Получение тонких пленок V2O5 с использованием гетеролигандных комплексов ванадия и их электрохромные свойства
- Авторы: Горобцов Ф.Ю.1, Симоненко Н.П.1, Симоненко Т.Л.1, Симоненко Е.П.1
-
Учреждения:
- Институт общей и неорганической химии им. Н.С. Курнакова РАН
- Выпуск: Том 69, № 10 (2024)
- Страницы: 1488-1496
- Раздел: НЕОРГАНИЧЕСКИЕ МАТЕРИАЛЫ И НАНОМАТЕРИАЛЫ
- URL: https://journal-vniispk.ru/0044-457X/article/view/281889
- DOI: https://doi.org/10.31857/S0044457X24100152
- EDN: https://elibrary.ru/JHQAEC
- ID: 281889
Цитировать
Полный текст
Аннотация
Исследованы микроструктурные особенности, фазовый состав и электрохромные свойства пленки V2O5, сформированной методом вращения подложки с использованием алкоксоацетилацетоната ванадила в качестве прекурсора. Полученный материал содержит значительное количество ионов V4+, что обнаруживается как по наличию соответствующих мод в спектрах комбинационного рассеяния, так и по наличию фазы V7O16. В результате материал обладает анодным электрохромизмом – окрашивается при окислении, изменяя цвет с бледно-синего на значительно менее прозрачный оранжево-желтый. Оптический контраст при этом достигает 30% на длине волны 400 нм, а эффективность окрашивания составляет 65.26 см2/Кл. Результаты исследования демонстрируют перспективность применения материалов на основе V2O5, полученного с использованием гетеролигандных гидролитически активных комплексов ванадила, в качестве функциональных компонентов электрохромных устройств.
Ключевые слова
Полный текст
ВВЕДЕНИЕ
В настоящее время большое внимание исследователей привлекают электрохромные материалы, способные изменять свои оптические свойства, такие как пропускание в видимом диапазоне спектра, под действием электрического тока. Это связано с большим потенциалом использования указанных материалов в различных “умных” устройствах, например окнах, которые могли бы программируемо менять необходимые свойства. “Умные” окна очень перспективны для регуляции обмена теплом между окружающей средой и помещением [1, 2], что может позволить сэкономить большое количество электроэнергии из-за уменьшения затрат на отопление и кондиционирование зданий. Электрохромные материалы могут применяться также в цветовых фильтрах, светоотражающих и светопропускающих дисплеях и других устройствах [3, 4].
Некоторые классы химических соединений могут выступать в роли электрохромных материалов. Это могут быть проводящие полимеры (например, полианилин) [5–7], виологены [8, 9], комплексы (например, гексацианоферрат железа, порфирины) [10, 11]. Однако наиболее востребованными являются оксиды переходных металлов, таких как WO3, NiO, V2O5 [1, 12, 13]. Это обусловлено их стабильностью при долговременном использовании под действием солнечного света и УФ-излучения, высокой спектральной чистотой света, термостабильностью (в отличие от органических молекул), изменением прозрачности не только в видимом, но и в ближнем ИК-диапазоне электромагнитного излучения, высоким оптическим контрастом между окрашенным и обесцвеченным (более прозрачным) состояниями.
