Composite solid electrolytes MWO4–SiO2 (M = Ca, Sr) and Ln2W3O12–SiO2 (Ln = La, Nd): synthesis and study of electrical transport properties
- Authors: Guseva A.F.1, Pestereva N.N.1
-
Affiliations:
- Ural Federal University
- Issue: Vol 70, No 1 (2025)
- Pages: 127-136
- Section: НЕОРГАНИЧЕСКИЕ МАТЕРИАЛЫ И НАНОМАТЕРИАЛЫ
- URL: https://journal-vniispk.ru/0044-457X/article/view/286274
- DOI: https://doi.org/10.31857/S0044457X25010144
- EDN: https://elibrary.ru/CUQRJT
- ID: 286274
Cite item
Abstract
Composite solid electrolytes based on alkaline earth tungstates MWO4–SiO2 (M = Ca, Sr) and rare earth metals Ln2W3O12–SiO2 (Ln = La, Nd) with the addition of nanodispersed silicon oxide were synthesized and their morphology, thermal, structural and electrical transport properties were studied. The absence of thermal effects on DSC of tungstates and silica mixtures as well as the absence of reflections of any foreign phases in the diffraction patterns of the composites, confirms their thermodynamic stability. The ionic nature of the composite conductivity is confirmed by the high values of ionic transfer numbers about 0.8–0.9 (EMF method) and the horizontal plot of conductivity versus oxygen pressure in the gas phase. The concentration dependence of the conductivity of the composites (1–x)MeWO4–xSiO2 (M = Ca, Sr), (1–x)Ln2W3O12–xSiO2 (Ln = La, Nd) passes through a maximum at x = 0.03–0.30 (x – mole fraction). The 0.70Nd2W3O12–0.30SiO2 composite has the best conductivity of 3.2 × 10−2 S/cm at 900°C.
Full Text
Введение
Нанодисперсный оксид кремния (наряду с оксидом алюминия) традиционно используется в качестве гетерогенной добавки к ионным проводникам с целью получения композиционных твердых электролитов [1–6]. Композитный эффект проводимости, т.е. резкий рост проводимости ионных проводников при их гетерогенном допировании инертными высокодисперсными добавками, обусловлен граничными эффектами, поэтому площадь межфазных границ твердый электролит/дисперсная добавка играет ключевую роль для его реализации. Среди всего разнообразия добавляемых к твердым электролитам дисперсоидов особое место занимает SiO2. Это объясняется его доступностью, химической инертностью, сравнительной легкостью получения в высокодисперсном состоянии. Наиболее хорошо исследованы свойства композитов на основе солей щелочноземельных металлов (ЩЗМ) [1–6] с катионной проводимостью.
Вольфраматы ЩЗМ МWO4 (M = Ca, Sr, Ba) со структурой шеелита и редкоземельных металлов (РЗМ) Ln2W3O12 (Ln = La, Sm, Eu, Gd, Nd) со структурой дефектного шеелита, твердые растворы и композиты на их основе широко используются в технике как компоненты лазерных материалов и катализаторов [7–14]. Последние исследования их электротранспортных свойств показали, что эти вещества также могут представлять интерес как материалы для ионики. В работах [15, 16] установлено, что основными носителями заряда в этих веществах являются ионы кислорода. Однако ионная проводимость вольфраматов ЩЗМ и РЗМ недостаточно высока (10–5–10–4 См/см при 900°С) для практического применения. Поскольку добавка высокодисперсного SiO2 к ионным солям, по данным [1–6], приводит к увеличению проводимости до двух порядков, в настоящей работе предпринята попытка улучшить кислородную проводимость вольфраматов ЩЗМ и РЗМ гетерогенным допированием нанодисперсным оксидом кремния.
Экспериментальная часть
Вольфраматы ЩЗМ МWO4 (M = Ca, Sr) и РЗМ Ln2W3O12 (Ln = La, Nd) синтезировали твердофазным методом из MCO3 (или Ln2O3) и WO3 квалификации “ос. ч.”. Карбонаты кальция и стронция предварительно отжигали при температуре 400°С, оксиды лантана и неодима – при 1200°С, оксид вольфрама – при 500°С в течение 4 ч для удаления адсорбированной влаги и гидроксильных групп с поверхности кристаллитов. Синтез проводили на воздухе согласно уравнениям:
(1)
(2)
Смесь реагентов, взятых в стехиометрических количествах, нагревали на воздухе с постепенным повышением температуры от 700 до 1000–1050°С в четыре приема с промежуточными перетираниями в среде этанола. Режим синтеза вольфраматов приведен в табл. 1.
