Reaction of aroylpyruvic acids methyl esters with 4-aminobenzoic acid. Antioxidant activity of the obtained compounds
- Authors: Gein V.L.1, Chalkov D.V.1, Bobrovskaya O.V.1, Zykova S.S.1, Namyatova K.V.1
-
Affiliations:
- Perm State Pharmaceutical Academy of the Ministry of Health of the Russian Federation
- Issue: Vol 94, No 5 (2024)
- Pages: 544-552
- Section: Articles
- URL: https://journal-vniispk.ru/0044-460X/article/view/266133
- DOI: https://doi.org/10.31857/S0044460X24050011
- EDN: https://elibrary.ru/FKQXCO
- ID: 266133
Cite item
Full Text
Abstract
4-{[(2Z)-4-Aryl-2-hydroxy-4-oxobut-2-enoyl]amino}benzoic acids were synthesized by reacting methyl esters of aroylpyruvic acids with 4-aminobenzoic (p-aminobenzoic) acid in glacial acetic acid in the presence of anhydrous sodium acetate. 4-{[(2Z)-4-Aryl-1-methoxy-1,4-dioxobut-2-en-2-yl)]amino}benzoic acids were synthesized by reacting the above reagents in a mixture of glacial acetic acid–ethanol (1:1) without adding anhydrous sodium acetate. Structure of the obtained compounds was confirmed by 1H and 13C{1H} NMR and IR spectroscopy. The antioxidant activity of the synthesized compounds was studied.
Full Text
ВВЕДЕНИЕ
Поиск как новых биологически активных соединений, так и синтонов для их синтеза является актуальной задачей для фармацевтической науки, в частности для получения эффективных и безопасных лекарственных средств. Интересными объектами данных исследований является 4-аминобензойная (пара-аминобензойная) кислота и ее производные, которые довольно широко распространены в природе и участвуют в различных физиологических процессах растительных, животных клеток и клеток микроорганизмов. В литературе пара-аминобензойная кислота может упоминаться как бактериальный витамин H1, Bx или B10 [1]. Кроме того, пара-аминобензойная кислота известна как предшественник в биосинтезе фолиевой кислоты (B9) [2] и убихинона (коэнзим Q) [3, 4], также обладает собственной иммуномодулирующей, противовирусной, антиоксидантной, антигипоксической, антикоагулянтной [5, 6], антифибротической [7], антирадикальной активностью [8].
Следует отметить, что пара-аминобензойная кислота имеет огромное значение для синтеза лекарственных средств, относящихся к различным фармакотерапевтическим группам, например: антибактериальные, противоопухолевые, местноанестезирующие, противосудорожные, антиаритмические, противорвотные, гастрокинетические, антипсихотические, нейролептические средства [9]. Все вышеуказанные свойства пара-аминобензойной кислоты открывают новые возможности для ее применения в фармацевтической и медицинской практике.
Кроме того, среди N-замещенных амидов и енаминоэфиров ароилпировиноградных кислот обнаружены соединения с различными видами биологической активности. Так, производные 4-арил-2-гидрокси-4-оксо-N-фенилбут-2-енамидов ранее показали противоопухолевую активность в мышиной модели ксенотрансплантата рака [10], у бис-N-замещенных 4-арил-2-гидрокси-4-оксобут-2-енамидопроизводных выявили ингибирующую активность против интегразы ВИЧ in vitro [11, 12], производные метил-2-{[(2Z)-4-арил-2-гидрокси-4-оксобут-2-еноил]амино}бензоатов [13] и метил-(2Z)-4-арил-2-{4-[(4,6-диметилпиримидин-2-ил)сульфамоил]фениламино}-4-оксобут-2-еноатов обладают выраженным анальгетическим действием [14]. В патенте [15] отмечается бактериостатическая активность метилового эфира 2-(4-бромфениламино)-5,5-диметил-4-оксо-2-гексеновой кислоты в отношении Mycobacterium tuberculosis.
В связи с этим, представляло интерес получить ранее неизвестные N-замещенные амиды 4-арил-2-гидрокси-4-оксобут-2-еновых (ароилпировиноградных) кислот и N-замещенные метиловые эфиры 2-амино-4-арил-4-оксобут-2-еновых кислот, содержащие остаток 4-аминобензойной кислоты, и далее изучить их антиоксидантную активность, включая прогнозирование данного вида активности с использованием веб-ресурса PASS online.
РЕЗУЛЬТАТЫ И ОБСУЖДЕНИЕ
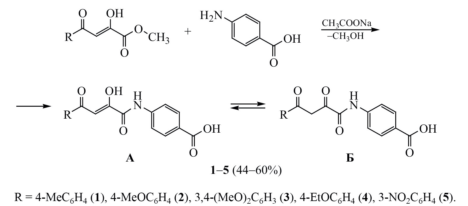
С целью получения ранее неизвестных N-ариламидов ароилпировиноградных кислот и изучения антиоксидантной активности взаимодействием метиловых эфиров ароилпировиноградных кислот с 4-аминобензойной кислотой в среде ледяной уксусной кислоты в присутствии эквивалентного количества безводного ацетата натрия осуществлен синтез новых 4-{[(2Z)-4-арил-2-гидрокси-4-оксобут-2-еноил]амино}бензойных кислот 1–5 (схема 1).
Схема 1.