Большинство оксидов переходных металлов, проявляющих электрохромизм, окрашиваются при восстановлении – это катодные электрохромные материалы. Существуют также анодные материалы, которые при восстановлении становятся более прозрачными. Оксид ванадия(V) привлекает большой интерес исследователей благодаря уникальному свойству проявлять как катодный, так и анодный электрохромизм [1, 14, 15]. Как правило, V2O5 обладает катодным электрохромизмом, и только добавление допанта способствует росту числа дефектов в виде ионов V4+, чье окисление и приводит к анодному электрохромизму [14, 15]. Однако, на наш взгляд, интересной задачей является получение материалов на основе V2O5, не допированного какими-либо другими элементами, которые проявляли бы анодный электрохромизм. Известно, что в значительной степени на свойства конечного материала, его структуру и наличие дефектов влияют метод его синтеза, а также химический состав и строение прекурсора. В случае химических методов синтеза V2O5 прекурсорами часто являются алкоксиды [16, 17], соли ванадия [18, 19], ацетилацетонат ванадила [20]. Нам кажется очень перспективным применение алкоксоацетилацетоната ванадила в качестве гетеролигандного прекурсора [21, 22], так как его использование возможно в ряде различных методов нанесения пленок, включая вращение и окунание подложки, при его гидролизе формируется диоксид ванадия, регулируя условия термообработки которого, можно получать V2O5 с различным содержанием ионов V4+, а также, изменяя состав координационной сферы прекурсора, влиять как на дисперсность продукта, так и на содержание в нем дефектов, таких как кислородные вакансии. Таким образом, цель настоящего исследования – применение алкоксоацетилацетоната ванадила для получения пленки V2O5 со значительным содержанием V4+, которая бы обладала анодным электрохромизмом.
ЭКСПЕРИМЕНТАЛЬНАЯ ЧАСТЬ
Прекурсор – бутоксиацетилацетонат ванадила – был синтезирован методом частичного деструктивного замещения ацетилацетонатных лигандов при термообработке раствора ацетилацетоната ванадила [VO(C5H7O2)2] в н-бутаноле. Термообработку проводили при температуре масляной бани 115°С. Процесс контролировали с помощью УФ-спектрофотометрии, на основе данных которой рассчитывали долю бутоксильных групп в составе комплексов. По достижении указанного параметра на уровне 83%, что обеспечивало необходимую реакционную способность комплекса в процессах гидролиза и поликонденсации, термообработка была завершена. Полученный раствор прекурсора наносили на предварительно очищенные подложки: стеклянную и стеклянную с подслоем оксида индия-олова (ITO). Пленки формировали методом вращения подложки. Раствор прекурсора наносили на вращающиеся подложки, спустя 2 мин вращение останавливали на время сушки нанесенного слоя (2 мин), после чего начинали цикл нанесения следующего слоя. Так, на стеклянную подложку было нанесено 17 слоев, а на подложку со слоем ITO – 10. В результате формировались пленки, которые сначала имели оранжево-желтый цвет, как и раствор прекурсора, но при хранении на воздухе приобретали зеленый оттенок. Далее полученные образцы прокаливали на воздухе при 400°С (время выдержки 2 ч, скорость нагрева 6 град/мин). В результате такой термообработки пленки приобретали желто-оранжевый оттенок. Пленку на стеклянной подложке использовали для изучения фазового состава, а на подложке с ITO – для исследования микроструктуры и электрохромных свойств материала.
КР-спектры пленки стеклянной подложки до и после нанесения оксидной пленки записывали на спектрометре SOL Instruments Confotec NR500 (длина волны лазера 532 нм, решетка 600/500).
ИК-спектры в режиме диффузного отражения для пленки V2O5 и чистой стеклянной подложки регистрировали на ИК-Фурье-спектрометре ИнфраЛЮМ ФТ-08 (время накопления сигнала 60 с, разрешение 1 см–1).
Микроструктуру пленки V2O5 исследовали с помощью растровой электронной (РЭМ) и атомно-силовой микроскопии (АСМ). РЭМ выполняли на приборе TESCAN AMBER GMH (ускоряющее напряжение 2 кВ, сила тока 200 пА, фокусное расстояние 5 мм); АСМ – на микроскопе NT-MDT Solver PRO-M с использованием зондов ETALON HA-HR (радиус кривизны кончика <35 нм, резонансная частота 215 кГц).