Таблица 1. Режим твердофазного синтеза вольфраматов МWO4 (M = Ca, Sr) и Ln2W3O12 (Ln = La, Nd)
Стадия | МWO4 (M = Ca, Sr) | La2W3O12 | Nd2W3O12 | |||
t, °C | τ, ч | t, °C | τ, ч | t, °C | τ, ч | |
1 | 700 | 10 | 700 | 10 | 700 | 25 |
2 | 800 | 15 | 800 | 15 | 800 | 55 |
3 | 900 | 24 | 900 | 24 | 900 | 85 |
4 | 1000 | 30 | 1000 | 30 | 1050 | 85 |
Композиты (1–x)MWO4–xSiO2 и (1–x)Ln2W3O12–xSiO2, где x – мольная доля SiO2, получали механическим смешением порошков вольфрамата соответствующего металла и высокодисперсного диоксида кремния высокой чистоты с содержанием SiO2 99.9% (торговое название Aerosil-300, фирма Degussa) с удельной площадью поверхности 300 м2/г (средний размер частиц 7 нм).
Соoтношения мольной и объемнoй долей SiO2 представлены в табл. 2.
Таблица 2. Соoтношение мольной доли (мол. д.) и объемной доли (объем. д.) SiO2 в композитах
CaWO4–SiO2 | SrWO4–SiO2 | La2W3O12–SiO2 | Nd2W3O12–SiO2 | ||||
мол. д. SiO2 | объем. д. SiO2 | мол. д. SiO2 | объем. д. SiO2 | мол. д. SiO2 | объем. д. SiO2 | мол. д. SiO2 | объем. д. SiO2 |
0 0.05 0.06 0.10 0.15 0.30 0.50 0.80 1 | 0 0.025 0.030 0.050 0.080 0.200 0.320 0.660 1 | 0 0.01 0.03 0.05 0.10 0.15 0.17 0.25 0.30 0.60 0.70 1 | 0 0.004 0.011 0.018 0.038 0.059 0.068 0.106 0.133 0.350 0.454 1 | 0 0.01 0.03 0.05 0.20 0.30 1 | 0 0.002 0.005 0.008 0.035 0.060 1 | 0 0.03 0.10 0.15 0.25 0.30 0.40 0.50 | 0 0.005 0.016 0.025 0.046 0.060 0.088 0.127 |
Тщательно перетертые в среде этилового спирта смеси порошков соответствующих вольфраматов и SiO2 прессовали на ручном гидравлическом прессе в дисковые брикеты диаметром 10 мм и толщиной 2 мм под давлением 50 МПа. Спрессованные брикеты медленно нагревали в печи до 950°С (для La2W3O12–SiO2) или 1000°С (для MWO4–SiO2 (M = Ca, Sr) и Nd2W3O12–SiO2) и отжигали в течение 24 ч.
Экспериментальную плотность брикетов композитов определяли по их размерам и массе:
, (3)
где ρэксп – экспериментальная плотность брикета, m – масса брикета, V – объем брикета.
Значения теоретической плотности композитов вычисляли по формуле:
(4)
где ρтеор – теоретическое значение плотности вещества вольфрамата металла, φ – объемная доля SiO2 в композите, ρтеор(СaWO4) = 6.09 г/см3, ρтеор(SrWO4) = 6.2 г/см3, ρтеор(La2W3O12) = 6.63 г/см3, ρтеор(Nd2W3O12) = 7.04 г/см3, ρтеор(SiO2) = 2.65 г/см3 [17, 18].
Эффективная плотность брикетов вычислена по формуле:
. (5)
Не обнаружена какая-либо связь эффективной плотности композита с его составом. Для всех четырех исследованных систем эффективная плотность композита варьировала в пределах 10% при разном содержании SiO2. В качестве примера на рис. 1 приведена эффективная плотность композитов (1–x)Nd2W3O12–xSiO2 с разным содержанием дисперсной добавки.
Рис. 1. Концентрационная зависимость эффективной плотности композитов (1–x)Nd2W3O12–xSiO2.
В табл. 3 приведены средние значения эффективной плотности для четырех исследованных систем.
Таблица 3. Средняя эффективная плотность композитов (1–x)MWO4–xSiO2 и (1–x)Ln2W3O12–xSiO2
(1–x)CaWO4–xSiO2 | (1–x)SrWO4–xSiO2 | (1–x)La2W3O12–xSiO2 | (1–x)Nd2W3O12–xSiO2 | |
Эффективная плотность, % | 70 | 88 | 78 | 94 |
Для проведения электрических измерений на торцевые поверхности брикетов наносили пористые Pt-электроды, которые припекали при 1000°С в течение 1 ч.
Рентгенофазовый анализ (РФА) вольфраматов кальция, стронция, лантана, неодима и композитов на их основе проводили с помощью дифрактометра Bruker D8 Advance, используя CuKα-излучение.
Исследование морфологии композитов и их элементного состава осуществляли метoдами электронной микроскопии и энергодисперсионного анализа (СЭМ-ЭДС) сколов брикетов образцов на сканирующем электронном микроскопе Evo LS-10 Carl Zeiss NTS (ЦКП ИЕНиМ УрФУ). Изображения поверхности исследуемых материалов были получены с использованием детекторов обратнорассеянных электронов (режим BSE) и вторичных электронов (режим SE).
