cs-формы сорбента в качестве минералоподобной матрицы для иммобилизации цезия.
ЭКСПЕРИМЕНТАЛЬНАЯ ЧАСТЬ
Исходные вещества и реагенты. Для синтеза цирконосиликатов применяли гидроокись натрия (ч. д. а., ГОСТ 4328-77), хлорокись циркония(IV) восьмиводную (ч., ТУ 6-09-3677-74), цезий азотнокислый (х. ч., ТУ 6-09-437-83). Все реагенты использовали без дополнительной очистки.
В качестве источника кремния использовали узкую фракцию ценосфер (–0.18 + 0.16 мм), выделенную из концентрата ценосфер летучих зол, полученных от промышленного пылевидного сжигания каменного угля Кузнецкого бассейна на Томь-Усинской ГРЭС, с помощью методов гидродинамического разделения, гранулометрической классификации и магнитной сепарации, описанных в работах [20, 21].
Для данной фракции были определены химический и фазовый состав, насыпная плотность, распределение по размерам, средний диаметр глобул, кажущаяся толщина оболочки. Макроэлементный и фазовый состав исходной фракции ценосфер приведен в табл. 1. На рис. 2 представлены микрофотографии узкой фракции ценосфер.
Таблица 1. Макроэлементный и фазовый состав (мас. %) исходных ценосфер
Образец | ρ, г/см3 | Dср, мкм | Кажущаяся толщина оболочки, мкм | Макроэлементный состав | (SiO2/Al2O3)стекло | Фазовый состав | |||||
SiO2 | Al2O3 | Fe2O3 | кварц | муллит | кальцит | стеклофаза | |||||
1 | 0.38 | 170 | 6.9 | 67.6 | 21.0 | 3.2 | 3.1 | 3.4 | 0.8 | 0.5 | 95.4 |
Рис. 2. РЭМ-снимки узкой фракции ценосфер.
Синтез цирконосиликатов. Синтез цирконосиликатов проводили в три стадии. Первая стадия включала синтез цеолитов (NaХ) путем гидротермальной обработки реакционной смеси NaOH–H2O–(SiO2–Al2O3)стекло в автоклаве Beluga (Premex AG, Швейцария) при 180°С в течение 120 ч (отношение ж/т = 7/1) согласно [18]. Следующая стадия – деалюминирование NaХ кипячением продукта первой стадии в растворе этилендиаминтетрауксусной кислоты с получением продукта (H,Na)Х. На третьей стадии в гидротермальных условиях (t = 180°С, τ = 120 ч) осуществляли синтез цирконосиликата исходя из реакционной смеси ZrOCl2–NaOH–H2O–(H,Na)Х без добавления дополнительного источника кремния согласно [19] (образец Zr-Si/NASICON).
Синтез керамики. Синтез керамических матриц проводили путем консолидирования порошка цирконосиликата, насыщенного цезием, в токе искровой плазмы на установке SPS-515S (Dr. Sinter-LABTM, Япония, Киото) по следующей схеме: 3 г исходного мелкодисперсного порошка цирконосиликата подпрессовывали (20.7 МПа) в графитовой пресс-форме (d = 15 мм), далее заготовку помещали в вакуумную камеру (6 Па) и затем спекали. В результате экспериментов, проведенных при температурах спекания 800, 900, 1000°С, постоянной нагрузке 24.5 МПа, скорости нагрева 100 град/мин и времени выдержки 5 мин, была получена серия из нескольких образцов.
Методы исследования. Электронно-микроскопические исследования образцов и определение элементного состава их поверхности осуществляли с помощью настольного растрового электронного микроскопа (РЭМ) TM-4000 (Hitachi, Япония), оборудованного системой микроанализа Bruker, включающей энергодисперсионный рентгеновский спектрометр (ЭДС) с детектором XFlash 430H и программным обеспечением QUANTAX 70.
