Синтез и физико-химические свойства солей магния с 4Н-пирановыми кислотами
- Авторы: Козин С.В.1,2, Кравцов А.A.1,2, Киндоп В.К.1, Беспалов А.В.1, Иващенко Л.И.1, Назаренко M.A.1, Моисеев А.В.3, Чураков А.В.4, Вашурин А.С.4
-
Учреждения:
- Кубанский государственный университет
- Южный научный центр Российской академии наук
- Кубанский государственный аграрный университет им. И.Т. Трубилина
- Институт общей и неорганической химии им. Н.С. Курнакова Российской академии наук
- Выпуск: Том 70, № 2 (2025)
- Страницы: 191-200
- Раздел: СИНТЕЗ И СВОЙСТВА НЕОРГАНИЧЕСКИХ СОЕДИНЕНИЙ
- URL: https://journal-vniispk.ru/0044-457X/article/view/289430
- DOI: https://doi.org/10.31857/S0044457X25020065
- EDN: https://elibrary.ru/ICOVAX
- ID: 289430
Цитировать
Аннотация
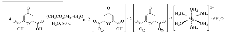
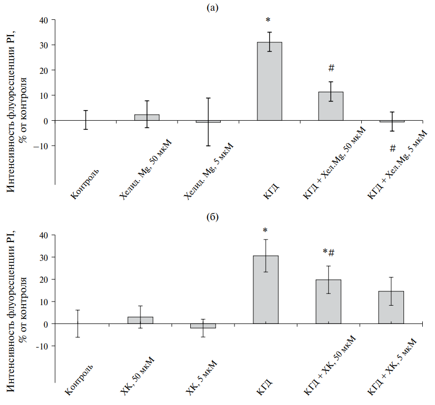
В результате взаимодействия 4-оксо-4H-пиран-2,6-дикарбоновой (хелидоновой) кислоты с ацетатом магния было получено сокристаллическое соединение – хелидонат магния. Изучение процесса термоокислительной деструкции хелидоната магния показало, что его дегидратация осуществляется в два этапа, а термодеструкция органической части сопровождается ярко выраженными тепловыми эффектами. В структуре хелидоната магния вокруг катиона магния имеется как внутренняя, так и внешняя координационная сфера. Во внутреннюю сферу входят шесть молекул воды, образующие гексааквакатион магния. Внешнюю сферу образуют анионные остатки хелидоновой кислоты, связанные водородными связями с молекулами воды внутренней координационной сферы катиона магния. Структура хелидоната магния кристаллизуется в триклинной сингонии пр. гр. и имеет обширную сеть водородных связей между координированными молекулами воды, анионами кислоты и катионами гексагидрата магния. Сравнительный анализ нейропротекторного действия хелидоната магния и хелидоновой кислоты показал, что оба соединения защищали культивируемые нейроны в модели клеточной ишемии. Данный эффект выражался снижением гибели нейронов при кислородо-глюкозной депривации. При этом хелидонат магния был эффективнее хелидоновой кислоты при тех же концентрациях.
Ключевые слова
Полный текст
Об авторах
С. В. Козин
Кубанский государственный университет; Южный научный центр Российской академии наук
Автор, ответственный за переписку.
Email: kozinsv85@mail.ru
Лаборатория проблем распространения стабильных изотопов в живых системах
Россия, 350040, Краснодар; 344006, Ростов-на-ДонуА. A. Кравцов
Кубанский государственный университет; Южный научный центр Российской академии наук
Email: kozinsv85@mail.ru
Лаборатория проблем распространения стабильных изотопов в живых системах
Россия, 350040, Краснодар; 344006, Ростов-на-ДонуВ. К. Киндоп
Кубанский государственный университет
Email: kozinsv85@mail.ru
Россия, 350040, Краснодар
А. В. Беспалов
Кубанский государственный университет
Email: kozinsv85@mail.ru
Россия, 350040, Краснодар
Л. И. Иващенко
Кубанский государственный университет
Email: kozinsv85@mail.ru
Россия, 350040, Краснодар
M. A. Назаренко
Кубанский государственный университет
Email: kozinsv85@mail.ru
Россия, 350040, Краснодар
А. В. Моисеев
Кубанский государственный аграрный университет им. И.Т. Трубилина
Email: kozinsv85@mail.ru
Россия, 350044, Краснодар
А. В. Чураков
Институт общей и неорганической химии им. Н.С. Курнакова Российской академии наук
Email: kozinsv85@mail.ru
Россия, 119991, Москва
А. С. Вашурин
Институт общей и неорганической химии им. Н.С. Курнакова Российской академии наук
Email: kozinsv85@mail.ru
Россия, 119991, Москва
Список литературы
- Walter a E.R.H., Hogg C., Parker D., Williams J.A. G. // Coord. Chem. Rev. 2021. V. 428. P. 213622. https://doi.org/10.1016/j.ccr.2020.213622
- de Baaij J.H., Hoenderop J.G., Bindels R.J. // Physiol.Rev. 2015. V. 95. P. 1. https://doi.org/10.1152/physrev.00012.2014. PMID: 25540137
- Louis J. M., Randis T. M. // JAMA. 2023. V. 330. P. 597. https://doi.org/10.1001/jama.2023.10673.