Синхронный термический анализ ТГ и ДСК проводили на приборе Netzsch STA 409 PC Luxx с квадрупольным масс-спектрометром QMS 403 Aёolos. Эквимолярную смесь порошков соответствующего вольфрамата и SiO2 нагревали от 50 до 1000°С со скоростью 10 град/мин, время нагрева составляло 95 мин.
Электропроводность вольфраматов кальция, стронция, лантана, неодима и композитов (1–x)MWO4–xSiO2 и (1–x)Ln2W3O12–xSiO2 измеряли методом импедансной спектроскопии с помощью прибора Immittance Parameters Meter IPI1 (Институт проблем управления им. Трапезникова, Москва) в частотном диапазоне 500 Гц–200 кГц (амплитуда тестового сигнала автоматически изменяется в диапазоне 3–300 мВ) в интервале температур 500–900°С. Снятие температурной зависимости электропроводности осуществляли в режиме охлаждения со скоростью 1 град/мин. Зависимость проводимости от парциального давления кислорода измеряли в изотермических условиях. Давление кислорода задавали с помощью прибора ZirconiaM и контролировали кислородным насосом и датчиком из твердого электролита на основе ZrO2 (Y2O3).
Для определения суммы ионных чисел переноса композитов использовали метод ЭДС, основанный на использовании концентрационных гальванических цепей. Для реализации градиента парциального давления кислорода один из электродов принудительно омывали кислородом (P″ O 2 = 1 атм), другой – воздухом (P′O 2 = 0.21 атм) с помощью микрокомпрессора. Изоляции газовых пространств электродов достигали тщательной шлифовкой брикетов и их прижатием к алундовой трубке. Сумму ионных чисел переноса вычисляли по формуле Нернста для проводников со смешанной проводимостью:
(6)
где R – молярная газовая постоянная, T – температура в K, F – постоянная Фарадея, Σtион – сумма ионных чисел переноса, – парциальное давление кислорода, равное 1 атм, – парциальное давление кислорода, равное 0.21 атм.
РЕЗУЛЬТАТЫ И ОБСУЖДЕНИЕ
Результаты рентгенофазового анализа
Согласно данным РФА, вольфраматы кальция, стронция, лантана и неодима получены однофазными, а композиты (1–x)MWO4–xSiO2 и (1–x)Ln2W3O12–xSiO2 содержали две фазы: искомый вольфрамат и SiO2 (рис. 2). Таким образом, не происходит химического взаимодействия веществ, входящих в состав композита.
Рис. 2. Данные РФА композитов (1–x)MWO4–xSiO2 (M = Ca (а), Sr (б)) и (1–x)Ln2W3O12–xSiO2 (Ln = La (в), Nd (г)).
Рентгенограмма SiO2 представлена размытым максимумом при 2θ = 22.0°, который является характерным для аморфного SiO2 (ICDD № 29-0085), а также рефлексами кварца: 2θ = 28.7°, 33.3° (ICDD № 83-540). На рентгенограмме композитов 0.5Nd2W3O12–0.5SiO2 и 0.7La2W3O12–0.3SiO2 присутствуют все рефлексы вольфраматов, а также размытый пик аморфного SiO2 при 22°, остальные рефлексы SiO2 (2θ = 28.7°, 33.3°) совпадают с рефлексами вольфраматов (на рис. 2 показаны стрелками). Поскольку нанодисперсный SiO2 сильно аморфизован, на рентгенограммах композитов (1–x)MWO4–xSiO2 (M = Ca, Sr) на фоне рефлексов кристаллического вольфрамата кальция и стронция рефлексов оксида кремния не видно (рис. 2). Рефлексов посторонних фаз на рентгенограмме композитов не обнаружено, что указывает на отсутствие взаимодействия между компонентами композита.
Результаты термогравиметрического анализа и дифференциальной сканирующей калориметрии
Результаты ТГ-ДСК эквимолярных смесей вольфраматов и SiO2 представлены на рис. 3. Видно, что в температурном интервале от 20 до 1000°С масса смеси вольфраматов и оксида кремния практически не изменяется, тепловые эффекты отсутствуют. Эти данные свидетельствуют о термодинамической стабильности композитов до 1000°С: компоненты композита (вольфрамат и кремнезем) не реагируют друг с другом. Для всех исследуемых систем масса при нагревании остается неизменной; на рисунке приведены данные для системы 0.5CaWO4–0.5SiO2, однако такое поведение характерно для всех образцов.
Рис. 3. Результаты ТГ-ДСК смесей 0.5CaWO4–0.5SiO2 (а), 0.5SrWO4–0.5SiO2 (б), 0.5Ln2W3O12–0.5SiO2 (в) и 0.5Nd2W3O12–0.5SiO2 (г), масса композита 0.5CaWO4–0.5SiO2 (д).
Результаты электронной микроскопии и энергодисперсионного анализа
Морфология композитов и их элементный состав исследованы методом СЭМ-ЭДС. Электронные микрофотографии сколов брикетов композитов различного состава и результаты ЭДС представлены на рис. 4.
