Роль нековалентных взаимодействий в реакции алкилацетамидов с бромом
- Авторы: Заречная О.М.1, Михайлов В.А.1
-
Учреждения:
- Институт физико-органической химии и углехимии имени Л. М. Литвиненко
- Выпуск: Том 94, № 3 (2024)
- Страницы: 315-334
- Раздел: Статьи
- URL: https://journal-vniispk.ru/0044-460X/article/view/261491
- DOI: https://doi.org/10.31857/S0044460X24030011
- EDN: https://elibrary.ru/FZOJJF
- ID: 261491
Цитировать
Полный текст
Аннотация
Для реакции неионных брома и диалкилацетамидов, приводящей к ионным продуктам, предложена последовательность превращений с участием молекулярных комплексов и заряженных интермедиатов. Для всех конечных и предполагаемых промежуточных продуктов реакции произведен расчет в приближении ωB97xV/dgdzvp молекулярной геометрии, электронного строения, термодинамических параметров. С использованием совокупности спектральных и расчетных методов выявлен ряд внутри- и межмолекулярных нековалентных взаимодействий вида Br···O, C–H···O, C–H···Br, H···O···H и других; показана определяющая роль этих взаимодействий в стабилизации интермедиатов и продуктов реакции.
Ключевые слова
Полный текст
ВВЕДЕНИЕ
Вторичные и третичные амиды низших монокарбоновых кислот широко используются в органическом синтезе [1–3], их аналоги и производные (в том числе комплексы с донорами водородной и галогеновой связи) нашли применение в качестве лекарственных средств [4, 5], компонентов косметических композиций [6] и электрохимических устройств [7, 8]. Химические и физические свойства амидов изучены и систематизированы, изложены в ряде монографий [1, 2] и обзоров [3, 9], для простейших – приведены в учебниках. Молекулярное строение простейших амидов – N,N-диметилацетамида (ДМА) и N-метилацетамида (НМА) – установлено прямыми экспериментальными методами [10–14]. В согласии с общепринятыми представлениями о геометрии амидов, молекула НМА планарна как в кристалле [10, 12], так и в газовой фазе [11]. В газовой фазе атомы остова молекулы ДМА отклоняются от плоскости [13]. Расчеты в различных приближениях [15–25], как правило, приводят к плоским структурам, за редкими исключениями [26]; связи C–H лежат в этой плоскости, по одной от каждой метильной группы. Структурно изучен только термодинамически более стабильный [27, 28] цис-изомер НМА с синперипланарной ориентацией N-метильной группы относительно кислорода и амидной связи C–N. Внутримолекулярная динамика колебаний и вращений по связям C–C и C–N амидов изучена экспериментальными [29–33] и расчетными [18, 20, 23, 24] методами. Указаний на внутримолекулярные взаимодействия в амидах с участием атомов водорода немного [13, 34]. Примеров оценки внутримолекулярных C–H···CH₃ взаимодействий (подобных найденным в комплексах протонодоноров с алканами [35–38] и в ансамблях металлорганических соединений [39]) в молекулах амидов не встречалось. В обзорах [3, 40, 41] и оригинальных работах [14, 24] распространено мнение об относительной инертности (химической стабильности) третичных амидов, в частности, по отношению к галогенам. Так, ДМА был успешно использован как среда для бромирования [42] в мягких условиях (при комнатной температуре). Однако даже в этих мягких условиях ДМА реагирует с бромом [43] с заметной скоростью, образуя смесь продуктов. Строение некоторых продуктов этого взаимодействия изучено прямыми структурными методами [43–47], но полной картины промежуточных продуктов и путей превращения пока не установлено. В настоящей работе предпринята попытка выявить ряд нековалентных взаимодействий в молекулах ДМА и НМА, их комплексов и продуктов реакции с бромом, водой и бромоводородом, а также оценить влияние этих взаимодействий на ход и результат реакции ДМА с бромом и интергалогенами.
РЕЗУЛЬТАТЫ И ОБСУЖДЕНИЕ
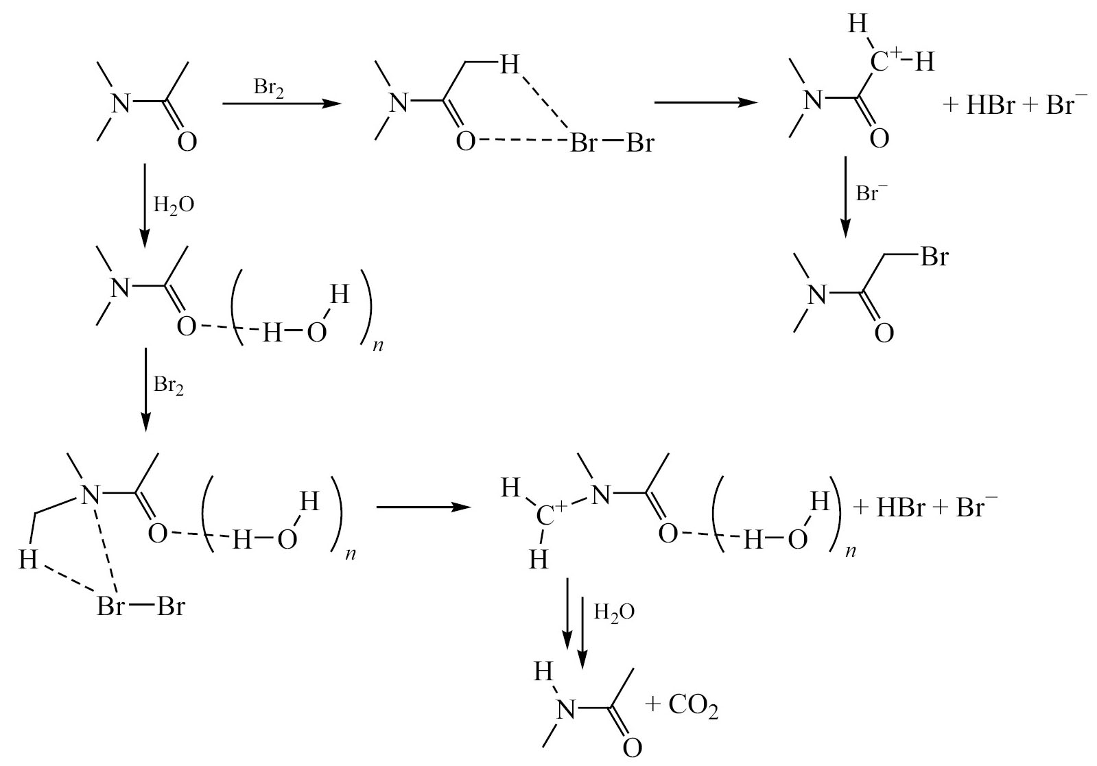
Свойства реакции. Протекание реакции N,N-диметилацетамида с бромом зависит от ряда условий (как было установлено ранее [43]), одно из них – присутствие воды. В отсутствие воды в максимально сухих условиях реакция ДМА с бромом приводит к двум выделяемым продуктам – дибромбромату бис(N,N-диметилацетамид)водорода 1 и 2-бром-N,N-диметилацетамиду 2 (схема 1).
Схема 1.
В присутствии значительных количеств воды реакция приводит к дибромбромату 1, дибромбромату бис(N-метилацетамид)водорода 3 и двуокиси углерода (схема 2).
Схема 2.
Никаких признаков образования 2-бром-N,N-диметилацетамида 2 при этом не отмечается. Сходный по строению с дибромброматом 1 продукт – дихлориодат бис(N,N-диметилацетамид)водорода – выделен в реакции ДМА с хлоридом иода [48]. Подобные продукты реакции других диалкиламидов с бромом описаны в работах [49, 50], с интергалогенами – в работе [51]. Свободный НМА также может быть введен в реакцию с бромом (протекает с выделением углекислого газа и образованием дибромбромата 3; другие продукты не установлены), но этот процесс при сопоставимых условиях протекает медленнее (см. Экспериментальную часть).
Свойства продуктов и предполагаемых интермедиатов. Молекулярное строение дибромбромата 1 установлено рентгеноструктурным исследованием независимо несколькими авторами [43–45]. Электропроводность дибромбромата 1 в твердой фазе (34.5 мкС/см) при комнатной температуре на два порядка ниже электропроводности жидкого дибромбромата бис(N,N-диметилформамид)водорода [52] и резко возрастает при плавлении. Вероятно, все полигалогениды хорошо проводят электрический ток только в жидком состоянии, как показано для соответствующих солей тетраалкиламмония [53]. Твердый при обычных условиях дибромбромат 3 не удалось получить в аналитически чистом виде; при попытке перегонки в вакууме и перекристаллизации вещество теряет бром и превращается в бромид бис(N-метилацетамид)водорода 4. Молекулярное и кристаллическое строение соединения 4 установлено рентгеноструктурным исследованием [47]. Следует отметить, что соответствующий бромид бис(N,N-диметилацетамид)водорода не существует или неустойчив; вне зависимости от соотношения реагентов все попытки получить это соединение приводят к гидробромиду N,N-диметилацетамида 5 (см. Экспериментальную часть). Молекулярное и кристаллическое строение близкого аналога – гидрохлорида N,N-диметилацетамида 6 – установлено рентгеноструктурным исследованием [46]. Протон в катионе соединения 1 резонирует в очень слабом поле, и положение сигнала зависит от концентрации [49]. В спектре ИК дибромбромата 1 хорошо различимы лишь две широкие полосы при 1600 и 1625 см⁻¹ (в остальном спектр представляет собой «черное стекло»; теоретические модели такого поведения соединений с короткой водородной связью O···H···O рассмотрены в работе [54]). В неразбавленном ДМА полосу сильного поглощения при 1640 см⁻¹ относят к колебаниям двойной связи C=H [46].
