Аминные катализаторы в синтезе сшитых силиконовых диклофенаксодержащих композитов
- Авторы: Фармазян З.М.1, Атабекян М.Л.1, Акопян Э.А.1, Топузян В.О.1, Аракелова Э.Р.2, Григорян С.Л.2, Григорян С.Г.1
-
Учреждения:
- Научно-технологический центр органической и фармацевтический химии Национальной академии наук Республики Армения
- Национальный политехнический университет Армении
- Выпуск: Том 94, № 8 (2024)
- Страницы: 913-928
- Раздел: Статьи
- URL: https://journal-vniispk.ru/0044-460X/article/view/275735
- DOI: https://doi.org/10.31857/S0044460X24080051
- EDN: https://elibrary.ru/SBRGUA
- ID: 275735
Цитировать
Полный текст
Аннотация
Низкомолекулярные моно- и диамины (3-аминопропилтриэтоксисилан, гексаметилендиамин, 1,4-диаминобутан) и высокомолекулярный полидиметилсилоксан с концевыми аминными группами исследованы в качестве катализаторов в синтезе сшитых композитных пленок на основе полидиметилсилоксана с концевыми гидроксильными группами, тетраэтоксисилана в качестве сшивающего агента, содержащих диклофенак натрия в качестве физиологически активного соединения. Полиэтиленгликоль (PEG200) использован в качестве гидрофилизирующего компонета для гидрофобной силиконовой матрицы. Химическое строение аминных катализаторов и присутствие полиэтиленгликоля оказывают существенное влияние на свойства и структуру композитов, тем самим определяют кинетику и степень пролонгированного высвобождения диклофенака натрия из пленок.
Полный текст
ВВЕДЕНИЕ
Cиликоновые полимеры (полисилоксаны) широко применяют в синтезе сшитых эластомеров медицинского назначения, к которым относятся различные импланты, средства доставки лекарств, продукция для трансдермального введения лекарственных средств (пластыри, гели). До настоящего времени полисилоксановые эластомеры остаются в центре внимания исследователей, так как задачи и функции разрабатываемых средств доставки лекарств c контролируемым и пролонгированным действием постоянно развиваются и изменяются [1–5].
Механизмы контролируемого высвобождения лекарственных средств из полимерных систем исследовались и продолжают исследоваться параллелльно с развитием самих систем [4, 6, 7]. Основываясь на классификации полимеров, используемых в средствах доставки лекарств [8], силиконовые эластомеры относят к недеградируемым системам, базовым механизмом высвобождения биологически активных веществ из которых является диффузия, контролируемая набуханием. Диффузия растворенного или диспергированного в полимерной матрице вещества из полимера происходит в условиях диффузии воды или водных растворов, которые проникают во внутренние структуры сшитого полимера, вызывают набухание за счет развертывания цепей между узлами сетки и способствуют выделению активных веществ во внешнюю среду. Высвобождение лекарственых средств зависит от природы полимера, свойств лекарственных средств (растворимость, химическое строение), однородности его распределения в композите, возможного взаимодействия лекарственных средств с компонентами композита, присутствия в композитах различных целевых добавок и др.
К настоящему времени разработаны и широко используются специальные двухкомпонентные полисилоксановые основы медицинского назначения (например, MED-4901 [9, 10], Sylgard 184 [11], MED-6382 [12]). В результате смешения двух компонентов, один из которых – полисилоксан с различными концевыми группами (винильными, гидроксильными), второй – соответствующий сшиватель и катализатор (соединения платины и олова), образуются сшитые эластомеры, в результате реакций радикальной полимеризации, присоединения, или гидролиза-поликонденсации.
В частности, полисилоксановые эластомеры синтезируют из коммерчески доступных линейных полидиметилсилоксанов с концевыми гидроксильными группами (PDMS-OH), четырехфункциональных сшивающих агентов и катализаторов вулканизации [13–16]. Такой вариант синтеза позволяет варьировать свойства сшитой матрицы за счет изменения молекулярной массы PDMS-OH, типа катализатора, соотношения PDMS-OH, сшивающих компонентов и др.
