Трехкомпонентный синтез 5-арил(гетарил)-4-ароил-1-изобутил- 3-гидрокси-3-пирролин-2-онов
- Авторы: Гейн В.Л.1, Дианова Д.Г.1, Сенокосова О.О.1, Носова Н.В.1, Булдакова Е.А.1, Мокрушин И.Г.2
-
Учреждения:
- Пермская государственная фармацевтическая академия Министерства здравоохранения Российской Федерации
- Пермский государственный национальный исследовательский университет
- Выпуск: Том 94, № 3 (2024)
- Страницы: 342-349
- Раздел: Статьи
- URL: https://journal-vniispk.ru/0044-460X/article/view/261494
- DOI: https://doi.org/10.31857/S0044460X24030039
- EDN: https://elibrary.ru/FZHSIF
- ID: 261494
Цитировать
Полный текст
Аннотация
Взаимодействием метиловых эфиров ароилпировиноградных кислот с ароматическими (гетероциклическими) альдегидами и изобутиламином в диоксане синтезирован ряд новых 5-арил(гетарил)-4-ароил-1-изобутил-3-гидрокси-3-пирролин-2-онов. Изучена противомикробная активность in vitro полученных соединений в отношении штаммов Staphylococcus aureus, Escherichia coli и Candida albicans.
Полный текст
ВВЕДЕНИЕ
Замещенные тетрагидропиррол-2,3-дионы (3-пирролин-2-оны) являются одним из наиболее перспективных классов азотсодержащих пятичленных гетероциклов, что обусловлено широкими возможностями для модификации пиррольного кольца с целью получения моно- и полизамещенных гетероциклических соединений, и их конденсированных гетероциклических систем [1]. В настоящее время данный структурный фрагмент представлен в составе многих известных лекарственных средств (пирацетам, атропин, цианокобаламин, глимепирид, линкомицин, клиндамицин, каптоприл, эналаприл) [2]. В зависимости от характера заместителей в кольце 3-пирролин-2-она соединения обладают различной биологической активностью: антибактериальной [3, 4], противовирусной [5] анальгезирующей [1], противовоспалительной [6], антиоксидантной [7], противоопухолевой [8], гипогликемической, ноотропной, диуретической, антиагрегантной [1].
В настоящее время в современной литературе приводятся несколько методов синтеза 1,4,5-тризамещенных пирролидин-2,3-дионов [5, 8]. Однако в одном случае в качестве основного конденсирующего соединения для получения исходных эфиров используется гидрид натрия [5], а в другом – синтез целевых продуктов осуществляется под действием микроволнового излучения [8], что существенно снижает препаративные возможности указанных методов.
Поэтому для синтеза потенциальных биологически активных веществ была применена известная однореакторная трехкомпонентная конденсация в мягких условиях (при комнатной температуре в неполярном растворителе) [1].
РЕЗУЛЬТАТЫ И ОБСУЖДЕНИЕ
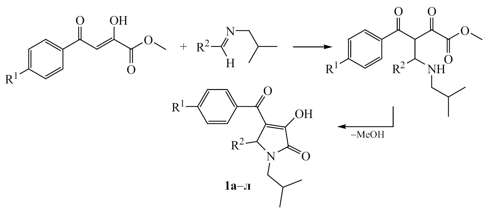
С целью синтеза новых потенциальных биологически активных 3-гидрокси-3-пирролин-2-онов, содержащих в положении 1 изобутильный заместитель, нами изучена трехкомпонентная реакция метилового эфира ароилпировиноградной кислоты со смесью ароматического или гетероциклического альдегида и изобутилмина в диоксане при комнатной температуре (схема 1). Как показали проведенные исследования, единственным продуктом данной реакции являются соответствующие 5-арил(гетарил)-4-ароил-1-изобутил-3-гидрокси-3-пирролин-2-оны 1а–л.
Соединения 1а–л представляют собой белые или светло-желтые кристаллические вещества, растворимые в ДМСО, ДМФА, при нагревании – в ледяной уксусной кислоте, диоксане, этаноле и нерастворимые в воде.
Схема 1.
В ИК спектрах соединений 1а–л присутствуют полосы валентных колебаний енольной OH-группы (3109–3163 см⁻¹), лактамной (1666–1686 см⁻¹) и кетонной карбонильных групп (1616–1631 см⁻¹). В спектрах ЯМР ¹H соединений 1а–л наряду с сигналами ароматических протонов и связанных с ними групп присутствуют сигналы енольной гидроксильной группы в области 11.19–11.92 м. д., сигнал метинового протона в положении 5 гетероцикла (5.44–5.67 м. д.) и сигналы протонов изобутильной группы. В спектрах ЯМР ¹³C, кроме сигналов ароматических атомов углерода, присутствуют сигналы атомов углерода карбонильной группы боковой цепи в области 187.66–188.68 м. д., лактамной группы в области 165.13–165.15 м. д., а также изобутильного заместителя.
