Современные подходы к синтезу пиразолов (обзор)
- Авторы: Баева Л.А.1, Гатауллин Р.Р.1
-
Учреждения:
- Уфимский институт химии Уфимского научного центра Российской академии наук
- Выпуск: Том 94, № 1 (2024)
- Страницы: 29-55
- Раздел: Статьи
- URL: https://journal-vniispk.ru/0044-460X/article/view/258222
- DOI: https://doi.org/10.31857/S0044460X24010034
- EDN: https://elibrary.ru/HLTEGJ
- ID: 258222
Цитировать
Полный текст
Аннотация
В статье проанализированы публикации, в которых приведены результаты исследований современных и известных подходов к синтезу новых и ранее полученных гетероциклов с пиразольным фрагментом, а также данные по методам синтеза, направленным на расширение библиотеки соединений этого ряда, используя в качестве одной из компоненты реакции гидразины, гидразиды, семи- или тиосемикарбазиды, диазосоединения, гидразонилхлориды. Показаны некоторые примеры, в которых используются подходы к синтезу пиразолов посредством многокомпонентных реакций с участием аминов и гидроксамовой кислоты или амина и енаминокетона. Представлены ссылки на публикации, в которых нашли отражение результаты исследований биологической активности данных гетероциклов, изучения их в качестве селективных экстрагентов металлов, возможности получения металлокомплексов с их участием, а также описание результатов наблюдений некоторых фотохимических превращений.
Ключевые слова
Полный текст
ВВЕДЕНИЕ
Интерес к пиразолам обусловлен многими причинами, среди которых наличие широкого набора полезных возможностей, которые могут быть применены в органическом синтезе [1–7] как за счет использования свободной NH-группы пиразола в реакции присоединения [8, 9] или участия этого фрагмента в качестве нуклеофила в реакции замещения [10, 11], так и реализации синтетического потенциала углерод-водородной связи [12–14] гетероцикла. В этих превращениях, наряду с изучением чисто теоретических аспектов синтеза гетероциклов, решаются и прикладные задачи, направленные на выявление потенциала применения соединений с таким остовом в медицинской [15–18], координационной [19] и других областях химии. Пиразольный фрагмент является структурным элементом некоторых природных соединений [20], встречается в составе медицинских препаратов [21]. Также надо упомянуть внушительный список представителей этого ряда гетероциклов, обладающих широким спектром биологической активности [22–31]. В обзорных статьях [32–35] проанализирован большой набор замещенных пиразолов, проявляющих антибактериальную и другие виды активности. Гетероциклические соединения, в структуре которых представлен пиразольный фрагмент, перспективны для терапии опухолевых болезней [36–39], проявляют селективную антилейкемическую [40], нематоцидную [41], антидиабетическую [42], фунгицидную [43, 44], противотуберкулезную [45] активность или целенаправленно получены для выявления этих видов активности [46]. Некоторые производные пиразолов представляют интерес как исходные гетероциклы для получения биологически активных веществ [47–49]. Например, с целью изучения степени ингибирования фермента циклооксигеназы, которая катализирует деградацию арахидоновой кислоты до простагландинов, запускающих воспалительные процессы в организме человека, на основе производных пиразола синтезированы соединения, показатели которых сравнимы с используемыми в медицинской практике лекарственными препаратами [50].
Замещенные пиразолы могут найти применение и в технических областях, где востребованы достижения химии азотсодержащих гетероциклических соединений. В частности, с их участием получены комплексы со смешаными лигандами, перспективные для использования в реакциях, где требуются гомогенные катализаторы [51]. Потенциал гетероциклов пиразольного ряда позволяет использовать эти соединения при получении и других металлокомплексов [52–55]. Обнадеживают исследования этих субстратов и для применения в аналитической химии. Есть представители, проявившие себя как селективные хемосенсоры для определения ионов двухвалентной ртути [56] или меди [57], катионов алюминия и трехвалентного железа [58]. Производные пиразолов исследованы также в качестве селективных экстрагентов палладия (II) [59], перхлоратов цинка и свинца [60], как (D–A)-хромофоры (донорно-акцепторного типа) [61]. На основе замещенных пиразолов получены ионные жидкости [62], которые эффективны в качестве катализаторов в синтезе некоторых гетероциклических систем.
Синтезированы также сополимеры с пиразольными фрагментами, показавшие высокую эффективность при извлечении α-аминокислот (гистидина, треонина и триптофана) из водных сред [63], сополимеры, обладающие парамагнитными свойствами [64]. Некоторые 3,5-динитро-5-(диметиламино) пиразолы исследованы в качестве перспективных расплавобразующих взрывчатых веществ [65]. В подавляющем большинстве случаев при построении остова пиразола готовым источником фрагмента азот–азот служат гидразины, гидразиды, семи- или тиосемикарбазиды, диазосоединения, гидразонилхлориды. Редкими примерами представлены подходы, в которых цепочка азот–азот в пиразольном ядре формируется в многокомпонентных реакциях с участием амина и гидроксамовой кислоты или амина и енаминокетона.
ИСПОЛЬЗОВАНИЕ N–N-СОДЕРЖАЩИХ СОЕДИНЕНИЙ В СИНТЕЗЕ ПИРАЗОЛОВ
К таким источникам, в которых имеется готовый N–N-фрагмент, относятся диазосоединения [66, 67], гидразины [68], гидразиды [69], семи- и тиосемикарбазиды, гидразоны, гидразонилхлориды [70].
2.1. Синтезы пиразолов циклоприсоединением диазосоединений к диполярофилам. Диазосоединения широко использовали в катализируемых металлокомплексами реакциях [3+2]-циклоприсоединения, их применяют в настоящие время и при получении соединений с биологически значимыми показателями [71]. С участием диазосоединений синтезированы производные пиразола, проявляющие антибактериальную активность [72]. Чаще всего в синтезе пиразолов применение находят реакции циклоприсоединения диазосоединений к различным диполярофилам [73, 74]. Исчерпывающие исторические сведения и примеры недавних некаталитических синтезов [75] цианзамещенных пиразолов 1 при циклоприсоединении диазоацетонитрила к алкинам 2 (схема 1) приведены в обзорной статье [76].
Схема 1
Тем не менее, работы в этом направлении продолжаются и для получения производных пиразола часто используются реакции ацетиленов с диазоацетатами [77]. Недостатками диазосоединений является их токсичность и взрывоопасность. Предложен также безопасный подход к синтезу этил-5-ацетил-1H-пиразол-3-карбоксилата, промежуточного продукта для получения потенциального лекарственного вещества даролутамида. В методе используется гидрохлорид этилглицината 3 в качестве исходного материала, из которого на ключевом этапе in situ генерируется промежуточный токсичный этилдиазоацетат 4. К этому раствору по каплям добавляли этинилметилкетон 5 с последующим выдерживанием реакционной смеси при 50°С в течение 1 ч. В масштабированном варианте синтеза пиразола 6 последний авторами получен с чистотой 83%, по данным ВЭЖХ (схема 2). Щелочным гидролизом сложного эфира 6 получали 5-ацетил-1Н-пиразол-3-карбоновую кислоту, которую можно использовать в качестве промежуточного соединения в синтезе даролутамида, а также как ценный синтон для других типов превращений в органической или медицинской химии [78, 79].
Схема 2
При выдерживании в закрытом сосуде при 20°С без доступа света в течение 1–2 недель смеси 9-диазофлуорена 7 и метилового эфира 2-бутинкарбоновой кислоты 8 в диэтиловом эфире образуется циклоаддукт 9. Состав реакционной смеси зависит от природы β-заместителя в пропаргиловом фрагменте. В частности, аналогичное циклоприсоединение интермедиата, генерируемого из диазофлуорена 7, к метил-3-фенилпропиолату 10 характеризуется умеренной региоселективностью. В этом случае наряду с аддуктом 11 образуется и региоизомер 12. Отмечается, что соотношение этих изомеров в ходе реакции меняется. По данным ЯМР 1Н, на первой стадии соотношение составляет 2:1 и к концу реакции достигает 6:1 [80]. Показано, что 4,5-дикарбоксилзамещенные аналоги (группа CO2Me вместо Me или Ph) спиросочлененных флуоренпиразолов 9–12 при непродолжительном (1–3 ч) нагревании в этаноле или бензоле подвергаются изомеризации с потерей спироуглеродного центра (схема 3) [81].
Схема 3
В обзорной статье [82], посвященной применению нитролефинов при получении гетероциклов, также упоминаются недавние варианты синтеза пиразолов 13 реакцией диазоацетонитрила с алкил-3-нитроакрилатами 14 в присутствии Cs2CO3 [83] или катализируемое диоксидом серебра [3+2]-циклоприсоединение перфторалкилдиазометанов с этим же диполярофилом 14 в присутствии Na3PO4 [84]. В последнем случае авторы исследования, наряду с использованием готового, также применяли метод in situ генерирования диазосоединений и обнаружили в некоторых реакциях существенное (до 3.7 раз) снижение выхода пиразолов 13. Например, при R1 = 3-Py, R2 = CF3 при in situ генерировании диазосоединения выход пиразола 13 составил 20%, тогда как при использовании готового F3CN2 – 74% (схема 4).
Схема 4
При нагревании халконов 15 и диазоэфиров 16 в присутствии карбонатов щелочных металлов или аминов образуются пиразолы 17. В процессе оптимизации условий реакции наиболее эффективным основанием признан тетраметилэтилендиамин. При использовании в этой реакции диазоалкилового эфира фенола 16 (R3 = Ph) отмечается существенное (до 37%), а в случае халкона 15 (R1 = Ph, R2 = Me) до 52% снижение выхода продукта реакции (схема 5). В остальных реакциях этот показатель колеблется в пределах 60–89% [85].
Схема 5
Взаимодействие фторалкилзамещенных дивинилсульфонов 18 с диазометаном при комнатной температуре приводит к региоизомерным дипиразолилсульфонам 19 и 20 в различных соотношениях (схема 6). В случае дифторметилзамещенного дивинилсульфона (R = CHF2) общий выход пиразолов не превышает 23% (17% для пиразола 20 и 6% для региоизомера 19). В остальных двух реакциях [3+2]-циклоприсоединения общий выход этих гетероциклов достигает 73–75% [86].
Схема 6
Конденсация различных арилметилкетонов 21 с диазосоединениями 22 катализируется трифлатом скандия (1 мол%) в присутствии DBU (3 экв.) и в мягких условиях приводит к ди-, пента- или гептафторалкилзамещенным пиразолам 23 (схема 7). Выход продуктов конденсации не зависит от количества атомов фтора в алкильном заместителе. Также не наблюдается зависимость выхода продуктов конденсации от природы заместителей при арильном фрагменте [87].
Схема 7
2.2. Гидразины и гидразиды как источник N−N-цепи пиразолов. Этот подход показал свою эффективность ранее и в настоящее время также широко используется при получении пиразолов [88, 89].
2.2.1. Образование пиразолов в реакции гидразинов с 1,3-дикарбонильными соединениями, их производными или динитрилом малоновой кислоты. Исследованы реакции гидразинов с ацетоуксусным эфиром [90, 91], арилгидразонами [92, 93] и другими производными [94–96] ацетоуксусного эфира. Эффективны также последующие трансформации продуктов конденсации гидразинов с кетонами [97, 98], 1,3-дикетонами [99–101], катализируемые солями ванадия многокомпонентные конденсациии динитрила малоновой кислоты в присутствии или без карбонильных соединений [102]. Исследования проводились с целью получения различных производных пиразола с антимикробной [103], ноотропной и анксиолитической активностью. Продукты конденсации 1,3-дикетонов с гидразином нашли применение также при получении новых комплексов галогенидов палладия с пиразольными лигандами [51].
