Pyrazolines and pyrimidines based on (E)-1-(4-pentyloxyphenyl)-3-arylprop-2-en-1-ones. Synthesis, docking study and luminescent properties
- Authors: Isakhanyan A.U.1, Ovasyan Z.A.1, Grigoryan G.S.2, Mkhitaryan R.P.2, Gabrielyan L.S.2, Panosyan G.A.1, Dangyan M.Y.1, Sargsyan A.S.3, Hambardzumyan A.A.3, Harutyunyan A.A.1
-
Affiliations:
- Scientific and Technological Center of Organic and Pharmaceutical Chemistry of the National Academy of Sciences of the Republic of Armenia
- Yerevan State University
- Scientific and Production Center “Armbiotechnology” of the National Academy of Sciences of the Republic of Armenia
- Issue: Vol 94, No 5 (2024)
- Pages: 569-582
- Section: Articles
- URL: https://journal-vniispk.ru/0044-460X/article/view/266152
- DOI: https://doi.org/10.31857/S0044460X24050048
- EDN: https://elibrary.ru/FKOGQZ
- ID: 266152
Cite item
Full Text
Abstract
(E)-1-(4-Pentyloxyphenyl)-3-(aryl)prop-2-en-1-ones were obtained by condensation of 1-(4-pentyloxyphenyl)ethanone with aromatic aldehydes in an aqueous ethanol solution in the presence of NaOH. The corresponding pyrazoline derivatives were prepared by cyclization of substituted chalcones with phenylhydrazine in an acidic medium, while 2,4,6-triaryl-substituted pyrimidines were produced in the case of benzamidine hydrochloride in the KOH–ethanol. It was found that all synthesized pyrazoline derivatives exhibit pronounced luminescent properties. A docking study of the compounds was carried out against four types of receptors.
Full Text
ВВЕДЕНИЕ
Высокая реакционная способность халконов, обусловленная их свойствами как 1,3-биэлектрофильных синтонов делает их важными исходными соединениями для синтеза различных классов гетероциклических соединений. Реакции конденсации 1,3-диарилпропен-2-ен-1-онов (халконов) с участием 1,2-, 1,3- и 1,4-бинуклеофилов приводят посредством гетероциклизации к формированию, соответственно, пяти-, шести- и семичленных гетероциклов, в частности, пиразолинов и пиримидинов [1, 2].
Исследования по синтезу новых халконов ведутся как в направлении введения в состав халкона различных заместителей, в том числе и фармакофорных групп, так и в направлении синтеза из халконов новых веществ, прежде всего гетероциклических производных. Гетероциклические системы очень разнообразны. Наиболее хорошо изученными и широко распространенными являются пиразолины и пиримидины [3–5].
Пиразолины обладают широким спектром биологической активности, поэтому они играют большую роль в медицинской химии. К действию пиразолинов можно отнести противогрибковое, противомикробное, противосудорожное, противотуберкулезное, противовоспалительное, противоопухолевое и противовирусное.
Пиримидины применяются как гербициды, инсектициды, фунгициды, бактерициды и производства химических веществ. Пиримидиновые основания широко распространены в животных, растительных тканях и в мкроорганизмах. Производные пиримидина имеют широкое распространение, поскольку участвуют во многих биологических процессах [6–9].
Халконы, пиразолины и пиримидины также проявляют люминесцентные свойства. В медицине и биологии люминесценция используется для диагностики заболеваний, обнаружения и распознавания бактериальных микробов, изучения структуры, изменений клеток и белков при развитии заболеваний и производстве дневного света, ламп, рентгеновских экранов, красок [10–12].
Целью данной работы являлся синтез замещенных пиразолинов и пиримидинов на основе (Е)-1-(4-пентилоксифенил)-3-арилпроп-2-ен-1-онов, установление закономерностей их образования, особенностей строения, а также изучение их люминесцентных свойств и докинг-исследование.
РЕЗУЛЬТАТЫ И ОБСУЖДЕНИЕ
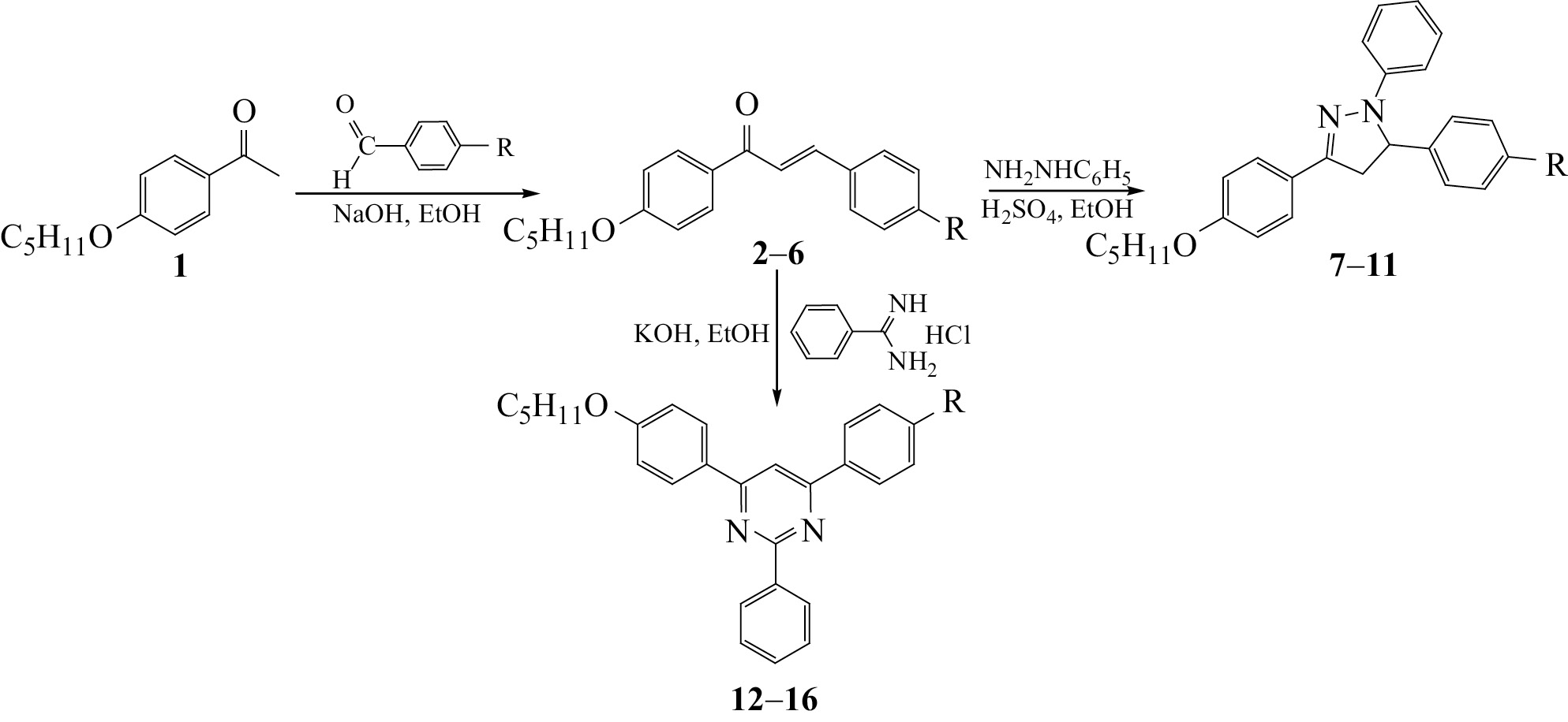
Реакцией конденсации 1-(4-пентилоксифенил)этанона 1 с ароматическими альдегидами в водно-этанольном растворе в присутствии гидроксида натрия получены (E)-1-(4-пентилоксифенил)-3-арил-проп-2-ен-1-оны 2–6 (схема 1). Реакция циклизации полученных соединений 2–6 с фенилгидразином в кислой среде приводит к ранее неизвестным пиразолинам 7–11 [13, 14]. Синтез пиримидинов 12–16 осуществлен взаимодействием гидрохлоридов бензамидина с халконами 2–6 в системе KОН–этанол с получением ранее неописанных 2,4-диарил-6-(4-пентилоксифенил)пиримидинов 12–16 (схема 1) [15–19].