- Kim S. J., Kim D.S., Li Sh. et al. // Biol. Chem. 2023. V. 66. P. 12. https://doi.org/10.1186/s13765-022-00763-1
- Singh D.K., Gulati K., Ray A. // Int. Immunopharmacol. 2016. V. 40. P. 229. https://doi.org/10.1016/j.intimp.2016.08.009
- Oh H.A., Kim H.M., Jeong H.J. // Int. Immunopharmacol. 2011. V. 11. P. 39. https://doi.org/10.1016/j.intimp.2010.10.002
- Kim D.S., Kim S.J., Kim M.C. et al. // Biol. Pharm. Bull. 2012. V. 35. P. 666. https://doi.org/10.1248/bpb.35.666
- Avdeeva E., Porokhova E., Khlusov I. et al. // Pharmaceuticals. 2021. V. 146. P. 579. https://doi.org/10.3390/ph14060579
- Jeong H.J., Yang S.Y., Kim H.Y. et al. // Exp. Biol. Med. 2016. V. 241. P. 1559. https://doi.org/10.1177/1535370216642044
- Kozin S.V., Kravtsov A.A., Kravchenko S.V. et al. // Bull. Exp. Biol. Med. 2021. V. 171. P. 619. https://doi.org/10.1007/s10517-021-05281-6
- Rogachevskii I.V., Plakhova V.B., Penniyaynen V.A. et al. // Can. J. Physiol. Pharmacol. 2022. V. 100. P. 43. https://doi.org/10.1139/cjpp-2021-0286
- Kravtsov A.A., Shurygin A.Y., Skorokhod N.S., Khaspekov L.G. // Bull. Exp. Biol. Med. 2011. V. 150. P. 436. https://doi.org/10.1007/s10517-011-1162-x
- Shurygina L.V., Zlishcheva E.I, Kravtsov A.A., Kozin S.V. // Bull. Exp. Biol. Med. 2021. V.171. P. 338. https://doi.org/10.1007/s10517-021-05223-2
- Khan A., Park T.J., Ikram M. et al. // Mol. Neurobiol. 2021. V.58. P. 5127. https://doi.org/10.1007/s12035-021-02460-4
- Yasodha V., Govindarajan S., Low J.N., Glidewell C. // Acta Crystallogr C. 2007. V. 63. P. 207. https://doi.org/10.1107/S010827010701459X
- Ivashchenko L.I., Kozin S.V., Vasileva L.V. et al. // Russ. J. Coord. Chem. 2023. V. 49. P. 437. https://doi.org/10.31857/S0132344X22600412
- Case D.R., Gonzalez R., Zubieta J., Doyle R.P. // ACS Omega. 2021. V. 6. P. 29713. https://doi.org/10.1021/acsomega.1c04104
- Bannwarth C., Ehlert S., Grimme S. // J. Chem. Theory Comput. 2019. V. 15. P. 1652. https://doi.org/10.1021/acs.jctc.8b01176
- Pracht P., Grant D.F., Grimme S. // J. Chem. Theory Comput. 2020. V. 16. P. 7044. https://doi.org/10.1021/acs.jctc.0c00877
- Neese F. // WIREs Comput. Mol. Sci. 2011. V. 2. P. 73. https://doi.org/10.1002/wcms.81
- Neese F. // WIREs Comput. Mol. Sci. 2022. V. 12:c1606. P. 1. https://doi.org/10.1002/wcms.1606
- Kozin S., Kravtsov A., Ivashchenko L. et al. // Int. J. Mol. Sci. 2024. V. 25. P. 286. https://doi.org/10.3390/ijms25010286
- Kravtsov A., Kozin S., Basov A. et al. // Molecules. 2022. V. 27. P. 243. https://doi.org/10.3390/molecules27010243
- Malaganvi S.S., Tonannavar (Yenagi) J., Tonannavar J. // Heliyon. 2019. V. 5. P. 1. https://doi.org/10.1016/j.heliyon.2019.e01586
- Case D.R., Zubieta J., P Doyle R. // Molecules. 2020. V. 25. P. 3172. https://doi.org/10.3390/molecules25143172
- Khairnar S.I., Kulkarni Y.A., Singh K. // Rev Port Cardiol. 2024. V. 30. https://doi.org/10.1016/j.repc.2024.06.003.
Дополнительные файлы