Синтезированные соединения 1–5 представляют собой белые, светло-желтые или желтые кристаллические вещества, растворимые в ДМФА, ДМСО, при нагревании – в ледяной уксусной кислоте, этаноле, ацетонитриле и нерастворимые в воде.
В ИК спектрах соединений 1–5 наблюдаются полосы, обусловленные валентными колебаниями связи N–H (3357–3340 см–1), карбоксильной и енольной гидроксильных групп (3100–3068 см–1), карбоксильной и кетонной карбонильных групп (1704–1681 и 1703–1677 см–1 соответственно), амидной группы N–C–O (1611–1603 см–1).
В спектрах ЯМР 1Н соединений 1–5, кроме сигналов ароматических протонов, присутствуют синглеты протонов енольной группировки НС=С–О (7.14–7.30 м. д.), группы CONH (10.80–10.89 м. д.) и карбоксильной группы (12.72–13.01 м. д.) в виде уширенного синглета. Сигналы протонов других групп наблюдаются в ожидаемых областях. По данным ЯМР 1Н, соединения 1–5 существуют в двух таутомерных формах А и Б, так как в спектрах ЯМР 1Н присутствует сигнал низкой интенсивности при 4.58–4.76 м. д., который обусловлен наличием β-метиленовой группы дикетонной формы. Исходя из соотношения значений интегральной интенсивности сигналов β-метиленовой группы и протона в группе О‒С=CH, в полученных соединениях преобладает енольная форма А (65–78%), которая, по данным ЯМР, существует в Z-форме, а на кетонную форму Б приходится (22–35%). Отсутствие в спектрах ЯМР 1Н сигнала протона енольной гидроксильной группы, по-видимому, объясняется его значительным уширением в результате обменных процессов, что наблюдается и для других производных ароилпировиноградных кислот [16, 17].
В спектрах ЯМР 13C{1H} соединений 1–5 наблюдаются сигналы химических сдвигов ядер атомов углерода четырех карбонильных групп: CONH (158.81–160.38 м. д.), COOH (166.67–166.69 м. д.), О‒С=CH (177.20–181.48 м. д.), C=O (185.14–193.37 м. д.).
Все полученные соединения 1–5 в реакции со спиртовым раствором железа(III) хлорида дают вишнево-красное окрашивание, что подтверждает наличие енольной гидроксильной группы в их структуре.
Добавление ацетата натрия в реакционную смесь, как показано ранее, способствует образованию амидов 1–5. По-видимому, это объясняется тем, что ацетат натрия вступает в обменное взаимодействие с исходным эфиром ароилпировиноградной кислоты, образуя натрийпроизводное, в котором происходит дезактивация карбонильной группы в α-положении и, следовательно, становится возможной атака сложноэфирного карбонильного фрагмента первичной аминогруппой 4-аминобензойной кислоты (схема 2) [17, 18].
Схема 2.
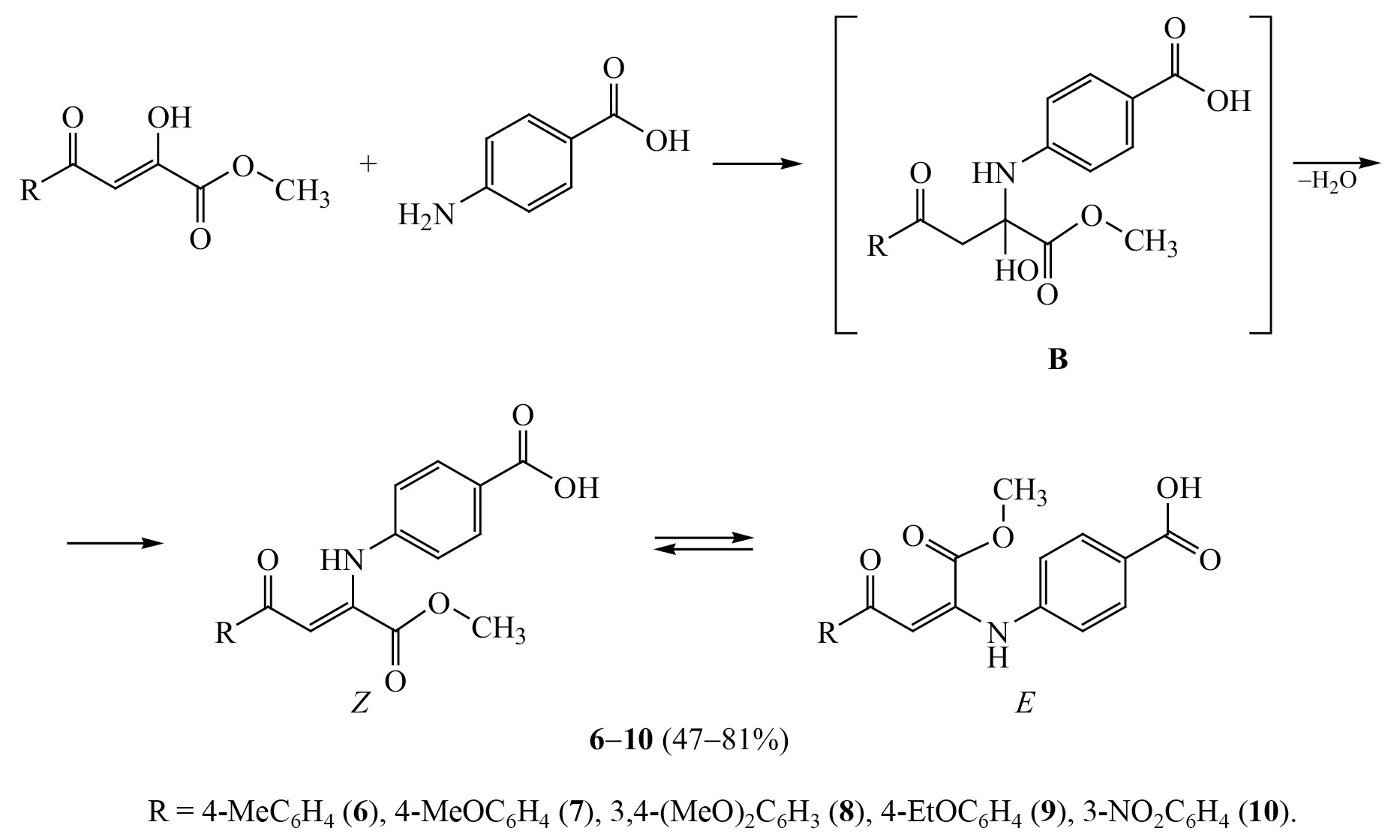
В продолжение изучения реакции метиловых эфиров ароилпировиноградных кислот с 4-аминобензойной кислотой установлено, что направление реакции зависит от условий проведения. Так, при кипячении вышеуказанных реагентов в смеси уксусная кислота–этанол в соотношении 1:1 в течение 10 мин без добавления безводного ацетата натрия образуются 4-{[(2Z)-4-арил-1-метокси-1,4-диоксобут-2-ен-2-ил]амино}бензойные кислоты 6–10 (схема 3). Реакция протекает по механизму, описанному ранее [19, 20]. На первой стадии ароматическая аминогруппа пара-аминобензойной кислоты присоединяется по двойной связи α-карбонильной группы исходного метилового эфира ароилпировиноградной кислоты с образованием промежуточного соединения В (карбиноламина), дегидратация которого приводит к соединениям 6–10 (cхема 3).