Электрохимическая конденсация гидразинов 24, дикетонов 25 и NH4SCN с использованием графитового анода и платинового катода приводит к 4-тиоциано-1H-пиразола 26 (схема 8). При применении пиразинилгидразина в этой реакции выход пиразола 26 снижается до 48%. Умеренный выход (63%) пиразола 26 (R1 = R3 = Ph, R2 = Me) зафиксирован также в электрохимической реакции с использованием фенилгидразина и 1-фенил-1,3-бутандиона. Выходы продуктов реакции в остальных случаях были на уровне 78–94% [104].
Схема 8
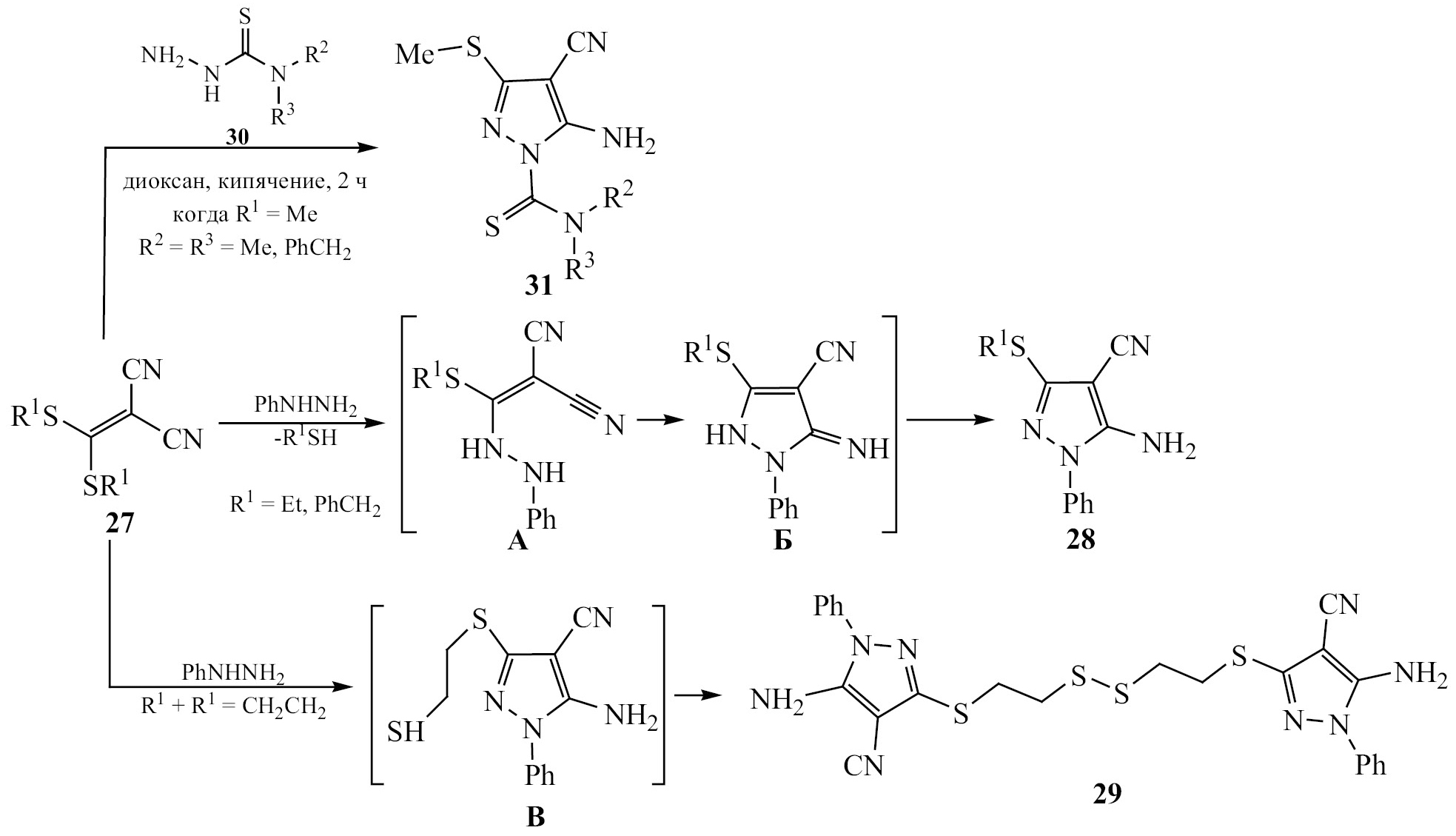
Дитиометилиденмалононитрилы 27 реагируют с фенилгидразином в этаноле с образованием 3-алкилсульфанилпиразолов 28 с выходами 74–82% (схема 9). Реакция проходит в течение 4–5 ч через стадии замещения одной из сульфанильных групп на гидразиновую и трансформацией промежуточного соединения А в Б. В результате последующего 1,4-гидридного сдвига имин Б изомеризуется в пиразол 28. В реакции дитиоланилиденмалононитрила 27 (R + R = CH2CH2) с фенилгидразином PhNHNH2 в аналогичных условиях был выделен пиразол 29 (87%) [105]. В этом случае реакция, вероятно, включает промежуточное образование пиразола В со свободной SH-группой при этильном фрагменте, который склонен к окислению с образованием дисульфидов. С целью изучения антибактериальной активности по отношению к золотистому стафилококку (ATCC9027), Escherichia coli (ATCC6538) и Candia albicans (ATCC10231) реакцией дисульфидов 27 с гидразинкарбодитиоатами (R1 = SMe, SBn) и карбодитиогидразидами {R1 = NMe2, SBn2, N-(4-метилморфолинил)2, N-[1-(4-MePh)-4-пиперазинил]2} 30 синтезированы пиразолы 31 [106]. Некоторые из полученных соединений проявили антимикробную активность, сравнимую с активностью ципрофлоксацина.
Схема 9
Реакции конденсации гидразинов с тиоалкилзамещенными цианорганическими соединениями, приводящие к пиразолам, использовали при получении предшественников биологически активных гетероциклов. В получаемом конденсацией соединения 32 с гидразином пиразоле 33 (схема 10) [107] имеется первичная аминогруппа, что позволяет использовать этот гетероцикл в синтезе многочисленных оснований Шиффа, проявляющих антимикробную активность [108]. Такие соединения могут найти применение также при получении пиразоло[1,5-a]пиримидинов [109], других конденсированных гетероциклов [110] или соединений медицинского назначения [111].
Схема 10
Мультикомпонентные реакции конденсации [112, 113], в том числе 1,3-дикарбонильных соединений, альдегидов (или кетонов) и гидразинов, эффективны при получении широкого набора производных пиразола, обладающих противомикробной активностью [114]. При конденсации по Кнёвенагелю малононитрила и альдегидов 34 первоначально образуются бензилиденмалононитрилы 35 (схема 11). Последующее их взаимодействие с гидразином приводит к 5-арил-3-аминопиразол-4-карбонитрилам 36 как при микроволновом, так и обычном нагревании этой трехкомпонентной реакционной смеси. Микроволновое облучение реакционной смеси в триэтиламине эффективнее (82–90%, 2–4 мин) конвекционного нагревания в этаноле в присутствии триэтиламина (25–55%, 3–4 ч). Аналогичные превращения с участием циклогексанона вместо бензальдегидов приводит к спироциклическим соединениям 37. В этом случае применение микроволнового облучения также оказалось эффективнее обычного нагревания [115]. Применение в такой же многокомпонентной реакции малононитрила, арилальдегидов 34, фенилгидразина и в качестве катализатора ионной жидкости [HMIM]C(NO2)3 (тринитрометанид 1-метилимидазолия, 0.5 мол%) в отсутствие растворителя позволяет повысить выход пиразолов 36 до 91–97%. В этом случае конденсация проходит (10 мин) при комнатной температуре [116].
Схема 11
Пиразолы могут образоваться также в некоторых реакциях оксагетероциклов (пиранов [117], фуранов, тетрагидрофуранов) с гидразинами или гидразидами. Структура пиразолов 38 и 39, образующихся в реакции енаминона 40 с гидразинами, зависит от природы заместителя R гидразина. При взаимодействии енаминдикетона 40 с гидразином образуется смесь пиразолов 38 и 39 (схема 12). В случаях, когда в реакцию вводятся арил-(R = Ph, 4-BrC6H4, 4-CF3OC6H4) или трет-бутил- или сульфолангидразин, то образуются гетероциклы 39. В случаях, когда R = Alk или 4-MeOC6H4, получены региоизомеры 38. Эта некаталитическая реакция проходит при кипячении в этаноле. В случае использования гидрохлоридов гидразинов авторы добавляли триэтиламин [118].
Схема 12
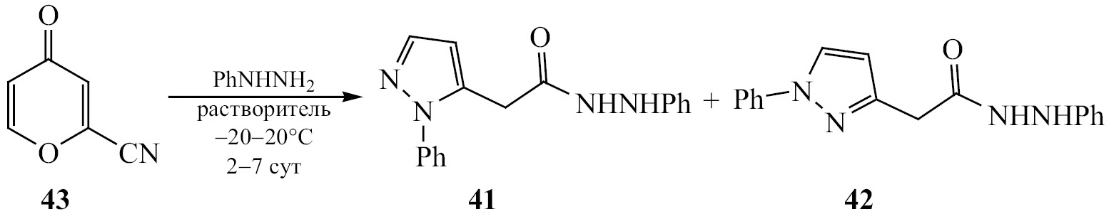
Соотношение региоизомерных пиразолов 41 и 42, образующихся в аналогичной реакции пиран-2-карбонитрила 43 с фенилгидразином зависит от природы растворителя и температуры реакции. Если в реакции конденсации при –20°С в метаноле гетероциклы 41 и 42 образуются в равных соотношениях, то при комнатной температуре преобладает соединение 41 (41:42 = 67:33). В этаноле при комнатной температуре эти гетероциклы образуются также в равных соотношениях, а в толуоле при этой же температуре значительно преобладает изомер 42 (41:42 = 15:85). Выходы продуктов реакции колеблются в пределах 57–90% (схема 13) [119].
Схема 13
В реакции конденсации фурандионов 44 и гидразида салициловой кислоты 45 обнаружено влияние даже незначительного изменения температуры на степень насыщенности пиразола и локализацию салицилового фрагмента в пиразольном кольце. Проведение конденсации при температуре –5°С способствует образованию дигидропиразола 46, тогда как при повышении температуры до комнатной получены дидегидроаналоги 47. Последние являются продуктами тандемных процессов элиминирования воды и миграции остатка салициловой кислоты в первоначально образовавшемся соединении 46 (схема 14) [120].
Схема 14
Удачное использование реакции конденсации производного фурана 48 с гидразинами 49 при построении пиразольного цикла описано в работе [121]. Относительно низкий выход (72%) пиразолов 50a наблюдается при использовании в этой реакции метилгидразина. В остальных случаях пиразолы 50a (R1 = CH2CH2OH, R2 = H) получены с выходами 87–95% (схема 15). Региоизомер 50б (R1 = H, R2 = CH2CH2OH) авторами данного исследования получен взаимодействием продукта литиирования пиразола 51 с окисью этилена в мягких условиях.
Схема 15
В реакции конденсации гидразинов 52 с 1,3-дикетонами 53 эффективным катализатором оказалась тетрафторборная кислота. Выходы пиразолов 54 в этих синтезах достаточно высокие, незначительное снижение (до 76%) продуктивности отмечается при конденсации гидразина 52 (R1 = 4-NO2) и дикетона 53 (R2 = Cl, схема 16). Подход успешно можно использовать и для конденсации дикетонов с гидразидом фурилкарбоновой кислоты (74–88%), пиридил- (81%), нафтилгидразином (90%). При конденсации гидразина 52 (R1 = 4-CF3) с ацетоуксусным эфиром выход пиразола составил 70%. Ограничением этого подхода является то, что в этой реакции не удалось получить продукт конденсации 1,3-циклогександиона и 4-метоксифенилгидразина [122].