Рентгенофазовый анализ (РФА) поликристаллических образцов проводили при комнатной температуре на порошковом рентгеновском дифрактометре ДРОН-3 (Россия). Количественный фазовый состав определяли путем обработки порошковых дифрактограмм с использованием формализма Ритвельда [22] и метода минимизации производной разности [23], позволяющего проводить полнопрофильный анализ кристаллических компонентов порошковой дифрактограммы с оптимизацией структурных параметров и фазовых концентраций независимо от кривой фона.
Текстурные характеристики полученных образцов определяли на сорбционном анализаторе пористости и удельной поверхности ASAP-2020 (Micromeritics, США) методом низкотемпературной адсорбции азота (чистота 99.999%; марка 5.0) при 77 K в интервале Р/Р0 = 0.01–0.99. Расчет площади удельной поверхности осуществляли по методу Брунауэра–Эммета–Теллера [24] с корректировкой интервала Р/Р0 в соответствии с методом, учитывающим наличие микропор, регламентируемым международным стандартом [25]. Анализ микропористости, а именно определение объема и удельной поверхности микропор, выполняли с помощью сравнительного t-метода с использованием уравнения Харкинса–Юра [26, 27] для расчета толщины статического слоя адсорбата.
Химический состав исходных фракций ценосфер, включающий содержание оксидов кремния, алюминия, железа, кальция, магния, калия и натрия, а также потери при прокаливании, определяли методами химического анализа согласно ГОСТ 5382-2019, устанавливающего методики определения компонентов и нормы точности выполнения анализов.
Сорбцию катионов проводили в равновесных условиях при комнатной температуре путем контактирования сорбента с раствором CsNO3 заданной концентрации в интервале от 0.004 до 3.76 ммоль/л. Равновесные фазы разделяли фильтрованием, фильтрат и исходный раствор анализировали на содержание катионов цезия методом атомно-эмиссионной спектрометрии (спектрометр iCap 6500 Duo, Thermo Scientific, США). В области концентраций ниже предела обнаружения методом АЭС фильтраты анализировали методом масс-спектрометрии с индуктивно связанной плазмой на приборе ICP-MS XSeries II (Thermo Scientific, США).
Равновесную сорбционную емкость (Ар, ммоль/г) рассчитывали по разности концентраций в исходном и равновесном растворах согласно уравнению (1):
, (1)
где С0 – исходная концентрация Cs+ в растворе, ммоль/л; Ср – равновесная концентрация Cs+ в растворе, ммоль/л; V – объем исходного раствора, л; m – масса навески сорбента, г.
Изотермы сорбции были получены путем аппроксимации экспериментальных данных уравнением Ленгмюра [24]:
, (2)
где А – количество адсорбированного Cs+ на 1 г сорбента при равновесии, ммоль/г; аm – адсорбционная емкость сорбента при насыщении, ммоль/г; KL – константа уравнения Ленгмюра, л/ммоль; Ср – равновесная концентрация Cs+ в растворе, ммоль/л.
На основании полученных данных рассчитывали коэффициент распределения (KD, мл/г) для линейной части изотермы при Ср < 0.0075 ммоль/л:
. (3)
Максимальная сорбционная емкость (Amax, ммоль/л) цирконосиликатов в равновесных условиях была определена при исходной концентрации Cs+ в растворе 3.76 ммоль/л и времени сорбции 24 ч.
Все экспериментальные точки получены в двух параллелях, приведенные данные являются их средними величинами; относительное значение стандартного отклонения находится в пределах 6.0%.
РЕЗУЛЬТАТЫ И ОБСУЖДЕНИЕ
На рис. 3 представлены РЭМ-снимки продуктов цеолитизации и цеолитизации-деалюминирования исходных ценосфер, а также участки поверхности модифицированных ценосфер по данным ЭДС, из которых видно, что после деалюминирования количество алюминия уменьшается в 2.5 раза, а количество натрия – в 8.5 раз.
Рис. 3. РЭМ-снимки продуктов цеолитизации (а) и цеолитизации-деалюминирования (б) исходных ценосфер; участки поверхности модифицированных ценосфер по данным ЭДС (в, г).