Многочисленные исследования ранее указывали на образование молекулярных комплексов при взаимодействии ДМА (и других амидов) с бромом [55, 56] и другими электрофилами (интергалогенами [55, 56], донорами протонов [57, 58], катионами металлов [59]). Судя по косвенным признакам, преимущественно координация молекулы галогена/интергалогена осуществляется по атому кислорода карбонильной группы [55, 56], хотя в отдельных случаях есть указания на возможность координации по атому азота диалкиламиногруппы [56, 60]. Для близкого к ДМА по строению N,N′-диацетилпиперазина получены твердые кристаллические комплексы с иодом и хлоридом иода, их молекулярное строение установлено рентгеноструктурным исследованием [51].
Сопоставление расчетной и экспериментальной геометрий для исходных соединений и продуктов реакции. Ранее было показано, что расчет в приближении (ωB97X-V/DGauss-DZVP) хорошо воспроизводит строение молекулы H₂O, Br₂ и HBr [52]. Строение N,N-диметилацетамида [13, 14] и N-метилацетамида [10–12] экспериментально изучено прямыми структурными методами. Расчет хорошо воспроизводит основные геометрические характеристики ДМА и НМА (табл. 1, рис. 1).
Таблица 1. Длины связей и углы в расчетных и экспериментальных структурах амидов и производных.
Структура | Длина связи, Å | Угол, град | ||||||||
C²–O³ | C¹–C² | C²–N⁴ | N⁴–C⁶ | N⁴–C⁵ | ∠O³C²N⁴ | ∠N⁴C²C¹ | ∠C²N⁴C⁶ | ∠C²N⁴C⁵ | ∠O³C²C¹ | |
ДМАрасчет | 1.229 | 1.521 | 1.375 | 1.455 | 1.458 | 121.97 | 117.33 | 123.73 | 118.81 | 120.70 |
ДМАэксп [13] | 1.226 | 1.527 | 1.368 | 1.453 | 1.453 | 121.0 | 115.9 | 123.8 | 117.8 | н/у |
НМАрасчет | 1.228 | 1.518 | 1.366 | – | 1.457 | 121.88 | 116.15 | – | 120.77 | 121.97 |
NMAэксп [12] | 1.246 | 1.519 | 1.322 | – | 1.448 | 121.68 | 116.33 | – | 120.95 | 121.99 |
Iрасчет | 1.320 | 1.500 | 1.302 | 1.475 | 1.483 | 115.03 | 124.33 | 123.48 | 119.74 | 120.64 |
6эксп [46] | 1.303 | 1.474 | 1.290 | 1.478 | 1.444 | 117.3 | 123.0 | 120.9 | 121.4 | 119.3 |
II-Part Aрасчет | 1.288 | 1.506 | 1.319 | 1.470 | 1.472 | 117.85 | 121.42 | 123.49 | 120.81 | 120.72 |
II-Part Bрасчет | 1.270 | 1.511 | 1.332 | 1.467 | 1.468 | 119.74 | 119.71 | 123.59 | 120.78 | 120.55 |
1эксп [45] | 1.279 | 1.498 | 1.313 | 1.462 | 1.461 | 118.58 | 120.92 | 123.36 | 121.61 | 120.50 |
Рис. 1. Расчетные структуры молекул ДМА, НМА и амида 2. Линиями показаны короткие внутримолекулярные контакты.
Стереохимически молекула ДМА несимметрична; при расположении, как на рис. 1 (последовательность лигандов C¹, O³, N⁴ вокруг центрального атома C² – против часовой стрелки), обращенная к зрителю сторона обозначена как грань а, обратная сторона – грань b. Четыре атома центрального фрагмента C¹C²O³N⁴ образуют почти идеальную плоскость в молекуле ДМА (параметр молекулярной планарности mpp = 0.0033 Å), атомы углерода диметиламиногруппы C⁵ и C⁶ отклоняются от этой плоскости в разные стороны: двугранный угол ∠∠O³C²N⁴C⁵ = –11.2°, ∠∠C¹C²N⁴C⁶ = 18.6°. Сумма углов между связями в окружении атома азота несколько меньше (358.18°), чем можно было бы ожидать для sp²-гибридного состояния; в эксперименте [5] эта величина еще меньше (354.1°). За счет поворота вокруг ординарных связей, три атома водорода (H⁷, H¹⁰, H¹⁴; по одному от каждой метильной группы) оказываются очень близки к плоскости центрального фрагмента C¹C²O³N⁴. При этом возникают короткие внутримолекулярные контакты H⁷···O³, H¹⁰···C¹, H¹⁰···H¹³ и H¹⁰···H¹⁴ (рис. 1a). Для N-метилацетамида в электронографическом [11] и рентгеноструктурных [10, 12] исследованиях выявлен только цис-изомер (синперипланарная конформация N-метильной группы относительно карбонильного кислорода, рис. 1б). На эту же конфигурацию указывают сопоставление расчетов и ЯМР-измерений на различных ядрах [16]; сопоставление расчетов и результатов ИК спектроскопии в сверхзвуковой струе [22]. Предполагаемый транс-изомер НМА (антиперипланарная конформация) в обычных условиях существует в минорных количествах и проявляет себя только в ИК [28] и ЯМР спектрах [17, 27]; детально его строение не изучено и в настоящей работе не рассматривается. Молекула цис-НМА ближе к плоскости по сравнению с ДМА; для четырех центральных атомов C¹C²O³N⁴ параметр mpp = 0.0018 Å, для пяти неводородных атомов mpp = 0.014 Å. Три атома водорода (NH и по одному от каждого метила: Н9, H¹⁰, H¹³) также размещаются близко к этой плоскости. Близкие к 180° двугранные углы H¹³C¹C²O³ и H⁹C⁵C²O³ исключают возможность внутримолекулярных коротких контактов H···O и связывающих взаимодействий. Эта же конформация была определена как предпочтительная в результате многочисленных расчетов молекулы НМА [16, 21–23]; отличающиеся конформации были получены в работах [15, 19, 20]. Насколько такие конформационные предпочтения важны для химических свойств амидов ДМА и НМА, неясно. По существующим представлениям, барьеры вращения диметиламиногруппы по амидной связи C²–N⁴ в молекуле ДМА весьма существенны и при обычных условиях (комнатная температура, атмосферное давление) достаточны для пребывания в одной только конформации [~18 ккал/моль (~75 кДж/моль)] для неразбавленной жидкости [30]); напротив, барьеры вращения метильных групп в молекуле ДМА очень невелики (менее 7.5 кДж/моль [33]), а в молекуле НМА еще меньше [32]. Двугранные углы в расчетных структурах отличаются от экспериментальных в значительно большей степени, как и результаты многочисленных более ранних расчетов [15, 19–25].
Для 2-бром-N,N-диметилацетамида 2 в литературе приводятся только результаты расчетов в различных приближениях [61], вполне совпадающие с результатами настоящей работы. Для этого вещества предпочтительна антиклинальная конформация атома брома относительно атома кислорода (∠∠Br¹⁵C¹C²O³ = 106.6°). Ранее было показано, что антиклинальные конфигурации энергетически выгодны для α-галогенальдегидов [62].
Экспериментальные структуры соответствующих солей известны для катионов монопротонированного N,N-диметилацетамида [46], бис(N,N-диметилацетамид)водорода [43–45] и бис(N-метилацетамид)водорода [47, 63]. Расчет в целом адекватно передает форму этих катионов (рис. 2, 3, табл. 1).
Рис. 2. Расчетная структура катиона монопротонированного N,N-диметилацетамида I и экспериментальная молекулярная структура гидрохлорида N,N-диметилацетамида 6 [46].
В последнем случае приведена симметричная структура катиона III, выявленная в кристаллической структуре дибромбромата 1 [43, 45]; известны и несимметричные структуры [45] с другими анионами. На асимметричность короткой водородной связи O···H···O в бромиде бис(ацетамид)водорода указывалось в работе [64].
Геометрия молекулярных комплексов. Хорошее соответствие расчетной и экспериментальной геометрий молекулярных соединений позволяет рассчитывать на адекватное воспроизведение структуры молекулярных комплексов N,N-диметилацетамида с бромом и водой. Основные геометрические характеристики комплексов представлены на рис. 4.
Рис. 3. Расчетные (а) структуры катиона бис(N-метилацетамид)водорода II и катиона бис(N,N-диметилацетамид)водорода III, экспериментальные (б) молекулярные структуры бромида бис(N-метилацетамид)водорода 4 [47] и дибромбромата бис(N,N-диметилацетамид)водорода [45].