Схема 3.
Синтезированные соединения 6–10 представляют собой ярко-желтые кристаллические вещества, растворимые в ДМФА, ДМСО, при нагревании – в этаноле, изопропаноле, диоксане, уксусной кислоте, ацетоне, нерастворимые в воде.
В ИК спектрах соединений 6–10 наблюдаются полосы, обусловленные валентными колебаниями cвязи N–H (3457–3376 см–1), карбоксильной ОН-группы (3086–3050 см–1), сложноэфирной и карбоксильной карбонильных групп (1737–1723 и 1682–1677 см–1 соответственно), кетонной карбонильной группы (1626–1610 см–1).
В спектрах ЯМР 1Н соединений 6–10, кроме сигналов ароматических протонов и связанных с ароматическим кольцом групп, присутствуют синглеты трех метоксильных протонов (3.78–3.86 м. д.), метилиденового протона (6.61–6.69 м. д.), протонов аминогрупп NНЕ-форма (9.85–10.24 м. д.) и NНZ-форма (11.71–11.79 м. д.), уширенный синглет протона карбоксильной группы (12.70–12.80 м. д.). По данным ЯМР 1Н, соединения 6–10 существуют в виде Z- и Е-изомеров с преобладанием Z-формы. Исходя из соотношения значений интегральных интенсивностей сигналов протона группы NH, а также сигналов метилиденового протона и метоксильных протонов, на Z-форму приходится ~65–82%, на Е-форму − ~18–35%.
В спектрах ЯМР 13С соединений 6–10 наблюдаются сигналы химических сдвигов ядер атомов углерода метоксигруппы (52.48–53.23 м. д.), метилиденовой группы (94.45–98.85 м. д.), сложноэфирной группы (163.84–165.95 м. д.), карбоксильной группы (166.60–166.69 м. д.) и кетонной карбонильной группы (184.62–187.62 м. д.).
Все cинтезированные соединения 6–10 не дают характерного вишнево-красного окрашивания со спиртовым раствором железа(III) хлорида, что наряду со спектральными данными подтверждает указанную структуру.
С целью прогнозирования антиоксидантной активности соединений 1–10 провели in silico прогноз данного вида активности посредством программы PASS online (версия 2.0). При изучении антиоксидантной активности оценивали вероятность наличия (ра) ее проявления, и рассматривали от значений ра > 0.7. Результаты исследования представлены в табл. 1.
Таблица 1. Данные прогнозирования антиоксидантной активности (pа) соединений 1–10 с помощью сервиса PASS online.
Соединение | Вероятность наличия антиоксидантной активности | Ингибитор супероксиддисмутазы | Ингибитор глутатионпероксидазы |
1 | – | 0.541 | 0.255 |
2 | 0.138 | 0.510 | 0.230 |
3 | 0.160 | 0.604 | 0.208 |
4 | 0.131 | 0.695 | 0.191 |
5 | – | 0.840 | 0.334 |
6 | 0.197 | 0.515 | 0.276 |
7 | 0.205 | 0.564 | 0.256 |
8 | 0.230 | 0.663 | 0.232 |
9 | 0.195 | 0.700 | 0.207 |
10 | 0.174 | 0.822 | 0.358 |
Вероятность наличия антиоксидантной активности у соединений 1–10 незначительна и находится в интервале от 13.1 до 23.0%. Однако обнаружено ингибирующее влияние на ферменты антиоксидантной системы (супероксиддисмутаза и глутатионпероксидаза), что говорит о прооксидантном действии. Согласно полученным результатам в программе PASS online, с вероятностью от 51 до 84% мишенью для данных соединений является супероксиддисмутаза.