Соединения 1а–л в реакции с хлоридом железа(III) дают характерное вишневое окрашивание, что наряду с данными спектров подтверждает их существование преимущественно в енольной форме. На основании литературных данных [1] можно предположить, что реакция протекает с образованием промежуточного основания Шиффа, по двойной связи которого присоединяется исходный эфир с последующей циклизацией промежуточного эфира 4-арил-3-ароил-4-изобутиламино-2-оксобутановой кислоты в соответствующие 3-гидрокси-3-пирролин-2-оны 1а–л (схема 2).
Схема 2.
Соединения 1a–з протестированы in vitro на антибактериальную активность в отношении грамположительного (St. aureus) и грамотрицательного (E. coli) бактериальных штаммов, а также на противогрибковую активность в отношении C. albicans (табл. 1). Показано, что значения минимальной противомикробной концентрации (МПК) соединений 1a–з находятся в диапозонах 500–1000 мкг/мл (антибактериальная активность) и 250–1000 мкг/мл (протвогрибковая активность). Наибольшую противогрибковую активность проявили соединения 1е и 1з. По-видимому, введение хлора в пара-положение арильного заместителя ароильного фрагмента гетероцикла, а также метоксигруппы в пара- или мета-положение арила у атома C⁵ повышает активность соединений в отношении C. albicans.
Таблица 1. Противомикробная активность соединений 1а–з.
Cоединение | МПК, мкг/мл | ||
St. Aureus ATCC 6538-P | E. coli ATCC 25922 | C. albicans ATCC 885-653 | |
1а | 1000 | 1000 | 500 |
1б | 1000 | 1000 | 500 |
1в | 1000 | 1000 | 500 |
1г | 1000 | 1000 | 1000 |
1д | 500 | 500 | 500 |
1е | 1000 | 1000 | 250 |
1ж | 1000 | 1000 | 500 |
1з | 1000 | 1000 | 250 |
Диоксидин (1%-ный раствор) | 62.5 | 31.2 | |
Флуконазол | – | – | 2.0–>64.0 |
ВЫВОДЫ
Таким образом, предложен простой в исполнении и экономически доступный метод получения потенциальных биологически активных 5-арил(гетарил)-4-ароил-1-изобутил-3-гидрокси-3-пирролин-2-онов. Установлено, что полученные соединения обладают низкой противомикробной активностью. Однако модификация их структуры и расширение ряда может значительно повысить возможности поиска среди них как эффективных противомикробных средств, так и средств, обладающих другими видами биологической активности.
ЭКСПЕРИМЕНТАЛЬНАЯ ЧАСТЬ
ИК спектры получены на приборе Инфраспек ФСМ 1202 в интервале 4000–450 см⁻¹ в вазелиновом масле. ЯМР спектры снимали на спектрометре Bruker Avance III HD (400 МГц 1H, 101 МГц ¹³C). Химические сдвиги определяли относительно тетраметилсилана (ТМС) по гексаметилдисилоксану (ГМДС) в ДМСО-d6 при температуре 40°C. Элементный анализ проведен на приборе Elementar Analysensysteme GmbH Vario Micro cube. Температуры плавления определены на приборе Melting Point M-565.
3-Гидрокси-1-изобутил-5-фенил-4-(4-хлорбензоил)-3-пирролин-2-он (1а). К раствору 0.01 моль (2.4 г) метилового эфира 4-хлорбензоилпировиноградной кислоты и 0.01 моль (1.06 г) бензальдегида в 10 мл диоксана добавляли 0.01 моль (0.73 г) изобутиламина. Реакционную смесь слегка нагревали при перемешивании до растворения всех компонентов и выдерживали в течение суток при комнатной температуре (23–25°C). Осадок отфильтровывали и перекресталлизовывали из этилового спирта. Выход 74%, т. пл. 262–264°C. ИК спектр, ν, см⁻¹: 1628 (C=O), 1682 (CON), 3128 (C³OH). Спектр ЯМР ¹H (ДМСО-d6), δ, м. д.: 11.32 уш. с (1H, C³OH), 7.70 д (2H, м-CHбензоил, J 8.5 Гц), 7.51 д (2H, o-CHбензоил, J 8.5 Гц), 7.39–7.25 м (5H, Ar), 5.44 с (1H, C⁵Hпиррол), 3.36 д. д (1H, CαHAHB, J 13.6, 8.9 Гц), 2.48 д. д (1H, CαHAHB, J 13.6, 6.1 Гц), 1.82 д. д (1H, CβH, J 13.1, 6.5 Гц), 0.80 д (3H, CγH₃, J 6.7 Гц), 0.77 д (3H, CγH₃, J 6.6 Гц). Спектр ЯМР ¹³C (ДМСО-d6), δС, м. д.: 187.66 (C=Oбензоил), 165.15 (C²=O), 151.69 (C³), 137.12 (Ar), 136.74 (Ar), 136.12 (Ar), 130.39 (Ar), 128.53 (Ar), 128.19 (Ar), 128.14 (Ar), 127.54 (Ar), 118.95 (C⁴), 61.11 (C⁵), 47.61 (CαH₂), 26.75 (CβH), 19.94 (CγH₃), 19.63 (CγH₃). Найдено, %: C 68.31; H 5.40; N 3.91. C21H20ClNO3. Вычислено, %: C 68.20; H 5.45; N 3.78.