Два центра координации по кислороду доступны: в E-конфигурации IV молекула брома располагается в плоскости центрального фрагмента молекулы ДМА, при этом двугранный угол ∠∠BrO³C²N⁴ равен 175.38°, и проксимальный атом брома Brα оказывается в транс-положении относительно атома азота и двойной связи C=H). В Z-конфигурации V электрофил отклоняется от плоскости центрального фрагмента молекулы ДМА, и двугранный угол ∠∠BrO³C²N⁴ равен 61.63° (рис. 4); проксимальный атом брома Brα близок к цис-положению относительно атома азота. В N-комплексе VI молекула брома практически перпендикулярна плоскости молекулы амида; двугранный угол ∠∠BrN⁴C²O³ равен –97.58°. Комплексообразование по кислороду в комплексах IV и V приводит к небольшому удлинению связи C=H, укорочению связи C²–N⁴ в молекуле амида и удлинению связи Br–Br в молекуле брома; другие изменения ковалентных связей менее значительны. При координации брома по азоту в комплексе VI связи С–N удлиняются, связь C=H укорачивается.
Рис. 4. Общий вид комплексов N,N-диметилацетамида с бромом IV (E- ДМА–Br₂), V (Z-ДМА–Br₂,), VI (N-ДМА–Br₂) и водой VII (E-H₂O) и VIII (Z-H₂O).
Молекулы воды в комплексах с ДМА также размещаются в E- или Z-положении относительно кислорода (рис. 4), в меньшей степени отклоняясь от плоскости молекулы амида в Z-конфигурации по сравнению с комплексом брома; изменения в длинах связей амидного фрагмента аналогичны комплексам брома, связь Н–О в молекуле воды удлиняется. Подобные структуры для координации воды по E- и Z-позициям атома кислорода в молекуле ДМА были найдены ранее [65]; там же обоснована вероятность координации более чем одной молекулы воды по атому кислорода в молекуле амида. В экспериментах по рассеянию рентгеновских лучей в жидкой фазе для комплекса ДМА–H₂O состава 1:1 межатомное расстояние О···О найдено 2.83 Å [58], в расчете для комплекса VII получено 2.838 Å. В этой работе также показана возможность координации нескольких (более одной) молекул воды по атому кислорода молекулы ДМА [58].
Термодинамика образования молекулярных комплексов и продуктов. Судя по отрицательной величине расчетной энтальпии (табл. 2), образование таких комплексов может быть энергетически выгодным, хотя экспериментальные оценки скудны [55, 58]. Координация электрофилов по кислороду в растворе и газовой фазе более выгодна, как указывалось в экспериментальных работах [55–59] и ранее произведенных расчетах [56, 65]; координация брома или протона по азоту менее выгодна. Взаимодействие ДМА с водой по кислороду энергетически выгоднее, чем с бромом, при всех достижимых температурах. Надо полагать, взаимодействие с водой способно подавлять взаимодействие с бромом, судя по различиям в результатах реакции в присутствии и в отсутствие воды [43]. Таким образом, водородная и галогеновая связь могут быть не только ортогональны [12], но и конкурентны по отношению друг к другу.
Таблица 2. Расчетные термодинамические характеристики молекулярных и ионных комплексов ДМА и НМА.
Комплекс | ∆Н, кДж/моль | ∆G, кДж/моль |
I | –894.8675 | –863.548 |
II | –1029.031 | –945.7025 |
III | –1040.16 | –961.63 |
IV | –27.02 | 11.92 |
V | –23.89 | 15.71 |
VI | –20.15 | 22.67 |
VII | –30.48 | 4.90 |
VIII | –29.31 | 4.95 |
Разница в расчетных энтальпиях цис-НМА и транс-НМА составляет 8.27 кДж/моль; в эксперименте грубая оценка энтальпии перехода составляет 2.3 ккал/моль (9.6 кДж/моль [28]).
Синклинальная конформация амида 2 (цис-изомер 2-бром-N,N-диметилацетамида, плоская структура) представляет собой локальный минимум на потенциальной поверхности. Расчетная энтальпия для этой структуры на 11 кДж/моль менее отрицательна, чем для антиклинальной конформации (рис. 1), расчетная энергия Гиббса – на 10 кДж/моль. В ранее произведенном расчете [61] в приближении B3LYP/aug-cc-pVTZ были получены близкие оценки [3.7 ккал/моль (15.5 кДж/моль)] для этих двух конформеров.
Электронное строение исходных соединений и молекулярных продуктов. Для всех ковалентных связей в молекулах амидов (ДМА, НМА, 2-бром-N,N-диметилацетамид 2) выявлены пути связывания и критические точки связывания с сигнатурой (3,–1). Длины связей и основные характеристики электронной плотности в этих критических точках приведены в табл. 3.
Таблица 3. Характеристики электронной плотности в критических точках связывания (3,–1) ковалентных связей остова в молекулах амидов.
Молекула | Связь | ρ, a.e. | Ñρ(r) | G(r) | V(r) |
ДМА | C¹–C² | 0.249 | –0.650 | 0.0556 | –0.273 |
C²=O³ | 0.390 | –0.337 | 0.541 | –1.16 | |
C²–N⁴ | 0.305 | –0.739 | 0.200 | –0.585 | |
N⁴–C⁵ | 0.254 | –0.569 | 0.138 | –0.420 | |
N⁴–C⁶ | 0.257 | –0.597 | 0.131 | –0.413 | |
НМА | C¹–C² | 0.251 | –0.660 | 0.0557 | –0.276 |
C²=O³ | 0.391 | –0.330 | 0.546 | –1.17 | |
C²–N⁴ | 0.310 | –0.743 | 0.213 | –0.611 | |
N⁴–C⁵ | 0.252 | –0.553 | 0.140 | –0.419 | |
Амид 2 | C¹–C² | 0.251 | –0.661 | 0.0525 | –0.270 |
C²=O³ | 0.391 | –0.337 | 0.544 | –1.17 | |
C²–N⁴ | 0.310 | –0.750 | 0.207 | –0.602 | |
N⁴–C⁵ | 0.253 | –0.556 | 0.140 | –0.421 | |
N⁴–C⁶ | 0.254 | –0.574 | 0.136 | –0.416 | |
C¹–Br¹⁵ | 0.142 | –0.121 | 0.0442 | –0.119 |
Все эти значения вполне типичны для ковалентных связей такого рода. Заселенности бассейнов («заряд по Бейдеру») трех атомов: азота, кислорода и C¹ превышают заряд ядра во всех изученных амидах, их молекулярных комплексах и протонированных формах. Вопреки распространенному мнению, карбонильная группа не уменьшает «заряд на атоме» углерода соседней метильной группы (т. е. на атоме C¹). Возможно, это общее правило: даже в катионе ацетилия [CH₃C=O]⁺ заряд по Малликену на метильном углероде тоже отрицательный [66].
Рис. 5. ELF (а) и LOL (б) представление для молекулы ДМА. Красным выделены дисинаптические, зеленым – моносинаптические бассейны.
Функция локализации электронов ELF и локатор локализованных орбиталей LOL находят два моносинаптических бассейна атома кислорода и только один атома азота в молекуле ДМА (рис. 5). Моносинаптический бассейн азота в молекуле НМА определяет только ELF (рис. 6).
Рис. 6. ELF для цис-конформации НМА (а) и антиклинальной конформации амида 2 (б). Красным выделены дисинаптические, зеленым – моносинаптические бассейны.
Внутримолекулярные нековалентные взаимодействия в молекулах амидов. В цис-конформере НМА (рис. 1б) нековалентных связывающих взаимодействий не обнаружено. В низколежащих энергетически выгодных структурах амидов (ДМА, амид 2) найдены также короткие внутримолекулярные контакты с межатомными расстояниями менее суммы вандерваальсовых радиусов (рис. 1а, в). Распределение электронной плотности внутри этих контактов характерно для связывающих взаимодействий: наличествуют путь связывания и критические точки связывания с сигнатурой (3,–1); соответствующие характеристики приведены в табл. 4.
Таблица 4. Характеристики электронной плотности в критических точках связывания (3,–1) внутримолекулярных нековалентных взаимодействий в молекулах ДМА и амида 2.