Электрохромные свойства измеряли с помощью двухэлектродной ячейки, в которой рабочим электродом выступала пленка V2O5 на стекле с подслоем ITO, вспомогательным – стеклянная подложка со слоем ITO. Между этими подложками помещали полимерный электролит на основе полиэтиленгликоля, полипропиленкарбоната и перхлората лития. Толщина слоя электролита составляла 1 мм. На время измерений ячейку помещали в спектрофотометр СФ-56 (ОКБ “Спектр”) для фиксации изменений пропускания образца в видимом диапазоне, а электрохимические измерения, подачу напряжения на образец осуществляли с помощью потенциостата-гальваностата P-45X с приставкой для измерения электрохимического импеданса FRA-24M (Electrochemical Instruments).
РЕЗУЛЬТАТЫ И ОБСУЖДЕНИЕ
Характеризация оксидной пленки
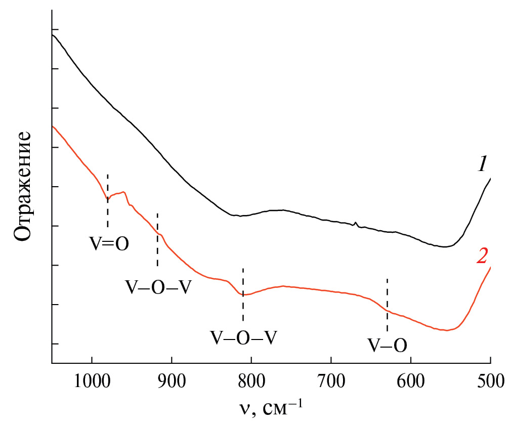
В ИК-спектре оксидной пленки на стеклянной подложке (рис. 1) можно различить четыре полосы поглощения с максимумами при 980, 918, 810 и 630 см–1. Согласно [23–26], эти полосы относятся к колебаниям связей V=O (980 см–1), V–O–V (918, 810 см–1), V–O (630 см–1). При этом полоса при 980 см–1 может быть характеристичной и для V2O5 [23], но чаще до 1000 см–1 смещены максимумы полос поглощения от колебаний связей V=O в оксидах ванадия с меньшей степенью окисления [24]. В данном случае это может свидетельствовать об образовании оксида ванадия с промежуточной степенью окисления или V2O5 с очень высокой долей ионов V4+. На это указывает и наличие полосы поглощения с максимумом при ~630 см–1, так как в данной области наблюдается достаточно интенсивное поглощение для VO2 [24]. В то же время интенсивная полоса поглощения при 800–810 см–1 является характеристичной именно для V2O5, но не для VO2 и V2O3 [24]. Таким образом, результаты ИК-спектроскопии свидетельствуют о формировании V2O5 с крайне высоким содержанием ионов V4+.
Рис. 1. Результаты ИК-спектроскопии отражения для стеклянной подложки (1) и сформированной на ней пленке V2O5 (2).
Результаты КР-спектроскопии (рис. 2) также указывают на формирование системы с большим содержанием ионов V4+ и V5+. Так, с одной стороны, присутствуют моды Ag при 390, 483 и 518 см–1 и мода Bg при 962 см–1, однозначно относящиеся к V2O5. Моды Ag относятся к растяжениям связей V–O и колебанию кристаллических ячеек вдоль параметров a, b и c V2O5, мода Bg относится, вероятно, к комбинации колебаний связей V–O вдоль оси b и растяжению вдоль нее же связей V–O–V на концах пирамид, составляющих слои пентаоксида ванадия [23, 27–29]. В то же время довольно интенсивны моды Bg при 254 и 329 см–1, а также Ag при 214 см–1, характеристичные для VO2 [30–32]. Кроме того, наблюдаются моды при 885 и 926 см–1, которые относятся, согласно [33, 34], к промежуточной между VO2 и V2O5 фазе V7O16.
Рис. 2. Результаты КР-спектроскопии сформированной пленки V2O5 на стеклянной подложке. Маркером * обозначены моды, характерные для VO2, маркером + – моды, характерные для V7O16.
Таким образом, на основании результатов ИК- и КР-спектроскопии можно сделать вывод, что материал представляет собой V2O5 с наличием промежуточной фазы V7O16 и весьма значительным количеством ионов V4+ помимо содержащихся в V7O16, из-за которых в ИК- и КР-спектрах присутствуют интенсивные сигналы, характеристичные для VO2.