Схема 1.
R = H (2, 7, 12), OCH3 (3, 8, 13), Br (4, 9, 14), NMe2 (5, 10, 15), 1,3-бензодиоксол-5-ил (6, 11, 16).
Строение полученных соединений подтверждено данными ЯМР 1Н, 13С и ИК спектроскопии.
Электронные спектры поглощения соединений 2–16 регистрировали в растворах ДМФА при постоянной температуре (25.0±0.3°C). В качестве раствора сравнения использовали ДМФА. Длины волн максимумов поглощения, а также рассчитанные значения молярной экстинкции представлены в табл. 1.
Люминесцентные свойства полученных систем изучены методом флуоресцентной спектроскопии также в растворах ДМФА. Концентрация растворов составляла 2·10–6 моль/л. Полученные спектры флуоресценции представлены на рис. 1–4. Как видно из рисунков, спектры флуоресценции исследуемых соединений характеризуются одной полосой излучения с максимумом в области 377–516 нм. Максимумы флуоресценции и стоксов сдвиг также представлены в табл. 1.
Рис. 1. Спектры флуоресценции образцов 2–6 (1–5) в растворах ДМФА (c = 2·10–6 моль/л, ширина щели возбуждения – 10 нм, ширина щели излучения – 10 нм).
Рис. 2. Спектры флуоресценции образцов 7–11 (1–5) в растворах ДМФА (с = 2·10–6 моль/л, ширина щели возбуждения – 5 нм, ширина щели излучения – 5 нм).
Рис. 3. Спектры флуоресценции образцов 12, 13 и 14 (1–3) в растворах ДМФА (с = 2·10–6 моль/л, ширина щели возбуждения – 5 нм, ширина щели излучения – 5 нм).
Рис. 4. Спектры флуоресценции образцов 15 (1) и 16 (2) в растворах ДМФА (с = 2·10–6 моль/л, ширина щели возбуждения – 5 нм, ширина щели излучения – 5 нм).
Таблица 1. Длины волн максимумов поглощения, значения молярной экстинкции, длины волн максимумов флуоресценции, стоксов сдвиг и квантовый выход соединений 2–16.
Соединение | λmax, нм | ε, л·моль–1·см–1 | λemmax, нм | Стоксов сдвиг, см–1 (нм) | Q |
2 | 321 | 34710 | 399 | 128205 (78) | 0.004 |
3 | 340 | 38370 | 399 | 169490 (59) | 0.004 |
4 | 323 | 33060 | 397 | 135135 (74) | 0.005 |
5 | 410 | 28780 | 516 | 94340 (106) | 0.009 |
6 | 311 354 | 15680 25250 | 397 | 116279 (86) | 0.005 |
7 | 269 358 | 10920 19360 | 445 | 114943 (87) | 0.858 |
8 | 269 359 | 13570 25900 | 447 | 113636 (88) | 0.759 |
9 | 269 357 | 10180 21570 | 443 | 116279 (86) | 0.630 |
10 | 269 311 359 | 17620 10970 16110 | 447 | 113636 (88) | 0.791 |
11 | 269 297 357 | 7440 8530 14810 | 446 | 112360 (89) | 0.792 |
12 | 273 324 | 34180 19220 | 400 | 131579 (76) | 0.036 |
13 | 278 295 328 | 37270 39530 26740 | 377 | 204082 (49) | 0.035 |
14 | 274 327 | 46190 24060 | 410 | 120482 (83) | 0.105 |
15 | 270 295 372 | 27760 26980 34600 | 493 | 82645 (121) | 0.305 |
16 | 274 298 335 | 25850 24890 22730 | 416 | 123457 (81) | 0.434 |
Для определения квантового выхода синтезированных соединений в качестве стандарта использовали сульфат хинина, как один из наиболее часто используемых и упоминаемых в литературе [20, 21]. Полученные значения квантового выхода (Q) также представлены в табл. 1.
Таким образом, синтезированные нами производные халконов не обладают выраженными люминесцентными свойствами: имеют низкий квантовый выход. Остальные синтезированные соединения проявляют люминесцентные свойства, причем флуоресцентные излучения пиразолинов 7–11 имеют очень высокую интенсивность с квантовыми выходами 0.858, 0.759, 0.630, 0.791 и 0.792 соответственно. Полученные результаты свидетельствуют о перспективности дальнейшего синтеза и изучения люминесцентных свойств в данном ряду пиразолинов.
Изучено взаимодействие синтезированных соединений 2–16 с рецепторами RdRp, EGFR, MAPK14, MAOB (табл. 2). Согласно полученным результатам, синтезированные соединения слабо взаимодействуют с РНК-зависимой РНК-полимеразой SARS-CoV-2. Среди них соединения 13 и 16 показывают сравнительно сильные взаимодействия с рецептором DGo = –8.0 и –8.2 ккал/моль соответственно). Все изучаемые соединения в докинг-экспериментах взаимодействуют с EGFR-, MAPK- и МАО-рецепторами с энергией на 2–3 порядка выше по сравнению с RdRp. В случае киназного домена EGFR человека энергия связывания для соединений 12, 13, 14, 15, 16 равна –10.0, –10.1, –10.3, –10.1 и –10.3 ккал/моль соответственно. Остальные соединения также показывают достаточно сильные взаимодействия с этим рецептором. В случае фосфорилированной MAPK14 человека те же соединения взаимодействуют с DGo = –10.4, –10.0, –10.3, –10.5 и –10.3 ккал/моль соответственно. В случае моноаминооксидазы B человека соединения 4 и 13 проявляют сильное взаимодействие, DGo = –10.0 ккал/моль.
Таблица 2. Значения энергий связывания и констант диссоциации для взаимодействия синтезированных соединений 2–16 с рецепторами RdRp, EGFR, MAPK14, MАОB.