Рис. 4. СЭМ-изображения и элементный состав композитов по данным ЭДС: 0.7CaWO4–0.3SiO2 (а), 0.75SrWO4–0.25SiO2 (б), 0.7La2W3O12–0.3SiO2 (в), 0.7Nd2W3O12–0.3SiO2 (г).
Размер зерен вольфраматов ЩЗМ и РЗМ варьирует в пределах от 2 до 20 мкм. Спектр ЭДС поверхности крупных зерен показывает наличие W и металла (Ca, Sr, La или Nd), а также небольшое количество кремния. Это позволяет идентифицировать крупные зерна как вольфрамат ЩЗМ или РЗМ. Точный размер зерен кремнезема установить не удалось из-за недостаточно высокого разрешения, но он существенно меньше 1 мкм. Спектр ЭДС в месте скопления мелких зерен показывает преимущественное содержание кремния с небольшим количеством вольфрама и ЩЗМ или РЗМ.
Для всех систем наблюдали “втягивание” мелких зерен SiO2 в приповерхностные слои крупных зерен вольфраматов. Этот эффект, обнаруженный нами ранее для композитов вольфраматов с высокодисперсной добавкой глинозема [19], объясняется более низкой поверхностной энергией вольфраматов по сравнению с поверхностной энергией тугоплавких SiO2 или Al2O3. Для композита 0.7Nd2W3O12–0.3SiO2 (рис. 4г) видно “погружение” мелких зерен кремнезема в крупные зерна вольфрамата неодима, особенно на их стыках. В некоторых случаях, как, например, для композита 0.75SrWO4–0.25SiO2 (рис. 4б), поверхность зерен вольфрамата, по которой прошел скол, выглядела “изъязвленной” вследствие механического удаления при сколе брикета зерен SiO2. Спектр ЭДС этой области показывает высокое содержание кремния по сравнению со стронцием и вольфрамом: [Si]/[Sr] ~ 20.
Исследование электротранспортных свойств композитов
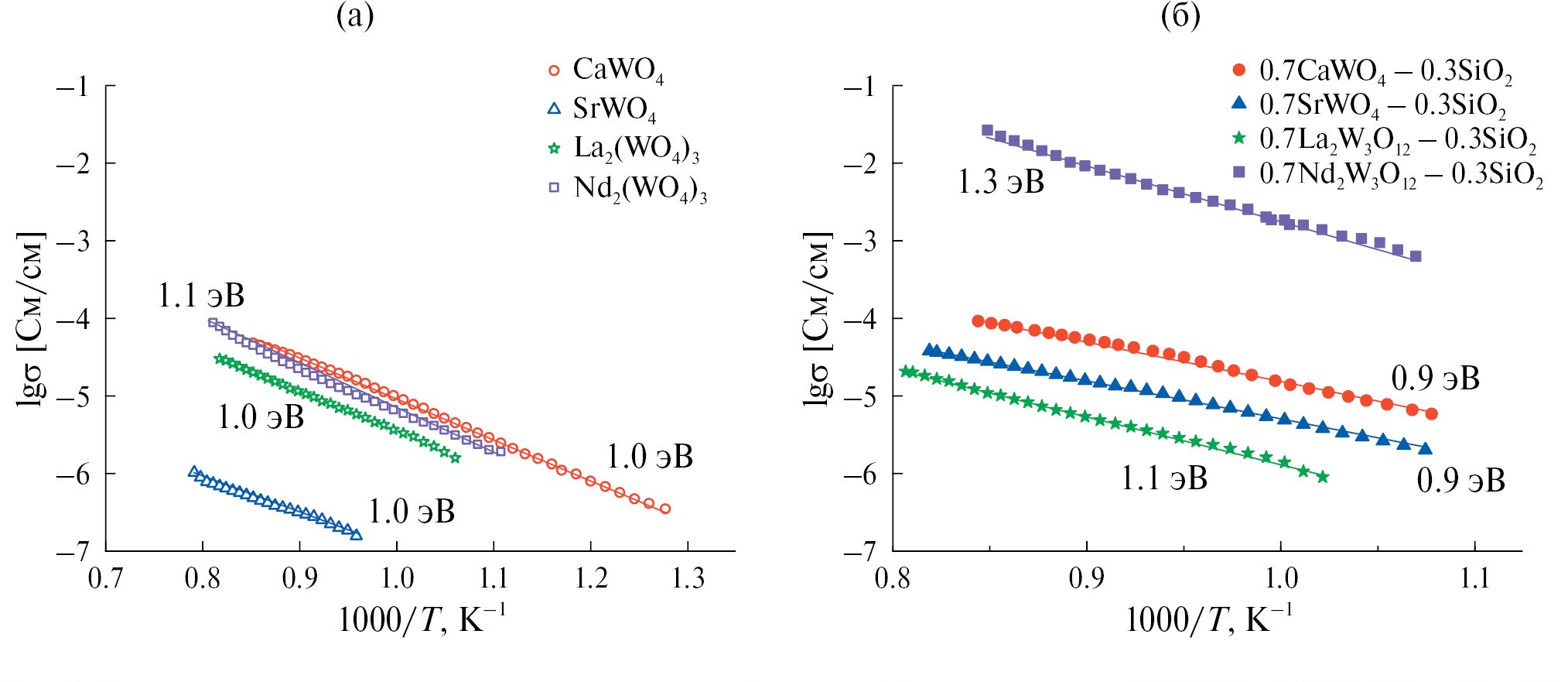
Политермы проводимости чистых вольфраматов и композитов с одинаковым содержанием кремнезема (0.7MWO4–0.3SiO2 и 0.7Ln2W3O12–0.3SiO2 соответственно) в аррениусовских координатах представлены на рис. 5.