Схема 16
2.2.2. Образование пиразолов в реакции α,β-ненасыщенных кетонов с гидразинами и гидразидами. Эти подходы, наряду с решением задач выявления реакционной способности и структурных особенностей продуктов взаимодействия, используются также и при получении производных пиразола с целью исследования их противовоспалительной [123], анальгетической [124, 125], противораковой [126, 127] активности. В этих синтезах используются также енольные формы 1,3-дикетокарбонильных соединений. В ряде случаев суммарная атомная масса заместителей при этих дикетонах значительно превышает молекулярный вес оненольного фрагмента [128].
Некоторые реакции проводятся с гидрохлоридом замещенного гидразина в спирте в присутствии карбоновых кислот. Дигидропиразолы 54, получаемые конденсацией кетонов 55 с гидрохлоридами гидразинов в смеси метанола и ледяной уксусной кислоты, при последующем окислении трет-бутилгидропероксидом (TBHP) в присутствии ацетата меди образуют пиразолы 56 [129]. Выходы продуктов реакции окисления зависят от природы заместителя R2. В тех случаях, когда заместитель R2 является производным пиридина или хинолина, пиразолы 56 получены с выходами 27–77%. Есть примеры применения молекулярного иода как окислителя дигидропиразола, образующегося при конденсации α,β-ненасыщенного кетокарбонильного соединения с гидразинами, в пиразол [130]. Известен один пример образования 3,5-дифенилпиразола при конденсации дифенилпропенона с гидразингидратом в присутствии серы S8 [131].
Схема 17
Нагреванием смеси ненасыщенных кетонов 57 и гидразинов 58 (1.5 экв.) в присутствии NaI и ди-трет-бутилпероксида (DTBP) (6 экв.) в смеси t-BuOH−EtOH (1:1) с последующим добавлением 2 экв. DTBP через 16 ч получены пиразолы 59 (схема 18) [132].
Схема 18
С целью получения и дальнейшего изучения спектров абсорбции и эмиссии, реакцией кетона 60 с арилгидразинами 61 с последующей обработкой продуктов конденсации молекулярным иодом синтезированы пиразолы 62 (схема 19). При проведении реакции в этаноле выход динитропроизводного 62 оказался значительно ниже (18%), чем при нагревании в уксусной кислоте (70%). В то же время, реакция в этаноле позволяет синтезировать другие арилзамещенные пиразолы 62 с выходами 71–74%, тогда как при проведении реакции конденсации/циклизации в уксусной кислоте выходы этих гетероциклов не превышают 11–22% [133].
Схема 19
Арилгидразоны 63, образующиеся в кислотно-катализируемой конденсации гидразинов 64 с ненасыщенными кетонами 65, при нагревании с ацетатом палладия (5 мол%) в присутствии натриевой соли 9,10-антрахинон-2-сульфокислоты (AMS) и карбоната калия превращаются в пиразолы 66 – продукты окислительной циклизации (схема 20). За исключением реакции, где используется арилгидразон 63 (Ar1 = Ar2 = 3,4,5-MeOC6H2, 62%), выходы продуктов циклизации достигают 83–91% [134].
Схема 20
Описаны несколько реакций 4-алкокси- или 4-арилокси-3-енонов с гидразином, в которых происходит замещение алкокси- или арилоксигруппы при sp2-гибридизованном углеродном атоме на атом азота, приводящие к пиразолам. Нагреванием производных хроменона 67 с гидразингидратом в этаноле получены 3,4-диарилзамещенные пиразолы 68 с хорошими выходами (схема 21). Некоторые из синтезированных новых пиразолов 68 оказались сильнодействующими ингибиторами размножения золотистого стафилококка Ньюмана, минимальная ингибирующая концентрация которых ниже 1 мкг/мл [135].
Схема 21
Однореакторная циклоконденсация 4-метоксипроизводного трихлоргексенона 69 с гидрохлоридом гидразина в спиртах ROH при обычном или микроволновом нагреве приводит к пиразолам 70 (схема 22). Выходы сравнимы в обоих методах, но при микроволновом нагреве реакция протекает быстрее. Некоторые из полученных гетероциклов проявляют антиоксидантную активность, сравнимую с активностью аскорбиновой кислоты. При увеличении длины цепи алкильной группы сложноэфирного фрагмента антиоксидантный потенциал молекулярной системы снижается [136]. Необходимо отметить, что и другие пиразолсодержащие соединения достаточно часто проявляют хорошую антиоксидантную активность [137].
Схема 22
В рамках исследования, проведенного с целью выявления активности по отношению к грамположительным бактериям, аналогичным взаимодействием кетоеноловых эфиров 71 с арилгидразинами 72 синтезированы дигидропиразолы 73 (схема 23). Выдерживание гетероцикла 73 в дихлорметане в присутствии трифторуксусной кислоты способствует дегидратации в пиразол, который служит исходным субстратом для получения антибактериальных соединений (12 примеров) [138].
Схема 23
При взаимодействии 2,2-дихлорвинилкетонов 74 с гидроксиэтилгидразином 75 образуются 3-замещенные пиразолы 76 (схема 24). Выходы продуктов этой реакции во всех случаях хорошие (74–91%). Выход пиразола (96%), близкий к количественому, наблюдается в циклоконденсации нитрофенилзамещенного винилкетона 74 с гидразином 75. Имеются неплохие прикладные аспекты гетероциклов 76, которые в дальнейшем превращали в N-винилпиразолы и 3-алкенилпиразолы, как перспективные блоки в органическом синтезе или в качестве мономеров при получении полимерных материалов [139].
Схема 24
ПОДХОДЫ К СИНТЕЗУ ПИРАЗОЛОВ С ИСПОЛЬЗОВАНИЕМ ТРЕХКОМПОНЕНТНЫХ РЕАКЦИЙ
3.1. Реакции с участием аминов и 1,3-дикарбонильных соединений. При получении пиразолов эффективно используются подходы с использованием многокомпонентных реакций [140]. Предложен метод получения N-алкил- или N-арилпиразолов из первичных алифатических или ароматических аминов без применения неорганических реагентов за короткое время и в мягких условиях. Трехкомпонентной реакцией алифатических или ароматических аминов 77, 1,3-дикарбонильных соединений 78 и нитрогидроксамовой кислоты 79 получен ряд N-замещенных пиразолов 80 (схема 25). С производными анилина или 2-нафтиламина продукты реакции получены с выходами 47–70%, тогда как в случае алифатических аминов этот показатель существенно ниже и не превышает 20–45%. У этого подхода есть некоторые ограничения. При использовании в качестве амина 4-аминофенола (R = 4-HOC6H4) или при введении в реакцию с алифатическими аминами ди-трет-бутил-(R1 = R3 = Me3C) и дитрифторметилзамещенных (R1 = R3 = СF3) 1,3-дикетонов пиразолы не образуются [141].
Схема 25
Пиразолы 81, обремененные 3-трифторметил-4-трифторацетильными группами, получены при нагревании сиднонов 82 (2 экв.) с 1,3-дикетоном 78 в присутствии дииодида цинка (15 мол%) и 2,2′-дипиридила (bpy, 30 мол%). Высокие выходы (79–98%) зафиксированы в случаях, когда в конденсации используются сидноны, у которых в пара-положении ароматического фрагмента присутствует метильная, изопропильная, трет-бутильная группы, атом фтора в орто-положении или N-бензилсиднон (схема 26). В большинстве примеров, когда при ароматическом фрагменте содержатся заместители с (–I)-эффектом, выходы не превышают 37–67%. При этом не наблюдается какой-либо корреляции выхода продукта реакции от природы заместителя в ароматическом фрагменте сиднона. В тех случаях, когда в реакции конденсации используются метиловый или этиловый эфир трифторацетоуксусной кислоты, выходы пиразолов оказались низкими (17–23%) [142].
Схема 26
Предложен новый метод, позволяющий синтезировать 1,3,4-тризамещенные пиразолы 83 из α-(1,3-дитиан-2-ил) енаминкетонов 84, получаемых из дикетонов 85, и первичных аминов, реакция катализируется дибромидом меди (схема 27) [143]. Этот подход [4+1]-циклоконденсации с образованием N-арил-, N-бензил- и N-алкилпиразолов представляет собой альтернативу традиционным методам [3+2]-циклизации. В случае использования пропиламина (R3 = Pr, 42%), бензиламина (R3 = Bn, 59%) или когда при кетогруппе енамина 84 находится ароматический или гетероароматический заместитель (R1 = Ph, 47–56%; R3 = 2-тиофенил, 58%) наблюдается снижение выхода пиразолов 83. В других случаях пиразолы 83 получены с выходами 64–96%.
Схема 27
Предложен также катализируемый серебром подход к синтезу 5-арил-3-трифторметилпиразолов 86 исходя из легкодоступных N-тозилгидразидов 87 и этил-4,4,4-трифтор-3-оксобутаноата 88 (схема 28). В последовательных реакциях нуклеофильного присоединения, внутримолекулярной циклизации, отщепления и [1, 5]-гидридного сдвига образуются пиразолы 86. В обзорной статье [144], посвященной анализу решения проблем получения фторзамещенных производных пиразола, автор ограничился обсуждением механизма этого превращения. Возможности влияния различных заместителей на продуктивность этих реакций остались за пределами внимания. В работе [145] также обнаружено, что присутствие электроноакцепторных групп при атоме С4 ароматического фрагмента, таких как цианогруппа (R1 = 4-NC) существенно (21%), атома фтора (R1 = 4-F) несколько (73%) снижает выход продукта циклизации 86. В случае других заместителей R1 соединения 86 получены с выходами 88–98%. Использование N-арил- или N-(арил) этенилзамещенных тозилгидразидов 89 в этой реакции весьма эффективно для получения пиразолов 90 в случаях, когда R2 = 2-фурил, N-метил-3-индолил, PhCH=CH2 (82–90%). Выходы гетероциклов 90 с другими заместителями R2 не превышают 30–62%.
Схема 28
3.2. Синтез пиразолов из ацетиленов, кетонов и производных гидразина. При получении замещенных пиразолов часто используются подходы с применением в качестве одной из компоненты реакции семи- и тиосемикарбазидов. Однореакторная трехкомпонентная конденсация ацетофенонов 91 с фенилацетиленом 92 и тиосемикарбазидом 93 завершается образованием 4,5-дигидропиразол-1-карботиоамидов 94 с удовлетворительными выходами (схема 29) [146].
Схема 29
Образующиеся в этих реакциях продукты интересны также тем, что карботиоамидная группа полученных соединений несет потенциал для наращивания на ней серосодержащего гетероцикла. Использование тиосемикарбазида 93 в трехкомпонентной реакции конденсации эфиров ацетилендикарбоновой кислоты 95 и ненасыщенных кетонов 96 при нагревании в присутствии ионной жидкости [Bmim]OH приводит к полигетероциклам 97 с выходами 87–92% (схема 30). Соединения синтезированы с целью изучения их противоопухолевой активности [147].