По данным РФА, образец, полученный на основе деалюминированного цеолита (рис. 4), представляет собой смесь фаз цирконосиликатов натрия, основными из которых являются Na4Zr2(SiO4)3 (гексагон., пр. гр. Rc, ICDD 04-010-3836) и Na4ZrSi3O10 (монокл., пр. гр. C2/c, ICDD 00-037-0405), принадлежащих к семейству NASICON. В небольшом количестве присутствует фаза паракелдышита Na2ZrSi2O7 (триклин., пр. гр. P1, ICDD 00-039-0209), образец Zr-Si/NASICON.
Рис. 4. РЭМ-снимки (а, б) и дифрактограмма (г) продуктов гидротермального синтеза в системе ZrOCl2–NaOH–H2O–(H, Na)X; участок поверхности гранул продуктов по данным ЭДС (в).
На рис. 4 представлены дифрактограммы и РЭМ-снимки продуктов гидротермального синтеза.
По данным РЭМ, продукт синтеза представляет собой гранулированный материал размером 5−20 мкм с однородной микроструктурой (рис. 4а–4в).
По данным низкотемпературной адсорбции азота (рис. 5, табл. 2), полученный материал можно охарактеризовать как микро/мезо/макропористый с удельной площадью поверхности 110 м2/г.
Рис. 5. Изотерма низкотемпературной адсорбции-десорбции азота для образца Zr-Si/NASICON (а) и распределение пор по ширине, рассчитанное по адсорбционной ветви (б), в координатах dV/dw–lgw.
Таблица 2. Условия обработки и основные текстурные характеристики, полученных образцов
Образец | t, °С | SBET, м2/г | Вклад микропор | Общий объем пор, см3/г | |
S, м2/г | объем ×10–3, см3/г | ||||
Zr-Si/NASICON | – | 110 | 15 | 5.0 | 0.2 |
Cs-Zr-Si/NASICON | 800 | 21.2 | – | 0.4 | 0.073 |
Cs-Zr-Si/NASICON | 900 | 1.8 | 0.15 | 0.05 | 0.007 |
Cs-Zr-Si/NASICON | 1000 | 0.6 | 0.09 | 0.05 | 0.002 |
Возможность использования продуктов синтеза в качестве сорбента Cs+ оценивали путем определения их сорбционной емкости в равновесных условиях контактирования с водными растворами CsNO3 при переменных концентрациях катионов цезия. Для оценки влияния катионного состава сорбентов на сорбционную емкость образец дополнительно декатионировали обработкой в 0.05 М HNO3 (образец Н+-Zr-Si/NASICON).
В табл. 3 приведены значения сорбционной емкости в отношении Cs+, полученные экспериментально и рассчитанные из уравнения Ленгмюра, и коэффициента распределения, а на рис. 6 представлены изотермы сорбции Cs+ соответственно.
Таблица 3. Сорбционная емкость (А∞, Аmax) в отношении Cs+ и коэффициент распределения (KD) для цирконосиликатных сорбентов
Образец | А∞,* ммоль/г | Amax,** ммоль/г | KD, мл/г |
Zr-Si/NASICON | 0.23 | 0.23 | 2.70 × 103 |
Н+-Zr-Si/NASICON | 0.42 | 0.30 | 2.30 × 104 |
* А∞ – предельная величина сорбции, рассчитанная из уравнения Ленгмюра.
**Amax – максимальная величина сорбции при С0 = 3.00 ммоль/л.
Рис. 6. Изотермы сорбции Cs+ для продуктов синтеза на основе фаз NASICONA (точки – эксперимент, линии – модель Ленгмюра).
Как следует из представленных в табл. 3 и на рис. 6 данных, для синтезированного образца наблюдается достаточно высокий коэффициент распределения (~103 мл/г). Обработка кислотой приводит к возрастанию почти в два раза предельной сорбционной емкости материала на основе каркасных цирконосиликатов и на порядок коэффициента распределения.
Для дальнейшего перевода сорбента, насыщенного катионами цезия, в керамическую форму был использован ЭИПС-синтез.
На рис. 7 представлены образцы керамических материалов на основе цирконосиликата, полученных ЭИПС-синтезом при температуре от 800 до 1000°С с шагом 100°С. Из рис. 7 видно, что с ростом температуры изменяется цвет и объем матрицы. Образец, полученный при 1000°С, в два раза меньше, чем образец, полученный при 800°С.