Лиганд | Комплекс RdRp с NSP7 и NSP8 pdb 7btf | Киназный домен EGFR человека pdb 3W32 | 2-Фосфорилированный MAPK14 человека в комплексе с ATF2 pdb 6zqs | Моноаминооксидаза B человека в комплексе с 2-(2-бензофуранил)-2-имидазолием pdb 2xfn | ||||
DGo, ккал/моль | KD, мM. | DGo, ккал/моль | KD, мM. | DGo, ккал/моль | KD, мM. | DGo, ккал/моль | KD, мM. | |
2 | –6.4 | 20.36 | –8.9 | 0.299 | –9.2 | 0.180 | –9.2 | 1.917 |
3 | –6.6 | 14.53 | –9.0 | 0.253 | –8.5 | 0.588 | –8.5 | 1.917 |
4 | –7.2 | 5.28 | –9.2 | 0.180 | –8.7 | 0.420 | –8.7 | 0.047 |
5 | –6.2 | 28.53 | –9.3 | 0.152 | –8.8 | 0.354 | –8.8 | 0.055 |
6 | –6.3 | 24.10 | –9.5 | 0.109 | –8.9 | 0.299 | –8.9 | 2.686 |
7 | –7.6 | 2.69 | –9.7 | 0.078 | –8.5 | 0.588 | –8.5 | 0.253 |
8 | –7.3 | 4.46 | –9.3 | 0.152 | –8.2 | 0.976 | –8.2 | 3.765 |
9 | –6.9 | 8.75 | –9.6 | 0.092 | –8.5 | 0.588 | –8.5 | 6.246 |
10 | –6.9 | 8.75 | –9.3 | 0.152 | –8.4 | 0.696 | –8.4 | 1.619 |
11 | –7.7 | 2.27 | –9.8 | 0.066 | –8.9 | 0.299 | –8.9 | 0.420 |
12 | –7.7 | 2.27 | –10.3 | 0.028 | –10.3 | 0.028 | –10.3 | 2.269 |
13 | –8.0 | 1.37 | –10.0 | 0.047 | –10.4 | 0.024 | –10.4 | 0.047 |
14 | –7.7 | 2.27 | –10.1 | 0.039 | –10.0 | 0.047 | –10.0 | 0.214 |
15 | –7.9 | 1.62 | –10.1 | 0.039 | –10.5 | 0.020 | –10.5 | 0.299 |
16 | –8.2 | 0.98 | –10.3 | 0.028 | –10.3 | 0.028 | –10.3 | 0.109 |
На рис. 5 (слева) представлены общие пространственные модели взаимодействий лиганда с рецепторами (в форме α-спиралей, β-щитов и петель), в правой части рисунка представлен молекулярный механизм взаимодействий лиганда с аминокислотными остатками рецепторов. Цепочками зеленых шариков представлены водородные связи между лигандом и аминокислотными остатками рецепторов. Желтыми параллелепипедами представлены π–π взаимодействия.
Рис. 5. Способы взаимодействий соединения 13 с рецепторами RdRp, EGFR, MAPK14 и MАОB.
Результаты докинга показывают, что в случае с 2xfn соединение 13 образует две водородные связи: со свободной карбоксильной группой Gln206 (длина связи 2.739 Å) и с гидроксильной группой Tyr435 (длина связи 3.084 Å), а также 2 π–π связи с Trp388 (длина связей 8.588 и 9.248 Å). При докинге с рецептором MAPK14 соединение 13 образует исключительно электростатические и другие слабые связи, однако этого оказалось достаточно для образования довольно хорошего взаимодействия. Та же ситуация повторилась и в случае с EGFR и 7btf. Из общих пространственных моделей взаимодействий следует также, что в случае рецепторов EGFR и MAPK14 соединение 13 взаимодействует по соседству с β-щитами, что соответствует активным центрам белков, и, следовательно, может быть причиной сильного конкурентного ингибирования изучаемых рецепторов.
ВЫВОДЫ
Таким образом, синтезированы новые пиразолины и пиримидины с 4-пентилоксигруппой в одном из ароматических колец гетероцикла, которые в отличие от исходных халконов обладают высокой люминесцентной активностью и высоким квантовым выходом, значительно более выраженными у производных пиразолинов. В результате докинг-исследований выявлены отдельные соединения в ряду пиразолинов и пиримидинов, которые могут рассматриваться как перспективная основа для дальнейших исследований в поиске биологически активных соединений.
ЭКСПЕРИМЕНТАЛЬНАЯ ЧАСТЬ
ИК спектры сняты на приборе Nicolet Avatar 330 FT-IR в вазелиновом масле. Спектры ЯМP 1Н и 13С зарегистрированы на спектрометре Mercury-300 Varian (300, 75 МГц) в ДМСО-d6–CCl4, внутренний стандарт – ТМС. Электронные спектры поглощения зарегистрированы в растворах ДМФА на спектрометре SPECORD 50PC при постоянной температуре (25.0±0.3°C). Для поддержания постоянной температуры использовали термостат LAUDA A100, непосредственно подключенный к спектрометру. Измерения проводили с использованием кварцевых кювет с толщиной слоя поглощения, равной 1 см. В качестве раствора сравнения использовали ДМФА. Спектры флуоресценции регистрировали на спектрометре Varian Cary Eclipse в диапазоне длин волн 365–600 нм при длине волны возбуждения λex = 350 нм. Ширина щелей возбуждения и излучения была одинаковой и составляла 5 нм для соединений 7–16 и 10 нм для соединений 2–6. Для измерений использовали кварцевую кювету с l = 1 см. Для определения квантового выхода в качестве стандарта был выбран сульфат хинина. Растворителем для приготовления раствора стандарта служил 0.1 М. водный раствор серной кислоты с Qст = 0.577 [20]. Для измерения флуоресценции образцов готовили растворы с оптической плотностью <0.05, чтобы избежать влияния эффекта внутреннего фильтра. Для возбуждения стандарта и образцов была выбрана длина волны 350 нм, а ширина щелей возбуждения и излучения была одинаковой и составляла 5 нм. Температуры плавления определены на приборе Boetius.
Техника проведения докинг-анализа и данные pdb для EGFR описаны ранее [22]. Файлы pdb макромолекул (рецепторов) были загружены из банка данных белков RSCB. Молекулярные модели исследуемых соединений были созданы в формате PDB с использованием пакета программ ChemBioDraw Ultra 12.0. Минимизацию свободной энергии соединений проводили с помощью программы ММ2 в программном пакете ChemBioDraw Ultra 12.0. Молекулярные модели макромолекул и химических соединений были созданы в формате PDBQT с использованием программного пакета AutoDock Vina, как описано в работе [23]. AutoDock Vina также использовался для анализа результатов докинга.