Схема 30
Сродство гидразинового фрагмента к кетогруппе и ацетиленовому звену в синтезах с использованием эфиров производных пропаргиловой кислоты настолько высоко, что в таких превращениях другие реакционноспособные центры не затрагиваются [148]. В поисковых исследованиях способа получения пиразолов с заложенным синтетическим и фармакологическим потенциалом синтезированы гетероциклы 98, 99 и 100. Трехкомпонентная реакция циклогексилизоцианида 101, диалкиловых эфиров ацетилендикарбоновой кислоты 102, симметричных и несимметричных 1,2-дисульфонилгидразинов 103 проводится при комнатной температуре. В случае несимметричных гидразидов образуются два региоизомерных пиразола 99 и 100 примерно в равных соотношениях. Выпадающим из этого ряда примером оказалось образование единственного изомера 99 (R1 = Et, R2 = Ph, R3 = Me, 67%). Второй региоизомер этой реакции – гетероцикл 100 с такими же заместителями отсутствует [149].
Схема 31
Кипячением пирролдионов 104 и тиосемикарбазида 93 в диоксане получены пиразолы 105 с низкими выходами. Применение в этих целях реакции семикарбазида с пирролдионом 104 приводит к аналогичным результатам (схема 32) [150].
Схема 32
Циклоконденсацией 2-гидразинилбензотиазола 106 с 2-(гидроксиимино)-1,3-дикетонами 107 получены новые замещенные 1-(бензотиазол-2-ил)-4-нитрозопиразолы 108. Удовлетворительные выходы продуктов реакции 108 наблюдаются в конденсации гидразина 106 с фенил-(R1 = Ph, R2 = Me, 65%) и 4-фторфенилзамещенными (R1 = 4-FC6H4, R2 = Me, 51%) дикетонами 107 (схема 33). В остальных случаях выходы продуктов конденсации не превышают 18–38% [151].
Схема 33
ИСПОЛЬЗОВАНИЕ ГИДРАЗОНИЛХЛОРИДОВ ПРИ ПОЛУЧЕНИИ ПИРАЗОЛОВ
Гидразонилгалогениды известны давно [152] и находят применение при реализации разнообразных синтетических подходов к получению азотсодержащих гетероциклических соединений. В настоящее время область использования синтетического потенциала гидразонилгалогенидов также достаточно широка. При взаимодействии продуктов их дегидрогалогенирования с производными изатового ангидрида могут быть получены 4-арил-1,3,4-бензотриазепиноны с высокими выходами [153].
Из более ранних синтезов азотсодержащих гетероциклов можно упомянуть образование пиразолов при взаимодействии продуктов дегидрогалогенирования гидразонилхлоридов с карбоалкоксиметиленфосфораном [154], пиразолинов при использовании в качестве диполярофила активированных алкенов [155], 1,2,4-триазолов при использовании в этой реакции циклоприсоединения нитрилов в качестве диполярофила [156]. Последний подход может быть заменен альтернативным методом получения 1,2,4-триазолов через реакцию окислительного присоединения фенилгидразонов 1,4-дифенилазометана или гидразонов арилальдегида к нитрилам в присутствии тиантрена (9,10-дитиаантрацен) [157]. При взаимодействии продуктов дегидрогалогенирования гидразонилхлоридов с 2-азидоакрилатами также образуются пиразолы [158]. Кипячением гидразониллоридов с фенилизотиоцианатом, ацетилизотиоцианатом, этоксикарбонилизотиоцианатом, сероуглеродом или цианамидом в сухом пиридине ранее получали производные пиразол-5-илтиадиазола или пиразол-5-ил-1,2,4-триазола [159].
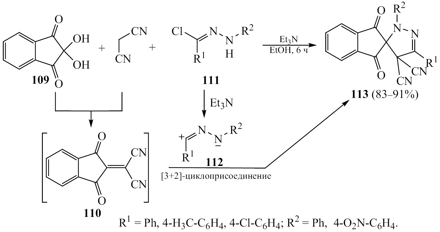
Одним из условий при образовании пиразолов с участием гидразонилгалогенидов является наличие в реакционной смеси C=C диполярофила, который может быть внесен извне или генерируется в реакционной смеси. Образующийся при взаимодействии нингидрина 109 с малононитрилом продукт конденсации Кнёвенагеля 110 вступает в реакцию [2+3]-циклоприсоединения с in situ генерируемым из гидрозонилхлорида 111 нитрилимином 112, что приводит к спиросочлененным индандионпиразолам 113 с высокими выходами (схема 34) [160].
Схема 34
Наблюдается зависимость образования спиросочлененного пиразола от структурных особенностей субстратов, обремененных экзоциклической двойной связью, используемых для достраивания на этом олефиновом фрагменте пиразольного кольца. В реакциях нитрилиминов, генерируемых из гидразонилхлорида 114, с арилидениндазолонами 115 в присутствии триэтиламина при кипячении в бензоле получены спироциклические соединения 116 (схема 35) [161].
Схема 35
Из азадиенов 117, полученных из аурона, и нитрилиминов, генерируемых в мягких условиях из гидразонилхлоридов 118, образуются спиросочлененные бензофуран-пиразолы 119, обремененные различными функциональными группами. Реакция [2+3]-циклоприсоединения проходит регио- и диастереоселективно, кислород-углеродные связи при этом не затрагиваются [162]. Раскрытия бензфуранового кольца авторы добились нагреванием (19 ч) гетероцикла 119 при 80°С (схема 36).
Схема 36
В реакциях бензосултам-3-арилиденов 120 с гидразонилхлоридами 121 в присутствии карбоната калия хотя и имеется аналогичная экзоциклическая двойная связь, но спироуглеродный центр не образуется. В этом случае получены тетраарилзамещенные пиразолы 122. Многостадийный процесс проходит как 1,3-диполярное циклоприсоединение/экструзия SO2. В реакции бензосултама 120 с гидразонилхлоридом 121 (Ar2 = 2-тиенил) выход продукта реакции 122 снижается до 53% (схема 37). При этом диастереоселективность (dr) всех превращений сохраняется на уровне 20:1. Ограничением метода является то, что в случае использования в реакции гидразонилхлоридов 121 с нитро- или трифторметильными заместителями при ароматическом фрагменте (Ar2 = 4-O2NС6H4 или 4-F3CС6H4) продукты реакции не образуются [163].
Схема 37
Аналогичное 1,3-диполярное циклоприсоединение нитрилиминов, in situ генерируемых в присутствии триэтиламина из гидразонилхлоридов 123, к 1,2-диарилэтиленам 124 приводит к изооксазол- и триарилзамещенным пиразолам 125. Относительно низкий выход (55%) наблюдается в случае гидразонилхлорида 123 (Ar1 = 3-O2NC6H4). В остальных реакциях выходы достигают 70–99% (схема 38) [164].
Схема 38
В реакции циклоприсоединения нитрилиминов, также in situ генерируемых в присутствии карбоната калия из гидразонилхлоридов 126, к аллену 127 получены пиразолы 128 (схема 39). Ацетоксигруппа аллена в этой реакции отщепляется. Низкий выход (37%) наблюдается в случае триметоксифенилзамещенного гидразонилхлорида 126 (Ar = 3,4,5-три-MeO), а в случае нитрофенильного аналога (Ar = 4-O2NC6H4) в реакционной смеси обнаруживаются только следовые количества пиразола 128 [165].
Схема 39
Существенного увеличения выхода продуктов реакции в некоторых примерах можно добиться при использовании каталитических количеств оксида серебра в этом циклоприсоединении. Реакция проходит с различной региоселективностью, выходы пиразолов 128 достигают 66–95% (схема 40). Но и в этом случае есть примеры образования продуктов реакции с невысокими выходами. Природа заместителей в исходных соединениях существенно влияет на выход гетероциклов 128 (R1 = R3 = H, R2 = Me, 43%; R1 = H, R2 = Ph, R3 = 2-Me-C6H4, 52%; R1 = H, R2 = Ph, R3 = 2-нафтил, 50%; R1 = H, R2 = Ph, R3 = 2-фурил, 40%; R1 = H, R2 = Ph, R3 = 2-тиенил, 31%). Полученные в этом исследовании циклоаддукты 128 продемонстрировали обнадеживающие результаты биологической активности в предварительных экспериментах по отношению к линии раковых клеток [166].
Схема 40
Гетероциклы пиразольного строения могут быть получены при взаимодействии нитрилиминов с замещенными ацетиленами [167]. Взаимодействием гидразонилхлоридов с гомопропаргиловыми спиртами в присутствии каталитических количеств CuCl осуществлен региоселективный синтез 5-гидроксиэтилпиразолов. Несмотря на известную низкую реакционную способность гомопропаргиловых спиртов 129 в реакции с гидразонилхлоридами, в данном случае пиразолы 130 получены с хорошими выходами (схема 41). Нужно отметить также мягкие условия реакции. Существенное снижение выхода (до 67–69%) в некоторых случаях происходит из-за образования значительного количества (12–15%) побочного продукта диинового строения R1CH(OH)CH2C≡C–C≡CCH2CH(OH)R1 [168].
Схема 41
СИНТЕЗ ЗАМЕЩЕННЫХ ПИРАЗОЛОВ РЕАКЦИЕЙ ГИДРАЗОНОВ С ФОРМАМИДОМ
При получении пиразолкарбальдегидов часто используется известная реакция гидразонов с формамидом [169]. Формамид вначале смешивают с POCl3 и к полученной смеси добавляют соответствующий гидразон [170]. В реакции конденсации гидразона 131 со смесью формамида и POCl3 получен пиразол 132a (схема 42). Наличие карбальдегидной группы в диарилзамещенном пиразоле 132a делает это соединение привлекательным синтоном для получения α,β-ненасыщенных кетонов [171]. Наличие альдегидной группы при пиразоле открывает широкие возможности для превращения ее в карбонитрильную [172], использования при получении порфириновых лигандов в производстве пористых материалов (синтез металлоорганических каркасов) [173], других замещенных пиразолов, которые могут проявить противотуберкулезную активность [174, 175], или же из пиразолилальдегидов можно синтезировать оксазолилзамещенные пиразолы [176]. Пиразолкарбальдегид 132б (где Ar = 4-MeOC6H4) использовали также как ключевое соединение при получении полигетероциклов [177].
Схема 42
ЗАКЛЮЧЕНИЕ
Таким образом, применение имеющихся к настоящему времени методов синтеза пиразолов позволяет получать эти соединения различной степени гидрогенизации и региолокализацией заместителей в гетероциклическом кольце, а также функциональных групп в боковой цепи. Достигнуты определенные успехи в синтезе пиразолов, спиросочлененных с карбо- или гетероциклами. Среди синтезированных пиразолов обнаружены представители с высокой биологической активностью, перспективные селективные экстрагенты металлов, лиганды для получения металлокомплексов. Поэтому исследования, направленные на расширение круга новых соединений этого ряда, весьма актуальны.
ФИНАНСОВАЯ ПОДДЕРЖКА
Работа выполнена в рамках программы «Новые подходы и усовершенствование известных стратегий направленного синтеза поли-, би- и моноциклических N,N-, N,O-, S,O-содержащих гетероциклов с выявлением их биологической, антикоррозионной активностей и разработкой технологии практической реализации полученных соединений с соответствующими свойствами», государственное задание (номер госрегистрации темы в ЕГИСУ 122031400274-4).
КОНФЛИКТ ИНТЕРЕСОВ
Авторы заявляют об отсутствии конфликта интересов.
Об авторах
Л. А. Баева
Уфимский институт химии Уфимского научного центра Российской академии наук
Email: gataullin@anrb.ru
Россия, Уфа
Р. Р. Гатауллин
Уфимский институт химии Уфимского научного центра Российской академии наук
Автор, ответственный за переписку.