Микроструктуру пленки исследовали методами РЭМ (рис. 3) и АСМ (рис. 4). Из микрофотографий видно, что пленка имеет островковую структуру. Сами оксидные кластеры при этом можно разделить на два типа: случайной и вытянутой формы. Островки первого типа в основном имеют протяженность 2–3 мкм и ширину до 1 мкм, а островки второго типа могут иметь длину от 500 нм до 2 мкм, но основная их доля имеет длину от 1 до 2 мкм, а ширина составляет ~100 нм. Более мелкие структурные единицы, которые бы составляли островки обоих типов, обнаружить с помощью РЭМ не удалось.
Рис. 3. Микроструктура (РЭМ) сформированной пленки V2O5 на стеклянной подложке.
Рис. 4. Микроструктура (АСМ) сформированной пленки V2O5 на стеклянной подложке.
Результаты АСМ хорошо согласуются с данными РЭМ. На приведенных топографических изображениях также заметна островковая структура пленки с оксидными кластерами двух типов. Размеры островков случайной формы в основном составляют 2–4 мкм в длину и 0.5–1.5 мкм в ширину. Длина вытянутых частиц, по данным АСМ, находится в диапазоне 0.7–1.7 мкм, ширина – 150–250 нм. Толщина структур обоих типов составляет 100–150 нм. Более мелкие структурные единицы, составляющие оксидные кластеры, с помощью АСМ также не обнаружены.
Полученные в итоге исследований методами РЭМ и АСМ данные о микроструктуре пленки, а также результаты ИК- и КР-спектроскопии, позволяют предположить, что в значительной степени островки, особенно имеющие случайную форму, аморфизированы. Островки, имеющие вытянутую форму наподобие волокон и стержней, могут быть значительно менее аморфизированы и в большей степени состоять из пентаоксида ванадия. Такое предположение позволяет сделать вывод о том, что V2O5 является слоистым материалом, в силу особенностей кристаллической структуры склонным образовывать частицы и агломераты вытянутой формы, такие как нанолисты, наностержни, нановолокна и наноленты. Вероятно, при нанесении пленки методом вращения подложки в ходе гидролиза бутоксиацетилацетоната ванадила формируются аморфизированные оксидные структуры случайной формы, которые при термообработке консолидируются, в результате формируется фаза в виде стержневидных оксидных кластеров, обладающая более выраженной кристаллической структурой.
Электрохромные свойства полученной оксидной пленки
Как известно, оксид ванадия(V) в основном проявляет катодный электрохромизм, окрашиваясь при восстановлении и изменяя цвет с бледно-желтого на темно-синий [35–37]. В основе данного процесса лежит обратимое восстановление ванадия(V) до ванадия(IV) и обратимая интеркаляция лития в состав оксида, из-за чего, согласно уравнению (1), формируется промежуточная между VO2 и V2O5 оксидная фаза, в которой избыток отрицательного заряда из-за восстановления ванадия компенсируется встроенными ионами лития:
. (1)
Однако, как видно из приведенных на рис. 5а спектров пропускания пленки в восстановленном и окрашенном состояниях, наш образец при восстановлении, наоборот, становится прозрачнее в диапазоне длин волн 300–1000 нм; при этом он изменяет цвет с желто-оранжевого на более прозрачный бледно-синий. Таким образом, полученный нами материал проявляет анодный электрохромизм. Это не противоречит литературным данным. В работе [14] показано, что пентаоксид ванадия может проявлять анодный электрохромизм, становясь менее прозрачным при окислении, за счет окисления присутствующих на поверхности пентаоксида в небольшом количестве ионов V4+, в результате образуются оранжевые супероксиды. Однако Занарини отмечает, что для заметного анодного электрохромизма необходимо допирование V2O5 другими элементами для повышения концентрации катионов V4+. Это подтверждается экспериментальными данными других исследователей [14, 15, 38–43]. В нашем случае допирование другими элементами не является необходимым, поскольку, как видно из результатов КР- и ИК-спектроскопии, уже образуется значительное количество ионов V4+ как в виде включений в V2O5, так и в составе промежуточной между диоксидом и пентаоксидом фазы V7O16. Добиться такого эффекта, вероятно, позволил выбор типа прекурсора и режима термообработки.