В докинг-исследованиях лигандов с РНК-зависимой РНК-полимеразой (RdRp) SARS-Cov-2 использована модель кристаллической структуры RdRp SARS-Cov-2 в комплексе с белками NSP7 и NSP8 того же вируса (pdb 7BTF) с разрешением 2.95 Å, полученного криоэлектронным микроскопированием [24]. В докинг-исследованиях лигандов с рецептором митоген-активируемой протеинкиназы 14 (MAPK14 или p38α) использована модель кристаллической структуры дважды фосфорилированной MAPK14 человека в комплексе с ATF2 (pdb 6ZQS) с разрешением 1.95 Å полученного рентгеноструктурным анализом [25]. В докинг-исследованиях лигандов с рецептором эпидермального фактора роста (EGFR) использована рентгеновская кристаллическая структура киназного домена EGFR человека в комплексе с нековалентным производным 19b пиримидо[4,5-b]азепинового каркаса (pdb 3W32) с разрешением 1.80 Å полученного рентгеноструктурным анализом [26].
Общая методика получения халконов 2–6. К раствору 1 моль ацетофенона и 1 моль замещенного альдегида в 15 мл этанола при перемешивании добавляли 5%-ный раствор NaOH в качестве катализатора. Полученную смесь кипятили 3–5 ч и оставляли на ночь. Осадок отфильтровывали и перекристаллизовывали из этанола.
(E)-1-[4-(Пентилокси)фенил]-3-фенилпроп-2-ен-1-он (2). Выход 71%, т. пл. 87–88°С. ИК спектр, ν, см–1: 1657 (C=О). Спектр ЯМР 1H, δ, м. д. (J, Гц): 0.96 т (3H, CH3, J 7.1), 1.35–1.53 м (4H, CH2), 1.75–1.85 м (2H, CH2), 4.05 т (2H, ОCH2, J 6.5), 6.93–6.98 м (2Н, C6H4), 7.35–7.44 м (3H, m,p-C6H5), 7.67 д (1Н, CH=CH, J 15.6), 7.71 д (1Н, CH=CH, J 15.6), 7.70–7.75 м (2Н, o-C6H5), 8.02–8.07 м (2Н, C6H4). Cпектр ЯМР 13С, δС, м. д.: 13.5 (CH3), 21.8 (CH2), 27.5 (CH2), 28.2 (CH2), 67.4 (ОCН2), 113.7 (2CН), 121.6 (CH), 128.0 (2CH), 128.2 (2CH), 129.4 (CH), 130.2 (2CH), 134.7, 142.5 (CH), 162.2, 186.3 (CО). Найдено, %: С 81.36; Н 7.50. C20H22O2. Вычислено, %: С 81.60; Н 7.53.
(E)-3-(4-Метоксифенил)-1-[4-(пентилокси)фенил]проп-2-ен-1-он (3). Выход 51%, т. пл. 88–89°С. ИК спектр, ν, см–1: 1652 (C=О). Спектр ЯМР 1H, δ, м. д. (J, Гц): 0.96 т (3H, CH3, J 7.1), 1.35–1.53 м (4H, CH2), 1.75–1.85 м (2H, CH2), 3.84 с (3Н, ОCН3), 4.03 т (2H, ОCH2, J 6.5), 6.90–6.97 м (4Н, C6H4), 7.55 д (1Н, CH=CH, J 15.5), 7.64 д (1Н, CH=CH, J 15.5), 7.64–7.69 м (2Н, C6H4OMe), 7.99–8.04 м (2Н, C6H4OAm). Cпектр ЯМР 13С, δC, м. д.: 13.5 (CH3), 21.8 (CH2), 27.6 (CH2), 28.2 (CH2), 54.6 (ОCН3), 67.3 (ОCН2), 113.6 (2CH), 113.8 (2CH), 119.1 (CH), 127.3, 129.7 (2CH), 130.1 (2CH), 130.5, 142.5 (CH), 160.8, 162.0, 186.3 (CО). Найдено, %: С 77.20; Н 7.48. C21H24O3. Вычислено %, С 77.75; Н 7.46.
(E)-3-(4-Бромфенил)-1-[4-(пентилокси)фенил]проп-2-ен-1-он (4). Выход 70%, т. пл. 132–133°С. ИК спектр, ν, см–1: 1658 (C=О). Спектр ЯМР 1H, δ, м. д. (J, Гц): 0.96 т (3H, CH3, J 7.1), 1.34–1.52 м (4H, CH2), 1.75–1.85 м (2H, CH2), 4.04 т (2H, ОCH2, J 6.5), 6.93–6.98 м (2Н, C6H4ОAm), 7.56–7.56 м (2H, C6H4Br), 7.62 д (1Н, CH=CH, J 15.6), 7.66–7.70 м (2Н, C6H4Br), 7.76 д (1Н, CH=CH, J 15.6), 8.03–8.08 м (2Н, C6H4ОAm). Cпектр ЯМР 13С, δC, м. д.: 13.5 (CH3), 21.8 (CH2), 27.5 (CH2), 28.2 (CH2), 67.4 (ОCН2), 113.7 (2CН), 122.3 (CH), 123.3, 129.7 (2CH), 130.1, 130.3 (2CH), 131.3 (2CH), 133.9, 141.1 (CH), 162.3, 186.2 (CО). Найдено, %: С 64.30; Н 5.60. C20H21BrO2. Вычислено, %: С 64.35; Н 5.67.
(E)-3-[4-(Диметиламино)фенил]-1-[4-(пентилокси)фенил]проп-2-ен-1-он (5). Выход 41%, т. пл. 127–129°С. ИК спектр, ν, см–1: 1644 (C=О). Спектр ЯМР 1H, δ, м. д. (J, Гц): 0.96 т (3H, CH3, J 7.1), 1.35–1.53 м (4H, CH2), 1.75–1.85 м (2H, CH2), 3.06 с (6H, NMe2), 4.03 т (2H, ОCH2, J 6.5), 6.71–6.76 м (2Н, C6H4NMe2), 6.91–6.96 м (2H, C6H4ОAm), 7.43 д (1Н, CH=CH, J 15.4), 7.54–7.59 м (2Н, C6H4NMe2), 7.61 д (1Н, CH=CH, J 15.4), 7.97–8.02 м (2Н, C6H4ОAm). Cпектр ЯМР 13С, δC, м. д.: 13.5 (CH3), 21.8 (CH2), 27.6 (CH2), 28.2 (CH2), 39.8 (NMe2), 67.3 (ОCН2), 111.8 (2CН), 113.5 (2CH), 116.4 (CH), 123.0, 129.7 (2CH), 129.9 (2CH), 130.9, 143.4 (CH), 150.9, 161.8, 186.3 (CО). Найдено, %: С 78.22; Н 8.03; N 4.10. C22H27NO2. Вычислено, %: С 78.30; Н 8.06; N 4.15.