В качестве наиболее эффективных катализаторов низкотемпературной вулканизации PDMS-OH используют соединения олова – дибутилдилаурат или 2-этилгексаноат олова [12, 13], обеспечивающие высокую скорость сшивания при комнатной температуре при малых их концентрациях. Аминные катализаторы, которые эффективны в реакциях гидролиза-конденсации тетраэтоксисилана (TEOS), используются в случаях, когда предпочитают избежать использования металлосодержащих катализаторов. В работе [14] для получения сшитых композитов PDMS-OH с TEOS, содержащих физиологически активное соединение никотин, в качестве нетипичного аминного катализатора впервые был использован высокомолекулярный полидиметилсилоксан с концевыми аминными группами (PDMS-NH2). Теми же авторами проведено сравнительное исследование влияние этого катализатора и дибутилдилаурата олова на морфологию получаемых эластомеров [15]. Показано, что при использовании PDMS-NH2 на поверхности образцов, соприкасающихся с воздухом, в результате гидролиза TEOS in situ формируются частички SiO2. В случае дибутилдилаурата олова образование частиц SiO2 не имеет места, т. е. особенности формирования морфологии эластомеров проявились при использовании аминного и оловосодержащих катализаторов.
Низкомолекулярный амин – 3-аминопропилтриэтоксисилан (APTES) – используется в основном в золь-гель системах и как катализатор, и как сомономер в реакциях гидролиза-конденсации совместно с TEOS для получения ксерогелей диоксида кремния [17, 18]. В сшитой системе на основе TEOS и PDMS-OH APTES был применен при получении золь-гель методом гидрогелей, содержащих гиалуроновую кислоту [19]. Однако роль APTES как катализатора в реакциях синтеза сшитых эластомеров при взаимодействии TEOS и PDMS-OH исследована недостаточно.
Целью работы является исследование каталитических свойств различных моно- и диаминов в процессе образования сшитых композитов на основе системы PDMS-OH и TEOS, содержащих лекарственное средство, их влияние на морфологию композитов и кинетику высвобождения лекарственного средства.
РЕЗУЛЬТАТЫ И ОБСУЖДЕНИЕ
Синтезированы силиконовые эластомеры на основе коммерчески доступного полидиметилсилоксана с концевыми гидроксильными группами (PDMS-ОН) с использованием TEOS в качестве сшивающего агента и первичных аминных соединений в качестве катализаторов вулканизации PDMS-ОН при комнатной температуре (схема 1). В синтезе и исследовании силиконовых композитов в качестве модельного лекарственного средства использовали натриевую соль диклофенака натрия. В качестве катализаторов исследовали высокомолекулярный и низкомолекулярные амины: гексаметилендиамин (HMDA, 1,6-гександиамин) и 1,4-бутандиамин (DAB, путресцин), которые можно рассматривать как низкомолекулярные фрагменты PDMS-NH2, моделирующие концевые –(CH2)nNH2 аминные группы, а также 3-аминопропилтриэтоксисилан (APTES). Последний выступает в роли катализатора вулканизации силикона, но также может образовать ксерогели диоксида кремния в результате совместных с TEOS реакций гидролиза-поликондесации.
Схема 1.
Композиты получали в виде объемных образцов (А и Б), представлящих собой цилиндры высотой 0.5–0.6 см и диаметром 2.5 см и пленок (В и Г) толщиной 0.3–0.5 мм.