Рис. 5. Результаты измерения электрохромных свойств пленки V2O5: а – спектры пропускания ячейки в видимом и ближнем ИК-диапазонах до начала измерений и после 15 с выдержки при различных значениях потенциала; б – ЦВА, записанная со скоростью изменения потенциала 50 мВ/с; в – изменение коэффициента пропускания электрохромной ячейки на основе пленки V2O5 при длине волны 400 нм и развертка потенциала во время записи ЦВА; г – изменение коэффициента пропускания ячейки при длине волны 400 нм и выдержке в течение 15 с при 2.5 В и 10 с при –3.2 В.
При этом следует отметить достаточно высокий оптический контраст для нашего материала, равный ~30% на длине волны 400 нм в ходе записи циклических вольтамперограмм (ЦВА) и стабильно составляющий ~20% на этой длине волны в результате окисления или восстановления при подаче постоянной разницы потенциала. Следует отметить, что в литературе имеется мало данных об оптическом контрасте в случае анодного электрохромизма V2O5. Например, при допировании литием в работе [14] наблюдается контраст на уровне всего 2.5–3%. При допировании молибденом [15] уже можно добиться контраста ~35%, однако в этих работах максимально окисленное состояние все-таки прозрачнее, чем восстановленное, в отличие от нашей работы. Кроме того, в нашем случае удалось добиться значительного оптического контраста, вполне сравнимого с работой [15], без допирования оксида ванадия другими элементами.
Описывая электрохромные свойства полученной нами оксидной пленки, необходимо отметить, что процессы окрашивания и обесцвечивания протекают несколько асимметрично. Так, время отклика для процесса окрашивания (за которое достигается 95% от максимального оптического контраста) составляет 8.1 с, а время обесцвечивания – 3.9 с, таким образом, окрашивание происходит в два раза медленнее. Хотя по изменению коэффициента пропускания на длине волны 400 нм при подаче постоянного потенциала (рис. 5 г) эта разница неочевидна. Основная доля оптического контраста как при окрашивании, так и при обесцвечивании достигается за ~1 с, а далее лишь незначительно отличается наклон оптических откликов при выходе на плато: в случае окрашивания выход на плато медленнее, угол наклона выше, т.е. проявляется склонность к окрашиванию на несколько большую глубину, чем обесцвечивание. Это наблюдается по небольшому дрейфу пропускания пленки в сторону уменьшения по результатам пяти циклов окисления–восстановления при постоянных потенциалах (рис. 5 г).
На циклической вольтамперограмме (рис. 5б) виден ряд пиков как на катодной ветви, так и на анодной. Чтобы понять, какие из них соответствуют процессам окрашивания и обесцвечивания материала, параллельно ЦВА производилась запись изменения коэффициента пропускания пленки на длине волны 400 нм (рис. 5в). Таким образом, можно заметить, что окрашивание начинается на анодной ветви при 1.84 В и завершается только на катодной ветви при снижении потенциала до 0.12 В. Вероятно, именно пик с максимумом при 2.08 В относится к окислению V4+ до V5+. Обесцвечивание протекает в два этапа: первый начинается на катодной ветви при потенциале –0.11 В и замедляется, выходя на плато около –1.9 В. Второй этап обесцвечивания инициируется около максимального отрицательного потенциала (–3 В) и начинает выходить на плато на анодной ветви потенциала при достижении примерно –1 В. Вероятно, первый этап обесцвечивания связан с восстановлением доли V5+ до V4+ с формированием некой устойчивой промежуточной фазы (широкий пик с максимумом около –0.2 В), после чего на втором этапе (пик, нарастающий и не достигающий максимума при –3.2 В) происходит дальнейшее восстановление большего количества V5+ до V4+.