Молекула | Контакт | r, Å | ρ, a.e. | Ѳρ(r) | G(r) | V(r) |
ДМА | H⁷···O³ | 2.291 | 0.0168 | 0.0733 | 0.0152 | –0.0122 |
H¹⁰···C¹ | 2.496 | 0.0125 | 0.0529 | 0.0111 | –0.00907 | |
H¹⁰···H¹³ | 2.363 | 0.00939 | 0.0378 | 0.00754 | –0.00562 | |
H¹⁰···H¹⁵ | 2.252 | 0.00968 | 0.0398 | 0.00794 | –0.00592 | |
Амид 2 | H⁷···O³ | 2.289 | 0.0167 | 0.0736 | 0.0152 | –0.00312 |
H¹⁰···C¹ | 2.527 | 0.0124 | 0.0545 | 0.0112 | –0.00893 | |
H¹⁰···H¹³ | 2.109 | 0.0105 | 0.0429 | 0.00865 | –0.00658 | |
H¹⁰···Br¹⁵ | 2.986 | 0.00862 | 0.0336 | 0.00675 | –0.00510 |
Судя по этим характеристикам и геометрии размещения атомов C⁵H⁷O³C² в молекулах ДМА и амида 2, контакт C–H···O=C можно рассматривать как вполне обычную слабую водородную связь [67]. На вероятность такого связывания указывалось в ранних работах [13], не включавших анализ электронного строения. Ранее взаимодействие метильных групп в молекуле ДМА рассматривалось как репульсивное [31]. Однако выявленные в молекулах ДМА и амида 2 взаимодействия C–H···H–C носят все признаки связывающих и не сводятся к притяжению противоположным образом поляризованных атомов водорода (диводородная связь [68, 69]). Природа таких взаимодействий, вероятно, ближе к внутримолекулярным водород-водородным [70, 71] и дальнодействующим межмолекулярным [72–74] аттрактивным H···H взаимодействиям, хотя это явление и не находит согласованного объяснения [75, 76] в рамках различных подходов, придерживающихся жесткого и нежесткого размежевания пространства [77]. Для взаимодействия C–H···CH₃ (контакт H¹⁰···C¹) можно усмотреть некоторую аналогию с металлорганическими соединениями [39], содержащими отрицательно поляризованный атом углерода. Заселенность бассейна атома C¹ незначительно превышает заряд ядра («заряд по Бейдеру» отрицателен), но роль этого обстоятельства неясна и требует отдельного детального исследования. Атом углерода может выступать в роли центра координации водородной связи даже в столь мало поляризованной структуре, как молекула этана [35, 38, 72] (как и в молекулах других алканов [36, 37]).
Молекулярный электростатический потенциал (МЭП) в молекулах амидов распределен крайне неравномерно (рис. 7), минимум (максимум отрицательного потенциала) локализуется вблизи атома кислорода.
Рис. 7. Распределение МЭП в молекулах ДМА (а), НМА (б) и амида 2 (в).
В теоретических работах принято использовать локализацию минимума МЭП на изоэлектронной поверхности 0.001 a.e. (принимаемой за условную границу электронной плотности молекулы) как маркер координации электрофила. В расчетных структурах молекулярных комплексов IV, V, VII, VIII электрофилы с выраженным максимумом МЭП преимущественно связываются с молекулой амида по атому кислорода, однако локализация электрофильного центра (атома брома, или атома водорода в случае воды или протона) не совпадает с минимумом МЭП для изоповерхности 0.001 a.e.
Рис. 8. Сопоставление минимумов МЭП и аттракторов ELF и LOL со структурой E-комплексов IV и VII.
На рис. 8 совмещены (насколько это возможно для неидентичных молекул) расчетные структуры ДМА и E-комплексов с бромом IV и водой VII. Как видно из рис. 8, аттракторы ELF и LOL лучше предсказывают геометрию E-комплексов по сравнению с минимумом МЭП; ни один дескриптор не предсказывает структуру Z- и N-комплексов.
Нековалентное связывание в молекулярных комплексах ДМА. Характеристики электронной плотности в критических точках связывания комплексов ДМА с бромом и водой приведены в табл. 5. Судя по этим характеристикам, роль водородных связей C–H···Br невелика. Однако N,N-диметилпиваламид, в котором такие взаимодействия невозможны, связывается с иодом слабее, чем ДМА [60].
Таблица 5. Характеристики электронной плотности в критических точках связывания (3,–1) межмолекулярных нековалентных взаимодействий в комплексах ДМА с бромом и водой.
Комплекс | Контакт | r, Å | ρ, a.e. | Ѳρ(r) | G(r) | V(r) |
IV | O···Br | 2.630 | 0.0248 | 0.0923 | 0.0206 | –0.0182 |
HDMA···Br | 2.973 | 0.00649 | 0.0242 | 0.00479 | –0.00353 | |
V | O···Br | 2.678 | 0.0214 | 0.0831 | 0.0181 | –0.0154 |
VI | N···Br | 2.783 | 0.0234 | 0.0674 | 0.0159 | –0.0150 |
VII | ODMA···Hw | 1.879 | 0.0297 | 0.112 | 0.0267 | –0.0254 |
HDMA···Ow | 2.456 | 0.00914 | 0.0375 | 0.00766 | –0.00593 | |
VIII | ODMA···Hw | 1.889 | 0.0278 | 0.108 | 0.0255 | –0.0238 |
Перенос заряда и деформационная плотность в молекулярных комплексах ДМА. Численные оценки переноса заряда в комплексах брома O(N)···Brα–Brβ приведены в табл. 6.
Таблица 6. Поляризация молекулы брома и перенос заряда в комплексах ДМА с бромом.
Комплекс | Brα | Brβ | Ω (Br₂) |
IV | 0.072 | –0.113 | –0.0407 |
V | 0.0647 | –0.0958 | –0.0310 |
VI | 0.0239 | –0.0739 | –0.0499 |
В этих комплексах поляризация молекулы галогена Brαδ+–Brβδ– существенно превышает перенос заряда в целом. Перенос заряда в комплексах с водой еще меньше: 0.026е в комплексах VII и VIII. При этом перестройка электронной плотности при комплексообразовании захватывает всю молекулу брома и почти всю молекулу амида (рис. 9).
Рис. 9. Распределение деформационной плотности в комплексах ДМА–бром. Красным выделены области с увеличившейся заселенностью/электронной плотностью, синим – области уменьшения плотности.
Нековалентное связывание в ионных комплексах амидов. Короткая водородная связь O···H···O в структуре катиона II (рис. 3) удерживает два фрагмента НМА в этом катионе, других связывающих взаимодействий не выявлено. Напротив, множественное связывание выявлено в структуре катиона III (рис. 10). Красной рамкой на рис. 10 выделена часть А с более короткой O··· H-связью, синей рамкой обведена часть В с более длинной O ··· H -связью. Тонкими линиями выделены менее прочные водородные связи C–H··· O. В табл. 7 приведены характеристики электронной плотности связывающих контактов.
Рис. 10. Пути и критические точки связывания в катионе III. Синие точки – критические точки связывания ковалентных связей: звездочками выделены критические точки связывания в контактах O··· H··· O и C–H ··O.
Характеристики электронной плотности в критических точках связывания несимметричной связи O···H···O в центральном фрагменте катионов II и III типичны для короткой прочной водородной связи [78] и приближаются к характеристикам ковалентных связей. Межмолекулярные связывающие контакты C–H···O впервые выявлены для такого рода катионов. Электронная плотность в критических точках связывания этих контактов невелика; вероятно, и вклад в энергию связывания невелик.
Таблица 7. Характеристики электронной плотности в критических точках связывания (3,–1) межмолекулярных водородных связей в катионах I–III.
Катион | Контакт | r, Å | ρ, a.e. | Ñ2ρ(r) | G(r) | V(r) |
I | O···H⁺ | 0.973 | 0.336 | –0.206 | 0.0573 | –0.630 |
II | (A)–O···H⁺ | 1.109 | 0.217 | –0.651 | 0.0794 | –0.321 |
(B)–O···H⁺ | 1.323 | 0.118 | 0.0448 | 0.0768 | –0.142 | |
III | (A)–O···H⁺ | 1.102 | 0.2208 | –0.701 | 0.0786 | –0.332 |
(A) C–H···O (B) | 2.411 | 0.00964 | 0.0444 | 0.00890 | –0.00669 | |
(B)–O···H⁺ | 1.332 | 0.115 | 0.0562 | 0.0761 | –0.138 | |
(B) C–H···O (A) | 2.651 | 0.00559 | 0.0267 | 0.00509 | –0.00349 |
Свойства спаренных электронов в связывающих взаимодействиях катионов I–III. Существенные детали организации водородных связей O ··· H и H ··· O ···Н приоткрывают функции ELF и LOL. Во всех протонированных формах амидов (катионах I–III) исчезает моносинаптический бассейн атома азота (показанный на рис. 5); с точки зрения ELF и LOL, все внешние электроны азота принимают участие в образовании ковалентных связей. Обе процедуры (ELF и LOL) позволяют трактовать водородную связь в катионе I как ковалентную, с одним общим для кислорода и водорода аттрактором и соответствующим дисинаптическим бассейном; у атома кислорода при этом сохраняется один моносинаптический бассейн (рис. 11).
Рис. 11. ELF (а) и LOL (б) представления для катиона I. Красным выделены дисинаптические, зеленым – моносинаптические бассейны.
Обе процедуры (ELF и LOL) приписывают центральному атому водорода (протону) в катионах II и III свой обособленный моносинаптический бассейн со своим обособленным аттрактором (рис. 12).
Рис. 12. ELF представления для катионов III и II. Красным выделены дисинаптические, зеленым – моносинаптические бассейны.
У атомов кислорода остается по два моносинаптических бассейна, каждый со своим аттрактором. С этой точки зрения, контакт H···O···H не выглядит ковалентной связью, как в схеме 3с-4е (трехцентрового четырехэлектронного связывания), скорее, совокупность (синергическая, взаимно упрочняющая) обычных водородных связей.
Молекулярный электростатический потенциал катионов. Распределение МЭП существенно разнится в катионах I, II и III (рис. 13).