Соединения 1б–л получали аналогично.
3-Гидрокси-1-изобутил-4-(4-метилбензоил)-5-фенил-3-пирролин-2-он (1б). Выход 70%, т. пл. 253–254°C. ИК спектр, ν, см⁻¹: 1624 (C=O), 1686 (CNO), 3148 (C³OH). Спектр ЯМР ¹H (ДМСО-d6), δ, м. д.: 11.38 уш. с (1H, C³OH), 7.63–7.20 м (9H, Ar), 5.44 с (1H, C⁵Hпиррол), 3.36 д. д (1H, CαHAHB, J 13.6, 8.9 Гц), 2.48 д. д (1H, CαHAHB, J 13.6, 6.0 Гц), 2.35 с (3H, CH₃-Ar), 1.80–1.91 м (1H, CβH), 0.80 д (3H, CγH₃, J 6.7 Гц), 0.77 д (3H, CγH₃, J 6.6 Гц). Спектр ЯМР ¹³C (ДМСО-d6), δС, м. д.: 188.37 (C=Oбензоил), 165.51 (C²=O), 156.07 (C³), 142.60 (Ar), 136.34 (Ar), 135.42 (Ar), 128.77 (Ar), 128.51 (Ar), 128.48 (Ar), 128.09 (Ar), 127.51 (Ar), 119.34 (C⁴), 61.22 (C⁵), 47.56 (CαH₂), 26.76 (CβH), 21.01 (Ar-CH₃), 19.95 (CγH₃), 19.64 (CγH₃). Найдено, %: C 75.50; H 6.45; N 3.78. С22H23NO3. Вычислено, %: C 75.62; H 6.63; N 4.01.
3-Гидрокси-1-изобутил-4-(4-метилбензоил)-5-(3,4-диметоксифенил)-3-пирролин-2-он (1в). Выход 46%, т. пл. 251–253°C. ИК спектр, ν, см⁻¹: 1620 (C=O), 1683 (CNO), 3125 (C³OH). Спектр ЯМР ¹H (ДМСО-d6), δ, м. д.: 11.26 уш. с (1H, C³OH), 7.64 д (2H, о-CHбензоил, J 8.0 Гц), 7.25 д (2H, м-CHбензоил, J 7.9 Гц), 6.90–6.81 м (3H, Ar), 5.39 с (1H, C⁵Hпиррол), 3.70 с (3H, OCH₃), 3.70 с (3H, OCH₃), 3.33 д. д (1H, CαHAHB, J 13.6, 8.9 Гц), 2.56 дд (1H, CαHAHB, J 13.6, 6.1 Гц), 2.35 с (3H, CH₃-Ar), 1.90–1.75 м (1H, CβH), 0.81 д (3H, CγH₃, J 6.6 Гц), 0.77 д (3H, CγH₃, J 6.6 Гц). Спектр ЯМР ¹³C (ДМСО-d6), δС, м. д.: 188.74 (C=Oбензоил), 165.18 (C²=O), 154.51 (C³), 150.24 (Ar), 148.75 (Ar), 148.68 (Ar), 142.81 (Ar), 135.25 (Ar), 128.87 (Ar), 128.59 (Ar), 128.07 (Ar), 120.38 (Ar), 119.58 (C⁴), 111.66 (Ar), 110.74 (Ar), 66.25 (C⁵), 61.10 (C⁵), 55.57 (OCH₃), 55.32 (OCH₃), 47.55 (CαH₂), 26.79 (CβH), 21.01 (Ar-CH₃), 19.98 (CγH₃), 19.66 (CγH₃). Найдено, %: C 70.35; H 6.60; N 3.40. С24Н27NO5. Вычислено, %: C 70.40; H 6.65; N 3.42.