Email: gataullin@anrb.ru
ORCID iD: 0000-0003-3269-2729
Россия, Уфа
Список литературы
- Hu X., Huang Y., Fu X., Li X. // Chem. Heterocycl. Compd. 2019. Vol. 55. P. 644. doi: 10.1007/s10593-019-02510-9
- Ramachandran K., Anbarasan P. // Synlett. 2023. Vol. 34. P. 868. doi: 10.1055/a-1970-8537
- Кобелевская В.А., Попов А.В., Левковская Г.Г., Рудякова Е.В., Розенцвейг И.Б. // ЖОрХ. 2018. T. 54. C. 1493; Kobelevskaya V.A., Popov A.V., Levkovskaya G.G., Rudyakova E.V., Rozentsveig I.B. // Russ. J. Org. Chem. 2018. Vol. 54. P. 1505. doi: 10.1134/S1070428018100111
- Ефремова И.Е., Серебрянникова А.В., Лапшина Л.В., Гуржий В.В., Рябин А.Е. // ХГС. 2019. Т. 55. С. 902; Efremova I.E., Serebryannikova A.V., Lapshina L.V., Gurzhiy V.V., Ryabin A.E. // Chem. Heterocycl. Compd. 2019. Vol. 55. P. 902. doi: 10.1007/s10593-019-02556-9
- Голованов А.А., Один И.С., Вологжанина А.В., Воронова Э.Д., Аношина О.С., Бекин В.В. // ЖОрХ. 2017. Т. 53. С. 1629; Golovanov A.A., Odin I.S., Vologzhanina A.V., Voronova E.D., Anoshina O.S., Bekin V.V. // Russ. J. Org. Chem. 2017. Vol. 53. P. 1664. doi: 10.1134/S1070428017110082
- Далингер А.И., Медведько А.В., Балалаева А.И., Вацадзе И.А., Далингер И.Л., Вацадзе С.З. // ХГС. 2020. Т. 56. С. 180; Dalinger A.I., Medved’ko A.V., Balalaeva A.I., Vatsadze I.А., Dalinger I.L., Vatsadze S.Z. // Chem. Heterocycl. Compd. 2020. Vol. 56. P. 180. doi: 10.1007/s10593-020-02643-2
- Осянин В., Осипов Д.В., Корженко К.С., Демидов О.П., Климочкин Ю.Н. // ХГС. 2021. Т. 57. С. 305; Osyanin V., Osipov D.V., Korzhenko K.S., Demidov O.P., Klimochkin Y.N. // Chem. Heterocycl. Compd. 2021. Vol. 57. P. 305. doi: 10.1007/s10593-021-02908-4
- Zhang X., Qiu D.-X., Qiu W.-T., Wang H.-R., Zhao Z.-W., Yu H.-F., Che G.-B. // Tetrahedron. 2023. Vol. 134. Article ID 133305. doi: 10.1016/j.tet.2023.133305
- Петко К.И., Филатов А.А. // ХГС. 2021. Т. 57. С. 666; Petko K.I., Filatov A.A. // Chem. Heterocycl. Compd. 2021. Vol. 57. P. 666. doi: 10.1007/s10593-021-02965-9
- Punia S., Verma V., Kumar D., Kumar A., Deswal L., Parshad M. // Synth. Commun. 2021. Vol. 51. P. 2832. doi: 10.1080/00397911.2021.1953532
- Халиуллин Ф.А., Клен Э.Е., Макарова Н.Н., Шепилова С.О., Байкова И.П. // ХГС. 2020. Т. 56. С. 1213; Khaliullin F.А., Klen E.E., Makarova N.N., Shepilova S.O., Baikova I.P. // Chem. Heterocycl. Compd. 2020. Vol. 56. P. 1213. doi: 10.1007/s10593-020-02800-7
- Ахмадиев Н.С., Амета К.Л., Ахметова В.Р. // ХГС. 2023. Т. 59. С. 5; Akhmadiev N.S., Ameta K.L., Akhmetova V.R. // Chem. Heterocycl. Compd. 2023. Vol. 59. P. 5. doi: 10.1007/s10593-023-03156-4
- Dong F., Wang X.-S. // Heterocycl. Commun. 2016. Vol. 22. P. 307. doi: 10.1515/hc-2016-0116
- Janin Y.L. // Chem. Rev. 2012. Vol. 112. P. 3924. doi: 10.1021/cr200427q
- Ворожцов Н.О., Яровая О.И., Рознятовский В.А., Тарасевич Б.Н., Козловская Ю.А., Петкова А.И., Слита А.В., Синегубова Е.О., Зарубаев В.В., Салахутдинов Н.Ф., Белоглазкина Е.К. // ХГС. 2021. Т. 57. С. 432; Vorozhtsov N.O., Yarovaya O.I., Roznyatovskii V.A., Tarasevich B.N., Kozlovskaya Y.A., Petkova A.I., Slita A.V., Sinegubova E.O., Zarubaev V.V., Salakhutdinov N.F., Beloglazkina E.K. // Chem. Heterocycl. Compd. 2021. Vol. 57. P. 432. doi: 10.1007/s10593-021-02921-7
- Бажин Д.Н., Кудякова Ю.С., Оноприенко А.Я., Слепухин П.А., Бургарт Ю.В., Салоутин В.И. // ХГС. 2017. Т. 53. С. 1324; Bazhin D.N., Kudyakova Y.S., Onoprienko A.Ya., Slepukhin P.A., Burgart Y.V., Saloutin V.I. // Chem. Heterocycl. Compd. 2017. Vol. 53. P. 1324. doi: 10.1007/s10593-018-2214-1
- Ravindar L., Hasbullah S.A., Rakesh K.P., Hassan N.I. // Eur. J. Pharm. Sci. 2023. Vol. 183. Article ID 106365. doi: 10.1016/j.ejps.2022.106365
- Bayrak C. // Bioorg. Chem. 2022. Vol. 128. Article ID 106086. doi: 10.1016/j.bioorg.2022.106086
- Варгафтик М.Н., Нефедов С.Е. // ЖКХ. 2021. Т. 47. С. 613; Vargaftik M.N., Nefedov S.E. // Russ. J. Coord. Chem. 2021. Vol. 47. P. 679. doi: 10.1134/S1070328421100079
- Kumar V., Kaur K., Gupta G.K., Sharma A.K. // Eur. J. Med. Chem. 2013. Vol. 69. P. 735. doi: 10.1016/j.ejmech.2013.08.053
- Ansari A., Ali A., Asif M., Shamsuzzaman. // New J. Chem. 2017. Vol. 41. P. 16. doi: 10.1039/C6NJ03181A
- Zhang Y., Chan S., He R., Liu Y., Song X., Tu Z.-C., Ren X., Zhou Y., Zhang Z., Wang Z., Zhou F., Ding K. // Eur. J. Med. Chem. 2022. Vol. 244. Article ID 114862. doi: 10.1016/j.ejmech.2022.114862
- Alam J., Alam O., Alam P., Naim M.J. // Int. J. Pharma Sci. Res. 2015. Vol. 6. P. 1433. http://www.ijpsr.info/docs/IJPSR15-06-12-007.pdf
- Keri R.S., Chand K., Ramakrishnappa T., Nagaraja B.M. // Arch. Pharm. Chem. Life Sci. 2015. Vol. 348. P. 299. doi: 10.1016/j.fluchem.2016.08.012
- Xu Z., Gao C., Ren Q.-C., Song X.-F., Feng L.-S., Lv Z.-S. // Eur. J. Med. Chem. 2017. Vol. 139. P. 429. doi: 10.1016/j.ejmech.2017.07.059
- Ganesh A. // Int. J. Pharm. Bio. Sci. 2013. Vol. 4. P. 727.
- Silva V.L.M., Elguero J., Silva A.M.S. // Eur. J. Med. Chem. 2018. Vol. 156. P. 394. doi: 10.1016/j.ejmech.2018.07.007
- Küçükgüzel Ş.G., Şenkardeş S. // Eur. J. Med. Chem. 2015. Vol. 97. P. 786. doi: 10.1016/j.ejmech.2014.11.059
- Костин Р.К., Маршавин А.С. // ХГС. 2021. Т. 57. С. 1061; Kostin R.K., Marshavin A.S. // Chem. Heterocycl. Compd. 2021. Vol. 57. P. 1061. doi: 10.1007/s10593-021-03025-y
- Ахмадиев Н.С., Ахметова В.Р., Бойко Т.Ф., Ибрагимов А.Г. // ХГC. 2018. Т. 54. С. 344; Akhmadiev N.S., Akhmetova V.R., Boiko T.F., Ibragimov A.G. // Chem. Heterocycl. Compd. 2018. Vol. 54. P. 344. doi: 10.1007/s10593-018-2271-5
- Malysheva S., Kuimov V., Belovezhets L., Belogorlova N., Borovskaya M., Borovskii G. // Bioorg. Chem. 2023. Vol. 132. Article ID 106363. doi: 10.1016/j.bioorg.2023.106363
- Verma R., Verma S.K., Rakesh K.P., Girish Y.R., Ashrafizadeh M., Sharath Kumar K.S., Rangappa K.S. // Eur. J. Med. Chem. 2021. Vol. 212. Article ID 113134. doi: 10.1016/j.ejmech.2020.113134
- Li M.-M., Huang H., Pu Y., Tian W., Deng Y., Lu J. // Eur. J. Med. Chem. 2022. Vol. 243. Article ID 114739. doi: 10.1016/j.ejmech.2022.114739
- De A., Sarkar S., Majee A. // Chem. Heterocycl. Compd. 2021. Vo l. 57. P. 410. doi: 10.1007/s10593-021-02917-3
- Vahora M.S., Boruah J.J., Das S.P. // Russ. J. Org. Chem. 2023. Vol. 59. P. 846. doi: 10.1134/S1070428023050160
- Lin T., Li J., Liu L., Li Y., Jiang H., Chen K., Xu P., Luo C., Zhou B. // Eur. J. Med. Chem. 2021. Vol. 215. Article ID 113281. doi: 10.1016/j.ejmech.2021.113281
- Hassan G.S., Georgey H.H., Mohammed E.Z., George R.F., Mahmoud W.R., Omar F.A. // Eur. J. Med. Chem. 2021. Vol. 218. Article ID 113389. doi: 10.1016/j.ejmech.2021.113389
- Anil D., Caykoylu E.U., Sanli F., Gambacorta N., Karatas O.F., Nicolotti O., Algul O., Burmaoglu S. // Arch. Pharm. Chem. Life Sci. 2021. Vol. 354. Article ID 2100225. doi: 10.1002/ardp.202100225
- Bennani F.E., Doudach L., Karrouchi K., El rhayam Y., Rudd C.E., Ansar M., Faouzi M.E.A. // Heliyon. 2022. Vol. 8. Article ID e10003. doi: 10.1016/j.heliyon.2022.e10003
- Madhu G., Sudhakar M., Santosh Kumar K., Rajashekher Reddy G., Sravani A., Ramakrishna K., Prasad Rao Ch. // Russ. J. Gen. Chem. 2017. Vol. 87. P. 2421. doi: 10.1134/S1070363217100243
- Kaur G., Utreja D., Jain N., Dhillon N.K. // Russ. J. Org. Chem. 2020. Vol. 56. P. 113. doi: 10.1134/S1070428020010182
- Jo J., Lee D., Park Y.H., Choi H., Han J., Park D.H., Choi Y.-K., Kwak J., Yang M.-K., Yoo J.-W., Moon H.R., Geum D., Kang K.S., Yun H. // Eur. J. Med. Chem. 2021. Vol. 217. Article ID 113325. doi: 10.1016/j.ejmech.2021.113325
- Yu B., Zhao B., Hao Z., Chen L., Cao L., Guo X., Zhang N., Yang D., Tang L., Fan Z. // Eur. J. Med. Chem. 2021. Vol. 214. Article ID 113230. doi: 10.1016/j.ejmech.2021.113230
