Особенности иодметилирования S-силилорганилпроизводных меркаптоазолов α-иодкетонами
- Авторы: Ярош Н.О.1, Жилицкая Л.В.1, Дорофеев И.А.1
-
Учреждения:
- Иркутский институт химии имени А. Е. Фаворского Сибирского отделения Российской академии наук
- Выпуск: Том 94, № 3 (2024)
- Страницы: 410-418
- Раздел: Статьи
- URL: https://journal-vniispk.ru/0044-460X/article/view/261509
- DOI: https://doi.org/10.31857/S0044460X24030113
- EDN: https://elibrary.ru/FYFZIM
- ID: 261509
Цитировать
Полный текст
Аннотация
Реакцией иодметилирования 2/3-[диметил(фенил)силилметилтио]-1,3-бензимидазола или -1,2,4-триазола α-иодкетонами алифатического и ароматического рядов в отсутствие основных сред и растворителей получены неизвестные ранее соли на основе 2/3-меркаптоазоливых катионов. Реакция 2-[диметил(фенил)силилметилтио]-1,3-бензоксазола с α-иодкетонами приводит к бис(бензоксазол-2-ил)дисульфоний-производным.
Полный текст
ВВЕДЕНИЕ
Недавно нами была изучена реакция кватернизации S-органилсилилмеркаптобензотиазола α-иодкетонами c алифатическим, ароматическим и гетероароматическим заместителями [1]. Благодаря высокой реакционной способности связи С–I в иодкетонах алкилирование и образование продуктов протекает в условиях «зеленой» химии (в отсутствие основных сред, растворителей и катализаторов). Эта реакция легла в основу метода синтеза новых серосодержащих кремнийорганических солей – трииодидов на основе 2-меркаптобензотиазолиевых катионов. Обоснованность получения солевых форм определяется растущим интересом к солям гетероциклических соединений и широким диапазоном их применения: от ионных жидкостей [2], поверхностно-активных антисептиков, сельскохозяйственных химикатов [3–5], катализаторов [4, 5] до реагентов и прекурсоров в органическом, элементоорганическом и фармацевтическом синтезе [6–9]. К началу наших исследований сведения об исчерпывающем алкилировании других кремнийорганических производных меркаптоазолов, а именно 2-меркаптобензимидазола, 2-меркаптобензоксазола и 3-меркапто-1,2,4-триазола в отсутствие основных сред и растворителей, отсутствуют. Внимание к этим производным предопределено их ценными свойствами. Приведем лишь несколько опубликованных примеров биологической активности этих производных [10–16]. Их кремнийорганические производные являются ценными реагентами [17] и строительными блоками в синтезе силатранов, оказывающих эффективное инсектицидное и нематоцидное действие [18], силсесквиоксанов, обладающих избирательной сорбционной активностью по отношению к золоту, палладию, платине в высших степенях окисления [19]. Исходя из этого, получение и изучение свойств гетероциклических соединений с различным сочетанием функций, обуславливающих предпосылки для конструирования соединений с практически полезными свойствами, является важным направлением современного органического и кремнийорганического синтеза.
РЕЗУЛЬТАТЫ И ОБСУЖДЕНИЕ
Основной путь синтеза кремнийорганических производных меркаптоазолов основан на реакции каталитического S-алкилирования меркаптоазолов или их S-натриевых солей с триорганил(хлоралкил)силанами в системе бензол–ДМФА [20, 21] или (иодметил)силанами в присутствии или в отсутствие основных сред без катализатора [17, 22].
Цель настоящего исследования – изучение реакций исчерпывающего алкилирования кремнийорганических меркаптопроизводных бензазолов и триазолов в одну препаративную стадию и получение иодидных солей на их основе. Для этого синтезированы кремнийорганические меркаптопроизводные бензазолов и триазола 1а–в взаимодействием коммерчески доступных 2-меркаптобензимидазола, 2-меркаптобензоксазола и 3-меркапто-1,2,4-триазола с 1-(иодметил)диметил(фенил)силаном в присутствии мягкого основания (2,4,6-триметилпиридина) без растворителя в течение 3–5 ч [17] (схема 1). Роль растворителя выполнял кремнийорганический алкилирующий агент.
