Adsorbent based on activated carbon and iron oxide for removing tetracycline from liquid media
- Authors: Alekseeva O.V.1, Yashkova D.N.1, Noskov A.V.1, Agafonov A.V.1, Smirnov N.N.2
-
Affiliations:
- Krestov Institute of Solution Chemistry of the Russian Academy of Sciences
- Ivanovo State University of Chemistry and Technology
- Issue: Vol 70, No 2 (2025)
- Pages: 201-211
- Section: СИНТЕЗ И СВОЙСТВА НЕОРГАНИЧЕСКИХ СОЕДИНЕНИЙ
- URL: https://journal-vniispk.ru/0044-457X/article/view/289433
- DOI: https://doi.org/10.31857/S0044457X25020075
- EDN: https://elibrary.ru/ICOAZS
- ID: 289433
Cite item
Abstract
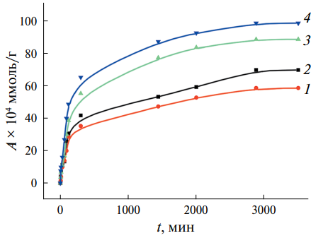
Powders containing activated carbon (BAC) and iron oxide (FexOy) with different component ratios (80/20 and 20/80 wt. %) were synthesized by chemical co-precipitation of iron salts in the pores and on the surface of the carbon. To assess the morphology, texture and structure of the composites, laser diffraction, scanning electron microscopy, low-temperature adsorption-desorption of nitrogen vapor, and X-ray diffraction were used. It was revealed that the synthesized powders are mesoporous materials with a small contribution of macropores. The sorption properties of coal, iron oxide and iron-containing composites in relation to the drug compound tetracycline were studied. It was found that the sorption efficiency of antibiotic increases in the order Fe3O4 < BAC < BAC/FexOy-20/80 < BAC/FexOy-80/20. The kinetics of tetracycline adsorption on the powders under study was described by equations of pseudo-first and pseudo-second order reactions.
Keywords
Full Text
About the authors
O. V. Alekseeva
Krestov Institute of Solution Chemistry of the Russian Academy of Sciences
Email: avn@isc-ras.ru
Russian Federation, Ivanovo, 153045
D. N. Yashkova
Krestov Institute of Solution Chemistry of the Russian Academy of Sciences
Email: avn@isc-ras.ru
Russian Federation, Ivanovo, 153045
A. V. Noskov
Krestov Institute of Solution Chemistry of the Russian Academy of Sciences
Author for correspondence.
Email: avn@isc-ras.ru
Russian Federation, Ivanovo, 153045
A. V. Agafonov
Krestov Institute of Solution Chemistry of the Russian Academy of Sciences
Email: avn@isc-ras.ru
Russian Federation, Ivanovo, 153045
N. N. Smirnov
Ivanovo State University of Chemistry and Technology
Email: avn@isc-ras.ru
Russian Federation, Ivanovo, 153000
References
- Ali A., Shah T., Ullah R. et al. // Front. Chem. 2021. V. 9. P. 629054. https://doi.org/10.3389/fchem.2021.629054
- Vargas-Ortiz J.R., Gonzalez C., Esquivel K. // Processes. 2022. V. 10. P. 2282. https://doi.org/10.3390/pr10112282
- Cai N., Larese-Casanova P. // Nanomaterials. 2020. V. 10. P. 213. https://doi.org/10.3390/nano10020213
- Толмачева В.В., Апяри В.В., Кочук Е.В. и др. // Журн. аналит. химии. 2016. Т. 71. № 4. С. 339. https://doi.org/10.7868/S0044450216040071
- Папынов Е.К., Номеровский А.Д., Азон А.С. и др. // Журн. неорган. химии. 2020. Т. 65. № 11. С. 1449. https://doi.org/10.31857/S0044457X2011015X
- Yew Y.P., Shameli K., Miyake M. et al. // Arab. J. Chem. 2020. V. 13. P. 2287. https://doi.org/10.1016/j.arabjc.2018.04.013
- Mashkoor F., Nasar A. // J. Magn. Magn. Mater. 2020. V. 500. P. 166408. https://doi.org/10.1016/j.jmmm.2020.166408
- Shukla S., Khan R., Daverey A. // Environ. Technol. Innov. 2021. V. 24. P. 101924. https://doi.org/10.1016/j.eti.2021.101924.
- Lu J., Jiao X., Chen D. et al. // J. Phys. Chem. 2009. V. 113. P. 4012. https://doi.org/10.1021/jp810583e
- Akiba Fexy J.D.H. // Int. J. Sci. Eng. Res. 2018. V. 9. № 7. P. 324.