Антиоксидантную активность соединений 1–10 определяли методом окислительного стресса с использованием биосенсора E. coli штамм «Эколюм». Значение флуоресценции демонстрирует состояние клеток E. coli. При окислительном стрессе под действием сублетальной концентрации водорода пероксида угнетается процесс синтеза флуоресцентного белка с целью адаптации. Следовательно, низкая флуоресцентная активность говорит о повреждении клеток. Значения ИФА обозначают степень угнетения активности биосенсора, соответственно, они находятся в прямой зависимости от токсичности вещества и в обратной – от антиоксидантной активности. Результаты испытаний представлены в табл. 2.
Таблица 2. Антиоксидантная активность соединений 1–10.
Соединение | R | ИФА, % |
1 | 4-MeC6H4 | 6.73±0.69а |
2 | 4-MeOC6H4 | 20.81±1.60а |
3 | 3,4-(MeO)2C6H3 | 21.23±1.40а |
4 | 4-EtOC6H4 | 9.42±1.25а |
5 | 3-NO2C6H4 | 0.70±0.52 |
6 | 4-MeC6H4 | 64.79±2.66а |
7 | 4-MeOC6H4 | 71.57±0.91а |
8 | 3,4-(MeO)2C6H3 | 71.22±0.44а |
9 | 4-EtOC6H4 | 53.87±1.87а |
10 | 3-NO2C6H4 | 60.75±0.27а |
Тролокс | – | –0.04±0.02 |
а р < 0.05 по отношению к эталону сравнения (тролокс).
По данным фармакологического скрининга установлено, что все исследованные соединения 1–10 являются прооксидантами. Программа PASS online позволила предположить мишень действия для объектов исследования.
Обнаружено, что выраженные прооксидантные свойства в отношении биосенсора E. coli штамм «Эколюм» обнаружены у соединений 6–10, что может говорить не только о стимуляции процесса окислительного стресса, но и о прямом цитотоксическом действии.
В рамках скрининга выявлено, что в ряду соединений 1–10 переход от N-замещенных амидов 1–5 к енаминоэфирам ароилпировиноградных кислот 6–10 увеличил прооксидантную активность. Присутствие в арильном остатке метоксигрупп приводит к значительному увеличению прооксидантной активности.
ВЫВОДЫ
Таким образом, разработан препаративный способ синтеза 4-{[(2Z)-4-арил-2-гидрокси-4-оксобут-2-еноил]амино}бензойных кислот 1–5 и 4-{[(2Z)-4-арил-1-метокси-1,4-диоксобут-2-ен-2-ил]амино}бензойных кислот 6–10, имеющих в своей структуре несколько реакционноспособных центров, что позволяет получать на их основе различные производные. Наличие в арильном остатке метоксигрупп приводит к значительному увеличению прооксидантной активности. Представленные результаты по изучению антиоксидантной активности свидетельствуют о перспективности дальнейших исследований и поиска соединений, обладающих цитотоксическим действием в ряду 4-{[(2Z)-4-арил-1-метокси-1,4-диоксобут-2-ен-2-ил]амино}бензойных кислот.
ЭКСПЕРИМЕНТАЛЬНАЯ ЧАСТЬ
Спектры ЯМР 1H записывали на приборе Bruker Avance III HD (400 МГц) в ДМСО-d6, внутренний стандарт – ТМС. Спектры ЯМР 13C{1H} записывали на приборе Bruker Avance III HD (100 МГц) в ДМСО-d6, внутренний стандарт – ТМС. ИК спектры снимали на Фурье-спектрометре ИнфраЛЮМ ФТ-08 (Люмэкс-маркетинг, Россия) в таблетках KBr. Элементный анализ проводили на приборе PerkinElmer 2400. Температуры плавления определяли на приборе Melting Point M-565 (Buchi Labortechnik AG, Швейцария).
4-{[(2Z)-2-Гидрокси-4-(4-метилфенил)-4-оксобут-2-еноил]амино}бензойная кислота (1). К 1.37 г (0.01 моль) 4-аминобензойной кислоты, растворенной при нагревании в 15 мл ледяной уксусной кислоты, добавляли раствор 2.20 г (0.01 моль) метилового эфира 4-метилбензоилпировиноградной кислоты и 0.82 г (0.01 моль) безводного ацетата натрия в 15 мл ледяной уксусной кислоты. Реакционную смесь кипятили 20 мин. Выпавший при охлаждении осадок обрабатывали этанолом, отфильтровали и перекристаллизовали из этанола. Выход 1.59 г (49%), т. пл. 230–231°С (EtOН). ИК спектр, ν, см–1: 3348 (NH), 3100 (OH), 1704 (COOH), 1677 (C=O), 1606 (N–C–O). Спектр ЯМР 1H, δ, м. д.: 2.41 с (3H, CH3), 4.62 с (2H, COCH2CO), 7.19 с (1H, O‒С=CH), 7.39–7.99 м (8Н, CHAr), 10.84 с (1H, CONH), 12.73 уш. с (1H, СООН). Спектр ЯМР 13C{1H}, δС, м. д.: 21.14, 94.08, 119.74, 119.95, 126.50, 127.55, 128.50, 129.29, 129.69, 130.07, 130.50, 141.56, 144.60, 160.22, 166.69, 179.17, 185.14. Найдено, %: С 66.58; Н 4.58; N 4.40. C18H15NO5. Вычислено, %: C 66.46; H 4.65; N 4.31.