Рис. 5. Зависимость электропроводности чистых вольфраматов (а) и композитов 0.7MWO4–0.3SiO2 (M = Ca, Sr), 0.7Ln2W3O12–0.3SiO2 (Ln = La, Nd) (б) от обратной температуры.
Не удалось обнаружить четкую корреляцию проводимости композитов с типом кристаллической решетки и величиной проводимости вольфраматов металлов, входящих в состав композита. Вольфраматы лантана и неодима изоструктурны и имеют решетку дефектного шеелита [20, 21], однако композит на основе Nd2W3O12 имеет самую высокую проводимость из числа изученных, а композит на основе La2W3O12 – самую низкую: электропроводность 0.7Nd2W3O12–0.3SiO2 на 2.5 порядка выше электропроводности 0.7La2W3O12–0.3SiO2. Между тем разница в электропроводности вольфраматов лантана и неодима не столь велика и составляет всего 0.5 порядка [15, 22].
Проводимость композитов на основе вольфраматов ЩЗМ имеет промежуточное значение в исследуемом ряду. Вольфраматы кальция и стронция изоструктурны и имеют кристаллическую решетку шеелита [23]. Для композитов на их основе корреляция с проводимостью матрицы имеется: электропроводность 0.7CaWO4–0.3SiO2 на ~0.5 порядка выше электропроводности 0.7SrWO4–0.3SiO2, такое же соотношение значений электропроводности фиксируется для соответствующих вольфраматов [24]. Эффективная энергия активации проводимости композитов составляет 0.9–1.3 (± 0.1) эВ во всем исследованном температурном интервале.
Для подтверждения ионного характера проводимости композитов была исследована ее барическая зависимость (рис. 6). Электрическая проводимость исследуемых композитов практически не зависит от , что указывает на ее ионный характер.
Рис. 6. Зависимость электропроводности композитов (1–x)MWO4–xSiO2 и (1–x)Ln2W3O12–xSiO2 от парциального давления кислорода в газовой фазе.
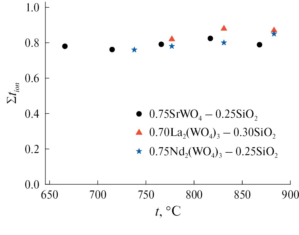
Такой же результат дают и измерения суммы ионных чисел переноса композитов методом ЭДС (рис. 7). Значения суммы ионных чисел переноса лежат в интервале 0.8–0.9, т.е. в композитах доминирует ионный перенос.
Рис. 7. Температурная зависимость суммы ионных чисел переноса композитов 0.75SrWO4–0.25SiO2, 0.70La2W3O12–0.30SiO2 и 0.75Nd2W3O12–0.25SiO2.
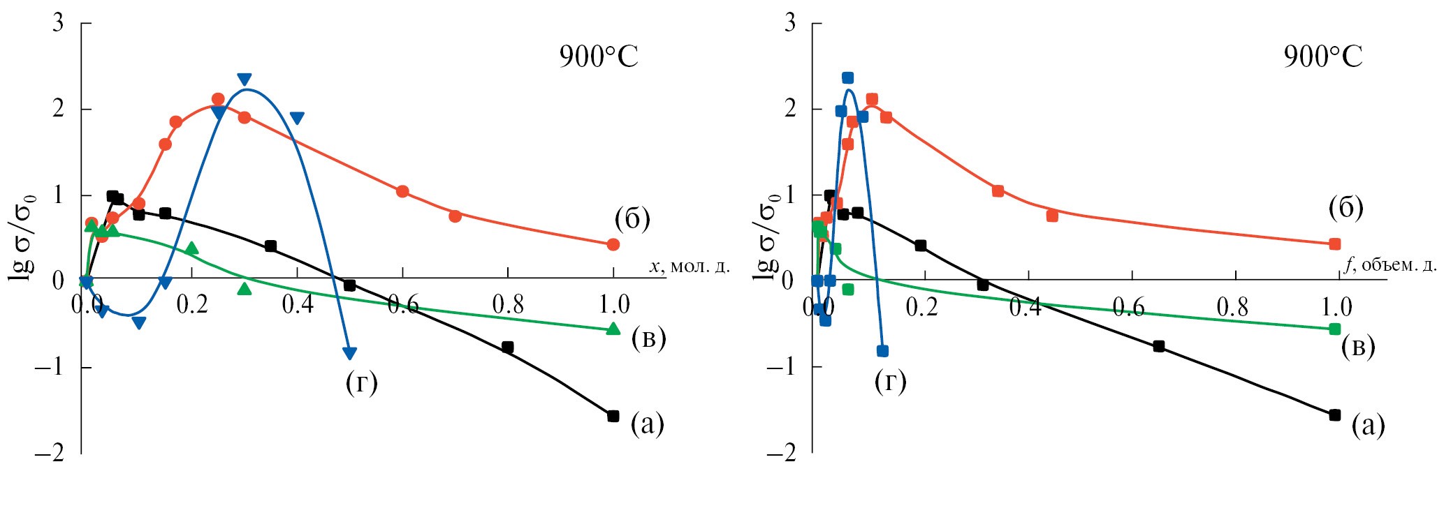
На рис. 8 представлены концентрационные зависимости проводимости композитов (1–x)MWO4–xSiO2 и (1–x)Ln2W3O12–xSiO2. Для удобства сравнения приведена относительная электропроводность композитов σ/σo, т.е. отношение проводимости композита к проводимости вольфрамата металла.