При практически одинаковой слабой степени набуханиия всех образцов (до 10−15%) (рис. 1б) количество десорбированного диклофенака натрия из объемных образцов А составляет 5–12% и ~25% в случае, когда катализатором вулканизации является APTES (рис. 1а). Введение ~11% гидрофильного компонента PEG200 в гидрофобную матрицу (образцы Б) способствовует повышению степени набухания, а также повышению степени высвобождения диклофенак натрия из всех образцов почти вдвое, до 20–30% (рис. 1в), кроме образца с использованием APTES. В последнем случае высвобождение диклофенака натрия более низкое (до 6%), хотя степень набухания этого образца выше остальных и достигает 70% (рис. 1г).
Рис. 1. Кинетические кривые высвобождения диклофенака натрия и степень набухания объемных образцов A (a, б) и Б (в, г). а, б: 1 – A-APT, 2 – A-HMDA, 3 – A-PDS, 4 – A-DAB; в, г: 1 – Б-APT, 2 – Б-HMDA, 3 – Б-PDS, 4 – Б-DAB.
Повышение степени набухания при введении PEG200 согласуется с известными представлениями о роли гидрофилизирующих добавок (этиленгликоль, глицерин, полиэтиленгликоль разной молекулярной массы) как агентов, способствующих набуханию гидрофобной сшитой матрицы в воде и водных средах [20, 21]. С другой стороны, при смешении PEG200 (поверхностное натяжение γ 43.5 мН/м) с PDMS-OH (γ 24.8 мН/м) и TEOS (γ 24.8 мН/м) образуется эмульсионная система, в которой гидрофильные домены (микрокапли) PEG200 распределены в гидрофобной среде, вследствие чего появляется межфазная гидрофильно-гидрофобная поверхность. Введенные в эту систему катализаторы и диклофенак натрия располагаются специфическим образом, обусловленным наличием в их молекулах гидрофильных, гидрофобных и полярных групп, тем самым оказывая влияние на морфологию и кинетику высвобождения диклофенака натрия.
Из пленок В того же состава, что и объемные образцы Б (пленки В-HMDA, В-DAB и В-PDS (табл. 1) степень высвобожденного диклофенака натрия увеличивается до 52−58% (рис. 2а) при степени набухания 38, 57 и 38% соответственно (рис. 2б). Здесь исключение составляет пленка В-APT, аналогично объемному образцу Б-APT, степень высвобождения диклофенака натрия составляет ~10%, при относительно высокой степени набухания (около 80%). Повышение доли PEG200 в пленках с катализаторами HMDA и DAB до ~20 % (пленки Г-HMDA и Г-DAB, табл. 1) привело к увеличению количества высвобождаемого диклофенака натрия до 65–70% в течение 3 сут (рис. 2а). Замечено, что при применении в качестве катализатора вулканизации полимерного амина PDMS-NH2 пленка с 20% PEG200 не образуется.
Таблица 1. Составы и соотношение компонентов в объемных образцах и пленках.а
Образец | PDMS-OH, мас% (ммоль) | TEOS, мас% (ммоль) | Катализатор, мас% (ммоль) | PEG200, мас% (ммоль) | Диклофенак натрия, мас% (ммоль) |
А-APT | 90.0 (0.05) | 3.5 (0.34) | 3.5 (0.32) | 0.0 | 3.0 (0.19) |
Б-APT В-APT | 80.0 (0.05) | 3.1 (0.34) | 3.1 (0.32) | 11.1 (1.25) | 2.7 (0.19) |
А-PDS | 90.0 (0.05) | 3.5 (0.34) | 3.5 (0.078) | 0.0 | 3.0 (0.19) |
Б-PDS В-PDS | 80.0 (0.05) | 3.1 (0.34) | 3.1 (0.078) | 11.1 (1.25) | 2.7 (0.19) |
А-DAB | 90.7 (0.05) | 3.5 (0.34) | 2.7 (0.61) | 0.0 | 3.1 (0.19) |
