Структурно-механическая модификация аморфного полиэтилентерефталата и гибридных нанокомпозиционных материалов на его основе
- Авторы: Долгова А.А.1, Столбов Д.Н.1, Сорочинская С.А.1, Заикин А.С.1, Ярышева А.Ю.1, Савилов С.В.1, Ярышева Л.М.1, Аржакова О.В.1
-
Учреждения:
- Московский государственный университет имени М. В. Ломоносова
- Выпуск: Том 94, № 1 (2024)
- Страницы: 113-121
- Раздел: Статьи
- URL: https://journal-vniispk.ru/0044-460X/article/view/258265
- DOI: https://doi.org/10.31857/S0044460X24010101
- EDN: https://elibrary.ru/HKLWQW
- ID: 258265
Цитировать
Полный текст
Аннотация
Получены гибридные нанокомпозиционные материалы на основе полиэтилентерефталата и неорганического антипирена диаммонийфосфата с использованием явления крейзинга полимеров. Проведена структурно-механическая модификация исходного аморфного полиэтилентерефталата и полученных нанокомпозиционных материалов путем холодной продольной прокатки. Установлено влияние предварительной прокатки на деформационное поведение полиэтилентерефталата при последующем растяжении на воздухе и в физически активных жидких средах.
Ключевые слова
Полный текст
ВВЕДЕНИЕ
Ориентационную вытяжку как способ улучшения механических свойств полимеров широко используют в промышленности для получения высокопрочных полимерных изделий в виде пленок и волокон [1–3]. Наиболее известными и распространенными способами ориентации полимеров являются растяжение при температурах как выше, так и ниже температуры стеклования, а также прокатка [4–9].
Известно [2, 10], что повторное растяжение ориентированных полимеров вдоль направления предварительной ориентации сопровождается снижением разрывного удлинения. Кроме того, предварительная ориентация полимеров выше некоторого критического значения может полностью подавлять их способность к последующему пластическому деформированию [11].
Крейзинг является одним из видов пластической деформации, при котором происходит переход полимера в ориентированное фибриллизованное состояние в локализованных деформационных зонах – крейзах [12]. В связи с этим ранее было исследовано влияние предварительной ориентации полимеров на их деформирование по механизму крейзинга. В работах [4, 5] было показано, что предварительная ориентационная вытяжка выше температуры стеклования (при 80°C) аморфного стеклообразного полиэтилентерефталата может приводить к подавлению крейзинга.
Цель данной работы заключалась в изучении влияния структурно-механической модификации пленок полиэтилентерефталата при их предварительной деформации при комнатной температуре на деформационное поведение при последующем растяжении на воздухе и в физически активных жидких средах, а также на «залечивание» остаточной пористости гибридных нанокомпозиционных материалов на основе полиэтилентерефталата, полученных методом крейзинга.
РЕЗУЛЬТАТЫ И ОБСУЖДЕНИЕ
Предварительную деформацию промышленных пленок полиэтилентерефталата проводили путем холодной продольной прокатки на системе лабораторных протяжных валков. Установлено, что особенностью предварительно деформированных при комнатной температуре образцов полиэтилентерефталата является изменение во времени после прокатки их структурного и механического отклика на приложенное механическое напряжение при растяжении на воздухе и в присутствии физически активных жидких сред. Установлено, что через 1 ч после прокатки и отдыха полимера при комнатной температуре при повторном растяжении на воздухе образец деформируется достаточно однородно с развитием множественных полос сдвига. Однако спустя 24 ч после прокатки при растяжении на воздухе наблюдается образование традиционной шейки с наличием ярко выраженной зоны перехода полимера в ориентированное состояние, что характерно для аморфных стеклообразных полимеров [12].
Установлено, что в присутствии физически активных жидких сред повторное растяжение предварительно деформированных образцов полиэтилентерефталата осуществляется по механизму классического крейзинга. На рис. 1 для сравнения приведены микрофотографии скола и поверхности исходного неориентированного полиэтилентерефталата после его вытяжки на 100% в физически активных жидких средах. Видно, что все поперечное сечение образца пронизывают крейзы с фибриллярно-пористой структурой, чередующиеся с участками недеформированного полимера. Плотность крейзов на единицу длины в данном случае составляет 130–160 мм–1.