3-Гидрокси-5-(3-гидроксифенил)-1-изобутил-4-(4-метилбензоил)-3-пирролин-2-он (1г). Выход 71%, т. пл. 243–245°C. ИК спектр, ν, см⁻¹: 1616 (C=O), 1680 (CNO), 3156 (C³OH). Спектр ЯМР ¹H (ДМСО-d6), δ, м. д.: 11.38 уш. с (1H, C³OH), 9.37 с (1H, Ar-OH), 7.61 д (2H, о-CHбензоил, J 7.9 Гц), 7.26 д (2H, м-CHбензоил, J 7.8 Гц), 7.12 т (1H, Ar, J 7.6 Гц), 6.75–6.63 м (3H, Ar), 5.36 с (1H, C⁵Hпиррол), 3.36 д. д (1H, CαHAHB, J 13.6, 8.9 Гц), 2.51 д. д (1H, CαHAHB, J 12.4, 7.3 Гц), 2.36 с (3H, CH₃-Ar), 1.92–1.76 м (1H, CβH), 0.82 д (3H, CγH₃, J 6.7 Гц), 0.78 д (3H, CγH₃, J 6.6 Гц). Спектр ЯМР ¹³C (ДМСО-d6), δС, м. д.: 188.57 (C=Oбензоил), 165.31 (C²=O), 157.40 (Ar), 150.23 (C³), 142.80 (Ar), 137.43 (Ar), 135.28 (Ar), 129.52 (Ar), 128.78 (Ar), 128.59 (Ar), 119.70 (Ar), 118.13 (C⁴), 115.22 (Ar), 114.00 (Ar), 61.17 (C⁵), 47.55 (CγH₂), 26.82 (CβH), 19.98 (CγH₃), 19.67 (CγH₃). Найдено, %: C 72.46; H 6.37; N 3.54; C22H23NO4. Вычислено, %: C 72.31; H 6.34; N, 3.83.
3-Гидрокси-5-(4-гидрокси-3-метоксифенил)-1-изобутил-4-(4-метилбензоил)-3-пирролин-2-он (1д). Выход 35%, т. пл. 254–256°C. ИК спектр, ν, см⁻¹: 1265, 1239 (PhОCH₃), 1620 (C=O), 1681 (CNO), 3109 (C³OH), 3557 (ArOH). Спектр ЯМР ¹H (ДМСО-d6), δ, м. д.: 11.23 уш. с (1H, C³OH), 8.92 с (1H, Ar-OH), 7.64 д (2H, о-CHбензоил, J 8.2 Гц), 7.25 д (2H, м-CHбензоил, J 7.6 Гц), 6.80–6.68 м (3H, Ar), 5.35 с (1H, C⁵Hпиррол), 3.70 с (3H, OCH₃), 3.32 д. д (1H, CαHAHB, J 13.6, 8.8 Гц), 2.56 д. д (1H, CαHAHB, J 13.6, 6.2 Гц), 2.35 с (3H, CH₃-Ar), 1.90–1.72 м (1H, CβH), 0.81 д (3H, CγH₃, J 6.7 Гц), 0.76 д (3H, CγH₃, J 6.6 Гц). Спектр ЯМР ¹³C (ДМСО-d6), δС, м. д.: 188.82 (C=Oбензоил), 165.13 (C²=O), 150.20 (C³), 147.60 (Ar), 146.52 (Ar), 142.80 (Ar), 135.29 (Ar), 128.87 (Ar), 128.61 (Ar), 126.43 (Ar), 120.51 (Ar), 119.68 (C⁴), 115.38 (Ar), 111.28 (Ar), 61.21 (C⁵), 55.69 (OCH₃), 47.51 (CγH₂), 26.80 (CβH), 20.00 (CγH₃), 19.68 (CγH₃). Найдено, %: C 69.80; H 6.30; N 3.44. C23H25NO5. Вычислено, %: C 69.86; H 6.37; N 3.54.