Рис. 7. Образцы керамических материалов на основе цирконосиликата, полученных ИПС-синтезом при температуре от 800 до 1000°С.
На рис. 8 представлены дилатометрические зависимости, полученные для спеченных керамик при различных температурах.
Рис. 8. Дилатометрические зависимости керамик, полученных при различных температурах методом ЭИПС.
Для представленных керамик характерны два этапа интенсивного уплотнения. Первый этап в диапазоне температур 600–750°С представляет начальную пластическую диффузию, возникающую в результате начального разогрева и приложенного постоянного давления. Второй этап в диапазоне 750–900°С представляет зернограничную диффузию. Дальнейшее повышение температуры приводит к деструкции пор в объеме керамики, что сопровождается дальнейшей усадкой материала. Как видно из рис. 8, достижение максимальной температуры 1000°С не выводит дилатометрическую кривую на плато. Такое поведение говорит о незавершенности процесса объемной диффузии.
Влияние температуры на морфологию поверхности и структуру объемных керамик, полученных в токе искровой плазмы, наглядно представлено на РЭМ-снимках (рис. 9), из которых видно, что в области невысоких температур (800–900°С) происходит спекание порошка цирконосиликата по границам контактов частиц, при этом сохраняется их форма и размер (рис. 8а–8г). Высокотемпературная обработка порошка (1000°С) приводит к разрушению пористой структуры из-за их деструкции и сплавления. Образуется плотный компаунд монолитной структуры (рис. 8д–8е). Вместе с тем на снимках наблюдается неоднородная микроструктура керамик за счет выделения областей, обогащенных цирконием, что указывает на полифазный состав продуктов спекания. Цезий распределен по всей поверхности керамики, при этом его содержание на участках, обогащенных цирконием, почти в два раза превышает концентрацию цезия в областях с меньшим содержанием циркония (рис. 9а, 9б, 9д, 9ж). Это может указывать на то, что за сорбцию цезия отвечают прежде всего цирконийсодержащие фазы.
Рис. 9. РЭМ снимки образцов керамики, полученных методом ЭИПС при 800°С (а, б), 900°С (в, г) и 1000°С (д, е); карты распределения Zr, Si и Cs в керамике, полученной при 800°С (ж).
На рис. 10 представлены дифрактограммы керамики, полученной при различных температурах. По данным РФА, образцы, полученные при 800–900°С, представляют собой смесь фаз цирконосиликатов натрия, основными из которых являются гексагональный цирконосиликат Na4Zr2Si3O12 (пр. гр. Rc, ICDD 04-010-3836) и триклинный паракелдышит Na2ZrSi2O7 (пр. гр. P, ICDD 00-39-209), а также тетрагональный (P42/nmc, ICDD 01-79-1771) и орторомбический (пр. гр. Pnam, ICDD 04-013-3123) диоксид циркония ZrO2. В образце, полученном при 1000°С, помимо вышеуказанных фаз присутствует также фаза Na4ZrSi3O10 (монокл., пр. гр. C2/c, ICDD 37-405).
Рис. 10. Дифрактограммы керамики, полученной при различных температурах.