Б-DAB В-DAB | 81.6 (0.05) | 3.2 (0.34) | 1.2 (0.3) | 11.3 (1.25) | 2.7 (0.19) |
Г-DAB | 73.3 (0.05) | 2.8 (0.34) | 1.1 (0.3) | 20.4 (2.5) | 2.4 (0.19) |
А-HMDA | 90.0 (0.05) | 3.5 (0.34) | 3.5 (0.6) | 0.0 | 3.0 (0.19) |
Б-HMDA В-HMDA | 80.0 (0.05) | 3.1 (0.34) | 3.1 (0.6) | 11.1 (1.25) | 2.7 (0.19) |
Г-HMDA | 72.0 (0.05) | 2.8 (0.34) | 2.8 (0.6) | 20.0 (2.5) | 2.4 (0.19) |
а Использованы следующие обозначения образцов: объемные образцы без PEG200 – А-APT, А-PDS, А-DAB, А-HMDA; объемные образцы с содержанием PEG200 ~11% – Б-APT, Б-PDS, Б-DAB, Б-HMDA; пленки с содержанием PEG200 ~11% – В-APT, В-PDS, В-DAB и В-HMDA; пленки с содержанием PEG200 ~20% Г-DAB и Г-HMDA. Катализаторы: APT − 3-аминопропилтриэтоксисилан, PDS − PDMS-NH2, DAB − диаминобутан, HMDA – гексаметилендиамин.
Рис. 2. Кинетические кривые высвобождения диклофенака натрия (а) и набухания пленок (б) в зависимости от типа катализатора и количества PEG200. 1 – Г-HMDA, 2 – Г-DAВ, 3 – В-PDS, 4 – В-DAB, 5 – В-HMDA, 6 – В-АPТ.
Представляет интерес эффект, выявленный при сравнении пленок Г-HMDA и Г-DAB с добавлением ~20% PEG200. Степень высвобождения диклофенака натрия из этих пленок повышается до 65–70% (рис. 2а). При этом набухание пленки Г-HMDA максимальное (до 150%), а набухание пленки Г-DAB сравнимо с пленкой В-APT (80%), содержащей 11.1% PEG200, из которой, как было сказано выше, степень высвобождения диклофенака натрия составляет всего 10% (рис. 2б). Очевидно, что в исследованных образцах набухание не является основным фактором, определяющим высвобождение диклофенака натрия из композитов. Степень и кинетика высвобождения могут быть связаны с различным распределением диклофенака натрия в компонентах пленки, взаимодействием составляющих композитов друг с другом, термодинамикой поверхности пленок (свободной поверхностной энергией), а также с морфологией образцов.
В табл. 2 приведены значения свободной поверхностной энергии пленок. Свободная поверхностная энергия пленок В-APT, В-PDS и В-DAB находится в интервале 15.9–35.2 мН/м, причем ее дисперсионные составляющие, которые обусловлены ван-дер-ваальсовыми взаимодействиями, выше полярных (сильные взаимодействия и водородные связи). Пленка В-HMDA имеет неожиданно высокую поверхностную энергию, в основном за счет полярной составляющей. Увеличение количества PEG200 в образце Г-DAB до 20% повысило значение свободной поверхностной энергии, причем за счет дисперсионной составляющей. Однако в пленке Г-HMDA увеличение PEG200 до 20%, наоборот, способствовало понижению свободной поверхностной энергии за счет резкого уменьшения полярной составляющей. Вероятной причиной высокой свободной поверхностной энергии пленки В-HMDA является то, что полярные аминные группы гексаметилендиамина в процессе формирования пленки в основном располагаются близко к поверхности, граничащей с воздухом, аналогично тому, как это обнаружено в случае с катализатором PDMS-NH2 [15]. Понижение поверхностной энергии при увеличении доли PEG200 в пленке до 20.0% (и, соответственно, доли гидроксильных групп), в большей степени за счет полярной составляющей, может быть результатом взаимодействия аминных групп катализатора с гидроксильными группами полиэтиленгликоля.