3-Гидрокси-1-изобутил-5-(3-метоксифенил)-4-(4-хлоробензоил)-3-пирролин-2-он (1е). Выход 69% т. пл. 236–238°C. ИК спектр, ν, см⁻¹: 1300 (PhOCH₃), 1620 (C=O), 1682 (CNO), 3136 (C³OH). Спектр ЯМР ¹H (ДМСО-d6), δ, м. д.: 11.75 уш. с (1H, C³OH), 7.71 д (2H, о-CHбензоил, J 8.5 Гц), 7.51 д (2H, м-CHбензоил, J 8.5 Гц), 7.24 т (1H, Ar, J 8.1 Гц), 6.91–6.82 м (3H, Ar), 5.42 с (1H, C⁵Hпиррол), 3.72 с (3H, OCH₃), 3.35 д. д (1H, CαHAHB, J 13.7, 8.9 Гц), 2.52 д. д (1H, CαHAHB, J 13.6, 6.1 Гц), 1.90–1.75 м (1H, CβH), 0.81 д (3H, CγH₃, J 6.7 Гц), 0.76 д (3H, CγH₃, J 6.6 Гц). Спектр ЯМР ¹³C (ДМСО-d6), δС, м. д.: 187.67 (C=Oбензоил), 165.12 (C²=O), 159.30 (Ar), 153.36 (C³), 137.73 (Ar), 137.14 (Ar), 136.70 (Ar), 130.43 (Ar), 129.62 (Ar), 128.15 (Ar), 119.58 (C⁴), 113.52 (Ar), 113.39 (Ar), 61.04 (C⁵), 55.01 (OCH₃), 47.64 (CγH₂), 26.73 (CβH), 19.95 (CγH₃), 19.64 (CγH₃). Найдено, %: C 65.80; H 5.40; N 3.44. C22H22ClNO4. Вычислено, %: C 66.08; H 5.55; N 3.50.
3-Гидрокси-5-(4-гидроксифенил)-1-изобутил-4-(4-хлорбензоил)-3-пиролин-2-он (1ж). Выход 41%, т. пл. 251–252°C. ИК спектр, ν, см⁻¹: 1631(C=O), 1678 (CNO), 3125 (C³OH). Спектр ЯМР ¹H (ДМСО-d6), δ, м. д.: 11.63 уш. с (1H, C³OH), 9.38 с (1H, Ar-OH), 7.70 д (2H, о-CHбензоил, J 8.5 Гц), 7.51 д (2H, м-CHбензоил, J 8.5 Гц), 7.09 д (2H, о-CHAr, J 8.4 Гц), 6.69 д (2H, м-CHAr, J 8.5 Гц), 5.33 c (1H, C⁵Hпиррол), 3.31 д. д (1H, CαHAHB, J 13.6, 8.9 Гц), 2.50 д. д (1H, CαHAHB, J 13.6, 6.1 Гц), 1.87–1.72 м (1H, CβH), 0.80 д (3H, CγH₃, J 6.6 Гц), 0.76 д (3H, CγH₃, J 6.6 Гц). Спектр ЯМР ¹³C (ДМСО-d6), δС, м. д.: 187.72 (C=Oбензоил), 169.55 (C²=O), 164.97 (Ar), 157.23 (Ar), 151.31 (C³), 137.09 (Ar), 136.76 (Ar), 130.40 (Ar), 128.65 (Ar), 128.14 (Ar), 125.76 (Ar), 119.12 (C⁴), 115.32 (Ar), 60.71 (C⁵), 47.40 (CγH₂), 26.77 (CβH), 19.97 (CγH₃), 19.64 (CγH₃). Найдено, %: C 65.20; H 5.15; N 3.54. C21H20ClNO4. Вычислено, %: C 65.37; H 5.22; N 3.63
3-Гидрокси-1-изобутил-5-(4-метоксифенил)-4-(4-хлорбензоил)-3-пирролин-2-он (1з). Выход 58%, т. пл. 252–253°C. ИК, спектр ν, см⁻¹: 1628 (C=O), 1666 (CNO), 3163 (C³OH). Спектр ЯМР ¹H (ДМСО-d6), δ, м. д.: 11.74 уш. с (1H, C³OH), 7.70 д (2H, о-CHбензоил, J 8.5 Гц), 7.51 д (1H, м-CHбензоил, J 8.5 Гц), 7.23 д (2H, о-CHAr, J 8.7 Гц), 6.87 д (2H, м-CHAr, J 8.7 Гц), 5.39 с (1H, C⁵Hпиррол), 3.71 с (3H, OCH₃), 3.35 д. д (1H, CαHAHB, J 13.6, 8.9 Гц), 2.49 д. д (2H, CαHAHB, J 13.7, 6.0 Гц), 1.88–1.74 м (1H, CβH), 0.80 д (3H, CγH₃, J 6.7 Гц), 0.76 д (3H, CγH₃, J 6.6 Гц). Спектр ЯМР ¹³C (ДМСО-d6), δ, м. д.: 188.30 (C=Oбензоил), 165.60 (C²=O), 159.63 (Ar), 152.03 (C³), 137.71 (Ar), 137.31 (Ar), 130.99 (Ar), 129.32 (Ar), 128.72 (Ar), 128.21 (Ar), 128.09 (Ar), 119.63 (C⁴), 61.15 (C⁵), 48.03 (CγH₂), 27.34 (CβH), 20.54 (CγH₃), 20.23(CγH₃). Найдено, %: C 65.05; H 5.45; N 3.45. C22H22ClNO4. Вычислено %: C 66.08; H 5.55; N 3.50.