Рис. 13. Распределение МЭП в катионах I, II и III. Звездочкой отмечены максимумы потенциала (ккал/моль).
Как видно, в катионе III потенциал делокализован в наибольшей степени (по сравнению с I и II). Возможно, это способствует большей стабильности дибромбромата бис(N,N-диметилацетамид)водорода 1 по сравнению с дибромброматом бис(N-метилацетамид)водорода 3 (см. Экспериментальную часть). Во всех случаях, расчетные максимумы потенциала для свободного катиона неплохо соответствуют локализации противоаниона в реальных солях в кристалле (см. рис. 2, 3).
Термохимия образования катионов I–III и сопоставление с экспериментом. В эксперименте энтальпия реакции ДМА с катионом I оценена как 133.05 кДж/моль [79]; в сумме с табличным значением сродства к протону (PA) диметилацетамида, равного 908 кДж/моль [80]), это дает энтальпию образования комплекса III, равную –1041.05 кДж/моль, очень близкую к расчетной в реакции (1):
2ДМА + H⁺ → III, (1) ∆H = –1040.16 кДж/моль, ∆G = –961.63 кДж/моль.
Для реакции НМА с протоном соответствие несколько хуже: PA(НМА) = 888.5 кДж/моль [80] и энтальпия реакции H⁺ с НМА 124.68 кДж/моль [79] дают в сумме –1013.18 кДж/моль, тогда как расчетные значения для реакции составляют:
2HМА + H⁺ → II, (2) ∆H = –1029.03 кДж/моль, ∆G = –945.70 кДж/моль.
Высокая теплота протонирования амидов может быть одной из причин (движущей силой) самопроизвольного протекания реакции ДМА с бромом.
Преимущественное образование НМА или 2-бром-N,N-диметилацетамида 2 в зависимости от присутствия воды или ее отсутствия не столь очевидно, и требует отдельного рассмотрения.
Вероятные пути реакции брома с ДМА. В нашей предыдущей статье [51] обсуждались возможные пути реакции близкого по строению амида (ДМФА) с бромом через автоионизацию или легко протекающий гомолиз [81] молекулы брома, и приводились многочисленные доводы «за» и «против». По существующим представлениям, взаимодействие свободных радикалов (включая атомы галогенов) с третичными амидами ограничивается отрывом атома водорода [25], преимущественно от N-метильной группы [82] амида, и последующей трансформацией этой группы. Очевидным образом эти представления недостаточны для объяснения наблюдаемого результата реакции брома и ДМА. Полученные данные о строении и термодинамической стабильности молекулярных и ионных комплексов ДМА I–VIII позволяют предположить вероятный механизм появления таких центров – согласованный перенос электрона/отрыв протона [83, 84] (схема 3).
Схема 3.
В отсутствие больших количеств воды образуется комплекс ДМА–бром (например, IV с локализацией брома по атому кислорода и дополнительной водородной связью C–H···Br с участием метильной группы ацетила). При одноэлектронном окислении происходит согласованный отрыв протона от метильной группы ацетила, и к этому карбкатионному центру немедленно присоединяется бромид-анион. Образовавшийся 2-бром-N,N-диметилацетамид 2 окисляется с большим трудом, нежели исходный ДМА, и в мягких условиях может быть зафиксирован в реакционной массе или даже выделен в свободном виде. Образующийся бромистый водород дает с избытком брома и ДМА дибромбромат 1.
При изначально высоком содержании воды преимущественно образуется комплекс ДМА–вода (например, VII или VIII), и последующее присоединение брома возможно только по атому азота с образованием дополнительной водородной связи C–H···Br с участием N-метильной группы. При последующем переносе электрона протон отрывается уже от этой N-метильной группы, и образующийся карбокатион атакуется молекулой воды, как наиболее нуклеофильной частицей в этой среде. Продукты такого присоединения неустойчивы в окислительной среде, и окисляются далее вплоть до деметилирования/выделения углекислого газа и образования НМА. В целом, цепочка стадий согласованного переноса электрона/отрыва протона обеспечивают выделение энергии [85] и самопроизвольное протекание реакции брома с ДМА.
ВЫВОДЫ
Расчет в приближении wB97X/dgdzvp адекватно воспроизводит структуру и термодинамические свойства исходных реагентов и продуктов реакции N,N-диметилацетамида и брома в различных условиях (в отсутствие и в присутствии воды). Для свободных молекул амидов ДМА и 2-бром-N,N-диметилацетамид 2 в их низкоэнергетических конформациях стабилизирующее воздействие оказывают нековалентные контакты C–H···O, C–H···C–H, C–H···H–C (тогда как в литературе есть указания на стерическое отталкивание метильных групп [31]). Для молекулярных комплексов ДМА с бромом выявлены связывающие нековалентные взаимодействия атомов азота или кислорода молекулы амида с молекулой брома; для комплексов с водой предпочтительной является координация по кислороду карбонильной группы. Две изомерные формы комплексов (E и Z) энергетически предпочтительны для О-комплексов. Для ряда структур выявлены дополнительные связывающие взаимодействия типа C–H···Br и C–H···O с участием атомов водорода метильных групп молекулы амида и атомов брома или воды. Перенос заряда в комплексах ДМА–Br₂ невелик (<0.05e), однако незначительные изменения в распределении электронной плотности (деформационная плотность) затрагивают всю молекулу брома и почти всю молекулу амида. Поляризация молекулы брома при комплексообразовании превышает перенос заряда для всех комплексов. Локализация электронов с низкой кинетической энергией (электронных пар) в бассейнах азота и кислорода молекулы ДМА соответствует ожидаемой для sp²-гибридных атомов: процедуры ELF и LOL выявляют два моносинаптических бассейна у атома кислорода, и один – у атома азота. Эта картина мало меняется при комплексообразовании ДМА с бромом или водой; протонирование молекулы амида вызывает более глубокую перестройку электронной плотности. Связывание в катионах II [(НМА)₂H⁺] и III [(ДМА)₂H⁺] обеспечивается прочной несимметричной O···H···O связью с очень высокой электронной плотностью в критических точках связывания, приближающейся по своим характеристикам к ординарной ковалентной связи. Для этих катионов впервые выявлены дополнительные связывающие взаимодействия вида C–H···O с участием метильных групп и атомов кислорода ацетильной группы каждого лиганда. Связывание в катионе ДМА H⁺ I надо рассматривать как ковалентную связь О–Н, как следует из анализа ELF, LOL и характеристик электронной плотности в критических точках связывания. При формально одинаковом заряде катионов, молекулярный электростатический потенциал распределен в разной степени неравномерно (примерно в последовательности I > II > III ). В наименьшей степени эта неравномерность выражена в катионе III; возможно, по этой причине полибромидные соли с этим катионом наиболее устойчивы. Во всех молекулах протонированных амидов отсутствуют моносинаптические (в смысле ELF и LOL) бассейны азота, все электроны внешней оболочки вовлечены в образование ковалентных связей.
Физико-химические свойства дибромбромата бис(N,N-диметилацетамид)водорода 1 в целом коррелируют с результатами расчета электронного строения катиона III (и ранее проведенного расчета аниона [Br–Br–Br]–). Высокая степень делокализации заряда и МЭП в катионе III обеспечивает возможность сосуществования с анионом [Br–Br–Br], чувствительным к возмущающему действию электростатического заряда катиона. Легкоплавкое солеобразное соединение – дибромбромат бис(N,N-диметилацетамид)водорода 1 – представляет собой ионную жидкость (т. пл. < 100°C), хорошо проводит электрический ток, вместе с тем перегоняется без разложения в невысоком вакууме. Протон центрального фрагмента катиона III быстро обменивается со средой даже в неполярных средах. Устойчивость аниона [Br–Br–Br]– к диссоциации в растворе обеспечивает проявление отличной от брома реакционной способности в реакциях бромирования [45], что позволяет селективно бромировать такие капризные объекты, как метилкетоны [86], эпоксиды [87] и антрациклины [88].
ЭКСПЕРИМЕНТАЛЬНАЯ ЧАСТЬ
Растворители для физико-химических измерений (метанол, ацетонитрил, хлороформ) очищали от восстанавливающих примесей, как описано ранее [51, 89]. Другие коммерчески доступные органические растворители использовали в синтезе без дополнительной очистки. Воду для финальных операций дважды перегоняли, ее характеристики приведены в работе [90]. Бром фильтровали от механических примесей и перегоняли, отбирая среднюю фракцию с т. кип. 56–59°C. Диметилацетамид очищали, как диметилформамид в работе [52], для экспериментов в «сухих» условиях перегоняли непосредственно перед проведением опыта, отбирая среднюю фракцию в пределах 0.5°C. Углекислый газ, выделяющийся в ходе реакции, собирали над слоем воды.