Рис. 1. Сканирующие электронные микрофотографии скола (а) и поверхности (б) исходного полиэтилентерефталата, деформированного на 100% в физически активных жидких средах. Стрелкой указано направление деформации в физически активных жидких средах
На рис. 2 представлены микрофотографии предварительно деформированных при комнатной температуре на 25% образцов полиэтилентерефталата, повторное растяжение которых в физически активных жидких средах проводили через различное время после прокатки. Деформирование в физически активных жидких средах предварительно прокатанного полиэтилентерефталата развивается по механизму классического крейзинга, однако общий вид образцов, растянутых в физически активных жидких средах через различное время после прокатки, значительно отличается. Так, после вытяжки в физически активных жидких средах через 1 ч после прокатки хорошо видны множественные ветвистые крейзы на поверхности образца, которые пронизывают все его поперечное сечение (рис. 2а, б). Поверхность деформированного образца представляет собой сочетание многочисленных впадин и выступов, при этом впадины соответствуют ориентированному материалу в крейзах, а выступы над поверхностью – неориентированному полимеру. Количество крейзов на единицу длины составляет 240–270 мм–1.
Рис. 2. Сканирующие электронные микрофотографии сколов (а, в, д) и поверхностей (б, г, е) образцов полиэтилентерефталата, деформированных в физически активных жидких средах до 100% через 1 (а, б), 24 (в, г) и 48 ч (д, е) после предварительной деформации на 25% при комнатной температуре. Стрелками указано направление деформации в физически активных жидких средах; направление деформации в физически активных жидких средах совпадает с направлением прокатки
Однако если вытяжку в физически активных жидких средах предварительно деформированных образцов полиэтилентерефталата проводили через 24 ч после прокатки, то рельеф поверхности становился более гладким: крейзы более прямолинейные, их ветвление менее выражено (рис. 2в, г), но линейная плотность крейзов увеличивалась до 450–480 мм–1. Через 48 и 72 часа после прокатки внешний вид предварительно деформированных и повторно растянутых в физически активных жидких средах (рис. 2д, е) образцов полиэтилентерефталата напоминал внешний вид исходных образцов после вытяжки в физически активных жидких средах (рис. 1): крейзы становились еще более прямолинейными, при этом их количество на единицу длины уменьшалось до 260–290 мм–1.
Для объяснения такого поведения во времени после прокатки и повторной вытяжки в физически активных жидких средах предварительно деформированных образцов полиэтилентерефталата проанализируем соответствующие динамометрические кривые растяжения полимера. Установлено, что через 1 ч после прокатки механические характеристики предварительно деформированного на 25% полиэтилентерефталата несколько снижаются по сравнению с исходным полимером при растяжении как на воздухе, так и в физически активных жидких средах: напряжение в пределе текучести при растяжении на воздухе уменьшается от ~55 МПа для исходного полиэтилентерефталата до ~49 МПа для прокатанного полиэтилентерефталата, и при растяжении в физически активных жидких средах – от ~34 до ~29 МПа соответственно, т. е. наблюдается деформационное размягчение стеклообразного полимера [2, 13].
Через 24 ч после прокатки и отдыха полимера при комнатной температуре при его повторном деформировании напряжение в пределе текучести увеличивается: от ~49 до ~58 МПа при растяжении на воздухе и от ~29 до ~37 МПа при растяжении в физически активных жидких средах. В дальнейшем с увеличением времени после прокатки (48 ч и более) предел текучести не изменяется при повторном деформировании как на воздухе, так и в физически активных жидких средах. Полученные результаты по изменению напряжения в пределе текучести в зависимости от времени после прокатки находятся в соответствии с данными работы [13], согласно которым при прокатке при комнатной температуре в пленках аморфного полиэтилентерефталата появляются полосы сдвига, в которых понижена плотность материала и повышен свободный объем, в результате дальнейшее деформирование полимера на воздухе по полосам сдвига облегчено, и в первые часы после прокатки наблюдается уменьшение предела текучести по сравнению с исходным полимером. С увеличением времени после прокатки в результате теплового движения плотность материала в полосах сдвига постепенно возрастает [14], что приводит к повышению предела текучести полиэтилентерефталата при его повторном растяжении на воздухе [6].