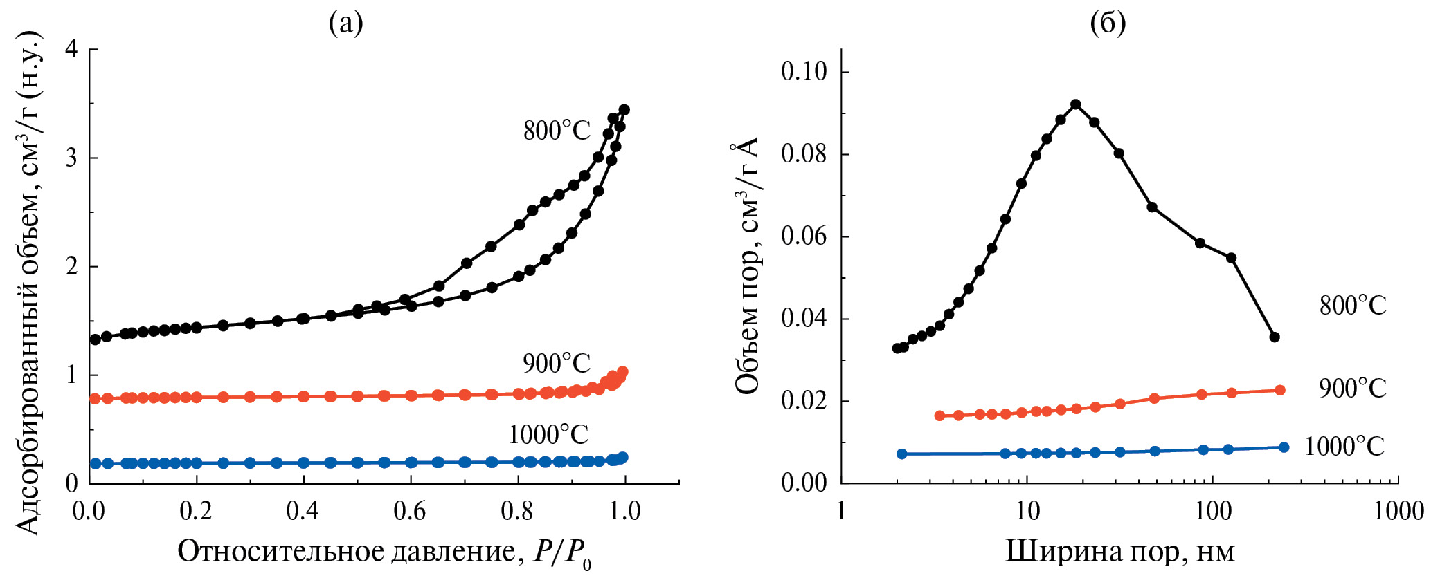
Образцы керамики, полученные при различных температурах спекания, были исследованы методом низкотемпературной адсорбции азота (рис. 11). Образец, полученный при 800°С, представляет собой микро/мезопористый материал со средним диаметром пор ~18 Å и удельной площадью поверхности 21 м2/г. Для этого образца наблюдается ярко выраженная петля гистерезиса. Для образцов, полученных при температуре 900–1000°С, гистерезис отсутствует. По мере увеличения температуры прокаливания значительно уменьшается удельная поверхность образцов и общий объем пор, при этом объем микропор уменьшается в 8 раз (табл. 2).
Рис. 11. Изотермы низкотемпературной адсорбции-десорбции азота для образцов, полученные при различных температурах спекания (а) и распределение пор по ширине, рассчитанное по адсорбционной ветви (б), в координатах dV/dw–lgw.
ЗАКЛЮЧЕНИЕ
Впервые получены микро/мезо/макропористые каркасные цирконосиликаты (Sуд = 110 м2/г) на основе композиции фаз Na4Zr2(SiO4)3 (гексагон., пр. гр. Rc) и Na4ZrSi3O10 (монокл., пр. гр. C2/c), относящихся к семейству фаз структурного типа NASICON, с использованием в качестве источника кремния узкой фракции ценосфер с (SiO2/Al2O3)стекло = 3.1. Цирконосиликатный материал демонстрирует высокий коэффициент распределения в процессе сорбции Cs+ из водных растворов (~03−104 мл/г) и стабильность сорбционной емкости в результате декатионирования.
Использование ЭИПС-синтеза обеспечило получение высокоплотной цирконосиликатной керамики, содержащей цезий, в отсутствие дополнительных стадий предподготовки сырья и при относительно низкой, по сравнению с традиционными методами, температуре спекания (~1000°С) и минимальном времени цикла изготовления (< 5 мин) в условиях механической нагрузки до 24.5 МПа. Керамика характеризуется неоднородной микроструктурой за счет полифазного состава на основе Na4Zr2Si3O12, Na2ZrSi2O7 и ZrO2, а также содержанием цезия в диапазоне 1.3−2.6 мас. %, ассоциированным с содержанием циркония.