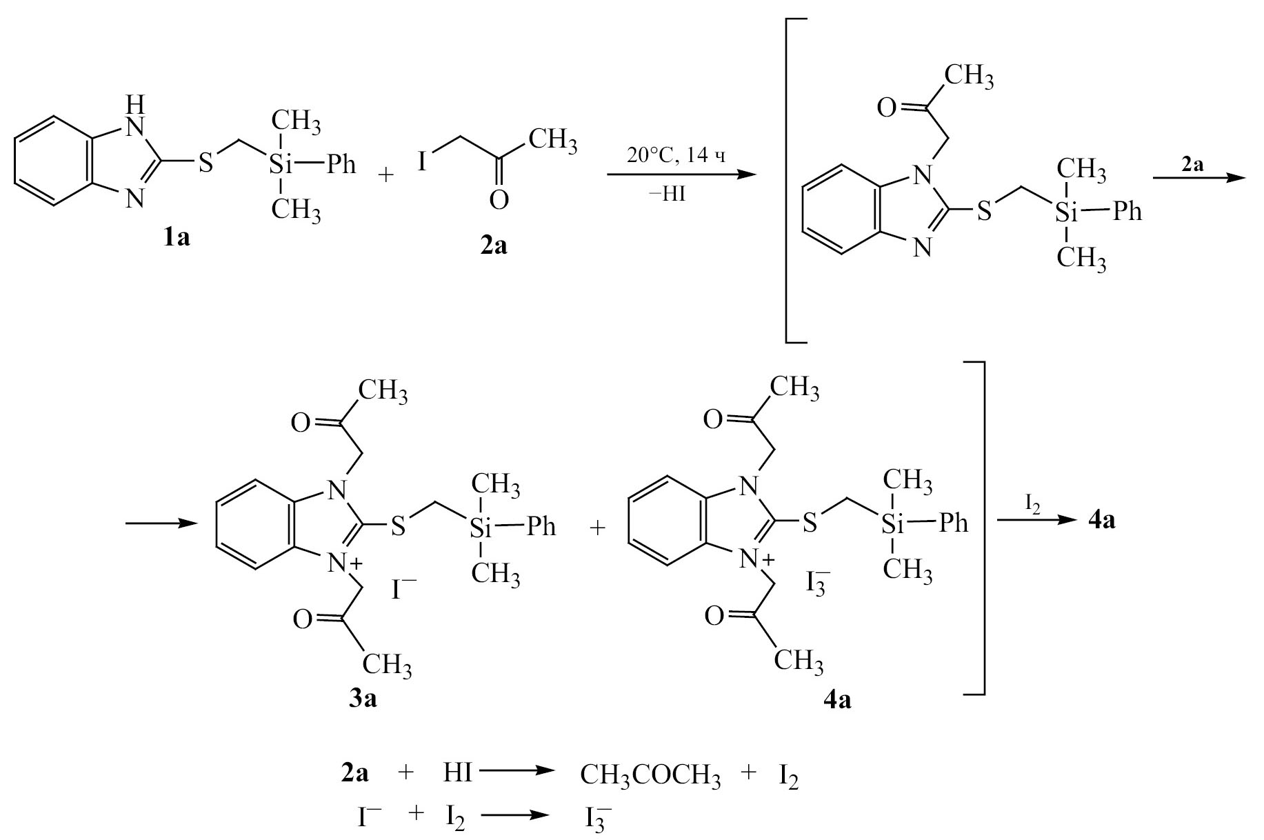
Основываясь на предложенном нами методе получения кремнийорганических трииодидов на основе 2-меркаптобензотиазола [1], соединения 1а–в были вовлечены в реакцию алкилирования с α-иодкетонами, содержащими алкильный и ароматический заместители.
Схема 1.
Взаимодействие 2-[диметил(фенил)силилметилтио]-1,3-бензимидазола 1а с 1-иод-пропан-2-оном 2а в соотношении 1:2 в отсутствие растворителя и основания при комнатной температуре приводит к образованию (по данным УФ спектроскопии) смеси моно- и трииодидов 2-[диметил(фенил)силилметилтио]-1,3-бис(2-оксопропил)бензимидазолия 3а и 4а в одну препаративную стадию (схема 2). Полная конверсия реагентов достигается за 14 ч. В отсутствие растворителя смесь гомогенизируется за счет исходного иодкетона. Трииодид-анион соли 4а формируется из иодид-аниона соли 3а и молекулярного иода, генерируемого в реакционной смеси in situ при частичном восстановлении исходного иодметилкетона выделившимся в процессе алкилирования иодоводородом. Как было показано ранее, разделение смеси моно- и трииодидов не вызывает затруднений [23, 24] вследствие существенного различия их растворимости в ацетоне. При его добавлении к реакционной смеси моноиодиды легко осаждаются, что позволяет выделить их в чистом виде. Введение же в органическую молекулу атома кремния изменяет растворимость соединений, что не позволяет разделить моно- и триииодиды 3а и 4а, поэтому смесь продуктов далее обрабатывали молекулярным иодом. Выход соли 4а составил 59% (схема 2).
Схема 2.
Реакция протекает по пиррольному и пиридиновым атомам азота, о чем свидетельствует появление в спектрах ЯМР ¹H и ¹³C дополнительных сигналов, отвечающих новым группировкам CH₂ в соединении 4а. В спектре ¹H–¹³C HMBC сигналу атома углерода метиленового фрагмента у атома азота при 56.56 м. д. отвечает дублет с центром при 5.91 м. д., соответствующий протонам метиленового фрагмента (1JНС 149.1 Гц). Кроме того, сигнал протонов CH₂-группы при атоме азота дает кросс-пики с сигналами углерода при 133.15, 152.73 и 199.42 м. д., отвечающие атомам углерода C⁸,9 и C² бензимидазольного цикла и карбонильной группы соответственно. В спектре также присутствует сигнал протона метиленового фрагмента при атоме серы (2.76 м. д.), коррелирующий с сигналами углерода при 135.90 и 152.73 м. д., отвечающими атомам углеродам Сi фенильного заместителя при атоме кремния и C² бензимидазольного фрагмента.