(E)-3-(Бензо[d][1, 3]диоксол-5-ил)-1-[4-(пентилокси)фенил]проп-2-ен-1-он (6). Выход 53%, т. пл. 99–100°С. ИК спектр, ν, см–1: 1649 (C=О). Спектр ЯМР 1H, δ, м. д. (J, Гц): 0.96 т (3H, CH3, J 7.1), 1.35–1.52 м (4H, CH2), 1.75–1.85 м (2H, CH2), 4.03 т (2H, ОCH2, J 6.5), 6.05 с (2H, ОCH2О), 6.84 д (1Н, C6H3, J 8.0), 6.91–6.96 м (2H, C6H4), 7.16 д. д (1Н, C6H3, J 8.0, 1.7), 7.39 д (1Н, C6H3, J 1.7), 7.58 с (2Н, CH=CH), 8.02–8.07 м (2Н, C6H4). Cпектр ЯМР 13С, δC, м. д.: 13.5 (CH3), 21.8 (CH2), 27.6 (CH2), 28.2 (CH2), 67.4 (ОCН2), 101.0 (ОCН2О), 106.4 (CH), 107.8 (CH), 113.6 (2CH), 119.6 (CH), 124.6 (CH), 129.2, 130.2 (2CH), 130.5, 142.5 (CH), 147.8, 148.9, 162.1, 186.2. Найдено, %: С 74.52; Н 6.45. C21H22O4. Вычислено, %: С 74.54; Н 6.55.
Общая методика получения пиразолинов 7–11. К раствору 0.001 моль (Е)-1-(4-пентилоксифенил)-3-(арил)проп-2-ен-1-она 2–6 и 0.001 моль фенилгидразина в 15 мл этанола при комнатной температуре добавляли 2 капли серной кислоты. Полученную смесь кипятили 5–7 ч и оставляли на ночь. Осадок отфильтровывали, промывали водой и перекристаллизовывали из этанола.
3-[4-(Пентилокси)фенил]-1,5-дифенил-4,5-дигидро-1H-пиразол (7). Выход 31%, т. пл. 105–106°С. ИК спектр, ν, см–1: 1599 (C=N). Спектр ЯМР 1H, δ, м. д. (J, Гц): 0.96 т (3H, CH3, J 7.1), 1.35–1.52 м (4H, CH2), 1.73–1.83 м (2H, CH2), 3.06 д. д (1H, CH2CH, J 17.1, 7.0), 3.86 д. д (1Н, CH2CH, J 17.1, 12.2), 3.97 т (2H, ОCH2, J 6.5), 5.27 д. д (1Н, CHCH2, J 12.7, 7.0), 6.63–6.69 м (1Н, p-C6H5), 6.83–6.88 м (2Н, C6H4), 6.93–6.98 м (2Н, o-C6H5), 7.04–7.11 м (2Н, m-C6H5), 7.19–7.35 м (5Н, C6H5), 7.58–7.63 м (2Н, C6H4). Cпектр ЯМР 13С, δC, м. д.: 13.6 (CH3), 21.8 (CH2), 27.6 (CH2), 28.3 (CH2), 43.2 (CН2CН), 63.4 (CН), 67.1 (ОCH2), 112.6 (2CH), 113.9 (2CH), 117.9 (CH), 124.6, 125.3 (2CH), 126.6 (2CH), 126.8 (CH), 128.1 (2CH), 128.4 (2CH), 142.4, 144.5, 146.1, 159.0. Найдено, %: С 81.17; H 7.33; N 7.27. C26H28N2O. Вычислено, %: C 81.21; H 7.34; N 7.29.
5-(4-Метоксифенил)-3-[4-(пентилокси)фенил]-1-фенил-4,5-дигидро-1H-пиразол (8). Выход 62%, т. пл. 103–105°С. ИК спектр, ν, см–1: 1596 (C=N). Спектр ЯМР 1H, δ, м. д. (J, Гц): 0.97 т (3H, CH3, J 7.0), 1.35–1.53 м (4H, CH2), 1.73–1.83 м (2H, CH2), 3.02 д. д (1H, CH2CH, J 17.1, 7.0), 3.75 с (3H, ОCH3), 3.81 д. д (1Н, CH2CH, J 17.1, 12.1), 3.97 т (2H, ОCH2, J 6.4), 5.22 д. д (1Н, CH, J 12.1, 7.0), 6.62–6.68 м (1Н, p-C6H5), 6.79–6.89 м (4Н, C6H4), 6.93–6.99 м (2Н, o-C6H5), 7.04–7.11 м (2Н, m-C6H5), 7.17–7.23 м (2Н, C6H4ОМе), 7.58–7.63 м (2Н, C6H4ОC5H11). Cпектр ЯМР 13С, δC, м. д.: 13.6 (CH3), 21.8 (CH2), 27.6 (CH2), 28.3 (CH2), 43.2 (CН2CН), 54.4 (ОCН3), 62.9 (CH), 67.1 (ОCH2), 112.6 (2CH), 113.9 (4CH), 117.8 (CH), 124.7, 126.4 (2CH), 126.6 (2CH), 128.0 (2CH), 134.2, 144.5, 146.0, 158.2, 158.9. Найдено, %: С 78.20; H 7.26; N 6.74. C27H30N2O2. Вычислено, %: С 78.23; H 7.29; N 6.76.
5-(4-Бромфенил)-3-[4-(пентилокси)фенил]-1-фенил-4,5-дигидро-1H-пиразол (9). Выход 95%, т. пл. 114–115°С. ИК спектр, ν, см–1: 1596 (C=N). Спектр ЯМР 1H, δ, м. д. (J, Гц): 0.95 т (3H, CH3, J 7.1), 1.34–1.52 м (4H, CH2), 1.72–1.82 м (2H, CH2), 3.02 д. д (1H, CH2, J 17.2, 7.0), 3.86 д. д (1Н, CH2, J 17.2, 12.2), 3.96 т (2H, ОCH2, J 6.4), 5.29 д. д (1Н, CH, J 12.2, 7.0), 6.64–6.70 м (1Н, p-C6H5), 6.83–6.88 м (2Н, C6H4ОC5H11), 6.91–6.95 м (2Н, o-C6H5), 7.05–7.11 м (2Н, m-C6H5), 7.22–7.26 м (2Н, C6H4Br), 7.42–7.46 м (2Н, C6H4Br), 7.57–7.62 м (2Н, C6H4ОC5H11). Cпектр ЯМР 13С, δC, м. д.: 13.5 (CH3), 21.8 (CH2), 27.6 (CH2), 28.3 (CH2), 43.0 (CН2CН), 62.7 (CН), 67.1 (ОCH2), 112.6 (2CH), 113.9 (2CH), 118.1, 120.3, 124.4, 126.7 (2CH), 127.4 (2CH), 128.1 (2CH), 131.4 (2CH), 141.6, 144.3, 146.2, 159.1. Найдено, %: C 67.30; H 5.80; N 6.03. C26H27BrN2O. Вычислено, %: C 67.39; H 5.87; N 6.05.