Соединения 2–5 получали аналогично.
4-{[(2Z)-2-Гидрокси-4-(4-метоксифенил)-4-оксобут-2-еноил]амино}бензойная кислота (2). Выход 2.05 г (60%), т. пл. 222–223°С (EtOН). ИК спектр, ν, см–1: 3340 (NH), 3080 (OH), 1686 (COOH, C=O), 1606 (N–C–O). Спектр ЯМР 1H, δ, м. д.: 3.88 с (3H, CH3О), 4.59 с (2H, COCH2CO), 7.16 с (1H, O‒С=CH), 7.11–8.09 м (8Н, CHAr), 10.81 с (1H, CONH), 12.73 уш. с (1H, СООН). Спектр ЯМР 13C{1H}, δС, м. д.: 55.62, 93.76, 114.54, 119.73, 119.93, 125.61, 126.45, 129.97, 130.06, 141.60, 160.32, 163.99, 166.68, 177.76, 185.48. Найдено, %: С 63.44; Н 4.37; N 4.18. C18H15NO6. Вычислено, %: C 63.34; H 4.43; N 4.10.
4-{[(2Z)-2-Гидрокси-4-(3,4-диметоксифенил)-4-оксобут-2-еноил]амино}бензойная кислота (3). Выход 1.89 г (51%), т. пл. 221–223°С (EtOН). ИК спектр, ν, см–1: 3356 (NH), 3078 (OH), 1703 (COOH, C=O), 1603 (N–C–O). Спектр ЯМР 1H, δ, м. д.: 3.87 с (3H, CH3O), 3.88 с (3H, CH3O), 4.62 с (2H, COCH2CO), 7.20 с (1H, O‒С=CH), 7.13–7.96 м (7Н, CHAr), 10.81 с (1H, CONH), 12.72 уш. с (1H, СООН). Спектр ЯМР 13C{1H}, δС, м. д.: 55.65, 55.82, 94.10, 109.96, 111.52, 119.73, 119.91, 122.52, 125.80, 126.46, 130.07, 141.62, 148.92, 154.01, 160.36, 166.69, 177.20, 185.97. Найдено, %: С 61.58; Н 4.68; N 3.86. C19H17NO7. Вычислено, %: C 61.45; H 4.61; N 3.77.
4-{[(2Z)-2-Гидрокси-4-оксо-4-(4-этоксифенил)бут-2-еноил]амино}бензойная кислота (4). Выход 1.67 г (47%), т. пл. 222–223°С (EtOН). ИК спектр, ν, см–1: 3351 (NH), 3068 (OH), 1681 (COOH, C=O), 1606 (N–C–O). Спектр ЯМР 1H, δ, м. д.: 1.36 т (3H, CH3CH2O, J 7.0 Гц), 4.15 к (2H, CH3CH2O, J 7.0 Гц), 4.58 с (2H, COCH2CO), 7.14 с (1H, O‒С=CH), 7.08–8.06 м (8Н, CHAr), 10.80 с (1H, CONH), 13.01 уш. с (1H, СООН). Спектр ЯМР 13C{1H}, δС, м. д.: 14.32, 63.69, 93.66, 114.88, 119.51, 119.90, 125.52, 126.44, 129.97, 130.07, 141.61, 160.38, 163.26, 166.69, 177.64, 185.47. Найдено, %: С 64.11; Н 4.76; N 4.03. C19H17NO6. Вычислено, %: C 64.22; H 4.82; N 3.94.
4-{[(2Z)-2-Гидрокси-4-(3-нитрофенил)-4-оксобут-2-еноил]амино}бензойная кислота (5). Выход 1.57 г (44%), т. пл. 252–253°С (1,4-диоксан : ацетон (1:4)). ИК спектр, ν, см–1: 3357 (NH), 3079 (OH), 1691 (COOH, C=O), 1611 (N–C–O). Спектр ЯМР 1H, δ, м. д.: 4.76 с (2H, COCH2CO), 7.30 с (1H, O‒С=CH), 7.84–8.71 м (8Н, CHAr), 10.89 с (1H, CONH), 12.72 уш. с (1H, СООН). Спектр ЯМР 13C{1H}, δ, м. д.: 95.43, 119.79, 119.99, 121.74, 122.73, 126.51, 126.59, 127.56, 127.80, 130.08, 130.61, 130.79, 133.47, 134.56. 134.56, 134.84, 141.33, 141.46, 148.11, 148.22, 158.81, 159.92, 166.67, 180.27, 181.48, 193.04, 193.37. Найдено, %: С 57.19; Н 3.46; N 7.95. C17H12N2O7. Вычислено, %: C 57.31; H 3.39; N 7.86.