Во избежание образования смеси иодидов взаимодействие бензимидазола 1а с 2-иод-1-п-толил-этан-1-оном 2б проводили в присутствии элементного иода (схема 3).
Схема 3.
Реакция N-1,3-диалкилирования 2-меркаптопроизводного бензимидазола с иодметилкетоном 2б протекает аналогично. Выход трииодида 2-[диметил(фенил)силилметилтио]-1,3-бис[2-(4-метилфенил)-2-оксоэтил]бензимидазолия 4б составил 56%.
При замене бензимидазольного фрагмента в соединении 1а на бензоксазольный алкилирование по атому азота становится минорным процессом. При взаимодействии 2-[диметил(фенил)силилметилтио]1,3-бензоксазола 1б с иодкетоном 2а в аналогичных условиях трииодид 2-[диметил(фенил)силилметилтио]3-(2-оксопропил)-1,3-бензоксазолия 5 образуется с незначительным выходом (12%). Основным соединением неожиданно оказался продукт, не содержащий кремнийорганический фрагмент, а именно полииодид 1,2-бис(бензоксазол-2-ил)-1,2-бис[(4-метилфенил)-2-оксоэтил]дисульфоний-дикатиона 6а (схема 4).
Схема 4.
Его физико-химические характеристики совпали с таковыми для синтезированного нами ранее по реакции 2-меркаптобензоксазола или ди(2-бензоксазолил)дисульфида с 1-иод-пропан-2-оном [25]. Разделить иодиды 5 и 6а удалось с помощью колоночной хроматографии.
Бензоксазол 1б с 2-иод-1-п-толил-этан-1-оном 2б в этих условиях не реагирует. При повышении температуры реакции соединения 1б с кетоном 2б до 45°C полная конверсия достигается за 20 ч. Однако в этих условиях продукт N-алкилирования зафиксирован лишь в следовых количествах, основным продуктом являлся неизвестный ранее полииодид 1,2-бис(бензоксазол-2-ил)-1,2-бис[(4-метилфенил)-2-оксоэтил]дисульфоний-дикатионa 6б (схема 5).
Схема 5.
Образование дикатиона 6б подтверждается наличием в спектре ¹H–¹³C HMBC соединения 6б углеродного сигнала метиленового фрагмента у атома серы при 48.79 м. д., коррелирующего с дублетом при 5.49 м. д., соответствующим протонам CH₂-группы (1JНС 140.0 Гц). Кроме того, сигнал протонов метиленовой группы при атоме серы (5.49 м. д.) дает кросс-пики с сигналами углерода при 132.50, 158.48 и 191.76 м. д., отвечающими атомам углерода Сi-толильного заместителя, C² бензимидазольного фрагмента и карбонильной группы соответственно. При этом отсутствует корреляция протонов метиленового фрагмента с атомом углерода C⁹ бензоксазольного цикла. Кроме того, в данных элементного анализа соединений 6а и 6б отсутствует кремний. Все эти сведения подтверждают направление алкилирования по атому серы и образование S–S-дикатионных систем.
Образование продуктов S-алкилирования 6а и 6б, вероятно, связано с более высокой электроотрицательностью атома кислорода в бензоксазольном фрагменте. Атом кислорода оттягивает на себя электронную плотность, снижая нуклеофильность атома азота, и реакция бензоксазольного производного 1б с иодкетонами частично протекает по атому серы с образованием неустойчивой сульфониевой соли (аддукт А), которая далее при элиминировании иодметилсилана превращается в полииодид 6б с выходом 23% (схема 4). Низкий выход продукта реакции связан с расходованием исходного иодметилкетона на образование трииодид-аниона вследствие протекания in situ параллельных реакций олигомеризации, превращений с кетоном, особенно при длительном нагревании на свету, и образования молекулярного иода (cхема 6) [26].
Схема 6.
Появление молекулярного иода в реакционной смеси приводит к образованию трииодид-анионов. Последние, как показали квантово-химические расчеты, стабилизируют дисульфоний-дикатионы [27]. Вероятно, наличие в реакционной смеси достаточного количества молекулярного иода, образующегося при восстановлении α-иодкетона иодоводородом, возникает также вследствие повышенной СН-кислотности метиленового фрагмента исходного соединения 1б.
Для увеличения выхода продукта реакция алкилирования проведена в присутствии элементного иода (схема 5). Выход соли 6б составил 49%.