N,N-Диметил-4-{3-[4-(пентилокси)фенил]-1-фенил-4,5-дигидро-1H-пиразол-5-ил}анилин (10). Выход 95%, т. пл. 147–148°С. ИК спектр, ν, см–1: 1599 (C=N). Спектр ЯМР 1H, δ, м. д. (J, Гц): 0.95 т (3H, CH3, J 7.1), 1.36–1.51 м (4H, CH2), 1.73–1.82 м (2H, CH2), 2.91 с (6H, NMe2), 3.02 д. д (1Н, CH2CH, J 17.1, 7.0), 3.78 д. д (1Н, CH2CH, J 17.1, 12.1), 3.96 т (2H, ОCH2, J 6.5), 5.16 д. д (1Н, CHCH2, J 12.1, 7.0), 6.60–6.65 м (1Н, p-C6H5), 6.64–6.70 м (2Н, C6H4NMe2), 6.82–6.87 м (2Н, C6H4ОC5H11), 6.93–6.98 м (2Н, o-C6H5), 7.02–7.08 м (2Н, m-C6H5), 7.09–7.14 м (2Н, C6H4NMe2), 7.57–7.62 м (2Н, C6H4ОC5H11). Cпектр ЯМР 13С, δC, м. д.: 13.6 (CH3), 21.8 (CH2), 27.6 (CH2), 28.3 (CH2), 40.1 (NMe2), 43.2 (CН2), 63.1 (CH), 67.1 (ОCH2), 112.7 (4CH), 113.8 (2CH), 117.6 (CH), 124.9, 126.1 (2CH), 126.5 (2CH), 128.0 (2CH), 144.6, 146.0, 149.1, 158.9. Найдено, %: C 78.60; H 7.76; N 9.80. C28H33N3O. Вычислено, %: C 78.65; H 7.78; N 9.83.
5-(Бензо[d][1, 3]диоксол-5-ил)-3-[4-(пентилокси)фенил]-1-фенил-4,5-дигидро-1H-пиразол (11). Выход 83%, т. пл. 118–119°С. ИК спектр, ν, см–1: 1596 (C=N). Спектр ЯМР 1H, δ, м. д. (J, Гц): 0.96 т (3H, CH3, J 7.1), 1.35–1.52 м (4H, CH2), 1.73–1.83 м (2H, CH2), 3.03 д. д (1Н, CH2CH, J 17.1, 7.0), 3.81 д. д (1Н, CH2CH, J 17.1, 12.1), 3.97 т (2H, ОCH2, J 6.5), 5.20 д. д (1Н, CH, J 12.1, 7.0), 5.93 с (2H, ОCH2О), 6.64–6.70 м (1H, p-C6H5), 6.74 д (1Н, C6H3, J 7.8), 6.75 д (1Н, C6H3, J 1.8), 6.80 д. д (1Н, C6H3, J 7.8, 1.8), 6.83–6.88 м (2Н, C6H4), 6.95–7.00 м (2Н, o-C6H5), 7.06–7.12 м (2Н, m-C6H5), 7.58–7.63 м (2Н, C6H4). Cпектр ЯМР 13С, δC, м. д.: 13.6 (CH3), 21.8 (CH2), 27.6 (CH2), 28.3 (CH2), 43.2 (CН2CН), 63.2 (CH), 67.1 (ОCH2), 100.4 (ОCН2О), 105.6 (CH), 107.9 (CH), 112.6 (2CH), 113.9 (CH), 117.9 (CH), 118.5 (CH), 124.6, 126.6 (2CH), 128.1 (2CH), 136.3, 144.4, 146.1, 146.3, 147.7, 159.0. Найдено, %: C 75.65; H 6.57; N 6.53. C27H28N2O3. Вычислено, %: C 75.68; H 6.59; N 6.54.
Общая методика получения 2,4,6-триарилпиримидинов 12–16. Смесь 0.001 моль гидрохлорида бензамидинa, 0.001 моль одного из (Е)-1-(4-пентилоксифенил)-3-(арил)проп-2-ен-1-онов и 0.22 г (0.004 моль) KOH в 10 мл этанола кипятили 5 ч. Осадок отфильтровывали, промывали водой и перекристаллизовывали из этанола.
4-[4-(Пентилокси)фенил]-2,6-дифенилпиримидин (12). Выход 40%, т. пл. 89–90°С. ИК спектр, ν, см–1: 1606, 1589. Спектр ЯМР 1H, δ, м. д. (J, Гц): 0.98 т (3H, CH3, J 7.0), 1.37–1.55 м (4H, CH2), 1.77–1.87 м (2H, CH2), 4.04 т (2H, ОCH2, J 6.4), 6.98–7.04 м (2Н, C6H4), 7.45–7.58 м (6Н, Ar), 8.18 с (1Н, =CH), 8.32–8.40 м (4Н, Ar), 8.65–8.70 м (2Н, Ar). Cпектр ЯМР 13С, δC, м. д.: 13.6 (CH3), 21.8 (CH2), 27.6 (CH2), 28.3 (CH2), 67.2 (ОCН2), 108.8 (CH), 114.0 (2CH), 126.8 (2CH), 127.6 (2CH), 127.8 (2CH), 128.1 (2CH), 128.4 (2CH), 128.8, 129.8 (CH), 130.0 (CH), 136.9, 137.7, 160.9, 163.1, 163.4. Найдено, %: C 82.18; H 6.63; N 7.08. C27H26N2O. Вычислено, %: C 82.20; H 6.64; N 7.10.
4-(4-Метоксифенил)-6-[4-(пентилокси)фенил]-2-фенилпиримидин (13). Выход 80%, т. пл. 110–112°С. ИК спектр, ν, см–1: 1606, 1588. Спектр ЯМР 1H, δ, м. д. (J, Гц): 0.98 т (3H, CH3, J 7.0), 1.37–1.55 м (4H, CH2), 1.77–1.87 м (2H, CH2), 3.90 с (3H, ОCH3), 4.04 т (2H, ОCH2, J 6.4), 6.97–7.06 м (4Н, C6H4), 7.43–7.55 м (3Н, m,p-C6H5), 8.10 с (1Н, =CH), 8.29–8.39 м (4Н, C6H4), 8.62–8.68 м (2Н, o-C6H5). Cпектр ЯМР 13С, δC, м. д.: 13.5 (CH3), 21.8 (CH2), 27.6 (CH2), 28.3 (CH2), 54.7 (ОCН3), 67.2 (ОCH2), 107.9 (CH), 113.5 (2CH), 113.9 (2CH), 127.6 (2CH), 127.7 (2CH), 128.29 (2CH), 128.30 (2CH), 129.0, 129.2, 129.6 (CH), 137.9, 160.7, 161.2, 162.9, 163.0, 163.1. Найдено, %: C 79.20; H 6.60; N 6.57. C28H28N2O2. Вычислено, %: C 79.22; H 6.65; N 6.60.