3-Гидрокси-1-изобутил-5-(3-фторфенил)-4-(4-хлорбензоил)-3-пирролин-2-он (1и). Выход 69%, т. пл. 252–253°C. ИК, спектр ν, см⁻¹: 1628 (C=O), 1682 (CNO), 3125 (C³OH). Спектр ЯМР ¹H (ДМСО-d6), δ, м. д.: 11.92 уш. с (1H, C³OH), 7.72 д (2H, о-CHбензоил, J 8.5 Гц), 7.50 д (2H, м-CHбензоил, J 8.5 Гц), 7.42–7.06 м (4H, Ar), 5.47 с (1H, C⁵Hпиррол), 3.36 д. д (1H, CαHAHB, J 13.7, 8.9 Гц), 2.53 д. д (1H, CαHAHB, J 13.7, 6.1 Гц), 1.88–1.76 м (1H, CβH), 0.80 д (3H, CγH₃, J 6.7 Гц), 0.76 д (3H, CγH₃, J 6.6 Гц). Спектр ЯМР ¹³C (ДМСО-d6), δС, м. д.: 188.16 (C=Oбензоил), 165.75 (C²=O), 162.6 д (Ar-С3F, J 245.0 Гц), 161.45 (C²=O), 152.66 (C³), 139.91 д (Ar-C⁵H, J 6.8 Гц), 137.70 (Ar), 137.32 (Ar), 131.06 д (Ar-С1H, J 7.0 Гц), 131.01 (Ar), 128.69 (Ar), 124.27 д (Ar-C⁶H), 119.00 (C⁴), 115.65 д (Ar-C²H, J 21.3 Гц), 115.08 д (Ar-C⁴H, J 21.8 Гц), 61.10 (C⁵), 48.30 (CγH₂), 27.27 (CβH), 20.49 (CγH₃), 20.19 (CγH₃). Спектр ЯМР 19F (ДМСО-d6): δF –112.79 м. д. Найдено, %: C 65.00; H 4.85; N 3.55. C21H19ClFNO3. Вычислено, %: C 65.04; H 4.94; N 3.61.
3-Гидрокси-1-изобутил-4-(4-метилбензоил)-5-(пиридин-3-ил)-3-пирролин-2-он (1к). Выход 67%, т. пл. 241–243°C. ИК спектр, ν, см⁻¹: 1620 (C=O), 1686 (CNO), 3136 (C³OH). Спектр ЯМР ¹H (ДМСО-d6), δ, м. д.: 11.69 уш. с (1H, C³OH), 8.60 д (1H, CHпиридин J 2.0 Гц), 8.48 д. д (1H, CHPy, J 4.8, 1.8 Гц), 7.72 д. т (1H, CHPy, J 7.9, 1.9 Гц), 7.62 д (2H, о-CHбензоил, J 8.2 Гц), 7.34 д. д (1H, CHPy, J 7.7, 4.7 Гц), 7.24 д (2H, м-CHбензоил, J 7.9 Гц), 5.50 с (1H, C⁵Hпиррол), 3.37 д. д (1H, CαHAHB, J 13.7, 8.9 Гц), 2.54 д. д (1H, CαHAHB, J 13.7, 6.1 Гц), 2.34 с (3H, CH₃-Ar), 1.87–1.75 м (1H, CβH), 0.80 д (3H, CγH₃, J 6.6 Гц), 0.76 д (3H, CγH₃, J 6.6 Гц). Спектр ЯМР ¹³C (ДМСО-d6), δC, м. д.: 188.40 (C=Oбензоил), 165.47 (C²=O), 149.40 (C³), 142.73 (Ar), 135.33 (Ar), 134.81 (Ar), 132.18 (Ar), 128.74 (Ar), 128.52 (Ar), 123.69 (Ar), 118.77 (C⁴), 58.97 (C⁵), 47.73 (CγH₂), 26.73 (CβH), 21.01 (CH₃), 19.87 (CγH₃), 19.61 (CγH₃). Найдено, %: C 71.75; H 6.25; N 6.55. C21H22N2O3. Вычислено, %: C 71.98; H 6.33; N 7.99.