Важным свойством изолирующей матрицы является ее гидролитическая (химическая) устойчивость в условиях долговременного захоронения отвержденных отходов, что является первоочередной задачей дальнейших исследований в этой области.
ФИНАНСИРОВАНИЕ РАБОТЫ
Работа выполнена в рамках государственного задания Института химии и химической технологии СО РАН “Развитие научных основ формирования функциональных материалов с заданными свойствами на основе сложных оксидных систем и микросфер энергетических зол” (проект № FWES-2021-0013) и при финансовой поддержке Министерства науки и высшего образования Российской Федерации (тема № FZNS-2023-0003 (“Синтез и физико-химические исследования керамики”) для Дальневосточного федерального университета).
Исследование проводили с использованием оборудования Красноярского научного центра СО РАН для проведения РЭМ-ЭДС, РФА и ААС-анализов и Сибирского федерального университета для проведения СТА и ИСП-МС-анализов. В работе использовали оборудование объединенного Центра коллективного пользования, междисциплинарного центра в области нанотехнологий и новых функциональных материалов ДВФУ, лаборатории магнетизма и лаборатории пленочных технологий ДВФУ (Владивосток, Россия).
БЛАГОДАРНОСТЬ
Авторы благодарны Г.Н. Бондаренко из Института химической технологии СО РАН за проведение и интерпретацию результатов рентгенофазового анализа, Е.В. Мазуровой за проведение съемки на сканирующем электронном микроскопе и выполнение ЭДС-анализа, Л.А. Соловьеву за количественное определение фазового состава ценосфер, И.П. Иванову за измерение пористости и удельной поверхности методом низкотемпературной адсорбции азота.
КОНФЛИКТ ИНТЕРЕСОВ
Авторы заявляют об отсутствии конфликта интересов.
About the authors
T. A. Vereshchagina
Krasnoyarsk Science Center of the Siberian Branch of the Russian Academy of Sciences; Siberian Federal University
Email: shichalin_oo@dvfu.ru
Russian Federation, Krasnoyarsk, 660036; Krasnoyarsk, 660041
E. A. Kutikhina
Krasnoyarsk Science Center of the Siberian Branch of the Russian Academy of Sciences
Email: shichalin_oo@dvfu.ru
Russian Federation, Krasnoyarsk, 660036
O. V. Buyko
Siberian Federal University
Email: shichalin_oo@dvfu.ru
Russian Federation, Krasnoyarsk, 660041
A. A. Belov
Far Eastern Federal University
Email: shichalin_oo@dvfu.ru
Russian Federation, Russky Island, Vladivostok, 690922
O. O. Shichalin
Far Eastern Federal University; Sakhalin State University
Author for correspondence.
Email: shichalin_oo@dvfu.ru
Russian Federation, Russky Island, Vladivostok, 690922; Yuzhno-Sakhalinsk, 693000
A. G. Anshits
Krasnoyarsk Science Center of the Siberian Branch of the Russian Academy of Sciences
Email: shichalin_oo@dvfu.ru
Russian Federation, Krasnoyarsk, 660036
References
- Чуканов Н.В., Пеков И.В., Расцветаева Р.К. // Успехи химии. 2004. Т. 73. № 3. С. 227. https://doi.org/10.1070/RC2004v073n03ABEH000825
- Chukanov N.V., Pekov I.V. // Rev. Mineral. Geochem. 2005. V. 57. № 1. P. 105. https://doi.org/10.2138/rmg.2005.57.4
- Bortun A.I., Bortun L.N., Clearfield A. // Chem. Mater. 1997. V. 9. № 8. P. 1854. https://doi.org/10.1021/cm9701419
- Ilyushin G.D., Blatov V.A. // Acta Crystallogr., Sect. B. 2002. V. 58. № 2. P. 198. https://doi.org/10.1107/S0108768101021619
- Грищенко Д.Н., Курявый В.Г., Подгорбунский А.Б. и др. // Журн. неорган. химии. 2023. Т. 68. № 1. С. 17. https://doi.org/10.31857/S0044457X22601043
- Hou W., Guo X., Shen X. et al. // Nano Energy. 2018. V. 52. P. 279. https://doi.org/10.1016/j.nanoen.2018.07.036
- Mauvy F., Siebert E. // J. Eur. Ceram. Soc. 1999. V. 19. № 6–7. P. 917. https://doi.org/10.1016/S0955-2219(98)00344-6
- Стенина И.А., Таранченко Е.О., Ильин А.Б. и др. // Журн. неорган. химии. 2023. Т. 68. № 12. С. 1683. https://doi.org/10.31857/S0044457X23601360
- Полуэктов П.П., Суханов Л.П., Матюнин Ю.И. // Рос. хим. журн. 2005. Т. 49. № 4. С. 29.