4-{[(2Z)-4-(4-Метилфенил)-1-метокси-1,4-диоксобут-2-ен-2-ил]амино}бензойная кислота (6). К 1.37 г (0.01 моль) 4-аминобензойной кислоты, растворенной при нагревании в 15 мл этанола, добавляли раствор 2.20 г (0.01 моль) метилового эфира 4-метилбензоилпировиноградной кислоты в 15 мл ледяной уксусной кислоты. Реакционную смесь кипятили 10 мин. Выпавший при охлаждении осадок обрабатывали этанолом, отфильтровали и перекристаллизовали из этанола. Выход 2.14 г (63%), т. пл. 225–226°С (EtOН). ИК спектр, ν, см–1: 3397 (NH), 3070 (COOH), 1731 (СООCH3), 1678 (COOH), 1610 (C=O). Спектр ЯМР 1H, δ, м. д.: 2.36, 2.39 с (3H, CH3), 3.78, 3.83 с (3H, COOCH3), 6.61, 6.64 с (1H, N‒С=CH), 7.10–7.97 м (8Н, CHAr), 9.92 с (0.25H, NHE-форма), 11.73 с (0.75H, NHZ-форма), 12.73 уш. с (1H, СООН). Спектр ЯМР 13C{1H}, δС, м. д.: 20.94, 21.00, 52.51, 53.08, 95.72, 98.61, 119.73, 119.96, 125.73, 126.05, 127.51, 127.53, 129.01, 129.29, 130.54, 130.86, 135.27, 135.79, 142.21, 143.07, 143.28, 143.33, 146.95, 148.16, 164.15, 165.78, 166.60, 186.55, 189.90. Найдено, %: C 67.13; H 5.12; N 4.05. C19H17NO5. Вычислено, %: C 67.25; H 5.05; N 4.13.
Соединения 7–10 получали аналогично.
4-{[(2Z)-1-Метокси-4-(4-метоксифенил)-1,4-диоксобут-2-ен-2-ил]амино}бензойная кислота (7). Выход 2.17 г (61%), т. пл. 185–186°С (EtOН). ИК спектр, ν, см–1: 3381 (NH), 3050 (COOH), 1723 (СООCH3), 1677 (COOH), 1621 (C=O). Спектр ЯМР 1H, δ, м. д.: 3.84 с (3H, CH3O), 3.78, 3.81 с (3H, COOCH3), 6.61, 6.67 с (1H, N‒С=CH), 6.98–8.00 м (8Н, CHAr), 9.87 с (0.18H, NHE-форма), 11.74 с (0.82H, NHZ-форма), 12.72 уш. с (1H, СООН). Спектр ЯМР 13C{1H}, δС, м. д.: 52.51, 53.05, 55.31, 55.42, 95.98, 98.83, 113.72, 114.01, 119.59, 119.86, 125.65, 125.93, 129.66, 129.77, 130.60, 130.91, 131.12, 143.45, 143.55, 146.55, 147.81, 162.43, 162.98, 164.28, 165.95, 166.69, 185.73, 189.10. Найдено, %: C 64.33; H 4.75; N 3.84. C19H17NO6. Вычислено, %: C 64.22; H 4.82; N 3.94.
4-{[(2Z)-1-Метокси-4-(3,4-диметоксифенил)-1,4-диоксобут-2-ен-2-ил]амино}бензойная кислота (8). Выход 1.81 г (47%), т. пл. 196–197°С (1,4-диоксан–ацетон, 1:10). ИК спектр, ν, см–1: 3376 (NH), 3086 (COOH), 1731 (СООCH3), 1678 (COOH), 1621 (C=O). Спектр ЯМР 1H, δ, м. д.: 3.84 с (3H, CH3O), 3.83, 3.86 с (3H, CH3O), 3.79, 3.81 с (3H, COOCH3), 6.64, 6.68 с (1H, N‒С=CH), 7.00–7.97 м (7Н, CHAr), 9.88 с (0.20H, NHE-форма), 11.76 с (0.80H, NHZ-форма), 12.72 уш. с (1H, СООН). Спектр ЯМР 13C{1H}, δС, м. д.: 52.48, 53.05, 55.43, 55.53, 55.61, 55.69, 96.16, 98.74, 110.21, 110.29, 110.85, 111.07, 119.47, 119.66, 121.67, 121.97, 125.52, 125.86, 130.59, 130.68, 130.87, 131.20, 143.40, 143.54, 146.49, 147.70, 148.61, 148.77, 152.35, 152.96, 164.28, 165.87, 166.63, 185.64, 189.08. Найдено, %: C 62.19; H 4.88; N 3.74. C20H19NO7. Вычислено, %: C 62.33; H 4.97; N 3.63.