Опираясь на полученные данные, мы провели расчет эффективности окрашивания материала по следующей формуле:
, (2)
где η – эффективность окрашивания, Tобесцв – коэффициент пропускания на длине волны 400 нм в обесцвеченном состоянии, Tокр – коэффициент пропускания на длине волны 400 нм в окрашенном состоянии, Q – плотность заряда (величина внедренного в пленку заряда, деленная на единицу площади). В итоге эффективность окрашивания в нашем случае составила 65.25 см2/Кл, что превосходит многие другие электрохромные материалы на основе пентаоксида ванадия. Например, в работе [44] эффективность окрашивания составляет 51.7 см2/Кл, а в работе [45] – 4.2 см2/Кл. Такое значение эффективности окрашивания в совокупности с кинетическими параметрами процессов окрашивания/обесцвечивания и значением оптического контраста позволяет сделать вывод о перспективности полученного нами материала для применения в электрохромных устройствах.
ЗАКЛЮЧЕНИЕ
Исследован процесс формирования пленки на основе пентаоксида ванадия методом вращения подложки с использованием бутоксиацетилацетоната ванадила в качестве прекурсора. При помощи методов ИК-спектроскопии отражения и КР-спектроскопии установлено, что материал образован из V2O5 с высоким содержанием ионов V4+ и небольшим количеством примесной фазы V7O16, являющейся промежуточной между VO2 и V2O5. Пленка, по данным РЭМ и АСМ, обладает островковой структурой, причем выделяются два типа оксидных кластеров: случайной формы протяженностью порядка 2–4 мкм (0.5–1.5 мкм в поперечном сечении) и вытянутых, напоминающих волокна или стержни. Длина островков последнего типа варьируется в диапазоне 0.7–1.7 мкм, а ширина достигает 250 нм. Полученная пленка проявляет анодные электрохромные свойства и становится прозрачнее при восстановлении. Оптический контраст при длине волны 400 нм достигает 30%, а эффективность окрашивания равна 65.26 см2/Кл. Время обесцвечивания составляет 3.9 с, а окрашивания – 8.1 с. Таким образом, получен материал, проявляющий значительный анодный электрохромизм и перспективный для дальнейшего исследования и применения в электрохромных устройствах.
ФИНАНСИРОВАНИЕ РАБОТЫ
Работа выполнена при финансовой поддержке Российского научного фонда (грант № 23-73-01249), https://rscf.ru/project/23-73-01249/.
КОНФЛИКТ ИНТЕРЕСОВ
Авторы заявляют, что у них нет конфликта интересов.
Об авторах
Ф. Ю. Горобцов
Институт общей и неорганической химии им. Н.С. Курнакова РАН
Автор, ответственный за переписку.
Email: phigoros@gmail.com
Россия, Ленинский пр-т, 31, Москва, 119991
Н. П. Симоненко
Институт общей и неорганической химии им. Н.С. Курнакова РАН
Email: phigoros@gmail.com
Россия, Ленинский пр-т, 31, Москва, 119991
Т. Л. Симоненко
Институт общей и неорганической химии им. Н.С. Курнакова РАН
Email: phigoros@gmail.com
Россия, Ленинский пр-т, 31, Москва, 119991
Е. П. Симоненко
Институт общей и неорганической химии им. Н.С. Курнакова РАН
Email: phigoros@gmail.com
Россия, Ленинский пр-т, 31, Москва, 119991
Список литературы
- Granqvist C.G. // Thin Solid Films. 2014. V. 564. P. 1. https://doi.org/10.1016/j.tsf.2014.02.002
- Mortimer R.J. // Annu. Rev. Mater. Res. 2011. V. 41. № 1. P. 241. https://doi.org/10.1146/annurev-matsci-062910-100344
- Mortimer R.J., Dyer A.L., Reynolds J.R. // Displays. 2006. V. 27. № 1. P. 2. https://doi.org/10.1016/j.displa.2005.03.003
- Gu C., Jia A.B., Zhang Y.M. et al. // Chem. Rev. 2022. V. 122. № 18. P. 14679. https://doi.org/10.1021/acs.chemrev.1c01055
- Kobayashi T., Yoneyama H., Tamura H. // J. Electroanal. Chem. 1984. V. 161. P. 419.