Реакция 3-[диметил(фенил)силилметилтио]-1,2,4-триазола 1в с α-иодкетонами 2а, б протекает аналогично взаимодействию бензимидазола 1а. Кетоалкилирование проходит исчерпывающе по двум атомам азота с образованием смеси моно- и трииодида 3-[диметил(фенил)силилметилтио]-2,4-бис(2-оксопропил)-1,2,4-триазолия 7а, 8а и 3-[диметил(фенил)силилметил]тио-2,4-бис[2-(4-метилфенил)-2-оксоэтил]-1,2,4-триазолия 7б, 8б, которые обрабатывали молекулярным иодом в ацетоне, получая соответствующие трииодиды триазолия 8а, б с выходом 51 и 48% (схема 7).
Схема 7.
Соединения 4а, б, 5 представляют собой темно-красные порошки, растворимые в хлороформе. Полииодиды 6а, б и 8а, б – темно-красные масла, растворимые в ацетоне и хлороформе соответственно. Соединения 8а, б можно отнести к кремнийорганическим ионным жидкостям на основе триазолиевых катионов, которые могут найти применение в качестве ПАВ, растворителей органических, биоорганических и неорганических веществ [28, 29]. Состав и строение соединений 4а, б, 5, 6а, б и 8а, б подтверждены данными элементного анализа, ЯМР и УФ спектроскопии. В УФ спектрах синтезированных соединений наблюдаются характерные для аниона I3– полосы поглощения в области 191–192 и 360–362 нм [30].
ВЫВОДЫ
Таким образом, иодметилированием S-силилорганилпроизводных меркаптоазолов с органическими α-иодкетонами в мягких условиях в отсутствие растворителей и оснований получены полииодиды органических и кремнийорганических меркаптопроизводных бензазолов и триазолов. Показано, что направление алкилирования зависит от природы гетероцикла. В случае кремнийсодержащего 2-меркаптобензоксазола алкилирование протекает преимущественно с формированием кислородсодержащих гетероциклических S–S-дикатионных систем.
ЭКСПЕРИМЕНТАЛЬНАЯ ЧАСТЬ
Спектры ЯМР 1H, 13С, 29Si регистрировали на приборе Bruker DPX-400 (Германия) с рабочими частотами 400.13 (1Н), 100.61 (13С), 79.5 (29Si) МГц соответственно. В качестве растворителей использовали CDCl3 или Me2CO-d6. Химические сдвиги приведены относительно остаточных сигналов дейтерорастворителя. Отнесение сигналов ¹H и 13C в спектрах выполнено методами 2D гетероядерной корреляции HMBC-gp 13C–1H. УФ-спектры записаны на спектрометре UV-Vis Lambda 35 в МеСN. Элементный анализ выполнен на автоматическом CHNS-анализаторе Thermo Scientific Flash 2000 (Великобритания). Содержание иода определено меркурометрическим методом объемного анализа. Температуры плавления определены на приборе Micro-Hot-Stage PolyTherm A (Германия). Ход реакций контролировали по данным ЯМР 1Н, 13С и методом ТСХ на пластинах Silufol UV-254 (элюент – ацетон, хлороформ, визуализация хроматограмм парами иода).
1-(Иодметил)диметил(фенил)силан 2а получен ранее [32].
Взаимодействие 2/3-меркаптопроизводных бензимидазола, -бензоксазола, -1,2,4-триазола с 1-(иодметил)диметил(фенил)силаном (общая методика). Смесь 0.012 моля 2/3-меркаптопроизводного бензимидазола, бензоксазола или -1,2,4-триазола, 0.012 моля 1-(иодметил)диметил(фенил)силана и 0.012 моля 2,4,6-триметилпиридина перемешивали при температуре 60–65°С 3 ч до полной конверсии 2-меркаптоазолов. Затвердевшую реакционную массу растворяли в 10 мл ацетона. Соль отфильтровывали, промывали диэтиловым эфиром. Растворители из фильтрата удаляли при пониженном давлении, остаток растворяли в ацетоне и очищали колоночной хроматографией на силикагеле, используя ацетон в качестве элюента. После испарения растворителя твердый остаток соединений 1а–в сушили в вакууме. Физико-химические характеристики cоединений 1а–в совпадали с литературными данными [17].
Взаимодействие меркаптопроизводных 1а–в с иодметилкетонами 2а, б (общая методика). Смесь 2.00 ммоль кремнийорганических производных меркаптоазолов 1а, в и 4.00 ммоль 1б и 4.00 ммоль иодкетона 2а, б перемешивали при комнатной температуре (для соединений 1а, с) и при 45°С (для соединения 1б) в течение 14–21 ч. Смесь продуктов (3а, б и 4a, б), (7а, б и 8a, б) перемешивали с 2 ммоль элементного иода. По окончании реакции остаток осаждали 35 мл гексана, промывали охлажденным диэтиловым эфиром и сушили в вакууме. Смесь продуктов 5 и 6а разделяли колоночной хроматографией (элюент – хлороформ, ацетон). После испарения растворителя твердый остаток соединений 5 и 6а сушили в вакууме.