Рис. 8. Зависимость относительной электропроводности композитов (1–x)CaWO4–xSiO2 (а), (1–x)SrWO4–xSiO2 (б), (1–x)La2W3O12–xSiO2 (в) и (1–x)Nd2W3O12–xSiO2 (г) от мольной и объемной доли SiO2 при 900°С.
Поскольку надежно установленным считается тот факт, что электроперенос в композитах происходит по межфазным границам матрица–дисперсная добавка [25–27], максимальное значение электропроводности достигается для композитов с наивысшей площадью межфазных границ MWO4ǀSiO2 или Ln2W3O12ǀSiO2. Для исследуемых композитов максимум на концентрационной зависимости проводимости соответствует содержанию кремнезема в композите от 3 мол. % для (1–x)La2W3O12–xSiO2 до 30 мол. % для (1–x)Nd2W3O12–xSiO2. Максимальный композитный эффект (увеличение проводимости композита по сравнению с проводимостью матрицы) имеет место для системы Nd2W3O12–SiO2: проводимость композита 0.7Nd2W3O12–0.3SiO2 на 2.3 порядка выше проводимости Nd2W3O12 и составляет 3.2 × 10–2 См/см при 900°С. Для системы SrWO4–SiO2 композитный эффект также весьма велик: проводимость 0.75SrWO4–0.25SiO2 на два порядка выше проводимости SrWO4. Для систем СaWO4–SiO2 и La2W3O12–SiO2 композитный эффект слабее: максимальный рост проводимости композита по сравнению с вольфраматом на 1 и 0.7 порядков имеет место для составов 0.94СaWO4–0.06SiO2 и 0.97La2W3O12–0.03SiO2 соответственно.
В четырех исследованных системах (1–x)MWO4–xSiO2 (M = Ca, Sr) и (1–x)Ln2W3O12–xSiO2 (Ln = La, Nd) обнаружен композитный эффект проводимости: при гетерогенном допировании соответствущих вольфраматов нанодисперсным оксидом кремния электропроводность возрастает на 0.7–2.3 порядка. При последовательном увеличении содержания оксида кремния в композите проводимость сначала растет, а затем, достигая максимального значения при максимальной площади высокопроводящих межфазных границ матрица–дисперсоид (MWO4ǀSiO2 или Ln2W3O12ǀSiO2), падает, что обусловлено уменьшением площади межфазных границ вольфрамат–кремнезем, по которым реализуется электроперенос в композитах [25–27], и увеличением площади межфазных границ между зернами диэлектрика SiO2.
Для исследованных систем не выявлена связь композитного эффекта со структурой матрицы. Вольфраматы ЩЗМ CaWO4 и SrWO4 имеют структуру шеелита (тетрагональная сингония) [17, 23], образованную тетраэдрами [WO4] и додекаэдрами [MO8]. Значения проводимости данных изоструктурных вольфраматов достаточно близки: при 900°С σ(CaWO4) = 5 × 10–5 См/см, σ(SrWO4) = = 2 × 10–5 См/см [24]. Однако в системе SrWO4–SiO2 максимальный рост проводимости по сравне-нию с вольфраматом составляет 2 порядка, тогда как в системе СaWO4–SiO2 – всего 1 порядок (рис. 7). Таким образом, в системе SrWO4–SiO2 композитный эффект проводимости значительно сильнее.
Аналогичный результат получен и для композитов на основе вольфраматов РЗМ. Nd2W3O12 и La2W3O12 имеет структуру “дефектного шеелита” с моноклинной сингонией (пр. гр. С2/с [19]). Данная структура имеет в своей основе тетраэдры [WO4], является производной от шеелита (CaWO4) и образована при замене трех атомов кальция на два атома трехвалентного металла [21, 23]. Несмотря на сходную структуру матрицы композитов, в системе Nd2W3O12–SiO2 наблюдался рост проводимости при гетерогенном допировании вольфрамата РЗМ кремнеземом на 2.3 порядка, тогда как в системе La2W3O12–SiO2 – лишь на 0.7 порядка.