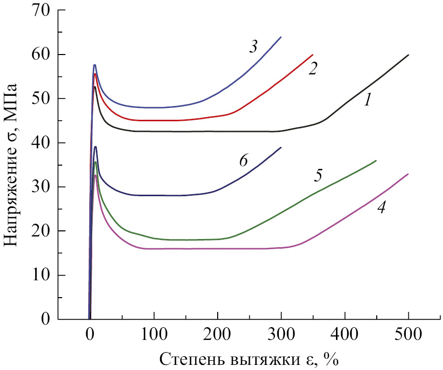
На рис. 3 представлены динамометрические кривые образцов исходного полиэтилентерефталата и полиэтилентерефталата с различной степенью предварительной деформации (25 и 50%) при растяжении на воздухе (кривые 1–3) и в физически активных жидких средах (кривые 4–6) через 24 ч после прокатки. С увеличением степени предварительной деформации полиэтилентерефталата от 25 до 50% при последующем растяжении на воздухе и в физически активных жидких средах увеличиваются такие механические характеристики, как предел текучести, напряжение стационарного деформирования и разрывное напряжение. Наблюдается незначительный рост модуля упругости полимера: при растяжении на воздухе от ~860 МПа для исходного полиэтилентерефталата до ~880 и ~900 МПа для предварительно деформированного на 25 и 50% полиэтилентерефталата соответственно; при растяжении в физически активных жидких средах – от ~730 МПа для исходного полиэтилентерефталата до ~750 и ~770 МПа для предварительно деформированного на 25 и 50% полиэтилентерефталата соответственно. Отметим, что с увеличением степени предварительной деформации диапазон стационарного развития деформации значительно сокращается по сравнению с исходным полиэтилентерефталатом при растяжении как на воздухе, так и в физически активных жидких средах. Ранее было показано, что протяженность данного участка связана с величиной естественной степени вытяжки полимера λ, которая определяется характерной для данного полимера плотностью сетки зацеплений [4]. Уменьшение протяженности участка плато на динамометрических кривых при увеличении степени предварительной ориентации полиэтилентерефталата обусловлено, очевидно, ростом объемной доли полимерного материала в крейзах, которая обратно пропорциональна естественной степени вытяжки полимера [4].
Рис. 3. Динамометрические кривые образцов полиэтилентерефталата при растяжении на воздухе (1–3) и в физически активных жидких средах (4–6) через 24 ч после прокатки. Степени предварительной деформации образцов, %: 0 (1, 4), 25 (2, 5) и 50 (3, 6)
Установленные в данной работе закономерности изменения механических характеристик образцов полиэтилентерефталата, предварительно деформированных на 25 и 50% путем холодной продольной прокатки, полностью согласуются с данными работы [4] для образцов полиэтилентерефталата, в которых предварительную одноосную вытяжку (на 50, 75 и 100%) проводили при повышенной температуре 80°C (выше температуры стеклования полимера): при увеличении степени предварительной деформации наблюдалось ухудшение механических характеристик полиэтилентерефталата при его последующем растяжении в физически активных жидких средах по механизму крейзинга, что, по-видимому, связано с ориентацией полимерных цепей вдоль направления вытяжки и, возможно, с частичной кристаллизацией полимера, которая облегчается благодаря ориентации полимерных цепей в процессе растяжения [4, 15].