Трииодид 2-[диметил(фенил)силилметилтио]-1,3-бис(2-оксопропил)бензимидазолия (4а). Выход 0.93 г (59%), темно-красный порошок, т. пл. 144–145°С. Спектр ЯМР 1H (ацетон-d6), δ, м. д. (J, Гц): 0.50 с (6H, СH3), 2.46 с (6H, СОСH3), 2.76 с (2H, SCH2), 5.91 c (4H, CH2N), 7.42–7.50 м (3H, Ph), 7.62–7.69 м (2H, Ph), 7.70–7.76 м (2H, Ph), 7.93–8.00 м (2H, Ph). Спектр ЯМР 13C (ацетон-d6), δС, м. д.: –3.53 (СH3), 22.03 (СH2S), 27.71 (COCH3), 56.56 (NCH2), 114.28 (C4,7), 128.58 (Cm), 129.07 (C5,6), 130.99 (Cp), 133.15 (C8,9), 134.69 (Co), 135.90 (Ci), 152.73 (C2), 199.42 (CO). Спектр ЯМР 29Si (ацетон-d6): δSi –2.0 м. д. УФ cпектр (CH3CN), λmax, нм: 292, 362. Найдено, %: С 33.14; Н 3.40; I 47.74; N 3.27; S 4.15; Si 3.46. С22Н27I3N2О2SSi. Вычислено, %: С 33.35; Н 3.44; I 48.05; N 3.54; S 4.04; Si 3.54.
Трииодид 2-[диметил(фенил)силилметилтио]-1,3-бис[2-(4-метилфенил)-2-оксоэтил]бензимидазолия (4б). Выход 1.06 г (56%), темно-красный порошок, т. пл. 123–125°С. Спектр ЯМР 1H (CDCl3), δ, м. д. (J, Гц): 0.42 с (6H, SiСH3), 2.46 с (6H, СH3), 2.84 с (2H, SCH2), 5.96 c (4H, CH2N), 7.28–7.78 м (13H, Ar), 8.05 д (4H, CH-Tol, 3JНН 8.2 Гц). Спектр ЯМР 13C (CDCl3), δС, м. д.: –2.37 (SiСH3), 19.33 (СH2S), 22.69 (CH3), 51.82 (NCH2), 114.20 (C4,7), 128.89 (Cm), 128.97 (C5,6), 129.83 (CTol), 130.56 (Cp), 133.78 (CTol), 134.46 (C8,9), 134.60 (Co), 135.58 (Ci), 139.28 (CTol), 144.40 (CTol), 154.97 (C2), 192.21 (CO). Спектр ЯМР 29Si (CDCl3): δSi –2.4 м. д.. УФ cпектр (CH3CN), λmax, нм: 291, 362. Найдено, %: С 43.01; Н 3.44; I 41.14; N 3.07; S 3.51; Si 2.66. С34Н35I3N2О2SSi. Вычислено, %: С 43.24; Н 3.74; I 40.31; N 2.97; S 3.39; Si 2.97.
Трииодид 2-[диметил(фенил)силилметилтио]-3-(2-оксопропил)-1,3-бензоксазолия (5). Выход 0.18 г (12%), темно-красный порошок, т. пл. 118–119°С. Спектр ЯМР 1H (CDCl3, δ, м. д. (J, Гц): 0.65 c (6H, SiCH3), 2.61 с (3H, СH3), 3.12 c (2H, SCH2), 5.48 с (2H, CH2), 7.11 д. д (1Н, H5, 3JНН 7.0, 8.1 Гц), 7.43–7.54 м (2Н, Н4,6), 7.72 д (1H, H7, 3JНН 7.6 Гц). Спектр ЯМР 13C (CDCl3), δС, м. д.: –3.58 (SiСH3), 17.86 (SCH2), 27.60 (CH3), 51.50 (NCH2), 108.81 (C4), 110.47 (C7), 123.26 (C6), 124.42 (C5), 128.51 (Co), 129.55 (Cp), 133.93 (Cm), 134.18 (Ci), 136.17 (C9), 142.71 (C8), 179.82 (C2), 195.31 (C=O). Спектр ЯМР 29Si (CDCl3): δSi –2.1 м. д. УФ cпектр (CH3CN), λmax, нм: 292, 361. Найдено, %: С 30.49; Н 2.81; I 50.76; N 1.87; S 4.10; Si 3.99. С19Н22I3NO2SSi. Вычислено, %: С 30.95; Н 3.01; I 51.64; N 1.90; S 4.35; Si 3.81.