Анализ морфологии исследуемых композитов также не выявил существенных различий: во всех случаях композит был образован крупными зернами вольфрамата (2–20 мкм) и мелкими зернами кремнезема (<1 мкм). Во всех композитах наблюдали поглощение мелких зерен кремнезема крупными зернами вольфрамата, обусловленное разницей межфазных энергий MWO4 (Ln2W3O12) и SiO2.
В чем же причина более высокого композитного эффекта в системах SrWO4–SiO2 и Nd2W3O12–SiO2 по сравнению с CaWO4–SiO2 и La2W3O12–SiO2? Сравнение эффективной плотности композитов (1–x)MWO4–xSiO2 (M = Ca, Sr) и (1–x)Ln2W3O12–xSiO2 (Ln = La, Nd) показало, что имеется однозначная корреляция между величиной композитного эффекта в исследуемых системах и эффективной плотностью брикетов композитов (табл. 4).
Таблица 4. Сравнение средней эффективной плотности брикетов композитов (1–x)MWO4–xSiO2 (M = Ca, Sr) и (1–x)Ln2W3O12–xSiO2 (Ln = La, Nd) с величиной композитного эффекта
Параметр | (1–x)CaWO4–xSiO2 | (1–x)La2W3O12–xSiO2 | (1–x)SrWO4–xSiO2 | (1–x)Nd2W3O12–xSiO2 |
Эффективная плотность, % | 70 | 78 | 88 | 94 |
Композитный эффект (порядок) | 0.7 | 1 | 2 | 2.3 |
Максимальный композитный эффект обнаружен для наиболее плотных композитов (1–x)Nd2W3O12–xSiO2 с эффективной плотностью 94%, а наименьший композитный эффект зафиксирован для самых рыхлых композитов (1–x)CaWO4–xSiO2 с эффективной плотностью 70%. Таким образом, высокая плотность керамики является необходимым условием реализации композитного эффекта. Это неудивительно, так как для высокой проводимости композитов необходимо наличие сплошной высокопроводящей границы раздела фаз матрица–дисперсная добавка, образованию которой способствует высокая плотность керамики.
Следует отметить, что эффективная плотность исследуемых композитов (1–x)MWO4–xSiO2 (M = Ca, Sr) и (1–x)Ln2W3O12–xSiO2 (Ln = La, Nd) существенно отличалась несмотря на сходные условия их брикетирования и спекания. Попытка получить более плотные композиты (1–x)CaWO4–xSiO2 и (1–x)La2W3O12–xSiO2 с эффективной плотностью, близкой к 90% (как у (1–x)SrWO4–xSiO2 и (1–x)Nd2W3O12–xSiO2), не увенчалась успехом, так как увеличение температуры выше 1000°С приводило к рекристаллизации керамики, а в случае Ln2W3O12 – и к подплавлению.
Заключение
Синтезированы композиционные твердые электролиты (1–x)MWO4–xSiO2 (M = Ca, Sr), (1–x)Ln2W3O12–xSiO2 (Ln = La, Nd) и исследованы их термические, структурные и электротранспортные свойства. Измерение суммы ионных чисел переноса методом ЭДС и исследование барической зависимости электропроводности композитов показало, что они обладают преимущественно ионной проводимостью. Для всех исследуемых систем обнаружен композитный эффект проводимости – рост электропроводности при добавлении нанодисперсного оксида кремния к вольфрамату металла. Максимум проводимости наблюдается при содержании кремнезема от 0.03 мол. д. в композите (1–x)La2W3O12–xSiO2 до 0.3 мол. д. в композите (1–x)Nd2W3O12–xSiO2. Наибольший композитный эффект – увеличение электропроводности на 2.3 порядка – зафиксирован для системы Nd2W3O12–SiO2, в которой максимальное значение проводимости (3.2 × 10–2 См/см при 900°С) имеет композит 0.70Nd2W3O12–0.30SiO2. Установлено, что композитный эффект в исследуемых системах не зависит от кристаллической структуры матрицы композита, но увеличивается с ростом эффективной плотности керамики композитов, что обусловлено ростом площади межфазных границ MWO4ǀSiO2 (или Ln2W3O12ǀSiO2), вдоль которых реализуется электроперенос в композитах.
Финансирование работы
Результаты исследований получены в рамках выполнения государственного задания Министерства науки и высшего образования РФ (проект № 123031300049-8) с использованием оборудования УЦКП “Современные нанотехнологии” УрФУ (рег. № 2968), поддержанным Министерством науки и высшего образования РФ (проект № 075-15-2021–677).
Конфликт интересов
Авторы заявляют, что у них нет конфликта интересов.
About the authors
A. F. Guseva
Ural Federal University
Author for correspondence.