4-(4-Бромфенил)-6-[4-(пентилокси)фенил]-2-фенилпиримидин (14). Выход 40%, т. пл. 110–112°С. ИК спектр, ν, см–1: 1605, 1587. Спектр ЯМР 1H, δ, м. д. (J, Гц): 0.98 т (3H, CH3, J 7.1), 1.37–1.56 м (4H, CH2), 1.78–1.88 м (2H, CH2), 4.05 т (2H, ОCH2, J 6.4), 6.98–7.03 м (2Н, C6H4OAm), 7.44–7.54 м (3Н, m,p-C6H5), 7.65–7.70 м (2Н, C6H4Br), 8.24 с (1Н, =CH), 8.32–8.38 м (4Н, C6H4), 8.61–8.66 м (2Н, o-C6H5). Cпектр ЯМР 13С, δC, м. д.: 13.6 (CH3), 21.8 (CH2), 27.6 (CH2), 28.3 (CH2), 67.3 (ОCН2), 108.7 (CH), 114.0 (2CH), 124.3, 127.7 (2CH), 127.8 (2CH), 128.5 (2CH), 128.7 (2CH), 129.9 (CH), 131.2 (2CH), 136.0, 137.6, 161.0, 162.3, 163.2, 163.7. Найдено, %: C 68.45; H 5.30; N 5.90. C27H25BrN2O. Вычислено, %: C 68.50; H 5.32; N 5.92.
N,N-Диметил-4-{6-[4-(пентилокси)фенил]-2-фенилпиримидин-4-ил}анилин (15). Выход 40%, т. пл. 99–100°С. ИК спектр, ν, см–1: 1608, 1566. Спектр ЯМР 1H, δ, м. д. (J, Гц): 0.98 т (3H, CH3, J 7.1), 1.37–1.55 м (4H, CH2), 1.77–1.87 м (2H, CH2), 4.04 т (2H, ОCH2, J 6.4), 3.09 с (6H, NMe2), 6.77–6.82 м (2Н, C6H4NMe2), 6.97–7.02 м (2Н, C6H4ОC5H11), 7.43–7.53 м (3Н, m,p-C6H5), 8.00 с (1Н, =CH), 8.22–8.27 м (2Н, C6H4NMe2), 8.28–8.33 м (2Н, C6H4ОC5H11), 8.63–8.68 м (2Н, o-C6H5). Cпектр ЯМР 13С, δC, м. д.: 13.6 (CH3), 21.8 (CH2), 27.6 (CH2), 28.3 (CH2), 67.2 (ОCН2), 107.0, 111.2 (2CH), 113.9 (2CH), 124.2 (CH), 127.5 (2CH), 127.7 (2CH), 127.9 (2CH), 128.2 (2CH), 129.3, 129.5 (CH), 138.2, 151.5, 160.6, 162.6, 162.7, 163.4. Найдено, %: C 79.58; H 7.10; N 9.58. C29H31N3O. Вычислено, %: C 79.60; H 7.14; N 9.60.
4-(Бензо[d][1, 3]диоксол-5-ил)-6-[4-(пентилокси)фенил]-2-фенилпиримидин (16). Выход 40%, т. пл. 105–107°С. ИК спектр, ν, см–1: 1607, 1589. Спектр ЯМР 1H, δ, м. д. (J, Гц): 0.98 т (3H, CH3, J 7.0), 1.37–1.55 м (4H, CH2), 1.82 уш. квинтет (2H, CH2, J 6.4), 4.04 т (2H, ОCH2, J 6.4), 6.09 с (2H, ОCH2О), 6.96 д (1Н, C6H3, J 8.2), 6.97–7.02 м (2Н, C6H4ОC5H11), 7.43–7.54 м (3Н, m,p-C6H5), 7.92–8.01 м (2Н, C6H3), 8.10 уш. с (1Н, =CH), 8.31–8.36 м (2Н, C6H4), 8.61–8.67 м (2Н, o-C6H5). Cпектр ЯМР 13С, δC, м. д.: 13.6 (CH3), 21.8 (CH2), 27.6 (CH2), 28.3 (CH2), 67.2 (ОCН2), 101.0 (ОCН2О), 107.0, 107.7 (CH), 108.1 (CH), 113.9 (2CH), 121.5 (CH), 127.6 (2CH), 127.7 (2CH), 128.4 (2CH), 128.9, 129.7 (CH), 131.1, 137.8, 147.8, 149.3, 160.8, 162.8, 162.9, 163.2. Найдено, %: C 76.58; H 5.95; N 6.37. C28H26N2O3. Вычислено, %: C 76.69; H 5.98; N 6.39.
КОНФЛИКТ ИНТЕРЕСОВ
Авторы заявляют об отсутствии конфликта интересов.
About the authors
A. U. Isakhanyan
Scientific and Technological Center of Organic and Pharmaceutical Chemistry of the National Academy of Sciences of the Republic of Armenia
Author for correspondence.
Email: anush.isakhanyan.51@mail.ru
ORCID iD: 0000-0002-1713-4908
Armenia, Yerevan
Z. A. Ovasyan
Scientific and Technological Center of Organic and Pharmaceutical Chemistry of the National Academy of Sciences of the Republic of Armenia
Email: anush.isakhanyan.51@mail.ru
ORCID iD: 0000-0001-6698-7184
Armenia, Yerevan
G. S. Grigoryan
Yerevan State University
Email: anush.isakhanyan.51@mail.ru
ORCID iD: 0000-0002-0675-735X
Armenia, Yerevan
R. P. Mkhitaryan
Yerevan State University
Email: anush.isakhanyan.51@mail.ru
ORCID iD: 0009-0009-6277-2747
Armenia, Yerevan
L. S. Gabrielyan
Yerevan State University
Email: anush.isakhanyan.51@mail.ru
ORCID iD: 0000-0002-9212-9682
Armenia, Yerevan
G. A. Panosyan
Scientific and Technological Center of Organic and Pharmaceutical Chemistry of the National Academy of Sciences of the Republic of Armenia
Email: anush.isakhanyan.51@mail.ru
ORCID iD: 0000-0001-8311-6276
Armenia, Yerevan
M. Yu. Dangyan
Scientific and Technological Center of Organic and Pharmaceutical Chemistry of the National Academy of Sciences of the Republic of Armenia
Email: anush.isakhanyan.51@mail.ru
ORCID iD: 0000-0001-7703-1591
Armenia, Yerevan
A. S. Sargsyan
Scientific and Production Center “Armbiotechnology” of the National Academy of Sciences of the Republic of Armenia
Email: anush.isakhanyan.51@mail.ru
ORCID iD: 0000-0001-7249-233X
Armenia, Yerevan
A. A. Hambardzumyan
Scientific and Production Center “Armbiotechnology” of the National Academy of Sciences of the Republic of Armenia
Email: anush.isakhanyan.51@mail.ru
ORCID iD: 0000-0001-9526-7768
Armenia, Yerevan
A. A. Harutyunyan
Scientific and Technological Center of Organic and Pharmaceutical Chemistry of the National Academy of Sciences of the Republic of Armenia
Email: anush.isakhanyan.51@mail.ru
ORCID iD: 0000-0003-0641-5453
Armenia, Yerevan
References
- Morsy N.M., Hassan A.S. // Eur. J. Chem. 2022. Vol. 13. N 2. P. 241. doi: 10.5155/eurjchem.13.2.241-252.2245
- Suwito H., Jumina, Mustofa, Pudjiastuti P., Fanani M.Z., Kimata-Ariga Y., Katahira R., Kawakami T., Fujiwara T., Hase T., Sirat H.M., Puspaningsih N.N.T. // Molecules. 2014. Vol. 19. P. 21473. doi 10.3390/ molecules191221473
- Rammohan A., Reddy J.S., Sravya G., Rao C.N., Zyryanov G.V. // Environ. Chem. Lett. 2020. Vol. 18. N 2. P. 433. doi: 10.1007/s10311-019-00959-w
- Khan S.A., Asiri A.M., Al-Ghamdi N.S.M., Asad M., Zayed M.E.M., Elroby S.A.K., Aqlan F.M., Wani M.Y., Sharma K. // J. Mol. Struct. 2019. Vol. 1190. P. 77. doi: 10.1016/j.molstruc.2019.04.046
- Gouhar R.S., Ewies E.F., El-Shehry M.F., Shaheen M.N.E, Ibrahim E.-M.M.E. // J. Heterocycl. Chem. 2018. Vol. 55. P. 2368. doi: 10.1002/jhet.3301
- Samshuddin S., Narayana B., Sarojini B.K., Khan M.T.H., Yathirajan H.S., Raj C.G.D., Raghavendra R. // Med. Chem. Res. 2011. Vol. 21. N 8. P. 2012. doi: 10.1007/s00044-011-9735-9
- Гимадиева А.Р., Чернышенко Ю.Н., Мустафин А.Г., Абдрахманов И.Б. // Баш. xим. ж. 2007. Т. 14. № 3. C. 78.