Полиодид 1,2-бис(бензоксазол-2-ил)-1,2-бис[(4-метилфенил)-2-оксоэтил]дисульфоний-дикатиона (6б). Выход 0.65 г (49%), темно-красное масло. Спектр ЯМР 1H (ацетон-d6), δ, м. д. (J, Гц): 2.44 с (3H, СH3), 5.49 с (2H, CH2), 7.13–7.21 м (3Н, Н-Ph), 7.28–7.38 м (1Н, Н-Ph), 7.30 д (2H, Hо, 3JНН 7.8 Гц), 7.42 д (2H, Hm, 3JНН 7.8 Гц). Спектр ЯМР 13C (ацетон-d6), δС, м. д.: 21.60 (СH3), 48.79 (NCH2), 109.97 (C4), 110.34 (С7), 123.13, 124.64 (С5,6), 129.11 (Сo), 130.29 (C9), 130.32 (Cm), 132.50 (Ci), 143.57 (C8), 145.86 (Cp), 158.48 (C2), 191.76 (С=О). УФ cпектр (CH3CN), λmax, нм: 292, 362. Найдено, %: С 28.49; Н 1.81; I 56.76; N 2.17; S 4.78. С32Н26I6O4N2S2. Вычислено, %: С 28.94; Н 1.97; I 57.33; N 2.11; S 4.83.
Трииодид 3-[диметил(фенил)силилметилтио]-2,4-бис(2-оксопропил)-1,2,4-триазолия (8а). Выход 0.75 г (51%), темно-красное масло. Спектр ЯМР 1H (CDCl3), δ, м. д. (J, Гц): 0.44 с (6H, СH3), 2.45 с (6H, СОСH3), 2.78 с (2H, SCH2), 5.27 c (2H, CH2N), 5.52 c (2H, CH2N), 7.37–7.48м (5H, Ph), 9.79 с (1H, СН5). Спектр ЯМР 13C (CDCl3), δС, м. д.: –3.09 (SiСH3), 18.02 (СH2S), 28.46, 28.52 (СОCH3), 56.56, 62.02 (NCH2), 128.36 (Cm), 130.30 (Cp), 134.16 (Co), 135.00 (Ci), 145.60 (C5), 158.06 (C2), 196.54 (CO). Спектр ЯМР 29Si (CDCl3): δSi –3.1 м. д. УФ cпектр (CH3CN), λmax, нм: 292, 362. Найдено, %: С 26.84; Н 3.44; I 50.74; N 5.37; S 4.55; Si 3.46. С17Н24I3N3О2SSi. Вычислено, %: С 27.47; Н 3.25; I 51.22; N 5.65; S 4.31; Si 3.78.
Трииодид 3-[диметил(фенил)силилметилтио]-2,4-бис[2-(4-метилфенил)-2-оксоэтил]-1,2,4-триазолия (8б). Выход 0.82 г (48%), темно-красное масло. Спектр ЯМР 1H (CDCl3), δ, м. д. (J, Гц): 0.47 с (6H, SiСH3), 2.46 с (3H, СH3), 2.47 с (3H, СH3), 2.80 с (2H, SCH2), 5.88 c (2H, CH2N), 6.11 c (2H, CH2N), 7.35–7.40 м (5H, Ph, СН-Тоl, 7.53 д (2Н, СН-Тоl, 3JНН 7.9 Гц), 7.87 д (2H, СН-Тоl, 3JНН 7.9 Гц), 7.94–7.99 м (4H, Ph, СН-Тоl), 9.89 с (1H, СН5). Спектр ЯМР 13C (CDCl3), δС, м. д.: –3.12 (SiСH3), 18.14 (СH2S), 22.09, 22.06 (CH3), 54.21, 59.58 (NCH2), 128.35(CTol), 129.02(CpPh), 130.21, 130.27, 133.74 (CPh,Tol), 146.36, 146.72, 146.93 (CiPh,Tol), 144.14 (CpTol), 151.79 (C2), 187.20, 187.22 (CO). Спектр ЯМР 29Si (CDCl3): δSi –2.5 м. д. УФ cпектр (CH3CN), λmax, нм: 291, 362. Найдено, %: С 38.74; Н 3.44; I 42.74; N 4.47; S 3.55; Si 3.26. С29Н32I3N3О2SSi. Вычислено, %: С 38.90; Н 3.60; I 42.52; N 4.69; S 3.58; Si 3.14.
БЛАГОДАРНОСТЬ
Исследования выполнены с использованием материально-технической базы Байкальского аналитического центра коллективного пользования СО РАН. Авторы выражают благодарность Зинченко С.В. за снятие двумерных спектров HMBC ¹H –¹³C.
КОНФЛИКТ ИНТЕРЕСОВ
Авторы заявляют об отсутствии конфликта интересов.
Об авторах
Нина Олеговна Ярош
Иркутский институт химии имени А. Е. Фаворского Сибирского отделения Российской академии наук
Email: lara_zhilitskaya@irioch.irk.ru
ORCID iD: 0000-0002-8096-4656
Россия, Иркутск, 1664033
Лариса Владимировна Жилицкая
Иркутский институт химии имени А. Е. Фаворского Сибирского отделения Российской академии наук
Автор, ответственный за переписку.