4-{[(2Z)-1-Метокси-4-(4-этоксифенил)-1,4-диоксобут-2-ен-2-ил]амино}бензойная кислота (9). Выход 2.99 г (81%), т. пл. 209–210°С (EtOН). ИК спектр, ν, см–1: 3399 (NH), 3050 (COOH), 1726 (СООCH3), 1678 (COOH), 1626 (C=O). Спектр ЯМР 1H, δ, м. д.: 1.35 т (3H, CH3CH2O, J 7.2 Гц), 3.78, 3.82 с (3H, COOCH3), 4.12 к (2H, CH3CH2O, J 7.2 Гц), 6.61, 6.65 с (1H, N‒С=CH), 6.96–7.99 м (8Н, CHAr), 9.85 с (0.23H, NHE-форма), 11.71 с (0.77H, NHZ-форма), 12.70 уш. с (1H, СООН). Спектр ЯМР 13C{1H}, δС, м. д.: 14.37, 52.48, 53.04, 63.33, 63.48, 95.92, 98.85, 114.10, 114.39, 119.54, 119.82, 125.58, 125.86, 129.64, 129.76, 130.41, 130.56, 130.87, 130.90, 143.43, 143.51, 146.47, 147.72, 161.69, 162.27, 164.25, 165.90, 166.64, 185.65, 189.04. Найдено, %: C 65.16; H 5.13; N 3.73. C20H19NO6. Вычислено, %: C 65.03; H 5.18; N 3.79.
4-{[(2Z)-1-Метокси-4-(3-нитрофенил)-1,4-диоксобут-2-ен-2-ил]амино}бензойная кислота (10). Выход 2.89 г (78%), т. пл. 231–232°С (EtOН). ИК спектр, ν, см–1: 3457 (NH), 3084 (COOH), 1737 (СООCH3), 1682 (COOH), 1610 (C=O). Спектр ЯМР 1H, δ, м. д.: 3.80, 3.86 с (3H, COOCH3), 6.67, 6.69 с (1H, N‒С=CH), 7.17–8.69 м (8Н, CHAr), 10.24 с (0.35H, NHE-форма), 11.79 с (0.65H, NHZ-форма), 12.80 уш. с (1H, СООН). Спектр ЯМР 13C{1H}, δС, м. д.: 52.73, 53.23, 94.45, 97.51, 120.33, 120.56, 121.75, 121.78, 126.21, 126.43, 126.72, 130.30, 130.50, 130.54, 130.86, 133.54, 133.59, 139.11, 139.67, 142.74, 142.80, 148.00, 148.13, 148.61, 149.91, 163.84, 165.37, 166.52, 166.54, 184.62, 187.62. Найдено, %: C 58.23; H 3.88; N 7.47. C18H14N2O7. Вычислено, %: C 58.38; H 3.81; N 7.56.
Антиоксидантную активность соединений 1–10 определяли методом окислительного стресса с использованием биосенсора E. coli штамм «Эколюм». Индукция окислительного стресса создавалась путем добавления 3%-ного раствора пероксида водорода (сублетальная концентрация). Измерение флуоресценции проводили с применением микропланшетного ридера Synergy H1 (Biotek, США). В лунку 96-луночного темного непроницаемого планшета помещались 100 мкл питательной среды Бульон LB по Lennox (ООО «ДИА-М», Россия), 50 мкл культуры клеток биосенсора E. coli штамм «Эколюм», 25 мкл раствора исследуемого вещества (1·10–3 мМ. соединений, растворенных в 1 мл ДМСО), либо ДМСО (контрольный раствор), а также 25 мкл 3%-ного раствора пероксида водорода. Определение флуоресценции осуществляли после экспозиции в течение 40 мин при 37°С при длине волны возбуждения 490 нм и длине волны флуоресценции 585 нм. Измерение флуоресценции осуществляли с помощью многофункционального гибридного фотометра для микропланшетов SynergH1 (BioTek Instruments, США) [21]. Результаты статистически обработаны с вычислением критерия Фишера–Стьюдента. Эффект считали достоверным при p < 0.05 [22]. Для количественного анализа антиоксидантной активности рассчитывалось ингибирование флуоресцентной активности (ИФА) по формуле (1):
ИФА = (X1 – X2)/X1 × 100%, (1)
где Х1 – флуоресценция лунки контрольного раствора, содержащего ДМСО; Х2 – флуоресценция лунки с исследуемым соединением.
В качестве эталона сравнения использовали тролокс – водорастворимую форму витамина Е.
ФИНАНСОВАЯ ПОДДЕРЖКА
Работа выполнена в рамках государственного задания Пермской государственной фармацевтической академии (тема №720000Ф.99.1.БН62АБ05000, 2024 г.).
КОНФЛИКТ ИНТЕРЕСОВ
Авторы заявляют об отсутствии конфликта интересов.
About the authors
V. L. Gein
Perm State Pharmaceutical Academy of the Ministry of Health of the Russian Federation
Author for correspondence.
Email: geinvl48@mail.ru
ORCID iD: 0000-0002-8512-0399
Russian Federation, Perm
D. V. Chalkov
Perm State Pharmaceutical Academy of the Ministry of Health of the Russian Federation
Email: geinvl48@mail.ru
ORCID iD: 0009-0001-0367-3863
Russian Federation, Perm
O. V. Bobrovskaya
Perm State Pharmaceutical Academy of the Ministry of Health of the Russian Federation
Email: geinvl48@mail.ru
ORCID iD: 0000-0002-3394-9031
Russian Federation, Perm
S. S. Zykova
Perm State Pharmaceutical Academy of the Ministry of Health of the Russian Federation
Email: geinvl48@mail.ru
ORCID iD: 0000-0002-7395-4951
Russian Federation, Perm
K. V. Namyatova
Perm State Pharmaceutical Academy of the Ministry of Health of the Russian Federation
Email: geinvl48@mail.ru
ORCID iD: 0000-0001-7529-9746
Russian Federation, Perm
References
- Combs G.F., Jr., McClung J.P. The Vitamins. Academic Press, 2017. P. 454.