Необходимо отметить, что полученные в данной работе результаты по увеличению во времени после прокатки (релаксации) линейного количества крейзов при вытяжке в физически активных жидких средах для предварительно деформированных образцов полиэтилентерефталата не представляется возможным объяснить только изменением механических характеристик полимера (рис. 3), так как рост предела текучести и напряжения стационарного деформирования полиэтилентерефталата через 24 ч (и более) после прокатки и повторной вытяжки не настолько высоки, чтобы обеспечить существенное увеличение зон локализованной деформации полимера. По всей видимости, при предварительной прокатке наряду с ориентацией в образцах полиэтилентерефталата возникает большое количество дефектных зон, в том числе и зон, которые при приложении механической нагрузки срабатывают как концентраторы напряжения и служат местами инициирования крейзов. После прокатки в образце идет структурная релаксация такого рода опасных зон, что макроскопически и отражается в уменьшении количества крейзов на единицу длины при повторном деформировании. Однако общий уровень плотности крейзов достаточно высок: после деформирования в физически активных жидких средах на 100% линейная плотность крейзов для исходного полиэтилентерефталата составляет 130–160 мм–1; для образцов полиэтилентерефталата, предварительно деформированных на 25 и 50%, через 48 ч после прокатки плотность крейзов составляет 260–290 и 300–330 мм–1 соответственно, т. е. по сравнению с исходным полиэтилентерефталатом линейное число крейзов в предварительно деформированном и повторно растянутом в физически активных жидких средах образце полиэтилентерефталата увеличивается более чем в 2 раза.
Таким образом, предварительная деформация аморфного полиэтилентерефталата при комнатной температуре за счет прокатки на небольшие степени (не более 50%) не только не подавляет способности полимера к крейзингу, но и увеличивает его интенсивность. Эффект прокатки можно сравнить с предварительным зарождением крейзов путем деформации полимера на воздухе или в жидкой среде до нескольких процентов степени вытяжки (ниже деформации в пределе текучести) для обеспечения множественного зарождения крейзов и получения полимерных образцов с более однородной структурой.
Методом дифференциальной сканирующей калориметрии изучены теплофизические характеристики исходного и предварительно деформированного на 25 и 50% полиэтилентерефталата. Установлено, что после прокатки не изменяются температура стеклования и температура плавления полимера, которые составляют ~75 и ~262°С соответственно. При увеличении степени предварительной деформации от 25 до 50% наблюдается небольшое уменьшение температуры кристаллизации от 132.2°С (для исходного и предварительно деформированного на 25% полиэтилентерефталата) до 130.8°С (для степени предварительной деформации 50%), что обусловлено, по-видимому, ориентацией цепей в направлении растяжения [17]. Теплота кристаллизации уменьшается от 30.3 Дж/г (для исходного и предварительно деформированного на 25% полиэтилентерефталата) до 28 Дж/г (для степени предварительной деформации 50%), теплота плавления составляет 41.8 Дж/г (для исходного (полиэтилентерефталата), 42.2 и 39 Дж/г для предварительно деформированного на 25 и 50% полиэтилентерефталата соответственно. Рассчитанная по формуле (1) степень кристалличности полиэтилентерефталата практически не изменяется после прокатки и составляет ~8%:
, (1)
где ΔНпл – теплота плавления, ΔНкр – теплота кристаллизации, ΔНо = 140 Дж/г, теплота плавления идеального кристалла полиэтилентерефталата.
Для определения эффективности действия физически активных жидких сред при увеличении степени предварительной деформации образцов полиэтилентерефталата от 25 до 50% проведено сопоставление предела текучести σт и напряжения стационарного развития деформации σст при растяжении полимера на воздухе и в физически активных жидких средах. На рис. 4 представлены зависимости относительного понижения соответствующих величин при растяжении полимера в физически активных жидких средах по сравнению с воздухом (σв – σФАЖС)/σв, где σв и σФАЖС – предел текучести полимера на воздухе и в физически активных жидких средах соответственно. Как следует из рис. 4, для прокатанных образцов эффективность действия среды (σв – σФАЖС)/σв понижается по мере увеличения степени предварительной деформации. Отметим, что при исследуемых степенях предварительной деформации (не более 50%) способность полиэтилентерефталата к крейзингу не подавляется. Этот результат является вполне закономерным, так как общий уровень ориентации полимерных цепей остается относительно невысоким.