3-Гидрокси-1-изобутил-5-(4-(N,N-диметиламино)фенил)-4-(4-метилбензоил)-3-пирролин-2-он (1л). Выход 67%, т. пл. 254–255°C. ИК спектр, ν, см⁻¹: 1617 (C=O), 1682 (CNO), 3137 (C³OH). Спектр ЯМР ¹H (ДМСО-d6), δ, м. д.: 11.33 уш. с (1H, C³OH), 7.61 д (2H, о-CHбензоил, J 8.0 Гц), 7.25 д (2H, м-CHбензоил, J 7.9 Гц), 7.08 д (2H, о-CHбензоил, J 8.8 Гц), 6.63 д (2H, м-CHбензоил, J 8.9 Гц), 5.33 с (1H, C⁵Hпиррол), 3.33 д. д (1H, CαHAHB, J 13.6, 8.9 Гц), 2.84 с [6H, N(CH₃)₂], 2.50 д. д (1H, C, CαHAHB, J 13.0, 6.0 Гц), 2.35 с (3H, CH₃-Ar), 1.90–1.77 м (1H, CβH), 0.81 д (3H, CγH₃, J 6.7 Гц), 0.77 д (3H, CγH₃, J 6.6 Гц). Спектр ЯМР ¹³C (ДМСО-d6), δC, м. д.: 188.68 (C=Oбензоил), 165.15 (C²=O), 150.07 (C³), 149.96 (Ar), 142.74 (Ar), 135.29 (Ar), 128.82 (Ar), 128.56 (Ar), 128.12 (Ar), 122.34 (Ar), 119.93(C⁴), 118.21 (Ar), 112.09 (Ar), 60.90 (C⁵), 47.28 (CγH₂), 39.79 (N(CH₃)₂), 26.83 (CβH), 21.01(CH₃-Ar), 20.00 (CγH₃), 19.66 (CγH₃). Найдено, %: C 72.75; H 6.75; N 6.55. C24H28N2O3. Вычислено, %: C 73.44; H 7.19; N 7.14.
Оценку антибактериальной активности проводили in vitro методом двукратных серийных разведений в жидкой питательной среде [9, 10]. В качестве тест-культур использовали эталонные штаммы Staphylococcus aureus ATCC 6538-P и Escherichia coli ATCC 25922.
Соединения 1а–з массой 0.05 г растворяли в 5 мл ДМСО, получая основной раствор вещества в концентрации 10⁴ мкг/мл. Данный раствор служил основой для рабочего раствора, имеющего концентрацию 2∙10³ мкг/мл, который последовательно разводили двукратно в жидкой питательной среде в ряду из 10 пробирок. Концентрация исследуемых соединений в первой пробирке ряда разведений в питательной среде составляла 1000.0 мкг/мл. Для определения антибактериальной активности использовали питательный бульон (Государственный научный центр прикладной микробиологии и биотехнологии, Оболенск) и типовые суточные культуры, выращенные на питательном агаре. Концентрация микробных клеток в опыте составила (2–5)∙10⁵ КОЕ/мл. В качестве положительного контроля использовали питательную среду с внесенной исследуемой культурой. В качестве отрицательного контроля использовали интактную питательную среду. Посевы инкубировали в термостате при температуре 35±2.0°C. Оценку роста бактерий проводили визуально через 18–24 ч инкубирования. В качестве значения МПК (минимальной подавляющей концентрации) принимали наименьшую концентрацию соединения, при которой отсутствует видимый рост тест-организма. Антибактериальный эффект соединений сравнивали с действием диоксидина (ОАО «Новосибхимфарм», Россия) [11].
Оценку противогрибковой активности in vitro проводили аналогично методом двукратных серийных разведений в жидкой питательной среде [9, 10]. В качестве тест-культуры использовали эталонный штамм C. albicans АТСС 885-653.
Соединения 1а–з массой 0.05 г растворяли в 5 мл ДМСО, получая основной раствор вещества в концентрации 10⁴ мкг/мл. Данный раствор служил основой для рабочего раствора, имеющего концентрацию 2∙10³ мкг/мл, который последовательно разводили двукратно в жидкой питательной среде в ряду из 10 пробирок. Концентрация исследуемого соединения в первой пробирке ряда разведений в питательной среде составляла 1000.0 мкг/мл. Для определения противогрибковой активности использовали бульон Сабуро (Государственный научный центр прикладной микробиологии и биотехнологии, Оболенск). Для приготовления взвеси дрожжевых культур применяли двухсуточные культуры, выращенные на агаре Сабуро. Концентрация микробных клеток в опыте составила (2–5)∙10⁴ КОЕ/мл. В качестве положительного контроля использовали питательную среду с внесенной исследуемой культурой. В качестве отрицательного контроля использовали интактную питательную среду. Посевы инкубировали в термостате при температуре 25±2.0°C. Оценку противогрибковой активности осуществляли визуально через 40–48 ч инкубирования. В качестве значения МПК (минимальной подавляющей концентрации) принимали концентрацию соединения в последней прозрачной пробирке серии разведения. Противогрибковый эффект соединений сравнивали с действием флуконазола (ЗАО «Медисорб», Россия) [12].