- Basset G.J.C., Quinlivan E.P., Ravanel S., Rebeille F., Nichols B.P., Shinozaki K., Seki M., Adams-Phillips L.C., Giovannoni J.J., Gregory 3rd J.F., Andrew D.H. // Proc. Nat. Acad. Sci. USA. 2004. Vol. 101. N 6. P. 1496. doi: 10.1073/pnas.0308331100
- Pierrel F., Hamelin O., Douki T., Kieffer-Jaquinod S., Muhlenhoff U., Ozeir M., Lill R., Fontecave M. // Chem. Biol. 2010. Vol. 17. N 5. P. 449. doi: 10.1016/j.chembiol.2010.03.014
- Marbois B., Xie L. X., Choi S., Hirano K., Hyman K., Clarke C.F. // J. Biol. Chem. 2010. Vol. 285. N 36. P. 27827. doi: 10.1074/jbc.M110.151894
- Иманова С.Ф. Автореф. дис. … канд. мед. наук. М., 2007. 24 с.
- Акберова С.И. // Изв. РАН. Сер. биол. 2002. № 4. С. 477; Akberova S.I. // Biol. Bull. Russ. Acad. Sci. 2002. Vol. 29. N 4. P. 390. doi: 10.1023/A:1016871219882
- Sawalha K. // Arch. Gen. Int. Med. 2018. Vol. 2. N 3. P. 19. doi: 10.4066/2591-7951.1000052
- Hu M.-L., Chen Y.-K., Chen L.-C., Sano M. // J. Nutr. Biochem. 1995. Vol. 6. N 9. P. 504. doi: 10.1016/0955-2863(95)00082-B
- Kluczyk A., Popek T., Kiyota T., De Macedo P., Stefanowicz P., Lazar C., Konishi Y. // Curr. Med. Chem. 2002. Vol. 9. N 21. P. 1871. doi: 10.2174/0929867023368872
- Liang K., Smith E.R., Aoi Y., Stoltz K.L., Katagi H., Woodfin A.R., Rendleman E.J., Marshall S.A., Murray D.C., Wang L., Ozark P.A., Mishra R.K., Hashizume R., Schiltz G.E., Shilatifard A. // Cell. 2018. Vol. 175. N 3. P. 766. doi: 10.1016/j.cell.2018.09.027
- Zeng L.F., Jiang X.H., Sanchez T., Zhang H.S., Dayam R., Neamati N., Long Y.Q. // Bioorg. Med. Chem. 2008. Vol. 16. N 16. P. 7777. doi: 10.1016/j.bmc.2008.07.008
- Nair V., Okello M. // Molecules. 2015. Vol. 20. N 7. P. 12623. doi: 10.3390/molecules200712623
- Гейн В.Л., Назарец О.В., Романова А.В., Бобровская О.В., Махмудов Р.Р. // ЖОХ. 2022. T. 92. Вып. 8. С. 1163; Gein V.L., Nazarets O.V., Romanova A.V., Bobrovskaya O.V., Makhmudov R.R. // Russ. J. Gen. Chem. 2022. Vol. 92. N 8. P. 1367. doi: 10.1134/S1070363222080011
- Гейн В.Л., Бобровская О.В., Дмитриев М.В., Махмудов Р.Р., Белоногова В.Д. // ЖОХ. 2018. Т. 88. Вып. 6. С. 914; Gein V.L., Bobrovskaya O.V., Dmitriev M.V., Makhmudov R.R., Belonogova V.D. // Russ. J. Gen. Chem. 2018. Vol. 88. N 6. P. 1095. doi: 10.1134/S1070363218060087
- Miles H.D. Pat. US 6683110 B1 (2004). USA.
- Андрейчиков Ю.С., Гейн B.Л., Аникина И.Н. // ЖОрХ. 1986. Т. 22. Вып. 8. С. 1749.
- Бобровская О.В. Дис. ... докт. фарм. наук. Пермь, 2021. 476 с.
- Гейн В.Л., Бобровская О.В., Гейн Л.Ф. // ЖОрХ. 2014. Т. 50. Вып. 11. С. 1703; Gein V.L., Bobrovskaya O.V., Gein L.F. // Russ. J. Org. Chem. 2014. Vol. 50. N 11. P. 1692. doi: 10.1134/S1070428014110268
- Козлов А.П., Варкентин Л.И., Андрейчиков Ю.С. // ЖОрХ. 1984. Т. 20. Вып. 10. С. 2198.
- Гейн В.Л., Бобровская О.В., Дмитриев М.В. // ЖОрХ. 2017. Т. 53. Вып. 6. С. 881; Gein V.L., Bobrovskaya O.V., Dmitriev M.V. // Russ. J. Org. Chem. 2017. Vol. 53. N 6. P. 898. doi: 10.1134/S1070428017060148
- Зыкова С.С., Шустов М.В., Талисманов В.С. // Разработка и регистрация лекарственных средств. 2023. Т. 12. № S4. С. 134; Zykova S.S., Shustov M.V., Talismanov V.S. // Drug Development and Registration. doi: 10.33380/2305-2066-2023-12-4(1)-1655
- Беленький М.Л. Элементы количественной оценки фармакологического эффекта. Л.: Медгиз, 1963. С. 81.
Supplementary files