Рис. 4. Зависимость относительного понижения напряжения в пределе текучести (1) и стационарного развития деформации (2) при растяжении образцов полиэтилентерефталата в физически активных жидких средах от степени предварительной деформации полимера при комнатной температуре
Ранее было показано, что крейзинг является универсальным методом создания гибридных нанокомпозиционных материалов на основе мезопористых матриц деформируемых полимеров и вводимых добавок органической и неорганической природы (красителей, антипиренов, электролитов, солей, металлов и др.) [16–18]. Однако существенным недостатком нанокомпозиционных материалов, получаемых с использованием крейзинга, является остаточная пористость полимерных матриц композитов, которая в зависимости от степени растяжения и природы полимера может составлять до 30 об% и отрицательно влияет на функциональные свойства композитов (например, воспламеняемость, оптические, механические характеристики, гигроскопичность и т.д.).
В данной работе на примере гибридных нанокомпозиционных материалов на основе полиэтилентерефталата с модельным соединением – неорганическим антипиреном диаммонийфосфатом исследован новый подход к «залечиванию» остаточной пористости и созданию монолитных гибридных нанокомпозиционных материалов путем прокатки. Установлено, что деформирование полиэтилентерефталата в водно-спиртовом растворе диаммонийфосфата протекает по механизму классического крейзинга с образованием дискретных крейзов с фибриллярно-пористой структурой, в которую проникает водно-спиртовой раствор диаммонийфосфата. Стенки пор (фибриллы) препятствуют агрегации частиц неорганической соли после удаления летучей жидкой среды, и диаммонийфосфат оказывается распределен в полимерной матрице на наноразмерном уровне. Содержание диаммонийфосфата в гибридных нанокомпозиционных материалах после растяжения полиэтилентерефталата на 150% в растворе диаммонийфосфата, рассчитанное по формуле (2), составило ~11 мас%:
, (2)
где m0 – начальная масса образца, ∆m – разница между массой образца полимера до и после деформирования в водно-спиртовом растворе диаммонийфосфата.
Для исследования распределения диаммонийфосфата в гибридных нанокомпозиционных материалах на поверхности и в сколе образца была проведена качественная реакция на наличие фосфат-иона:
(NH4)2HPO4 + AgNO3 → Ag3PO4↓ + NH4NO3 + NH4H2PO4.
При нанесении на образец нанокомпозита капли водного раствора нитрата серебра (10 мас%) поверхность и скол изменили цвет с бело-прозрачного на желтый, характерный для ортофосфата серебра, что свидетельствует о заполнении структуры полимерной матрицы диаммонийфосфатом. Исследование сколов гибридных нанокомпозиционных материалов полиэтилентерефталат–диаммонийфосфат с помощью СЭМ с рентгеноспектральным микроанализом показало наличие атомов азота и фосфора, которые отсутствуют в полимерной матрице, но присутствуют в диаммонийфосфате (рис. 5). При степени растяжения 150% полиэтилентерефталата в спиртово-водных растворах диаммонийфосфат в отдельных крейзах на СЭМ-микрофотографиях уже не наблюдается, так как весь полимер переходит в крейзы, заполненные диаммонийфосфатом.