Рутинные спектры 1H записаны на спектрометре Bruker Avance II (400 МГц) с использованием стандартного набора параметров при 24°C. Внутренний стандарт – тетраметилсилан (для растворов в CDCl₃); внешний стандарт – тетраметилсилан в (CD3)2C=O (для растворов в CHCl₃). УФ спектры записаны на спектрометре Specord M40. ИК спектры записаны для образцов в тонкой пленке между пластинками бромида калия. Измерения электропроводности проведены, как описано в работе [51], в двухэлектродной ячейке с гладкими (неплатинированными) электродами, калиброванной по раствору хлорида калия. Определения методом высокоэффективной жидкостной хроматографии (ВЭЖХ) и газожидкостной хроматографии (ГЖХ) проведены, как описано в работе [52]. Содержание бромистого водорода и активного брома определяли методом иодометрического титрования.
Синтез дибромбромата бис(N,N-диметилацетамид)водорода 1 описан в работах [43, 89]; простой и эффективный способ получения приведен в работе [86]. Для целей физико-химического исследования образец перекристаллизовывали из метанола, свободного от восстанавливающих примесей, и сушили при пониженном давлении (<0.1 мм рт. ст.) без нагревания. Поглощение в УФ спектре (λ ≈ 270 нм) типично для солей с анионом [Br–Br–Br]–, положение максимума и зависимости оптической плотности от концентрации для различных растворителей приведены в работе [89]. Во всей доступной ИК области (400–3300 см⁻¹) вещество поглощает очень сильно, без резко выраженных экстремумов, за исключением двух широких полос при 1600 и 1625 см⁻¹. Спектры ЯМР ¹H и ¹³C приведены в работе [43], спектры ЯМР ¹⁵N и ¹⁷O – в работе [49].
Взаимодействие N,N-диметилацетамида с бромом при комнатной температуре. К 5.0 мл N,N-диметилацетамида (4.69 г, 0.054 моль) приливали по каплям 3 мл брома (9.3 г, 0.058 моль) при перемешивании и охлаждении на водяной бане (20–25°C) в течение 1 ч. Из полученной реакционной массы отгоняли летучие компоненты в вакууме водоструйного насоса, остаток перегоняли в вакууме (т. кип. 90–102°C, 0.05 мм рт. ст.). Отгон – красная быстро затвердевающая масса (4.60 г, 0.011 моль), выход 41% в расчете на исходный ДМА. После перекристаллизации из этанола (10 мл) получили красно-оранжевые кристаллы, т. пл. 89–92°C. Спектр ЯМР ¹H (CDCl₃), δ, м. д.: 16.1 с (1H), 3.38 с (6H), 3.27 с (6H), 2.55 с (6H). Содержание активного брома (38.0%) и HBr (18.8%) близко к соответствующим величинам для дибромбромата бис(N,N-диметилацетамид)водорода 1 (38.51 и 19.50% соответственно). В азотной ловушке при перегонке собирается непрореагировавший ДМА, загрязненный бромом; кубовый остаток содержит примеси N-метилацетамида (по данным ГЖХ и ЯМР).
Дибромбромат бис(N-метилацетамид)водорода (3). К 4.70 мл (0.032 моль) водного 40%-ного раствора HBr прибавляли 1.60 мл (0.031 моль) Br₂, после остывания приливали 4.60 мл (4.40 г, 0.060 моль) N-метилацетамида. Летучие компоненты отгоняли в вакууме водоструйного насоса. В кубе остается красная, быстро затвердевающая жидкость (11.1 г), т. пл. 131–137°C. Содержание Br₂ (41.0%) и HBr (19.9%), по результатам иодометрического титрования, соответствует дибромбромату бис(N-метилацетамид)водорода 3. Спектр ЯМР ¹H (CDCl₃), δ, м. д.: 17.0 с (1H), 10.1 уш. с (2H), 2.90 д (6H, ³J 4.0 Гц), 2.40 с (6H). При перекристаллизации из метанола теряет бром, превращаясь в бромид бис(N-метилацетамид)водорода. Иодометрически определенное содержание HBr – 35.12% (расчетное 35.23%). Синтез и другие свойства бромида бис(N-метилацетамид)водорода подробно описаны в работе [43], кристаллическая и молекулярная структура – в работе [47].
Взаимодействие N-метилацетамида с бромом. К нагретому до 100°C N-метилацетамиду (4.6 мл, 4.40 г, 0.06 моль) приливали по каплям бром (3.0 мл, 9.3 г, 0.058 моль) в течение 10 мин, собирая выделившийся газ (22 мл) над поверхностью воды. Температура смеси при этом снижается; в дальнейшем ее поддерживали внешним нагреванием в пределах 95–105°C. Реакционную массу нагревали в течение 1 ч, при этом выделилось еще 11 мл газа (всего 33 мл, 0.0015 моль). Из реакционной массы (13.5 г) отгоняли летучие компоненты в вакууме водоструйного насоса, затем в вакууме масляного насоса с азотной ловушкой. По данным ГЖХ, в ловушке собирается N-метилацетамид, загрязненный бромом. Спектр ЯМР (неразбавленная жидкость), δ, м. д.: 7.85 уш. с (1H), 2.25 д (3H, ³J 4.0 Гц), 1.48 с (3H). Кубовый остаток – твердое темно-красное твердое вещество; содержание активного брома (41.4%) и HBr (20.1%) и спектр ЯМР ¹H соответствуют дибромбромату бис(N-метилацетамид)водорода 3, выход 22% (5.1 г) в расчете на исходный N-метилацетамид. После перекристаллизации из метанола получили желтые кристаллы, т. пл.127–130°C; после повторной кристаллизации получили бесцветные кристаллы с т. пл. 129–132°C. Спектр ЯМР ¹H и содержание HBr соответствуют бромиду бис(N-метилацетамид)водорода 4 [53]. Взаимодействие N-метилацетамида с бромом в присутствии воды подробно описано в работе [43].
Гидробромид N,N-диметилацетамида (5). Из смеси N,N-диметилацетамида (10.0 мл, 9.37 г, 0.1076 моль) и водного раствора HBr (7.95 мл, 0.0541 моль) отгоняли воду. Кубовый остаток – желтое масло, медленно и неполностью кристаллизующееся при охлаждении (13.3 г). Продукт хорошо растворяется в воде, спирте, хлороформе. При переосаждении из хлороформа гексаном масса резко уменьшается. После повторного переосаждения получили белое твердое вещество, т. пл. 170°C (возг.) (т. пл. 167–168°C [57]). Спектр ЯМР ¹H (CDCl₃), δ, м. д.: 13.1 с (1H), 3.57 с (3H), 3.48 с (3H), 2.82 с (3H).
Теоретические расчеты выполнены с использованием пакета ORCA 5.0.3 [91] в рамках теории функционала плотности (DFT). Для полной оптимизации геометрии без ограничений по симметрии использовали сочетание полноэлектронного валентно-расщепленного базиса DGauss-DZVP с добавлением поляризационных функций [92] и гибридного функционала ωB97X-V [93] с разделением по диапазонам и поправкой на дисперсию VV10 [94]. Для всех оптимизированных структур на том же уровне рассчитаны частоты гармонических колебаний в целях подтверждения истинности минимумов потенциальной энергии (отрицательных значений не обнаружено) и определения термических поправок к энтальпии и энергии Гиббса при 298 K и 1 атм. Термохимические характеристики комплексообразования вычисляли как разницу соответствующих энергий комплекса и суммы энергий несвязанных мономеров в их равновесных геометриях. Параметр молекулярной планарности mpp для атомов выборки рассчитан по [95] как корень квадратный из суммы квадратов расстояний атомов выборки до средней по выборке плоскости, деленной на число атомов выборки. Для расчета МЭП и анализа электронной плотности (RDG, ELF, LOL) в рамках квантовой теории атомов в молекулах (QTAIM) использовали пакет Multiwfn v.3.8 [96, 97], для визуализации результатов – пакет VMD [98] и Mercury [99].
ФИНАНСОВАЯ ПОДДЕРЖКА
Работа выполнена при поддержке Министерства науки и высшего образования Российской Федерации (грант FRES 2023-0001).
КОНФЛИКТ ИНТЕРЕСОВ
Авторы заявляют об отсутствии конфликта интересов.
Об авторах
О. М. Заречная
Институт физико-органической химии и углехимии имени Л. М. Литвиненко
Email: v_mikhailov@yahoo.com
Россия, Донецк, 283048
Василий Александрович Михайлов
Институт физико-органической химии и углехимии имени Л. М. Литвиненко
Автор, ответственный за переписку.
Email: v_mikhailov@yahoo.com
ORCID iD: 0000-0002-4184-1805
Россия, Донецк, 283048
Список литературы
- The chemistry of amides / Ed. J. Zabicky. Wiley, 1970. 927 p.
- Bailey P.D., Mills T.J., Pettecrew R., Price R.A. In: Comprehensive Organic Functional Group Transformations II / Eds A.R. Katritzky, R.J.K. Taylor, R. Jones. Elsevier, 2005. Vol. 5. P. 201.