Email: lara_zhilitskaya@irioch.irk.ru
ORCID iD: 0000-0002-6076-5924
Россия, Иркутск, 1664033
Иван Афанасьевич Дорофеев
Иркутский институт химии имени А. Е. Фаворского Сибирского отделения Российской академии наук
Email: lara_zhilitskaya@irioch.irk.ru
ORCID iD: 0000-0003-4646-6554
Россия, Иркутск, 1664033
Список литературы
- Ярош Н.О., Жилицкая Л.В., Дорофеев И.А. // ЖОХ. 2023. Т. 93. С. 226; Yarosh N.O., Zhilitskaya L.V., Dorofeev I.A. // Russ. J. Gen. Chem. 2023. Vol. 93. Р. 286. doi: 10.1134/S1070363223020081
- Сиваев И.Б. // ХГС. 2017. Т. 53. С. 638; Sivaev I.B. // Chem. Heterocycl. Compd. 2017. Vol. 53. P. 638. doi: 10.1007/s10593-017-2106-9
- Zhang T.H., He H.X., Du J.L., He Z.J., Yao S. // Molecules. 2018. Vol. 23. P. 2011. doi: 10.3390/molecules23082011
- Singh A., Chopra H.K. // Tetrahedron: Asym. 2017. Vol. 28. P. 414. doi: 10.1016/j.tetasy.2017.02.008
- Haifei Z., Dongmei L., Tingting K., Ye W., Xiaoxiang Z., Xinbao Z. // Chin. J. Org. Chem. 2016. Vol. 36. P. 1104. doi: 10.6023/cjoC²01511019
- Chourasiya S.S., Kathuria D., Singh S., Sonawane V.C., Chakrabortia A.K., Bharatam P.V. // RSC Adv. 2015. Vol. 5. P. 80027. doi: 10.1039/C⁵ra12925g
- Banerjee M., Karri R., Chalana A., Das R., Rai R.K., Rawat K.S., Pathak B., Roy G. // Chem. Eur. J. 2017. Vol. 23. P. 5696. doi: 10.1002/chem.201605238
- Tian H., Yu Z., Hagfeldt A., Kloo L., Sun L. // J. Am. Chem. Soc. 2011. Vol. 133. P. 9413. doi: 10.1021/ja2030933
- Zhilitskaya L.V., Yarosh N.O., Shagun L.G., Dorofeev I.A., Larina L.I. // Mendeleev Commun. 2017. Vol. 27. Р. 352. doi: 10.1016/j.mencom.2017.07.010
- Мелоян Е.К., Сафроненко А.В., Ганцгорн Е.В., Хмара Л.Е., Голубева А.О., Джабр М.А. // Биомедицина. 2021. Т. 17. С. 111; Meloyan E.K., Safronenko, A.V., Gantsgorn E.V., Hmara L.E., Golubeva A.O., Jabr M.A. // J. Biomed. 2021. Vol. 17. P. 111. doi: 10.33647/2074-5982-17-3-111-118
- Riyadh S.M., Gomh S.M. // RSC Adv. 2020. Vol. 10. P. 24994. doi: 10.1039/d0ra04208k A
- Miyajima A., Kuroda Y., Sakemi-Hoshikawa K., Usami M., Mitsunaga K., Irie T., Ohno Y., Sunouchi M. // Toxic. Rep. 2020. Vol. 7. P. 979. doi 10.1016/ j.toxrep.2020.08.003
- Dincel E.D., Ulusoy-Güzeldemirci N., Şatana D., Küçükbasmacı Ö. // J. Heterocycl. Chem. 2021. Vol. 58. P. 195. doi: 10.1002/jhet.4159
- Balogun M.M., Shamim S., Khan K.M., Salar U., Oladosu I.A., Lateef M., Wadood A., Taha M., Moronkola D.O., Rehman A.U., Rahim F., Perveen S. // ChemistrySelect. 2021. Vol. 6. P. 8490. doi: 10.1002/slct.202102362
- Alanazi M.M., Aldawas S., Alsaif N.A. // Pharmaceuticals. 2023. Vol. 16. P. 97. doi: 10.3390/ph16010097
- Ali M., Ali S., Khan M., Rashid U., Ahmad M., Khan A., Al-Harrasi A., Ullah F., Latif A. // Bioorg. Chem. 2018. Vol. 80. P. 472. doi: 10.1016/j.bioorg.2018.06.032
- Ярош Н.О., Жилицкая Л.В., Шагун Л.Г., Дорофеев И.А. // ЖОрХ. 2020. Т. 56. С. 789; Yarosh N.O., Zhilitskaya L.V., Shagun L.G., Dorofeev I.A. // Russ. J. Org. Chem. 2020. Vol. 56. P. 833. doi: 10.1134/S1070428020050164
- Воронков М.Г., Трофимова О.М., Болгова Ю.И., Чернов Н.Ф. // ХГС. 2001. T. 37. C. 1487; Voronkov M.G., Trofimova O.M., Bolgova Y.I., Chernov N.F. // Chem. Heterocycl. Compd. 2001. Vol. 37. P. 1358. doi: 10.1023/А:1017994916574
- Воронков М.Г., Чернов Н.Ф., Трофимова О.М., Аксаментова Т.Н. // Изв. АН. Сер. хим. 1993. C. 1965; Voronkov M.G., Chernov N.F., Trofimova O.M., Aksamentova T.N. // Russ. Chem. Bull. 1993. Vol. 42. P. 1883.