Рис. 5. Сканирующие электронные микрофотографии скола образца гибридных нанокомпозиционных материалов полиэтилентерефталат–диаммонийфосфат (а) и карта распределения атомов фосфора в сколе (белые точки) (б)
Установлено, что механические характеристики гибридных нанокомпозиционных материалов полиэтилентерефталата с антипиреном диаммонийфосфатом определяются направлением повторного деформирования на воздухе относительно направления первичного растяжения полимера по механизму крейзинга: вдоль направления крейзинга разрывное удлинение (εраз) снижается до ~30%, и модуль упругости возрастает на ~100–130 МПа по сравнению с исходным полимером; при повторном растяжении нанокомпозита в перпендикулярном направлении механические характеристики практически не изменяются по сравнению с исходным полимером. Таким образом, формирование пористой структуры и введение неорганического компонента приводят к ухудшению механических свойств композиционных материалов по сравнению с исходным полиэтилентерефталатом. Впервые установлено, что прокатка гибридных нанокомпозиционных материалов полиэтилентерефталата при комнатной температуре восстанавливает пластичность композитов на основе полиэтилентерефталата с диаммонийфосфатом и εраз возрастает до 300% при повторном деформировании вдоль направления первичного растяжения полимера при крейзинге. Разработан подход к структурной модификации гибридных нанокомпозиционных материалов полиэтилентерефталата с неорганическим антипиреном диаммонийфосфатом как с модельным соединением для монолитизации и «залечивания» остаточной объемной пористости, которая сохраняется в гибридных нанокомпозиционных материалов после усадки полимера.
ВЫВОДЫ
Таким образом, проведена структурно-механическая модификация аморфного полиэтилентерефталата при комнатной температуре путем холодной продольной прокатки. Показано, что предварительная деформация полимера до невысоких степеней (не более 50%) не подавляет способности полиэтилентерефталата к деформированию в присутствии физически активных жидких сред по механизму крейзинга. Установлены закономерности изменения механических характеристик предварительно деформированного полиэтилентерефталата при последующем растяжении как на воздухе, так и в присутствии физически активных жидких сред: увеличение напряжения в пределе текучести, повышение напряжения стационарного деформирования, снижение разрывного удлинения и увеличение разрывного напряжения. Показано, что прокатка при комнатной температуре гибридных нанокомпозиционных материалов на основе полиэтилентерефталата с наполнителем диаммонийфосфатом, полученных методом крейзинга, является эффективным подходом к монолитизации структуры и восстановлению механических характеристик полимеров - матриц гибридных нанокомпозиционных материалов.
ЭКСПЕРИМЕНТАЛЬНАЯ ЧАСТЬ
В качестве объектов исследования использовали промышленные неориентированные пленки аморфного полиэтилентерефталата (Россия, Химпром) с исходной толщиной 100 мкм.
Теплофизические характеристики полиэтилентерефталата изучали методом дифференциальной сканирующей калориметрии на термоанализаторе Меttler TA4000 при скорости нагревания 20 град/мин. Термический анализ предварительно деформированного полиэтилентерефталата проводили через 24 ч после прокатки. Степень кристалличности α оценивали по формуле (1).
В качестве вводимого неорганического антипирена использовали диаммонийфосфат (ООО РоссПолимер). Для получения гибридных нанокомпозиционных материалов (методом крейзинга образцы полиэтилентерефталата с размерами рабочей части 48 мм × 20 мм деформировали до разных степеней растяжения в 7 мас% растворах диаммонийфосфат–изопропиловый спирт–вода (соотношение спирт:вода = 1:2); далее образцы, не вынимая из зажимов растягивающего устройства, тщательно протирали и сушили в вакуумном шкафу в течение 48 ч. Содержание диаммонийфосфата ∆ω, введенного в образцы полиэтилентерефталата, рассчитывали по формуле (2).
Предварительную деформацию полимерных пленок и «залечивание» остаточной пористости гибридных нанокомпозиционных материалов в виде полосок с размерами 20 мм × 70 мм (ширина × длина) проводили при комнатной температуре путем продольной прокатки на системе лабораторных протяжных валков, вращающихся в противоположных направлениях с одинаковой скоростью. Степень предварительной деформации полимера εпр рассчитывали по формуле (3):
, (3)
где l0 – исходная длина образца до предварительной деформации, l1 – длина образца после предварительной деформации. Величина εпр составляла 25 и 50%.