- Tong Z.Q., Lv H.M., Zhao J.P. et al. // Chin. J. Polymer Sci. (Engl. Ed.). 2014. V. 32. № 8. P. 1040. https://doi.org/10.1007/s10118-014-1483-0
- Zhang Q., Xin B., Linc L. // Adv. Mater. Res. 2013. V. 651. P. 77. https://doi.org/10.4028/www.scientific.net/AMR.651.77
- Striepe L., Baumgartner T. // Chem. A Eur. J. 2017. V. 23. № 67. P. 16924. https://doi.org/10.1002/chem.201703348
- Shah K.W., Wang S.X., Soo D.X.Y. et al. // Polymers (Basel). 2019. V. 11. № 11. P. 1839. https://doi.org/10.3390/polym11111839
- Lu H.C., Kao S.Y., Chang T.H. et al. // Sol. Energy Mater. Sol. Cells. 2016. V. 147. P. 75. https://doi.org/10.1016/j.solmat.2015.11.044
- Assis L.M.N., Leones R., Kanicki J. et al. // J. Electroanal. Chem. 2016. V. 777. P. 33. https://doi.org/10.1016/j.jelechem.2016.05.007
- Costa C., Pinheiro C., Henriques I. et al. // ACS Appl. Mater. Interfaces. 2012. V. 4. № 3. P. 1330. https://doi.org/10.1021/am201606m
- Costa C., Pinheiro C., Henriques I. et al. // ACS Appl. Mater. Interfaces. 2012. V. 4. № 10. P. 5266. https://doi.org/10.1021/am301213b
- Zanarini S., Di Lupo F., Bedini A. et al. // J. Mater. Chem. C Mater. 2014. V. 2. № 42. P. 8854. https://doi.org/10.1039/c4tc01123f
- Jin A., Chen W., Zhu Q. et al. // Electrochim. Acta. 2010. V. 55. № 22. P. 6408. https://doi.org/10.1016/j.electacta.2010.06.047
- Zilberberg K., Trost S., Meyer J. et al. // Adv. Funct. Mater. 2011. V. 21. № 24. P. 4776. https://doi.org/10.1002/adfm.201101402
- Chen C.P., Chen Y.D., Chuang S.C. // Adv. Mater. 2011. V. 23. № 33. P. 3859. https://doi.org/10.1002/adma.201102142
- Gorobtsov F.Yu., Simonenko Т.L., Simonenko N.P. et al. // Russ. J. Inorg. Chem. 2022. V. 67. № 7. P. 1094. https://doi.org/10.1134/S0036023622070105
- Liu Q., Li Z.F., Liu Y. et al. // Nat. Commun. 2015. V. 6. P. 1. https://doi.org/10.1038/ncomms7127
- Matamura Y., Ikenoue T., Miyake M. et al. // Sol. Energy Mater. Sol. Cells. 2021. V. 230. P. 111287. https://doi.org/10.1016/j.solmat.2021.111287
- Gorobtsov P.Yu., Mokrushin A.S., Simonenko Т. L. et al. // Materials. 2022. V. 15. № 21. P. 7837. https://doi.org/10.3390/ma15217837
- Gorobtsov P.Yu., Simonenko Т.L., Simonenko N.P. et al. // Colloids Interfaces. 2023. V. 7. № 1. https://doi.org/10.3390/colloids7010020
- Clauws P., Broeckx J., Vennik J. // Phys. Status Solidi (B). 1985. V. 131. № 2. P. 459. https://doi.org/10.1002/pssb.2221310207
- Botto I.L., Vassallo M.B., Baran E.J. et al. // Mater. Chem. Phys. 1997. V. 50. P. 267.