- Si W.-J., Wang X.-B., Chen M., Wang M.-Q., Lua A.-M., Yang C.-L. // New J. Chem. 2019. Vol. 43. P. 3000. doi: 10.1039/c8nj05150j
- Kumar G., Krishna V.S., Sriram D., Jachak S.M. // Arch. Pharm. Chem. Life Sci. 2020. Vol. 353. Article ID 2000077. doi: 10.1002/ardp.202000077
- Jasani M., Patel L. // Results in Chem. 2023. Vol. 5. Article ID 100739. doi: 10.1016/j.rechem.2022.100739
- Leśniak R.K., Nichols R.J., Schonemann M., Zhao J., Gajera C.R., Lam G., Nguyen K.C., Langston J.W., Smith M., Montine T.J. // Eur. J. Med. Chem. 2022. Vol. 242. Article ID 114693. doi: 10.1016/j.ejmech.2022.114693
- Gorecki L., Muthna D., Merdita S., Andrs M., Kucera T., Havelek R., Muckova L., Kobrlova T., Soukup J., Krupa P., Prchal L., Soukup O., Roh J., Rezacova M., Korabecny J. // Eur. J. Med. Chem. 2022. Vol. 240. Article ID 114580. doi: 10.1016/j.ejmech.2022.114580
- Харанеко А.О., Пехтерева Т.М., Харанеко О.И. // ЖОрХ. 2022. Т. 58. С. 406; Kharaneko A.O., Pekhtereva T.M., Kharaneko O.I. // Russ. J. Org. Chem. 2022. Vol. 58. P. 499. doi: 10.1134/S1070428022040054
- Ayman R., Abusaif M.S., Radwan A.M., Elmetwally A.M., Ragab A. // Eur. J. Med. Chem. 2023. Vol. 249. Article ID 115138. doi: 10.1016/j.ejmech.2023.115138
- Liebing P., Edelmann F.T. // Helv. Chim. Acta. 2020. Vol. 103. Article ID e2000148. doi: 10.1002/hlca.202000148
- Petrov P.A., Laricheva Y.A., Sukhikh T.S., Sokolov M.N. // New J. Chem. 2021. Vol. 45. P. 7047. doi: 10.1039/D1NJ00195G
- Поткин В.И., Петкевич С.К., Клецков А.В., Колесник И.А., Зверева Т.Д., Жуковская Н.А., Левковская Г.Г., Розенцвейг И.Б. // ЖОрХ. 2017. Vol. 53. С. 246; Potkin V.I., Petkevich S.K., Kletskov A.V., Kolesnik I.A., Zvereva T.D., Zhukovskaya N.A., Levkovskaya G.G., Rozentsveig I.B. // Russ. J. Org. Chem. 2017. Vol. 53. P. 240. doi: 10.1134/S1070428017020178
- Jozak T., Zabel D., Schubert A., Sun Y., Thiel W.R. // Eur. J. Inorg. Chem. 2010. P. 5135. doi: 10.1002/ejic.201000802
- Smith J.A., Wilson K.B., Sonstrom R.E., Kelleher P.J., Welch K.D., Pert E.K., Westendorff K.S., Dickie D.A., Wang X., Pate B.H., Harman W.D. // Nature. 2020. Vol. 581. P. 288. doi: 10.1038/s41586-020-2268-y
- Moradi R., Ziarani G.M., Badiei A. // Res. Chem. Intermed. 2023. Vol. 49. P. 1427. doi: 10.1007/s11164-022-04900-9
- Yuea Y., Xiea Z., Chua Y., Shi W. // Russ. J. Org. Chem. 2019. Vol. 55. P. 866. doi: 10.1134/S1070428019060186
- Wei K., Deng Z., Liu Y., Kang M., Liu P., Yang X., Pei M., Zhang G. // J. Photochem. Photobiol. A. 2023. Vol. 437. Article ID 114470. doi: 10.1016/j.jphotochem.2022.114470
- Анпилогова Г.Р., Баева Л.А., Нугуманов Р.M. // ЖОХ. 2023. Т. 93. С. 768; Anpilogova G.R., Baeva L.A., Nugumanov R.M. // Russ. J. Gen. Chem. 2023. Vol. 93. P. 1115. doi: 10.1134/S1070363223050110
- Леснов А.Е. // Изв. вузов. Хим. хим. техн. 2019. Т. 62. С. 15; Lesnov A.E. // Izv. Vyssh. Uchebn. Zaved. Khim. Khim. Tekhnol. 2019. Vol. 62. P. 15. doi: 10.6060/ivkkt201962fp.5775
- David E., Thirumoorthy K., Palanisami N. // Mater. Chem. Front. 2021. Vol. 5. P. 8290. doi: 10.1039/d1qm01022k
- Vafaee A., Davoodnia A., Nakhaei A., Yadegarian S., Nejatianfar M. // Russ. J. Gen. Chem. 2021. Vol. 91. P. 273. doi: 10.1134/S1070363221020158
- Шаталов Г.В., Лавлинская М.С., Пахомова О.А., Мокшина Н.Я., Кузнецов В.А. // ЖПХ. 2016. Т. 89. С. 112; Shatalov G.V., Lavlinskaya M.S., Pakhomova O.A., Mokshina N.Ya., Kuznetsov V.A. // Russ. J. Appl. Chem. 2016. Vol. 89. P. 140. doi: 10.1134/S1070427216010225
- Шаглаева Н.С., Баяндин В.В., Султангареев Р.Г., Вакульская Т.И., Хуцишвили С.С., Орхокова Е.А., Прозорова Г.Ф. // ЖПХ. 2013. Т. 86. С. 1623; Shaglaeva N.S., Bayandin V.V., Sultangareev R.G., Vakul’skaya T.I., Khutsishvili S.S., Orkhokova E.A., Prozorova G. F. // Russ. J. Appl. Chem. 2013. Vol. 86. P. 1576. doi: 10.1134/S1070427213100169
- Wang J., Lv R., Jiang L., Song S., Wang K., Zhang Q. // Chem. Heterocycl. Compd. 2022. Vol. 58. P. 493. doi: 10.1007/s10593-022-03118-2
- Левашова Е.Ю., Жуковский Д.Д., Дарьин Д.В., Красавин М.Ю. // ХГС. 2020. Т. 56. С. 806; Levashova E.Yu., Zhukovsky D.D., Dar’in D.V., Krasavin M.Yu. // Chem. Heterocycl. Compd. 2020. Vol. 56. P. 806. doi: 10.1007/s10593-020-02735-z
- Goulioukina N.S., Makukhin N.N., Beletskaya I.P. // Russ. Chem. Rev. 2016. Vol. 85. P. 667. doi: 10.1070/RCR4579
- Zou X., Zheng L., Zhuo X., Zhong Y., Wu Y., Yang B., He Q., Guo W. // J. Org. Chem. 2023. Vol. 88. P. 2190. doi: 10.1021/acs.joc.2c02610
- Назаров М.А., Толмачева И.А., Ерошенко Д.В., Майорова О.А., Дмитриев М.В., Гришко В.В. // ХГС. 2020. Т. 56. С. 1321; Nazarov M.A., Tolmacheva I.A., Eroshenko D.V., Maiorova O.A., Dmitriev M.V., Grishko V.V. // Chem. Heterocycl. Compd. 2020. Vol. 56. P. 1321. doi: 10.1007/s10593-020-02817-y
- Wuzhong Z., Yulai H., Xiaoping W., Jiaxin L., Danfeng H., Kehu W. // Chin. J. Org. Chem. 2019. Vol. 39. P. 1396. doi: 10.6023/cjoc201811039
- Маркитанов Ю.Н., Тимошенко В.М. // ХГС. 2021. Т. 57. С. 1149; Markitanov Y.N., Timoshenko V.M. // Chem. Heterocycl. Compd. 2021. Vol. 57. P. 1149. doi: 10.1007/s10593-021-03035-w
- Huan X., Wang Y., Peng X., Xie S., He Q., Zhang X., Lan L., Yang C. // Eur. J. Med. Chem. 2022. Vol. 236. Article ID 114309. doi: 10.1016/j.ejmech.2022.114309
- Быкова Л.С., Кочнев И.А., Барков А.Ю., Зимницкий Н.С., Коротаев В.Ю., Сосновских В.Я. // ХГС. 2022. Т. 58. С. 646; Bykova L.S., Kochnev I.А., Barkov A.Yu., Zimnitskiy N.S., Korotaev V.Yu., Sosnovskikh V.Ya. // Chem. Heterocycl. Compd. 2022. Vol. 58. P. 646. doi: 10.1007/s10593-022-03128-0
- Маркитанов Ю.Н., Тимошенко В.М., Михайлыченко С.С., Русанов Е.Б., Хыжан А.И., Шермолович Ю.Г. // ХГС. 2021. Т. 57. С. 1107; Маrkitanov Y.N., Тimoshenko V.М., Мykhaylychenko S.S., Rusanov E.B., Khyzhan A.I., Shermolovich Y.G. // Chem. Heterocycl. Compd. 2021. Vol. 57. P. 1107. doi: 10.1007/s10593-021-03029-8
- Mykhailiuk P.K. // Eur. J. Org. Chem. 2015. P. 7235. doi: 10.1002/ejoc.201501027
- Mykhailiuk P.K., Koenigs R.M. // Chem. Eur. J. 2020. Vol. 26. P. 89. doi: 10.1002/chem.201903335
- Ледовская М.С., Воронин В.В., Валов Н.Р. // ЖОХ. 2023. Т. 93. С. 167; Ledovskaya M.S., Voronin V.V., Valov N.R. // Russ. J. Gen. Chem. 2023. Vol. 93. P. 235. doi: 10.1134/S1070363223020019
- Szilágyi B., Egyed A., Mándity I., Nagy T., Kátai-Fadgyas K., Volk B., Keserű G.M. // Synthesis. 2023. Vol. 55. P. 959. doi: 10.1055/s-0042-1751389
- Poszávácz L., Nagy T., Kátai-Fadgyas K., Volk B. // Synthesis. 2023. Vol. 55. P. 2061. doi: 10.1055/a-2016-4337
- Васин В.А., Попкова Ю.А., Безрукова Е.В., Разин В.В., Сомов Н.В. // ЖОрХ. 2018. Т. 54. С. 1178; Vasin V.А., Popkova Yu.А., Bezrukova Ye.V., Razin V.V., Somov N.V. // Russ. J. Org. Chem. 2018. Vol. 54. P. 1189. doi: 10.1134/S1070428018080122
- Васин В.А., Разин В.В., Безрукова Е.В., Попкова Ю.А., Сомов Н.В. // ЖОрХ. 2018. Т. 54. С. 890; Vasin V.A., Razin V.V., Bezrukova E.V., Popkova Yu.A., Somov N.V. // Russ. J. Org. Chem. 2018. Vol. 54. P. 892. doi: 10.1134/S1070428018060118
- Пелипко В.В., Байчурин Р.И., Макаренко С.В. // Изв. АН. Сер. хим. 2019. Т. 68. С. 1821; Pelipko V.V., Baichurin R.I., Makarenko S.V. // Russ. Chem. Bull. 2019. Vol. 68. P. 1821. doi: 10.1007/s11172-019-2631-z
- Chen Z., Zhang Y., Nie J., Ma J.A. // Org. Lett. 2018. Vol. 20. P. 2120. doi: 10.1021/acs.orglett.8b0072
- Chen Z., Zhang Y., Ma J.A. // Angew. Chem. 2017. Vol. 129. P. 4640. doi: 10.1002/ange.201700955
- Feng G., Xu S., Chen R., Chen W., Wang K.-K., Wang S. // Tetrahedron Lett. 2020. Vol. 61. Article ID 152622. doi: 10.1016/j.tetlet.2020.152622