Для дальнейших исследований образцы с размерами рабочей части 4 мм × 10 мм вырезали вдоль направления предварительной деформации вырубным ножом из прокатанных пленок полиэтилентерефталата. Механические свойства образцов исследовали при их вытяжке на воздухе и в физически активных жидких средах на универсальном динамометре Instron-1122 со скоростью 10 мм/мин. В качестве физически активных жидких сред использовали изопропиловый спирт. Общая степень вытяжки при растяжении предварительно деформированных образцов составляла 100%.
Микроскопические исследования структуры исходного и предварительно деформированного полиэтилентерефталата и подсчет числа крейзов на единицу длины проводили с помощью сканирующего электронного микроскопа Hitachi S-520. Cтруктуру нанокомпозитов изучали с помощью сканирующего электронного микроскопа JEOL JSM-6390 LA. Образцы для исследований готовили методом хрупких сколов при температуре жидкого азота с последующим напылением платины.
ФИНАНСОВАЯ ПОДДЕРЖКА
Работа выполнена в рамках проекта «Современные проблемы химии и физикохимии высокомолекулярных соединений» (номер ЦИТИС АААА-А21-121011990022-4).
КОНФЛИКТ ИНТЕРЕСОВ
Авторы заявляют об отсутствии конфликта интересов.
Об авторах
А. А. Долгова
Московский государственный университет имени М. В. Ломоносова
Автор, ответственный за переписку.
Email: dolgova2003@mail.ru
ORCID iD: 0000-0002-0551-6124
Россия, Москва
Д. Н. Столбов
Московский государственный университет имени М. В. Ломоносова
Email: dolgova2003@mail.ru
Россия, Москва
С. А. Сорочинская
Московский государственный университет имени М. В. Ломоносова
Email: dolgova2003@mail.ru
Россия, Москва
А. С. Заикин
Московский государственный университет имени М. В. Ломоносова
Email: dolgova2003@mail.ru
Россия, Москва
А. Ю. Ярышева
Московский государственный университет имени М. В. Ломоносова
Email: dolgova2003@mail.ru
ORCID iD: 0000-0003-4997-6883
Россия, Москва
С. В. Савилов
Московский государственный университет имени М. В. Ломоносова
Email: dolgova2003@mail.ru
ORCID iD: 0000-0002-5827-3912
Россия, Москва
Л. М. Ярышева
Московский государственный университет имени М. В. Ломоносова
Email: dolgova2003@mail.ru
Россия, Москва
О. В. Аржакова
Московский государственный университет имени М. В. Ломоносова
Email: dolgova2003@mail.ru
ORCID iD: 0000-0002-8811-5528
Россия, Москва
Список литературы
- Roesler J., Harders H., Baeker M. Mechanical behavior of engineering materials: metals, ceramics, polymers, and composites. New York: Springer, 2007.
- Ward I.M., Hadley D.N. An introduction to the mechanical properties of solid polymers. New York: John Wiley & Sons, 1993.
- Boyce M.C., Parks D.M., Argon A.S. // Mech. Mater. 1988. Vol. 7. P. 15.
- Аржакова О.В., Долгова А.А., Чернов И.В., Ярышева Л.М., Волынский А.Л. // Высокомол. Соед. (А). 2007. Т. 49. № 7. С. 1502.