- Li G., Ma S., Szostak M. // Trends in Chemistry. 2020. Vol. 2. P. 914. doi: 10.1016/j.trechm.2020.08.001
- 23rd WHO Model List of Essential Medicines. https://iris.who.int/bitstream/handle/10665/371090/WHO-MHP-HPS-EML-2023.02-eng.pdf?sequence=1
- Elufioye T.O., Habtemariam S., Adejare A. // Rev. Bras. Farmacogn. 2020. Vol. 30. P. 622. doi: 10.1007/s43450-020-00095-5
- Wynendaele E., De Spiegeleer B., Gevaert B., Janssens Y., Suleman S., Cattoor S., Saunders J.H., Veryser L. // Regul. Toxicol. Pharmacol. 2018. Vol. 98. P. 215. doi: 10.1016/j.yrtph.2018.07.003
- Yu Y., Huang G., Du J.-Y., Wang J.-Z., Wang Y., Wu Z.-J., Zhang X.-B. // Energy Environ. Sci. 2020. Vol. 13. P. 3075. doi: 10.1039/D0EE01897J
- Li M., Feng X., Yin J., Cui T., Li F., Chen J., Lin Y., Xu X., Ding S., Wang J. // J. Mater. Chem. (A). 2023. Vol. 11. P. 25545. doi: 10.1039/D3TA04565J
- Kovács E., Rózsa B., Csomos A., Csizmadia I., Mucsi Z. // Molecules. 2018. Vol. 23. Art. 2859. doi: 10.3390/molecules23112859
- Katz J.L., Post B. // Acta Crystallogr. 1960. Vol. 13. P. 624. doi: 10.1107/S0365110X60001485
- Kitano M., Fukuyama T., Kuchitsu K. // Bull. Chem. Soc. Japan. 1973. Vol. 46. P. 384. doi: 10.1246/bcsj.46.384
- Vasylyeva V., Nayak S.K., Terraneo G., Cavallo G., Metrangolo P., Resnati G. // CrystEngComm. 2014. Vol. 16. P. 8102. doi: 10.1039/C⁴CE01514B
- Mack H.-G., Oberhammer H. // J. Am. Chem. Soc. 1997. Vol. 119. P. 3567. doi: 10.1021/ja964374x
- Di Mino C., Clancy A.J., Sella A., Howard C.A., Headen T.F., Seel A.G., Skipper N.T. // J. Phys. Chem. (B). 2023. Vol. 127. P. 1357. doi: 10.1021/acs.jpcb.2c07155
- Beicastro M., Marino T., Mineva T., Russo N., Sicilia E., Toscano M. // Theor. Comp. Chem. 1996. Vol. 4. P. 743. doi: 10.1016/S1380-7323(96)80102-6
- Ludwig R., Weinhold F., Farrar T. C. // J. Phys. Chem. (A). 1997. Vol. 101. P. 8861. doi: 10.1021/jp971360k
- Cuevas G., Renugopalakrishnan V., Madrid G., Hagler A.T. // Phys. Chem. Chem. Phys. 2002. Vol. 4. P. 1490. doi: 10.1039/B110777C
- Kang Y.K., Park H.S. // J. Mol. Struct. THEOCHEM. 2004. Vol. 676. P. 171. doi: 10.1016/j.theochem.2004.01.024
- Glover S.A., Rosser A.A. // J. Org. Chem. 2012. Vol. 77. P. 5492. doi: 10.1021/jo300347k.
- Nandi A., Qu C., Bowman J.M. // J. Chem. Phys. 2019. Vol. 151. art. 084306. doi: 10.1063/1.5119348
- Nandini G., Sathyanarayana D.N. // J. Mol. Struct. THEOCHEM. 2002. Vol. 579 P. 1. doi: 10.1016/S0166-1280(01)00711-4
- Forsting T., Gottschalk H.C., Hartwig B., Mons M., Suhm M.A. // Phys. Chem. Chem. Phys. 2017. Vol. 19. P. 10727. doi: 10.1039/C⁶CP07989J
- Thakkar B.S., Svendsen J.S.M., Engh R.A. // J. Phys. Chem. (A). 2017. Vol. 12. P. 6830. doi 10.1021/ acs.jpca.7b05584
- Mujika J.I., Matxain J.M., Eriksson L.A., Lopez X. // Chem. Eur. J. 2006. Vol. 12. P. 7215. doi: 10.1002/chem.200600052
- Samai S., Rouichi S., Ferhati A., Chakir A. // Arab. J. Chem. 2019. Vol. 12. P. 4957. doi 10.1016/ j.arabjc.2016.10.012
- Wiberg K.B., Rush D.J. // J. Org. Chem. 2002. Vol. 67. P. 826. doi: 10.1021/jo010817q
- Baker R.H., Boudreaux G.J. // Spectrochim. Acta (A). 1967. Vol. 23. P. 727. doi: 10.1016/0584-8539(67)80326-X
- Ataka S., Takeuchi H., Tasumi M. // J. Mol. Struct. 1984. Vol. 113. P. 147. doi: 10.1016/0022-2860(84)80140-4
- Drakenberg T., Forsen S. // J. Chem. Soc. (D). 1971. P. 1404. doi: 10.1039/C²9710001404
- Drakenberg T., Dahlqvist K. J., Forsen S. // J. Phys. Chem. 1972. Vol. 76. P. 2178. doi: 10.1021/j100659a020
- Wiberg K.B., Rablen P.R., Rusch D.J., Keith T.A. // J. Am. Chem. Soc. 1995. Vol. 117. P. 4261. doi: 10.1021/ja00120a006
- Ohashi N., Hougen J.T., Suenram R.D., Lovas F.J., Kawashima Y., Fujitake M., Pyka J. // J. Mol. Spectrosc. 2004. Vol. 227. P. 28. doi: 10.1016/j.jms.2004.04.017
- Fujitake M., Kubota Y., Ohashi N. // J. Mol. Spectrosc. 2006. Vol. 236. P. 97. doi: 10.1016/j.jms.2005.12.013
- Sandoval-Lira J., Fuentes L., Quintero L., Höpfl H., Hernández-Pérez J.M., Terán J.L., Sartillo-Piscil F. // J. Org. Chem. 2015. Vol. 80. P. 4481. doi: 10.1021/acs.joc.5b00286.
- Legon A.C., Wallwork A.L., Warner H.E. // Chem. Phys. Lett. 1992. Vol. 191. P. 97. doi: 10.1016/0009-2614(92)85375-K
- Atkins M.J., Legon A.C., Wallrock A.L. // Chem. Phys. Lett. 1992. Vol. 192 P. 368 doi: 10.1016/0009-2614(92)85484-R
- Raghavendra B., Arunan E. // Chem. Phys. Lett. 2008. Vol. 467. P. 37. doi: 10.1016/j.cplett.2008.11.009
- Sosulin I.S., Lukianova M.A., Volosatova A.D., Drabkin V.D., Kameneva S.V. // J. Mol. Struct. 2021. Vol. 1231. art. 129910. doi: 10.1016/j.molstruc.2021.129910
- Loveday O., Echeverría J. // Nat. Commun. 2021. Vol. 12. Art. 5030. doi: 10.1038/s41467-021-25314-y
- Adachi S., Kumagai N., Shibasaki M. // Tetrahedron Lett. 2018. Vol. 59. P. 1147. doi: 10.1016/j.tetlet.2018.01.097
- Kovács E., Rózsa B., Csomos A., Csizmadia I., Mucsi Z. // Molecules. 2018. Vol. 23. Art. 2859. doi 10.3390/ molecules23112859
- Kim K., Ryu E.K., Seo Y. // Tetrahedron Lett. 1990. Vol. 31. P. 5043. doi: 10.1016/S0040-4039(00)97801-8
- Михайлов В.А., Юфит Д.С., Стручков Ю.Т. // ЖОХ. 1992. Т. 62. С. 399; Mikhailov V.A., Yufit D.S., Struchkov Yu.T. // J. Gen. Chem. USSR. 1992. Vol. 62. P. 322.
- Губин А.И., Буранбаев М., Костынюк В.П., Копоть О.И., Ильин А.И. // Кристаллография. 1988. Т. 33. С. 1411; Gubin A.I., Buranbaev M., Kostynyuk V.P., Kopot O.I., Il’in A.I. // Kristallografiya. 1988. Vol. 33. P. 1393.
- Mammadova G.Z., Mertsalov D.F., Shchevnikov D.M., Grigoriev M.S., Akkurt M., Yıldırım S.Ö., Bhattarai A. // Acta Crystallogr. (E). 2023. Vol. 79. P. 690. doi: 10.1107/S2056989023005509
- Benedetti E., Di Blasio B., Baine P. // J. Chem. Soc. Perkin Trans. 2. 1980. P. 500. doi: 10.1039/P29800000500
- Wei B. // Acta Crystallogr. (E). 2012. Vol. 68. o1491. doi: 10.1107/S1600536812016984
- Губин А.И., Буранбаев М., Пугина Е.Г., Костынюк В.П., Ильин А.И. // Кристаллография. 1990. Т. 35. С. 218; Gubin A.I., Buranbaev M., Pugina E.G., Kostynyuk V.P., Ilin A.I. // Kristallografiya. 1990. Vol. 35. P. 218.
- Родыгин М.Ю., Зубрицкий М.Ю., Михайлов В.А., Савелова В.А., Роженко А.Б. // Укр. хим. ж. 1993. Т. 59. С. 411.