- Бородкин Ю.С., Русанов Э.Б., Хижан А.И., Шермолович Ю.Г. // ХГС. 2019. Т. 55. С. 1065; Borodkin Y.S., Rusanov E.B., Khizhan A.I., Shermolovich Y.G. // Chem. Heterocycl. Compd. 2019. Vol. 55. P. 1065. doi: 10.1007/s10593-019-02578-3
- Chen H., Wen S., Cui Y., Lin L., Zhang H., Fang Z., You Y., Wenig Z. // Tetrahedron. 2021. Vol. 85. Article ID 132062. doi: 10.1016/j.tet.2021.132062
- Bondock S., Albormani O., Fouda A.M. // Russ. J. Gen. Chem. 2022. Vol. 92. P. 1098. doi: 10.1134/S1070363222060226
- Марцинкевич Д.С., Чернявская К.Ф., Абрамович Т.Л., Тарасевич В.А. // ЖОрХ. 2022. Т. 58. С. 516; Martsinkevich D.S., Chernyavskaya K.F., Ahramovich T.I., Tarasevich V.A. // Russ. J. Org. Chem. 2022. Vol. 58. P. 697. doi: 10.1134/S1070428022050098
- Abdelrahman E.F., Shehta W., Assy M.G.M., Farhan M.E. // Russ. J. Org. Chem. 2020. Vol. 56. P. 1832. doi: 10.1134/S1070428020100267
- Assy M.G., Shehta W., Abdelrahman E.F. // Russ. J. Org. Chem. 2020. Vol. 56. P. 1245. doi: 10.1134/S1070428020070192
- El-Sayed H.A., Moustafa A.H., Fadda A.A., Abd El-Rahman K.E. // Russ. J. Gen. Chem. 2019. Vol. 89. P. 339. doi: 10.1134/S1070363219020270
- Стасевич М.В., Зварыч В.И., Лунин В.В., Хомяк С.В., Вовк М.В., Новиков В.П. // ХГС. 2017. Т. 53. С. 927; Stasevych M.V., Zvarych V.I., Lunin V.V., Khomyak S.V., Vovk M.V., Novikov V.P. // Chem. Heterocycl. Compd. 2017. Vol. 53. P. 927. doi: 10.1007/s10593-017-2148-z
- Yamali C., Sakagami H., Uesawa Y., Kurosaki K., Satoh K., Masuda Y., Yokose S., Ece A., Bua S., Angeli A., Supuran C.T., Gul H.I. // Eur. J. Med. Chem. 2021. Vol. 217. Article ID 113351. doi: 10.1016/j.ejmech.2021.113351
- Аксенов Н.А., Скоморохов А.А., Аксенов А.В., Воскресенский Л.Г., Рубин М.А. // ХГС. 2019. Т. 55. С. 541; Aksenov N.A., Skomorokhov A.A., Aksenov A.V., Voskressensky L.G., Rubin M.A. // Chem. Heterocycl. Compd. 2019. Vol. 55. P. 541. doi: 10.1007/s10593-019-02493-7
- Yao M.-M., Chen W.-T., Min L.-J., Han L., Sun N.-B., Liu X.-H. // J. Molec. Struct. 2022. Vol. 1265. Article ID 133405. doi: 10.1016/j.molstruc.2022.133405
- Venkatesh N., Sundergoud Sh., Kumara Swamy M., Veerasomaiah P. // Russ. J. Org. Chem. 2020. Vol. 56. P. 1635. doi: 10.1134/S1070428020090213
- Pervaram S., Ashok D., Rao B.A., Sarasija M., Reddy C.V.R. // Russ. J. Gen. Chem. 2017. Vol. 87. P. 2454. doi: 10.1134/S1070363217100280
- Городничева Н.В., Васильева О.С., Остроглядов Е.С., Байчурин Р.И., Литвинов И.А., Тюренков И.Н., Ковалев Н.С., Бакулин Д.А., Куркин Д.В., Байчурина Л.В., Макаренко С.В. // ХГС. 2022. Т. 58. С. 598; Gorodnicheva N.V., Vasil’eva O.S., Ostroglyadov E.S., Baichurin R.I., Litvinov I.A., Tyurenkov I.N., Kovalev N.S., Bakulin D.A., Kurkin D.V., Baichurina L.V., Makarenko S.V. // Chem. Heterocycl. Compd. 2022. Vol. 58. P. 598. doi: 10.1007/s10593-022-03140-4
- Баева Л.А., Нугуманов Р.М., Гатауллин Р.Р., Фатыхов А.А. // ХГС. 2020. Т. 56. С. 548; Baeva L.A., Nugumanov R.M., Gataullin R.R., Fatykhov A.А. // Chem. Heterocycl. Compd. 2020. Vol. 56. P. 548. doi: 10.1007/s10593-020-02698-1
- Naguib H.M., Dauoud N.T., Shaban S.N., Abdelghaffar N.F., Sayed G.H., Anwer K.E. // Russ. J. Org. Chem. 2022. Vol. 58. P. 891. doi: 10.1134/S1070428022060203
- Moeinimehr M., Safaiee M., Zolfigol M.A., Taherpour A.A. // ChemistrySelect. 2022. Vol. 7. Article ID e202200849. doi: 10.1002/slct.202200849
- Сираканян С.Н., Спинелли Д., Героникаки А., Карцев В.Г., Степанян О.М., Акопян Э.К., Овакимян А.А. // ХГС. 2021. Т. 57. С. 75; Sirakanyan S.N., Spinelli D., Geronikaki A., Kartsev V.G., Stepanyan H.M., Hakobyan E.K., Hovakimyan A.A. // Chem. Heterocycl. Compd. 2021. Vol. 57. P. 75. doi: 10.1007/s10593-021-02870-1
- He W.-B., Zhao S.-J., Chen J.-Y., Jiang J., Chen X., Xu X., He W.-M. // Chin. Chem. Lett. 2023. Vol. 34. Article ID 107640. doi: 10.1016/j.cclet.2022.06.063
- Липин К.В., Ершов О.В., Федосеев С.В., Михайлов А.А. // ЖОрХ. 2020.Т. 56, 144; Lipin K.V., Ershov O.V., Fedoseev S.V., Mikhailov A.A. // Russ. J. Org. Chem. 2020. Vol. 56. P. 177. doi: 10.1134/S1070428020010273
- Moustafa A.H., Ahmed D.H., El-Wassimy M.T.M., Mohamed M.F.A. // Synth. Commun. 2021. Vol. 51. P. 570. doi: 10.1080/00397911.2020.1843179
- Khatab T.K., Hassan A.S., Hassan A.S., Hafez T.S., Hafez T.S. // Bull. Chem. Soc. Ethiop. 2019. Vol. 33. P. 135. doi: 10.4314/bcse.v33i1.13
- Mukhtar S.S., Hassan A.S., Morsy N.M., Hafez T.S., Saleh F.M., Hassaneen H.M. // Synth. Commun. 2021. Vol. 51. P. 1564. doi: 10.1080/00397911.2021.1894338
- Новикова Д.С., Darwish F., Григорева Т.А., Трибулович В.Г. // ЖОХ. 2023. Т. 93. С. 684; Novikova D.S., Darwish F., Grigoreva T.A., Tribulovich V.G. // Russ. J. Gen. Chem. 2023. Vol. 93. P. 1040. doi: 10.1134/S1070363223050043
- Ravi K., Dhoddi B.N., Pochampally J., Matta R. // Russ. J. Org. Chem. 2023. Vol. 59. P. 924. doi: 10.1134/S1070428023050238
- Lusardi M., Spallarossa A., Brullo C. // Int. J. Mol. Sci. 2023. Vol. 24. Article ID 7834. doi: 10.3390/ijms24097834
- Pandey A.K., Kumar A., Shrivastava S.C. // Russ. J. Org. Chem. 2021. Vol. 57. P. 653. doi: 10.1134/S1070428021040229
- Sedighinia E., Badri R., Kiasat A.R. // Russ. J. Org. Chem. 2019. Vol. 55. P. 1755. doi: 10.1134/S1070428019110186
- Sivaganesh T., Padmaja P., Reddy P.N. // Russ. J. Org. Chem. 2022. Vol. 58. P. 81. doi: 10.1134/S1070428022010110
- Ивонин М.А., Бычок О.Ю., Сафарова Н.В., Сорокин В.В. // ЖОХ. 2017. Т. 87. С. 1728; Ivonin M.A., Bychok O.Yu., Safarova N.V., Sorokin V.V. // Russ. J. Gen. Chem. 2017. Vol. 87. P. 2477. doi: 10.1134/S1070363217100322
- Zolfigol M.A., Afsharnadery F., Baghery S., Salehzadeh S., Maleki F. // RSC Adv. 2015. Vol. 5. P. 75555. doi: 10.1039/c5ra16289k
- Usachev S.A., Nigamatova D.I., Mysik D.K., Naumov N.A., Obydennov D.L., Sosnovskikh V.Y. // Molecules. 2021. Vol. 26. Article ID 4415. doi: 10.3390/molecules26154415
- Комогорцев А.Н., Мелехина В.Г., Личицкий Б.В., Дудинов А.А., Фахрутдинов А.Н., Краюшкин М.М. // Изв. Ан. Сер. хим. 2020. Т. 69. С. 758; Komogortsev A.N., Melekhina V.G., Lichitsky B.V., Dudinov A.A., Fakhrutdinov A.N., Krayushkin M.M. // Russ. Chem. Bull. 2020. Vol. 69. P. 758. doi: 10.1007/s11172-020-2829-0
- Обыденнов Д.Л., Суслова А.И., Сосновских В.Я. // ХГС. 2020. Т. 56. С. 173; Obydennov D.L., Suslova A.I., Sosnovskikh V.Ya. // Chem. Heterocycl. Compd. 2020. Vol. 56. P. 173. doi: 10.1007/s10593-020-02642-3
- Lisovenko N.Y., Nasibullina E.R., Dmitriev M.V. // Russ. Chem. Bull. Int. Ed. 2019. Vol. 68. P. 578. doi: 10.1007/s11172-019-2457-8
- Ивонин С.П., Русанов Э.Б., Волочнюк Д.М. // ХГС. 2020. Т. 56. С. 320; Ivonin S.P., Rusanov E.B., Volochnyuk D.M. // Chem. Heterocycl. Compd. 2020. Vol. 56. P. 320. doi: 10.1007/s10593-020-02662-z
- Hazarika R., Konwar M., Damarla K., Kumar A., Sarma D. // Synth. Commun. 2020. Vol. 50. P. 329. doi: 10.1080/00397911.2019.1692869
- Somakala K., Amir M., Sharma V., Wakode S. // Monatsh. Chem. 2016. Vol. 147. P. 2017. doi: 10.1007/s00706-016-1694-x
- El Shehry M.F., Ewies E.F., Zayed E.M. // Russ. J. Gen. Chem. 2019. Vol. 89. P. 492. doi: 10.1134/S1070363219030216
- Олещук А.Л., Карбаинова А.А., Криворучко Т.Н., Шульгау З.Т., Сеильханов Т.М., Кулаков И.В. // ХГС. 2019. Т. 55. С. 47; Oleshchuk A.L., Karbainova A.A., Krivoruchko T.N., Shulgau Z.T., Seilkhanov T.M., Kulakov I.V. // Chem. Heterocycl. Compd. 2019. Vol. 55. P. 47. doi: 10.1007/s10593-019-02417-5
- Akki M., Reddy D.S., Katagi K.S., Kumar A., Babagond V., Munnolli R.S., Joshi S.D. // Russ. J. Gen. Chem. 2022. Vol. 92. P. 2092. doi: 10.1134/S1070363222100231