Таблица 2. Контактные углы смачивания пленок полярным (вода) и неполярным растворителем (метилениодид) и значения свободной поверхностной энергии, рассчитанные методом Оунса, Вендта, Рабеля и Кьельбле по измеренным значениям углов смачивания.
Образец с PEG200 (%) | Контактные углы смачивания, град | Поверхностная энергия, мН/м | |||
вода | CH2I2 | γ | γd | γp | |
В-APT (11.1%) | 92.2 | 73.4 | 22.4 | 17.8 | 4.6 |
В-PDS (11.1%) | 70.8 | 61.2 | 35.2 | 21.0 | 14.1 |
В-DAB (11.3%) | 101.2 | 83.7 | 15.9 | 14.0 | 1.9 |
Г-DAB (20.4%) | 104.2 | 66.2 | 25.2 | 24.7 | 0.6 |
В-HMDA (11.1%) | 40.2 | 88.8 | 65.8 | 3.0 | 62.8 |
Г-HMDA (20.0%) | 103.1 | 93.8 | 11.3 | 9.6 | 1.3 |
На СЭМ-снимках пленки В-APT (рис. 3) проявляются трещины и глобулярные включения различного диаметра (около 0.1, 4, 40 мкм). Глобулярные включения образованы микрокаплями гидрофильного полиэтиленгликоля в гидрофобной силиконовой матрице. Наличие трещин может способствовать относительно высокой степени набухания пленок в растворе NaCl (рис. 2б). Однако низкая степень высвобождения диклофенака натрия (~10%) свидетельствует о том, что здесь механизм диффузии, контролируемый набуханием, не является решающим, а есть другие факторы, препятствующие высвобождению диклофенака натрия. Судя по снимкам (рис.3а–в) основная часть диклофенака натрия (возможно, в координации с APTES) находится внутри микроглобул PEG200, гидрофильная поверхность которых окружена гидрофобным слоем полисилоксановой сетки. Это затрудняет проникновение (доступ) водного раствора NaCl в микрокапли PEG200, поэтому диффузия