- Marocco A., Liguori B., Dell’Agli G. et al. // J. Eur. Ceram. Soc. 2011. V. 31. № 11. P. 1965. https://doi.org/10.1016/j.jeurceramsoc.2011.04.028
- Kanda Y. // Constr. Build. Mater. 2022. V. 349. P. 128726. https://doi.org/10.1016/j.conbuildmat.2022.128726
- Arun A., Kumar K., Chowdhury A. // J. Eur. Ceram. Soc. 2023. V. 43. № 5. P. 2069. https://doi.org/10.1016/j.jeurceramsoc.2022.12.003
- Fernández-González D., Suárez M., Piñuela-Noval J. et al. // Ceram. Int. 2023. V. 49. № 6. P. 9432. https://doi.org/10.1016/j.ceramint.2022.11.108
- Panasenko A.E., Shichalin O.O., Yarusova S.B. et al. // Nucl. Eng. Technol. 2022. V. 54. № 9. P. 3250. https://doi.org/10.1016/j.net.2022.04.005
- Shichalin O.O., Papynov E.K., Maiorov V.Y. et al. // Radiochemistry. 2019. V. 61. № 2. P. 185. https://doi.org/10.1134/s1066362219020097
- Shichalin O.O., Papynov E.K., Nepomnyushchaya V.A. et al. // J. Eur. Ceram. Soc. 2022. V. 42. № 6. P. 3004. https://doi.org/10.1016/j.jeurceramsoc.2022.02.007
- Längauer D., Čablík V., Hredzák S. et al. // Materials. 2021. V. 14. № 5. P. 1267. https://doi.org/10.3390/ma14051267
- Кутихина Т.А., Мазурова Е.В., Буйко О.В. и др. // Физика и химия стекла. 2023. Т. 49. № 2. С. 191.
- Vereshchagina T.A., Kutikhina E.A., Buyko O.V. et al. // Chim. Techno Acta. 2022. V. 9. № 4. P. 20229418. https://doi.org/10.15826/chimtech.2022.9.4.18
- Anshits N.N., Mikhailova O.A., Anshits A.G. et al. // Fuel. 2010. V. 88. № 9. P. 1849. https://doi.org/10.1016/j.fuel.2010.03.049
- Fomenko E.V., Anshits N.N., Solovyov L.A. et al. // Energy Fuels. 2013. V. 27. № 9. P. 5440. https://doi.org/10.1021/ef400754c
- Rietveld H.M. // J. Appl. Crystallogr. 1969. V. 2. № 2. P. 65. https://doi.org/10.1107/S0021889869006558
- Solovyov L.A. // J. Appl. Crystallogr. 2004. V. 37. № 5. P. 743. https://doi.org/10.1107/S0021889804015638
- Greg S.J., Singh K.S.W. Adsorption, surface area, porosity. London: Academic Press, 1982.
- ИСО 9277:2010-09 (E). Определение удельной площади поверхности твердых тел по адсорбции газа с применением метода Брунауэра, Эммета и Теллера (BET-метод). M.: Стандартинформ, 2016.
- Harkins W.D., Jura G. // J.Am. Chem. Soc. 1944. V. 66. № 8. P. 1366. https://doi.org/10.1021/ja01236a048
- Webb P., Orr C. Analytical methods in fine particle technology. Norcross: Micromeritics Instrument Corporation, 1997.
Supplementary files