Email: Natalie.Pestereva@urfu.ru
Russian Federation, Yekaterinburg, 620002
N. N. Pestereva
Ural Federal University
Email: Natalie.Pestereva@urfu.ru
Russian Federation, Yekaterinburg, 620002
References
- Phipps J.B., Whitmore D.H. // Solid State Ionics. 1983. V. 9/10. P. 123. https://doi.org/10.1016/0167-2738(83)90220-5
- Mateyshina Y., Slobodyuk A., Kavun V., Uvarov N. // Solid State Ionics. 2018. V. 324. P. 196. https://doi.org/10.1016/j.ssi.2018.04.026
- Ponomareva V.G., Shutova E.S. // Solid State Ionics. 2005. V. 176. № 39/40. P. 2905. https://doi.org/10.1016/j.ssi.2005.09.021
- Shigeoka H., Otomo J., Wen C.-J. et al. // J. Electrochem. Soc. 2004. 151. P. J76. https://doi.org/10.1149/1.1793192
- Tadanaga K., Imai K., Tatsumisago M., Minami T. // J. Electrochem. Soc. 2002. V. 149. P. A773. https://doi.org/10.1149/1.1475687
- Ponomareva V.G., Burgina E.B., Tarnopolsky V.A., Yaroslavtsev A.B. // Mendeleev Commun. 2002. № 6. P. 2238. https://doi.org/10.1070/MC2002v012n06ABEH001667
- Guohua Jia, Chaoyang Tu, Jianfu Li et al. // J. Alloys Compd. 2007. V. 436. P. 341. https://doi.org/10.1016/j.jallcom.2006.07.037
- Yiguo Su, Liping Li, Guangshe Li // Chem. Mater. 2008. V. 20. P. 6060. https://doi.org/10.1021/cm8014435
- Zhiyao Hou, Chunxia Li, Jun Yang et al. // J. Mater. Chem. 2009. V. 19. P. 2737. https://doi.org/10.1039/B818810F
- Jinsheng Liao, Bao Qiu, Herui Wen et al. // Mater. Res. Bull. 2009. V. 44. P. 1863. https://doi.org/10.1016/j.materresbull.2009.05.013
- Pang M.L., Lin J., Yu. M. // J. Solid State Chem. 2004. V. 177. P. 2237. https://doi.org/10.1016/j.jssc.2004.02.031
- Dong Wang, Piaoping Yang, Ziyong Cheng et al. // J. Colloid Interface Sci. 2012. V. 365. P. 320. https://doi.org/10.1016/j.jcis.2011.09.008
- Peiqing Cai, Cuili Chen, Qin Lin et al. // J. Korean Phys. Soc. 2016. V. 68. №. 3. P. 443. https://doi.org/10.3938/jkps.68.443
- Ульянкина А.А., Царенко А.Д., Молодцова Т.А. и др. // Электрохимия. 2023. T. 59. № 12. С. 790. https://doi.org/10.31857/S0424857023120149
- Pestereva N., Guseva А., Vyatkin I., Lopatin D. // Solid State Ionics. 2017. V. 301. P. 72. https://doi.org/10.1016/j.ssi.2017.01.009
- Пестерева Н.Н., Жукова А.Ю., Нейман А.Я. // Электрохимия. 2007. Т. 43. С. 1379.
- Григорьева. Л.Ф. Диаграммы состояния систем тугоплавких оксидов: Справочник. Вып. 5. Двойные системы. Ч. 4. Л.: Наука, 1988. 348 с.
- Rode E.Y., Balagina G.M., Ivanova M.M., Karpov V.N. // Russ. J. Inorg. Chem. 1968. V. 13. P. 762.
- Гусева А.Ф., Пестерева Н.Н., Отческих Д.Д., Востротина Е.Л. // Электрохимия. 2019. Т. 55. № 6. С. 721.
- Imanaka N., Tamura S. // Bull. Chem. Soc. Jpn. 2011. V. 84. P. 353. https://doi.org/10.1246/bcsj.20100178
- Евдокимов А.А., Ефремов В.А., Трунов В.К. и др. Соединения редкоземельных элементов. Молибдаты, вольфраматы. М.: Наука, 1991. С. 51.
- Гусевa А.Ф., Пестерева Н.Н. // Журн. неорган. химии. 2023. Т. 68. № 3. С. 426.
- Порай-Кошиц М.А., Атовмян Л.О. Кристаллохимия и стереохимия координационных соединений молибдена АН СССР. Ин-т хим. физики. М.: Наука, 1974. 231 с. https://doi.org/10.31857/S0044457X2260164X
- Neiman A.Ya., Pestereva N.N., Sharafutdinov A.R. et al. // Russ. J. Electrochem. 2005. V. 41. P. 598.
- Уваров Н.Ф. Композиционные твердые электролиты. Новосибирск: Изд-во СО РАН, 2008. 258 с.
- Улихин А.С., Новожилов Д.В., Хуснутдинов В.Р. и др. // Электрохимия. 2022. Т 58. № 7. C. 380. https://doi.org/10.31857/S0424857022070143
- Алексеев Д.В., Матейшина Ю.Г., Уваров Н.Ф. // Электрохимия. 2022. Т. 58. № 7. С. 394.
Supplementary files