ФИНАНСОВАЯ ПОДДЕРЖКА
Исследование выполнено при финансовой поддержке Пермского научно-образовательного центра «Рациональное недропользование», 2024 год.
КОНФЛИКТ ИНТЕРЕСОВ
Авторы заявляют об отсутствии конфликта интересов.
Об авторах
Владимир Леонидович Гейн
Пермская государственная фармацевтическая академия Министерства здравоохранения Российской Федерации
Автор, ответственный за переписку.
Email: geinvl48@mail.ru
ORCID iD: 0000-0002-8512-0399
Россия, Пермь, 614990
Д. Г. Дианова
Пермская государственная фармацевтическая академия Министерства здравоохранения Российской Федерации
Email: geinvl48@mail.ru
Россия, Пермь, 614990
О. О. Сенокосова
Пермская государственная фармацевтическая академия Министерства здравоохранения Российской Федерации
Email: geinvl48@mail.ru
Россия, Пермь, 614990
Наталья Владимировна Носова
Пермская государственная фармацевтическая академия Министерства здравоохранения Российской Федерации
Email: geinvl48@mail.ru
ORCID iD: 0000-0001-6380-2543
Россия, Пермь, 614990
Евгения Анатольевна Булдакова
Пермская государственная фармацевтическая академия Министерства здравоохранения Российской Федерации
Email: geinvl48@mail.ru
ORCID iD: 0000-0003-2489-2261
Россия, Пермь, 614990
Иван Геннадьевич Мокрушин
Пермский государственный национальный исследовательский университет
Email: geinvl48@mail.ru
ORCID iD: 0000-0002-4095-8366
Россия, Пермь, 614068
Список литературы
- Марьясов М.А., Гейн В.Л. Тетрагидропиррол-2,3-дионы. Пермь: ПГФА, 2013. 155 с.
- Машковский М.Д. Лекарственные средства. М.: Новая волна, 2024. 1216 с.
- Cusumano, A.Q., Pierce J.G. // Bioorg. Med. Chem. Lett. 2018. Vol. 28. N 16. Р. 2732. doi: 10.1016/j.bmcl.2018.02.047
- López-Pérez A., Freischem S., Grimm I., Weiergräber O., Dingley A.J., López-Alberca M.P., Waldmann H., Vollmer W., Kumar K., Vuong C. // Antibiotics. 2021. Vol. 10. N 5. Р. 529. doi: 10.3390/antibiotics10050529
- Ma K., Wang Р., Fu W., Wan X., Zhou L. Chu Y., Ye D. // Bioorg. Med. Chem. Lett. 2011. Vol. 21. N 22. P. 6724. doi: 10.1016/j.bmcl.2011.09.054
- Tobinaga H., Kameyama T., Asahi K., Oohara M., Kobayashi N., Ohdan M., Ishizuka N., Kume M., Tomari M., Tanaka Y., Takahashi F., Kinoshita H., Shimada S., Shinohara S., Kai H. // Bioorg. Med. Chem. Lett. 2018. Vol. 28. N 13. Р. 2338. doi: 10.1016/j.bmcl.2017.04.060
- Nguyen N.T., Dai V.V., Mechler A., Hoa N.T., Vo Q.V. // RSC Adv. 2022. Vol. 12. N 38. Р. 24579. doi: 10.1039/d2ra04640g
- Reddy T.R.K., Li С., Guo X, Myrvang X.K., Fischer P.M., Dekker L.V. // J. Med. Chem. 2011. Vol. 54. N 7. P. 2080. doi: 10.1021/jm101212e.
- Руководство по проведению доклинических исследований лекарственных средств. / Под ред. А.Н. Миронова. М.: Гриф и К, 2012. Ч. 1. 944 с.
- Руководство по экспериментальному (доклиническому) изучению новых фармакологических веществ / Под ред. Р.У. Хабриева. М.: Медицина, 2005. 832 с.
- Падейская Е.Н. // Инфекции и антимикроб. терапия. 2001. Т. 3. Вып. 5. С. 150.
- Cordeiro R.A., Teixeira C.E.C., Brilhante R.S.N., Castelo-Branco D.S., Paiva M.A., Giffoni Leite J.J., Lima D.T., Monteiro A.J., Sidrim J.J., Rocha M.F. // Med. Mycol. 2013. Vol. 51. N 1. Р. 53. doi 10.3109/ 13693786.2012.692489