- Bodurov G., Ivanova T., Abrashev M. et al. // Phys. Procedia. Elsevier. 2013. P. 127. https://doi.org/10.1016/j.phpro.2013.07.054
- Vedeanu N., Cozar O., Stanescu R. et al. // J. Mol. Struct. 2013. P. 323. https://doi.org/10.1016/j.molstruc.2013.01.078
- Abello L., Husson E., Repelin Y. et al. // Vibrational spectra and valence force field of crystalline. 1983. V. 5.
- Zhou B., He D. // J. Raman Spectroscopy. 2008. V. 39. № 10. P. 1475. https://doi.org/10.1002/jrs.2025
- Baddour-Hadjean R., Marzouk A., Pereira-Ramos J.P. // J. Raman Spectroscopy. 2012. V. 43. № 1. P. 153. https://doi.org/10.1002/jrs.2984
- Ureña-Begara F., Crunteanu A., Raskin J.P. // Appl. Surf. Sci. 2017. V. 403. P. 717. https://doi.org/10.1016/j.apsusc.2017.01.160
- Schilbe P. // Physica B. 2002. V. 316–317. P. 600.
- Ji Y., Zhang Y., Gao M. et al. // Sci. Rep. 2014. V. 4. https://doi.org/10.1038/srep04854
- Huotari J., Lappalainen J., Eriksson J. et al. // J. Alloys Compd. 2016. V. 675. P. 433. https://doi.org/10.1016/j.jallcom.2016.03.116
- Shvets P., Dikaya O., Maksimova K. et al. // J. Raman Spectroscopy. 2019. V. 50. № 8. P. 1226. https://doi.org/10.1002/jrs.5616
- Vernardou D. // Coatings. 2017. V. 7. № 2. P. 1. https://doi.org/10.3390/coatings7020024
- Iida Y., Kaneko Y., Kanno Y. // J. Mater. Process Technol. 2008. V. 197. № 1–3. P. 261. https://doi.org/10.1016/j.jmatprotec.2007.06.032
- Tong Z., Hao J., Zhang K. et al. // J. Mater. Chem. C Mater. 2014. V. 2. № 18. P. 3651. https://doi.org/10.1039/c3tc32417f
- Cholant C.M., Westphal T.M., Balboni R.D.C. et al. // J. Solid State Electrochem. 2017. V. 21. № 5. P. 1509. https://doi.org/10.1007/s10008-016-3491-1
- Patil C.E., Tarwal N.L., Jadhav P.R. et al. // Curr. Appl. Phys. 2014. V. 14. № 3. P. 389. https://doi.org/10.1016/j.cap.2013.12.014
- Panagopoulou M., Vernardou D., Koudoumas E. et al. // Electrochim. Acta. 2019. V. 321. P. 134743. https://doi.org/10.1016/j.electacta.2019.134743
- Panagopoulou M., Vernardou D., Koudoumas E. et al. // J. Phys. Chem. С. 2017. V. 121. № 1. P. 70. https://doi.org/10.1021/acs.jpcc.6b09018
- Mjejri I., Gaudon M., Rougier A. // Sol. Energy Mater. Sol. Cells. 2019. 2018. V. 198. P. 19. https://doi.org/10.1016/j.solmat.2019.04.010
- Jin A., Chen W., Zhu Q. et al. // Thin Solid Films. 2009. V. 517. № 6. P. 2023. https://doi.org/10.1016/j.tsf.2008.10.001
- Sajitha S., Aparna U., Deb B. // Adv. Mater. Int. 2019. V. 6. № 21. P. 1. https://doi.org/10.1002/admi.201901038
- Surca A.K., Dražić G., Mihelčič M. // Sol. Energy Mater. Sol. Cells. 2019. V. 96. P. 185. https://doi.org/10.1016/j.solmat.2019.03.017
Дополнительные файлы