- Efimov A.V., Bazhenov S.L., Tyun’kin I.V., Volynskii A.L., Bakeev N.F. // Polym. Sci. (A). 2013. Vol. 55. N 12. P. 721. doi: 10.1134/S0965545X13120055
- Van Melick H.G.H., Govaert L.E., Raas B., Nauta W.J., Meijer H.E.H. // Polymer. 2003. Vol. 44. N 4. P. 1171. doi: 10.1016/S0032-3861(02)00863-7
- Serenko O.A., Tyun’kin I.V., Efimov A.V., Bazhenov S.L. // Polym. Sci. (A). 2007. Vol. 49. P. 69. doi: 10.1134/S0965545X07060090
- Tian С., Dai L., Song D., Lei D., Xiao R. // Mech. Mater. 2022 Vol. 165. P. 104138. doi: 10.1016/j.mechmat.2021.104138
- Padhye N. // Mech. Mater. 2023. Vol. 184. P. 104733. doi: 10.1016/j.mechmat.2023.104733
- Narisawa I. // Polym. Eng. Sci. 1987. Vol. 27. P. 41. doi: 10.1002/pen.760270107
- Kitagawa M. // J. Mat. Sci. 1982. Vol. 17. P. 2514. doi: 10.1007/BF00543882
- Аржакова О.В., Аржаков М.С., Бадамшина Э.Р., Брюзгина Е.Б., Брюзгин Е.В., Быстрова А.В., Ваганов Г.В., Василевская В.В., Вдовиченко А.Ю., Галлямов М.О., Гумеров Р.А., Диденко А.Л., Зефиров В.В., Карпов С.А., Музафаров А.М., Молчанов В.С., Навроцкий А.В., Новаков И.А., Панарин Е.Ф., Cедуш Н.Г., Серенко О.А., Успенский С.А., Филиппова О.Е., Хохлов А.Р., Чвалун С.Н., Шейко С.С., Шибаев А.В., Эльманович И.В., Юдин В.Е., Якиманский А.В., Ярославов А.А. // Усп. хим. 2022. Т. 91. № 12. RCR 5062; Arzhakova O.V., Arzhakov M.S., Badamshina E.R., Bryuzgina E.B., Bryuzgin E.V., Bystrova A.V., Vaganov G.V., Vasilevskaya V.V., Vdovichenko A.Y., Gallyamov M.O., Gumerov R.A., Didenko A.L., Zefirov V.V., Karpov S.V., Komarov P.V., Kulichikhin V.G., Kurochkin S.A., Larin S.V., Malkin A.Y., Milenin S.A., Muzafarov A.M., Molchanov V.S., Navrotskiy A.V., Novakov I.A., Panarin E.F., Panova I.G., Potemkin I.I., Svetlichny V.M., Sedush N.G., Serenko O.A., Uspenskii S.A., Philippova O.E., Khokhlov A.R., Chvalun S.N., Sheiko S.S., Shibaev A.V., Elmanovich I.V., Yudin V.E., Yakimansky A.V.,Yaroslavov A.A. // Russ. Chem. Rev. 2022. Vol. 3. N 12. RCR 5062. doi: 10.57634/RCR5062
- Баженов С.Л., Ефимов А.В., Бобров А.В., Кечекьян А.С., Гроховская Т.Е. // Высокомол. Соед. (А). 2015. Т. 57. № 3. С. 230; Bazhenov S.L., Efimov A.V., Bobrov A.V., Kechek’yan A.S., Grokhovskaya T.E. // Polym. Sci. (A). 2015. Vol. 57. N 3. P. 285. doi: 10.1134/S0965545X15030037
- Hutchinson J.M. The physics of glassy polymers. London: Chapman and Hall, 1997.
- Wishino T., Nozawa A., Kotera M., Nakamaea K. // Rev. Sci. Instrum. 2000. Vol. 71. N 5. P. 2094. doi: 10.1063/1.1150585
- Аржакова О.В., Копнов А.Ю., Чаплыгин Д.К., Ярышева А.Ю., Долгова А.А. // ЖОХ. 2022. Т. 92. № 10. C. 1592; Arzhakova O.V., Kopnov A.Yu., Chaplygin D.K., Yarysheva A.Yu., Dolgova A.A. // Russ. J. Gen. Chem. 2022. Vol. 92. N 10. P. 1963. doi: 10.1134/S1070363222100103
- Yarysheva L.M, Yarysheva A.Yu., Volynskii A.L. // Russ. J. Gen. Chem. 2019. Vol. 89. N 10. P. 2092. doi: 10.1134/S1070363219100165
- Arzhakova O.V., Dolgova A.A., Kopnov A.Yu., Nazarov A.I., Yarysheva A.Yu., Sazhnikov V.A. // Russ. J. Gen. Chem. 2020. Vol. 90. N 4. P. 737. doi: 10.1134/S1070363220040271
Дополнительные файлы