- Бураков Н.И., Каниболотский А.Л., Осиченко Г.Ю., Михайлов В.А., Савелова В.А., Космынин В.В. // ЖОрХ. 2001. Т. 37. С. 1276; Burakov N.I., Kanibolotskii A.L., Osichenko G.Yu., Mikhailov V.A., Savelova V.A., Kosmynin V.V. // Russ. J. Org. Chem. 2001. Vol. 37. P. 1210. doi: 10.1023/A:1013146630045
- Suponitsky K.Yu., Burakov N.I., Кanibolotsky A.L., Mikhailov V.A. // J. Phys. Chem. (A). 2016. Vol. 120. P. 4179. doi: 10.1021/acs.jpca.6b02192
- Заречная О.М., Михайлов В.А. // ЖОХ. 2024. Т. 94. С. 10. doi: 10.31857/S0044460X24010022
- Gully T.A., Voßnacker P., Schmid J.R., Beckers H., Riedel S. // ChemistryOpen. 2021. Vol. 10. P. 255. doi: 10.1002/open.202000263
- Vener M.V., Librovich N.B. // Int. Rev. Phys. Chem. 2009. Vol. 28. P. 407. doi: 10.1080/01442350903079955
- Drago R.S., Wenz D.A. // J. Am. Chem. Soc. 1962. Vol. 84. P. 526. doi: 10.1021/ja00863a004
- El Firdoussi A., Esseffar M., Bouab W., Abboud J.L., Mó O., Yáñez M. // J. Phys. Chem. (A). 2004. Vol. 108. P. 10568. doi: 10.1021/jp904827z
- Cook D. // Can. J. Chem. 1964. Vol. 42. P. 2721. doi: 10.1139/v64-402
- Takamuku T., Matsuo D., Tabata M., Yamaguchi T., Nishi N. // J. Phys. Chem. (B). 2003. Vol. 107 P. 6070. doi: 10.1021/jp0226578
- Waghorne W.E., Rubalcava H. // J. Chem. Soc. Faraday Trans. 1. 1982. Vol. 78. P. 1199. doi: 10.1039/F19827801199
- Guiheneuf G., Abboud J.-L.M., Lachkar A. // Can. J. Chem. 1988. Vol. 66. P. 1032. doi: 10.1139/v88-171
- Martins C.R., Rittner R., Tormena C.F. // J. Mol. Struct. 2005. Vol. 728. P. 79. doi: 10.1016/j.theochem.2005.04.033
- Silva D.R., Santos L.A., Hamlin T.A., Bickelhaupt F.M., Freitas M.P., Guerra C.F. // Phys. Chem. Chem. Phys. 2021. Vol. 23. P. 20883. doi: 10.1039/D1CP02502C
- Jaber M., Guilhem J., Loiseleur H. // Acta Crystallogr. (C). 1983. Vol. 39. P. 485. doi: 10.1107/S0108270183005211
- Groth P. // Acta Chem. Scand. (A). 1977. Vol. 31. P. 607 doi: 10.3891/acta.chem.scand.31a-0607
- Biswas S., Mallik B.S. // Comp. Theor. Chem. 2020. Vol. 1190. Art. 113001. doi: 10.1016/j.comptc.2020.113001
- Boer F.P. // J. Am. Chem. Soc. 1966. Vol. 88. P. 1572. doi: 10.1021/ja00959a059
- Koch U., Popelier P.L.A. // J. Phys. Chem. 1995. Vol. 99. P. 9747. doi: 10.1021/j100024a016
- Bakhmutov V.I. Dihydrogen Bonds: Principles, Experiments, and Applications. New York: Wiley, 2007. 241 p.
- Freindorf M., McCutcheon M., Beiranvand N., Kraka E. // Molecules. 2022. Vol. 28. Art. 263. doi 10.3390/ molecules28010263
- Lomas J.S. // Magn.Res. Chem. 2019. Vol. 57. P. 1121. doi: 10.1002/mrc.4900
- Riu M.-L.Y., Bistoni G., Cummins C.C. // J. Phys. Chem. (A). 2021. Vol. 125. P. 6151. doi: 10.1021/acs.jpca.1c04046
- Monteiro N.K.V., Firme C.L. // J. Phys. Chem. (A). 2014. Vol. 118. P. 1730. doi: 10.1021/jp500131z
- Della Porta P., Zanasi R., Monaco G. // J. Comput. Chem. 2015. Vol. 36. P. 707. doi: 10.1002/jcc.23841
- Mitoraj M.P., Sagan F., Babashkina M.G., Isaev A.Y., Chichigina Y.M., Safin D.A. // Eur. J. Org. Chem. 2019. Vol. 2019. P. 493. doi: 10.1002/ejoc.201801041
- Matczak P. // Bull. Chem. Soc. Japan. 2016. Vol. 89. P. 92. doi: 10.1246/bcsj.20150229
- Jabłoński M. // ChemistryOpen. 2019. Vol. 8. P. 497. doi: 10.1002/open.201900109
- Popelier P.L.A. // J. Mol. Model. 2022. Vol. 28. Art. 276. doi: 10.1007/s00894-022-05188-7.
- Vener M.V., Levina E.O., Astakhov A.A., Tsirelson V.G // Chem. Phys. Lett. 2015. Vol. 638. P. 233. doi 10.1016/ j.cplett.2015.08.053
- Meot-Ner M. // J. Am. Chem. Soс. 1984. Vol. 106. P. 278. doi: 10.1021/ja00314a003
- Hunter E.P.L., Lias S.G. // J. Phys. Chem. Ref. Data. 1998. Vol. 27. P. 413. doi: 10.1063/1.556018
- Wang H., Liu H., Wang M., Huang M., Shi X., Wang T., Cong X., Yan J., Wu J. // iScience 24. 2021. Art. 102693. doi: 10.1016/j.isci.2021.102693
- Solignac G., Mellouki A., Le Bras G., Barnes I., Benter Th. // J. Photochem. Photobiol. (A). 2005. Vol. 176. P. 136. doi: 10.1016/j.jphotochem.2005.07.020
- Mayer J.M. // J. Am. Chem. Soc. 2023. Vol. 145. P. 7050. doi: 10.1021/jacs.2c10212
- Groff B.D., Koronkiewicz B., Mayer J.M. // J. Org. Chem. 2023. Vol. 88. P. 16259. doi: 10.1021/acs.joc.3c01748
- Nocera D.G. // J. Am. Chem. Soc. 2022. Vol. 144. P. 1069. doi: 10.1021/jacs.1c10444
- Заречная О.М., Михайлов В.А. // Вестн. ДонНТУ. 2021. C. 34.
- Mertsalov D.F., Zaytsev V.P., Pokazeev K.M., Grigoriev M.S., Bachinsky A.V., Celikesir S.T., Akkurt M., Mlowe S. // Acta Crystallogr. (E). 2021. Vol. 77. P. 255. doi: 10.1107/S2056989021001481
- Zabudkin A.F., Matvienko V., Itkin A.M., Matveev A. Pat. US 8802830 (2014).
- Дорохова Т.В., Михайлов В.А., Каниболоцкий А.Л., Прокопьева Т.М., Савелова В.А., Попов А.Ф. // ТЭХ. 2008. Т. 44. С. 298; Dorokhova T.V., Mikhailov V.A., Kanibolotskii A.L., Prokop’eva T.M., Savelova V.A., Popov A.F. // Theor. Exp. Chem. 2008. Vol. 44. P. 307. doi: 10.1007/s11237-008-9042-9
- Zabolotniy A.A., Trush E.N., Zarechnaya O.M., Mikhailov V.A. // J. Ionic Liq. 2022. Vol. 2. Art. 100045. doi: 10.1016/j.jil.2022.100045
- Neese F., Wennmohs F., Becker U., Riplinger C. // J. Chem. Phys. 2020. Vol. 152. Art. 224108. doi: 10.1063/5.0004608
- Godbout N., SalahubD.R., Andzelm, J., Wimmer E. // Can. J. Chem. 1992. Vol. 70, P. 560. doi: 10.1139/v92-079
- Mardirossian N., Head-Gordon M. // Phys. Chem. Chem. Phys. 2014. Vol. 16. P. 9904. doi: 10.1039/C³CP54374A
- Vydrov O.A., Van Voorhis T. // J. Chem. Phys. 2010. Vol. 133. Art. 244103. doi: 10.1063/1.3521275.
- Lu T., Chen F. // J. Comput. Chem. 2012. Vol. 33. P. 580. doi: 10.1002/jcc.22885
- Zhang J., Lu T. // Phys. Chem. Chem. Phys. 2021. Vol. 23. P. 20323. doi: 10.1039/D1CP02805G
- Lu T. // J. Mol. Model. 2021. Vol. 27. P. 263. doi: 10.1007/s00894-021-04884-0
- Humphrey W., Dalke A., Schulten K. // J. Mol. Graphics. 1996. Vol. 14. P. 33. doi: 10.1016/0263-7855(96)00018-5
- Macrae C.F., Sovago I., Cottrell S.J., Galek P.T.A., McCabe P., Pidcock E., Platings M., Shields G.P., Stevens J.S., Towler M., Wood P.A. // J. Appl. Cryst. 2020. Vol. 53. P. 226. doi: 10.1107/S1600576719014092
Дополнительные файлы


