- Lagoja I.M. // Chem. Biodivers. 2007. Vol. 2. N 1. P. 1. doi: 10.1002/cbdv.200490173
- Мартинкевич Д.С., Чернявская Е.Ф., Тарасевич В.А. // Весцi НАН Беларусi. Cер. хим. навук. 2021. Т. 57. № 4. С. 431. doi: 10.29235/1561-8331-2021-57-4-431-437
- Rani A., Anand A., Kumar K., Kumar V. // Exp. Opin. Drug Discov. 2019. Vol. 14. N 3. P. 249. doi: 10.1080/17460441.2019.1573812
- Mehmood R., Sadiq A., Alsantali R.I., Mughal E.U., Alsharif M.A., Naeem N., Javid A., Al-Rooqi M.M., Chaudhry G.-S., Ahmed S.A. // ACS Omega. 2022. Vol. 7. N 4. P. 3775. doi: 10.1021/acsomega.1c06694
- Чиряпкин А.С. // Juvenis Scientia. 2022. T. 8. № 5. С. 16. doi: 10.32415/jscientia_2022_8_5_16-30
- Varghese B., Al-Busafi S.N., Suliman F.O., Al-Kindy S.M.Z. // RSC Adv. 2017. Vol. 7. P. 46999. doi: 10.1039/C7RA08939B
- Ahmed M.H., El-Hashash M.A., Marzouk M.I., El-Naggar A.M. // J. Heterocycl. Chem. 2019. Vol. 56. P. 114. doi: 10.1002/jhet.3380
- Patil S.B. // Int. J Pharm. Sci. Res. 2018. Vol. 9. N 1. P. 44. doi: 10.13040/IJPSR.0975-8232.9(1).44-52
- Zhang B., Guo T., Li Z., Kühn F.E., Lei M., Zhao Z.K., Xiao J., Zhang J., Xu D., Zhang T., Li C. // Nat. Commun. 2022. Vol. 13. Art. no. 3365. doi: 10.1038/s41467-022-30815-5
- Achelle S., Rodríguez-Lopez J., Larbani M., Plaza-Pedroche R., Robin-le Guen F. // Molecules. 2019. Vol. 24. P. 1742. doi: 10.3390/molecules24091742
- Агарков А.С., Кожихов А.А., Нефедов А.А., Овсянников А.С., Исламов Д.Р., Соловьева С.Е., Антипин И.С. // Докл. РАН. Науки о материалах. 2022. T. 505. C. 50. doi: 10.31857/S2686953522700078; Agarkov A.S., Kozhikhov A.A., Nefedov A.A., Ovsyannikov A.S., Islamov D.R., Solovyova S.E., Antipin I.S. // Doklady Chem. 2022. Vol. 505. P. 177. doi: 10.1134/S0012500822700070
- Арутюнян А.А., Сумбатян А.С., Амбарцумян А.А., Паносян Г.А., Григорян А.С., Степанян Г.М., Мурадян Р.Е. // ЖОрХ. 2023. Т. 59. № 9. С. 1179. doi: 10.31857/S0514749223090082; Harutyunyan A.A., Sumbatyan A.S., Ambartsumyan A.A., Panosyan G.A., Grigoryan A.S., Stepanyan G.M., Muradyan R.E. // Russ. J. Org. Chem. 2023. Vol. 59. N 9. P. 1511. doi: 10.1134/S1070428023090087
- Lakowicz J.R. Principles of Fluorescence Spectroscopy. New York: Springer, 2006. P. 954. doi: 10.1007/978-0-387-46312-4
- Brouwer A.M. // Pure Appl. Chem. 2011. Vol. 83. N 12. P. 2213. doi: 10.1351/PAC-REP-10-09-31
- Hambardzumyan A.A., Hovsepyan A.S., Hayrapetyan H.L., Chailyan S.G. // Int. J. Pept. Res. Ther. 2021. Vol. 27. P. 1597. doi: 10.1007/s10989-021-10194-z
- Trott O., Olson A.J. // J. Comput. Chem. 2010. Vol. 31. P. 455. doi: 10.1002/jcc.21334
- Gao Y., Yan L., Huang Y., Liu F., Zhao Y., Cao L., Wang T., Sun Q., Ming Z., Zhang L., Ge J., Zheng L., Zhang Y., Wang H., Zhu Y., Zhu C., Hu T., Hua T., Zhang B., Yang X., Li J., Yang H., Liu Z., Xu W., Guddat L.W., Wang Q., Lou Zh., Rao Z. // Science. 2020. Vol. 368. N 6492. P. 779. doi: 10.1126/science.abb7498
- Kirsch K., Zeke A., Tőke O., Sok P., Sethi A., Sebő A., Kumar G.S., Egri P., Póti Á.L., Gooley P., Peti W., Bento I., Alexa A., Remény A. // Nat. Commun. 2020. Vol. 11. Art. no. 5769. doi: 10.1038/s41467-020-19582-3
- Kawakita Y., Seto M., Ohashi T., Tamura T., Yusa T., Miki H., Iwata H., Kamiguchi H., Tanaka T., Sogabe S., Ohta Y., Ishikawa T. // Bioorg. Med. Chem. 2013. Vol. 21. P. 2250. doi: 10.1016/j.bmc.2013.02.014
Supplementary files