- Гребнева Е.А., Болгова Ю.Я., Трофимова О.М., Альбанов А.И., Бородина Т.Н. // ХГС. 2019. Т. 55. С. 762; Grebneva E.A., Bolgova, Y.I., Trofimova O.M., Albanov A.I., Borodina T.N. // Chem. Heterocycl. Compd. 2019. Vol. 55. Р. 762. doi: 10.1007/s10593-019-02532-3
- Абеле Э., Абеле Р., Арсенян П., Беляков С., Веверис М., Лукевич Э. // ХГС. 2007. Т. 43. С. 274; Abele E., Abele R., Arsenyan P., Belyakov S., Veveris M., Lukevics E. // Chem. Heterocycl. Compd. 2007.Vol. 43. Р. 220. doi: 10.1007/s10593-007-0034-9
- Жилицкая Л.В., Ярош Н.О., Шагун Л.Г., Дорофеев И.А. // ЖОХ. 2020. Т. 90. С. 1047; Zhilitskaya L.V., Yarosh N.O., Shagun L.G., Dorofeev I.A. // Russ. J. Gen. Chem. 2020. Vol. 90. P. 1235. doi: 10.1134/S1070363220070105
- Ярош Н.О., Жилицкая Л.В., Шагун Л.Г., Дорофеев И.А., Ларина Л.И., Клыба Л.В. // ЖОрХ. 2016. Т. 52. С. 1229; Yarosh N.O., Zhilitskaya L.V., Shagun L.G., Dorofeev I.A., Larina L.I., Klyba L.V. // Russ. J. Org. Chem. 2016. Vol. 52. Р. 1223. doi: 10.1134/S1070428016080261
- Ярош Н.О., Дорофеев И.А., Жилицкая Л.В. // ЖОрХ. 2023. Т. 59. С. 588; Yarosh N.O., Dorofeev I.A., Zhilitskaya L.V. // Russ. J. Org. Chem. 2023. Vol. 59. Р. 769. doi: 10.1134/S1070428023050044
- Шагун Л.Г., Дорофеев И.А., Жилицкая Л.В., Ярош Н.О., Ларина Л.И. // ЖОХ. 2018. Т. 54. С. 1215; Shagun L.G., Dorofeev I.А., Zhilitskaya L.V., Yarosh N.О., Larina L.I. // Russ. J. Org. Chem. 2018. Vol. 54. Р. 1228. doi: 10.1134/S1070428018080183
- Воронков М.Г., Дорофеев И.А., Токарева И.А., Смирнов В.И., Вакульская Т.И., Хуцишвили С.С., Шагун Л.Г. // ЖОХ. 2010. Т. 80. С. 225; Voronkov M.G., Dorofeev I.A., Tokareva I.A., Smirnov V.I., Vakul’skaya T.I., Khutsishvili S.S., Shagun L.G. // Russ. J. Gen. Chem. 2010. Vol. 80. Р. 250. doi: 10.1134/S1070363210020118
- Шагун В.А., Дорофеев И.А., Шагун Л.Г. // ЖОрХ. 2017. Т. 53. С. 423; Shagun V.A., Yarosh N.O., Shagun L.G. // Russ. J. Org. Chem. 2017. Vol. 53. P. 423. doi: 10.1134/S1070428017030186
- Hesemann P., Nguyen T.P., Hankari S.E. // Materials. 2014. Vol. 7. P. 2978. doi: 10.3390/ma7042978
- Al-Mohammed N.N., Hussen R.S.D., Alias Y., Abdullah Z. // RSC Adv. 2015. Vol. 5. P. 2869. doi: 10.1039/C⁴RA14027C
- Reiller P., Mercier-Bion F., Gimenez N., Barre N., Miserque F. // Radiochim. Acta. 2006. Vol. 94. P. 739. doi: 10.1524/ract.2006.94.9.739
- Ярош Н.О., Жилицкая Л.В., Шагун Л.Г., Дорофеев И.А., Ларина Л.И. // ЖОрХ. 2017. Т. 53. С. 413; Yarosh N.O., Zhilitskaya L.V., Shagun L.G., Dorofeev I.A., Larina L.I. // Russ. J. Org. Chem. 2017. Vol. 53. Р. 413. doi: 10.1134/S1070428017030162
Дополнительные файлы