- Roth H-C., Schwaminger S.P., Schindler M. et al. // J. Magn. Magn. Mater. 2015. V. 377. P. 81. https://doi.org/10.1016/j.jmmm.2014.10.074
- Dudchenko N., Pawar S., Perelshtein I. et al. // Materials. 2022. V. 15. P. 2601. https://doi.org/10.3390/ma15072601
- Шилова О.А., Николаев А.М., Коваленко А.С. и др. // Журн. неорган. химии. 2020. Т. 65. № 3. С. 398. https://doi.org/10.31857/S0044457X20030137
- Santoso E., Ediati R., Kusumawati Y. et al. // Mater. Today Chem. 2020. V. 16. P. 100233. https://doi.org/10.1016/j.mtchem.2019.100233
- Liu Q., Cao X., Yue T. et al. // Environ. Sci. Pollut. Res. 2023. V. 30. P. 87185. https://doi.org/10.1007/s11356-023-28685-5
- Савицкая Т.А., Шахно Е.А., Гриншпан Д.Д. и др. // Высокомолек. соед. Серия А. 2019. Т. 61. № 3. С. 209. https://doi.org/10.1134/S230811201903012X
- Shan D., Deng S., Zhao T. et al. // J. Hazard. Mater. 2016. V. 305. P. 156. https://doi.org/10.1016/j.jhazmat.2015.11.047
- Koonaphapdeelert S., Moran J., Aggarangsi P., Bunkham A. // Energy Sustain. Devel. 2018. V. 43. P. 196. https://doi.org/10.1016/j.esd.2018.01.010
- Li R., Sun W., Xia L. et al. // Molecules. 2022. V. 27. P. 7980. https://doi.org/10.3390/molecules27227980
- Бондаренко Л.С., Магомедов И.С., Терехова В.А. и др. // Журн. прикл. химии. 2020. Т. 93. № 8. С. 1160. https://doi.org/10.31857/S0044461820080125
- Reguyal F., Sarmah A.K., Gao W. // J. Hazard. Mater. 2017. V. 321. P. 868. https://doi.org/10.1016/j.jhazmat.2016.10.006
- Daghrir R., Drogui P. // Environ. Chem. Lett. 2013. V. 11. P. 209. https://doi.org/10.1007/s10311-013-0404-8
- Avisar D., Primor O., Gozlan I. et al. // Water Air Soil Pollut. 2010. V. 209. P. 439. https://doi.org/10.1007/s11270-009-0212-8
- Sing K.S.W. // Adv. Colloid Interfacе Sci. 1998. V. 76–77. P. 3. https://doi.org/10.1016/S0001-8686(98)00038-4
- Aligizaki K.K. Pore Structure of Cement-Based Materials: Testing Interpretation and Requirements (Modern Concrete Technology). N. Y.: Taylor & Francis, 2005. 432 p.
- Guinier A. X-ray diffraction: in crystals, imperfect crystals, and amorphous bodies. N. Y.: Dover Books on Physics, 2001. 378 p.
- Гришин И.С., Смирнов Н.Н., Смирнова Д.Н. // Физика и химия обработки материалов. 2022. № 6. С. 33. https://doi.org/10.30791/0015-3214-2022-6-33-43
- Алексеева О.В., Смирнова Д.Н., Носков А.В. и др. // Журн. неорган. химии. 2023. Т. 68. № 8. C. 1021. https://doi.org/10.31857/S0044457X23600299
- Rodrigues S.C., Silva M.C., Torres J.A. et al. // Water Air Soil Pollut. 2020. V. 231. № 294. https://doi.org/10.1007/s11270-020-04610-1
- Baabu P.R.S., Kumar H.K., Gumpu M.B. et al. // Materials. 2023. V. 16. № 1. P. 59. https://doi.org/10.3390/ma16010059
- Maity D., Agrawal D.C. // J. Magn. Magn. Mater. 2007. V. 308. № 1. P. 46. https://doi.org/10.1016/j.jmmm.2006.05.001
- Nazari P., Askari N., Setayesh S.R. // Chem. Eng. Commun. 2018. V. 207. P. 665. https://doi.org/10.1080/00986445.2019.1613233
- Алексеева О.В., Шипко М.Н., Смирнова Д.Н. и др. // Поверхность. Рентгеновские, синхротронные и нейтронные исследования. 2022. № 3. С. 23. https://doi.org/10.31857/S1028096022030025
- Chen K., Wang G.H., Li W.B. et al. // Chin. Chem. Lett. 2014. V. 25. № 11. P. 1455. https://doi.org/10.1016/j.cclet.2014.06.014
- Ho Y-S. // Scientometrics. 2004. V. 59. № 1. P. 171.
- Cazetta A.L., Vargas A.M.M., Nogami E.M. et al. // Chem. Eng. J. 2011. V. 174. № 1. P. 117. https://doi.org/10.1016/j.cej.2011.08.058
- Qiu H., Lv L., Pan B.-c. et al. // J. Zhejiang Univ. Sci. 2009. V. 10. P. 716. https://doi.org/10.1631/jzus.A0820524
- Lian L., Lv J., Wang X., Lou D. // J. Chromatogr. A. 2018. V. 1534. P. 1. https://doi.org/10.1016/j.chroma.2017.12.041
- Dai J., Meng X., Zhanga Y., Huang Y. // Bioresource Technol. 2020. V. 311. P. 123455. https://doi.org/10.1016/j.biortech.2020.123455
- Hoslett J., Ghazal H., Katsou E., Jouhara H. // Sci. Total Environ. 2021. V. 751. P. 141755. https://doi.org/10.1016/j.scitotenv.2020.141755
- Chen Y., Wang F., Duan L. et al. // J. Mol. Liq. 2016. V. 222. P. 487. http://dx.doi.org/10.1016/j.molliq.2016.07.090
Supplementary files