- Zhang D., Asnake S., Zhang J., Olsson P.-E., Zhao G. // Chem. Biol. Drug Design. 2018. Vol. 91. P. 1113. doi: 10.1111/cbdd.13173
- Гейн В.Л., Бобровская О.В., Русских А.А., Новикова В.В., Гейн О.Н., Карпенко Ю.Н., Чащина С.В., Дмитриев М.В., Янкин А.Н. // ЖОХ. 2019. Т. 89. С. 542; Gein V.L., Bobrovskaya O.V., Russkikh A.A., Novikova V.V., Gein O.N., Karpenko Yu.N., Chashchina S.V., Dmitriev M.V., Yankin A.N. // Russ. J. Gen. Chem. 2019. Vol. 89. P. 680. doi: 10.1134/S1070363219040078
- Kolla S.T., Somanaboina R., Bhimapaka C.R. // Synth. Commun. 2021. Vol. 51. P. 1425. doi 10.1080/ 00397911.2021.1885716
- Li D., Hu W. // Asian J. Org. Chem. 2023. Vol. 12. Article ID e20230004. doi: 10.1002/ajoc.202300043
- Nguyen K.X., Pham P.H., Nguyen T.T., Yang C.-H., Pham H.T.B., Nguyen T.T., Wang H., Phan N.T.S. // Org. Lett. 2020. Vol. 22. P. 9751. doi: 10.1021/acs.orglet.0c03846
- Tiwari M.K., Iqubal A., Das P. // Tetrahedron. 2022. Vol. 126. Article ID 133059. doi: 10.1016/j.tet.2022.133059
- Nair A.R., Sunil Kumar Y.C., Sivan A. // Opt. Mater. 2022. Vol. 134. Article ID 113117. doi: 10.1016/j.optmat.2022.113117
- Zhu Y.-F., Wei B.-L., Wei J.-J., Wang W.-Q., Song W.-B., Xuan, L.-J. // Tetrahedron Lett. 2019. Vol. 60. P. 1202. doi: 10.1016/j.tetlet.2019.03.063
- Solomin V.V., Ciruelos B.F., Velikova N., Wells J., Albanese M., Adhav A., Jirgensons A. // Chem. Heterocycl. Compd. 2022. Vol. 58. P. 737. doi: 10.1007/s10593-023-03151-9
- Goulart T.B., Neves A.M., Soares M.S.P., Stefanello F.M., Campos P.T., Moura S., Cargnelutti R., Flores A.F.C. // Chem. Heterocycl. Compd. 2020. Vol. 56. P. 1314. doi: 10.1007/s10593-020-02816-z
- Bellam M., Gundluru M., Sarva S., Chadive S., Netala V.R., Tartte V., Cirandur S.R. // Chem. Heterocycl. Compd. 2017. Vol. 53. P. 173. doi: 10.1007/s10593-017-2036-6
- Yan L., Wu J., Chen H., Zhang S., Wang Z., Wang H., Wu F. // RSC Adv. 2015. Vol. 5. Article ID 73660. doi: 10.1039/c5ra11782h
- Кобелевская В.А., Ларина Л.И., Попов А.В. // ХГС. 2022. Т. 58. С. 588; Kobelevskaya V.А., Larina L.I., Popov A.V. // Chem. Heterocycl. Compd. 2022. Vol. 58. P. 588. doi: 10.1007/s10593-022-03139-x
- Ablajan K., Wang L.-J., Maimaiti Z., Lu Y.-T. // Monatsh. Chem. 2014. Vol. 145. P. 491. doi: 10.1007/s00706-013-1104-6
- Gulia N., Małecki M., Szafert S. // J. Org. Chem. 2021. Vol. 86. P. 9353. doi. 10.1021/acs.joc.1c00606
- Hong B., Ding X., Jiang M., Qin L., Lin Z., Wua W., Weng Z. // Tetrahedron Lett. 2022. Vol. 104. 154018. doi: 10.1016/j.tetlet.2022.154018
- Wang S., Li Y., Bi X., Liu Q. // Synlett. 2015. Vol. 26. P. 1895. doi: 10.1055/s-0034-1378858
- Mykhailiuk P.K. // Chem. Rev. 2021. Vol. 121. P. 1670. doi: 10.1021/acs.chemrev.0c01015
- Xu Y., Chen Q., Tian Y., Wu W., You Y., Weng Z. // Tetrahedron Lett. 2020. Vol. 61. Article ID 151455. doi: 10.1016/j.tetlet.2019.151455
- Шмидт Е.Ю., Татаринова И.В., Трофимов Б.А. // ЖОрХ. 2015. Т. 51. С. 137; Schmidt E.Yu., Tatarinova I.V., Trofimov B.A. // Russ. J. Org. Chem. 2015. Vol. 51. P. 136. doi: 10.1134/S1070428015010273
- Gorla M.R., Sarma M. // Russ. J. Org. Chem. 2022. Vol. 58. P. 572. doi: 10.1134/S1070428022040157
- Савельев В.А., Котова А.А., Рыбалова Т.В., Шульц Э.Э. // ХГС. 2019. Т. 55. С. 943; Savel’ev V.A., Kotova A.A., Rybalova T.V., Shults E.E. // Chem. Heterocycl. Compd. 2019. Vol. 55. P. 943. doi: 10.1007/s10593-019-02561-y
- Safari N., Imanzadeh G., Asgharzadeh R., Hosseyni S.T., Shamkhali A.N., Soltanzadeh Z. // Chem. Heterocycl. Compd. 2021. Vol. 57. P. 640. doi: 10.1007/s10593-021-02962-y
- Антонов Д.И., Дмитриев М.В., Курова О.А., Масливец А.Н. // ЖОрХ. 2021. Т. 57. С. 1778; Antonov D.I., Dmitriev M.V., Kourova O.A., Maslivets A.N. // Russ. J. Org. Chem. 2021. Vol. 57. P. 2063. doi: 10.1134/S1070428021120241
- Бобров П.С., Кондрасенко А.А., Субоч Г.А. // ЖОрХ. 2022. Т. 58. С. 1224; Bobrov P.S., Kondrasenko A.A., Suboch G.A. // Russ. J. Org. Chem. 2022. Vol. 58. P. 1637. doi: 10.1134/S1070428022110112
- Huisgen R., Seidel M., Wallbillich G., Knupfer H. // Tetrahedron. 1962. Vol. 17. P. 3. doi: 10.1016/S0040-4020 (01) 99001-5
- Zhang X., Pan Y., Liu T., Wang Y. // J. Org. Chem. 2023. Vol. 88. P. 7504. doi: 10.1021/acs.joc.3c00307
- Padwa A., MacDonald J.G. // J. Heterocycl. Chem. 1987. Vol. 24. P. 1225. doi: 10.1002/jhet.5570240457
- Shawali A.S., Hassaneen H.M., Ibrahim H.A. // Arch. Pharm. Res. 1990. Vol. 13. P. 126. doi: 10.1007/BF02857788
- Huisgen R., Grashey R., Seidel M., Wallbillich G., Knupfer H., Schmidt R. // Justus Liebigs Ann. 1962. Vol. 653. P. 105. doi: 10.1002/jlac.19626530113
- Hoque A.K.M.M., Kovelesky A.C., Wang-Keun L., Shine H.J. // Tetrahedron Lett. 1985. Vol. 26. P. 5655. doi: 10.1016/s0040-4039 (01) 80911-4
- Li Y., Hong D., Lu P., Wang Y. // Tetrahedron Lett. 2011. Vol. 52. P. 4161. doi: 10.1016/j.tetlet.2011.05.147
- Ibrahim M.K.A., Elghandour A.H.H., Elshikh S.M.M., Mishael S.A. // Indian J. Chem. 1997. Vol. 36B. P. 91. https://nopr.niscpr.res.in/handle/123456789/57013
- Sodagar E., Yavari I., Nematpour M. // Monatsh. Chem. 2015. Vol. 146. P. 2135. doi: 10.1007/s00706-015-1495-7
- Ren D., Kuang G., Li X. // Chem. Heterocycl. Compd. 2018. Vol. 54. P. 1117. doi: 10.1007/s10593-019-02401-z
- Askar D., Liu X., Obolda A., Xu W., Xu Y., Wang G., Wang T., Zhai H., Cheng B. // Synthesis. 2023. Vol. 55. P. 1561. doi: 10.1055/a-1994-8251
- Cao G., Liu X., Wang L., Li Y., Teng D. // Tetrahedron. 2020. Vol. 76. Article ID 131568. doi: 10.1016/j.tet.2020.131568
- Huang H., Pu Y., Zhu D., Zhang C., Yang J., Liu C., Zhang X., Tao F., Li M.-M., Lu J. // Tetrahedron. 2023. Vol. 131. Article ID 133203. doi: 10.1016/j.tet.2022.133203
- Wang Y., Xiong C., Zhong J., Zhou Q. // Tetrahedron. 2022. Vol. 115. Article ID 132790. doi: 10.1016/j.tet.2022.132790
- Xu Q., Jia V., Wu Y., Hu B., Xin J., Liu Y., Gao W., Li D. // J. Org. Chem. 2022. Vol. 87. P. 14496. doi: 10.1021/acs.joc.2c01910
- Gao D., Zhai H., Parvez M., Back T.G. // J. Org. Chem. 2008. Vol. 73. P. 8057. doi: 10.1021/jo801621d
- Silvani A., Manenti M., Molteni G. // Synthesis. 2023. Vol. 55. P. 1150. doi: 10.1055/s-0042-1751770
- Rathelot P., Azas N., El-Kashef H., Delmas F., Di Giorgio C., Timon-David P., Maldonado J., Vanelle P. // Eur. J. Med. Chem. 2002. Vol. 37. P. 671. doi: 10.1016/S0223-5234 (02) 01388-0
- Потопник М.А., Матийчук В.С., Обушак М.Д. // ЖОрХ. 2017. Т. 53. С. 67; Potopnyk M.A., Matiichuk V.S., Obushak M.D. // Russ. J. Org. Chem. 2017. Vol. 53. P. 62. doi: 10.1134/S1070428017010110
- Khalifa N.M., Al-Omar M.A., Ali O.M. // Russ. J. Gen. Chem. 2017. Vol. 87. P. 2699. doi: 10.1134/S1070363217110275
- Choudhare T.S., Wagare D.S., Shirsath S.E., Prashant D Netankar. // J. Chem. Sci. 2021. Vol. 133. Article ID 69. doi: 10.1007/s12039-021-01939-w
- Wang K., Lv X.-L., Feng D., Li J., Chen S., Sun J., Song L., Xie Y., Li J.-R., Zhou H.-C. // J. Am. Chem. Soc. 2016. Vol. 138. P. 914. doi: 10.1021/jacs.5b10881
- Mamatha S.V, Belagali S.L., Bhat M., Joshi B.K. // Chem. Data Collections. 2022. Vol. 41. Article ID 100930. doi: 10.1016/j.cdc.2022.100930
- Alshabani L.A., Kumar A., Willcocks S.J., Srithiran G., Bhakta S., Estrada D.F., Simons C. // RSC Med. Chem. 2022. Vol. 13. P. 1350. doi: 10.1039/d2md00155a
- Паперная Л.К., Шатрова А.А., Албанов А.И., Левковская Г.Г. // ЖОрХ. 2018. Т. 54. С. 731; Papernaya L.K., Shatrova А.А., Albanov А.I., Levkovskaya G.G. // Russ. J. Org. Chem. 2018. Vol. 54. P. 734. doi: 10.1134/S107042801805010X
- Khalifa N.M., Al-Omar M.A., Nossier E.S. // Russ. J. Gen. Chem. 2017. Vol. 87. P. 846. doi: 10.1134/S1070363217040296
Дополнительные файлы













