диклофенака натрия в раствор затруднена, что и объясняет низкую степень его высвобождения. На рис. 3г зеленый цвет внутри глобулы обусловлен атомами хлора, присутствующими в молекуле диклофенака натрия, свидетельствует о его включении в микрокапли PEG200.
Рис. 3. Микрофотографии поверхности пленки В-APT, содержащей диклофенак натрия и ~11% полиэтиленгликоля. Пленка получена из PDMS-OH и TEOS в присутствии катализатора APTES.
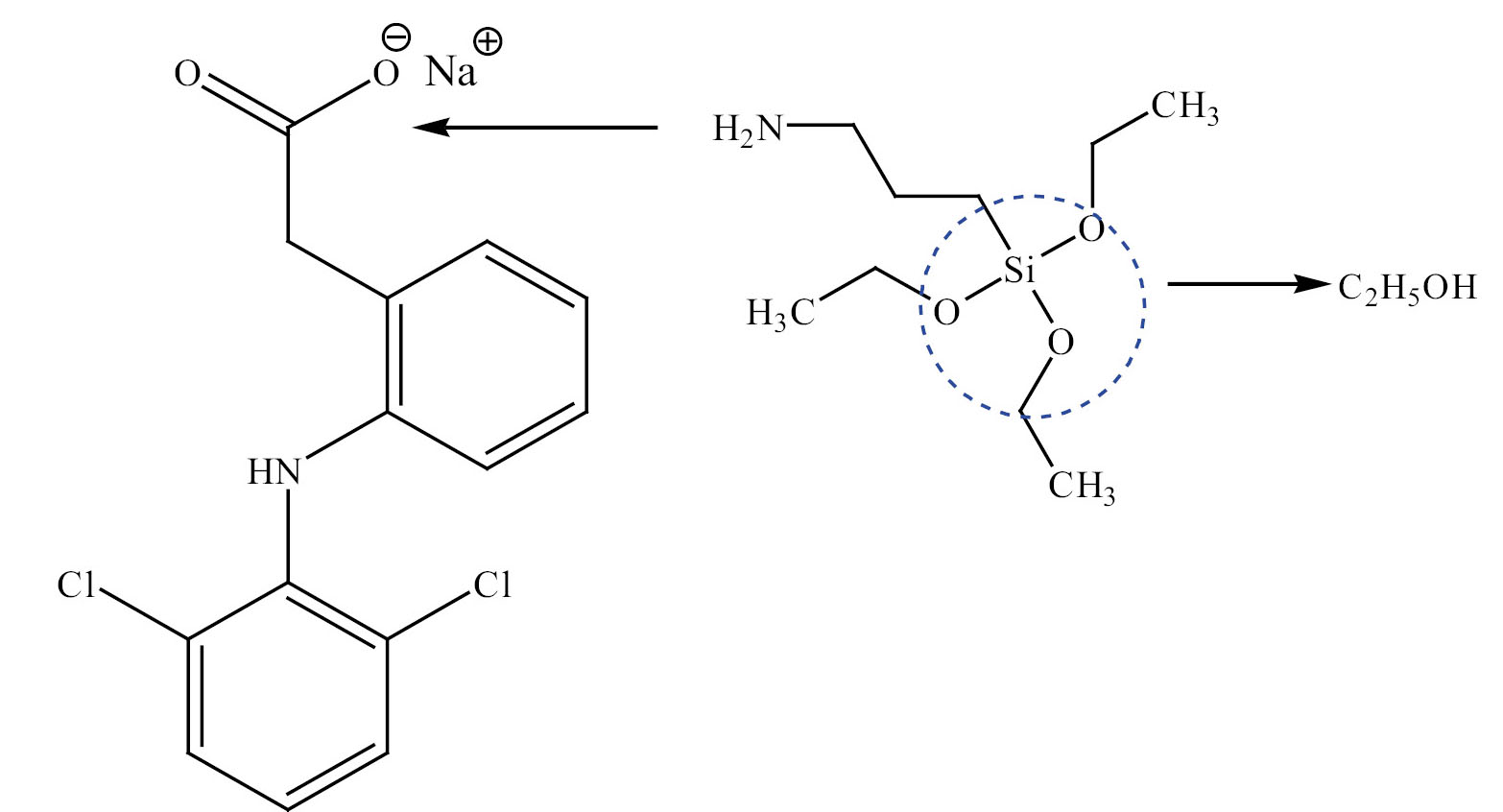
ИК спектры смеси диклофенака натрия с APTES подтверждают предположение об их координации (рис. 4). В ИК спектрах APTES и диклофенака натрия присутствуют все характеристические полосы валентных и деформационных колебаний [22, 23]. В ИК спектре смеси APTES и диклофенака натрия наблюдатся следующие изменения: исчезновение пиков деформационных колебаний (см–1) APTES 1593 (NH2), 1443 [СН(CH3)], 1365, 1296 [СН(CH2)], валентных колебаний диклофенака натрия 1283 (C–N), 2924 и 2854 [СН(CH2)], полоса 793 (Si–O) совмещается с полосой 767 и 747 (СН) диклофенака натрия. Исчезает пик 1401 [νs(COO–)], но полоса 1575 [νas(COO–)] остается без изменений. В области 2700–3500 см–1 присутствует широкая полоса, характерная для группы NH APTES с максимумами при 3386 и 3256 см–1, которые совпадают с пиками NH диклофенака натрия. Исходя из этих данных, в композиционной смеси возможна координация NH2-групп преимущественно с карбоксилат-ионом и гидролиз алкоксигрупп APTES с выделением этилового спирта (представлено на схеме 2).
Рис. 4. ИК спектры APTES (1), диклофенака натрия (2) и их смеси (3).
Схема 2.
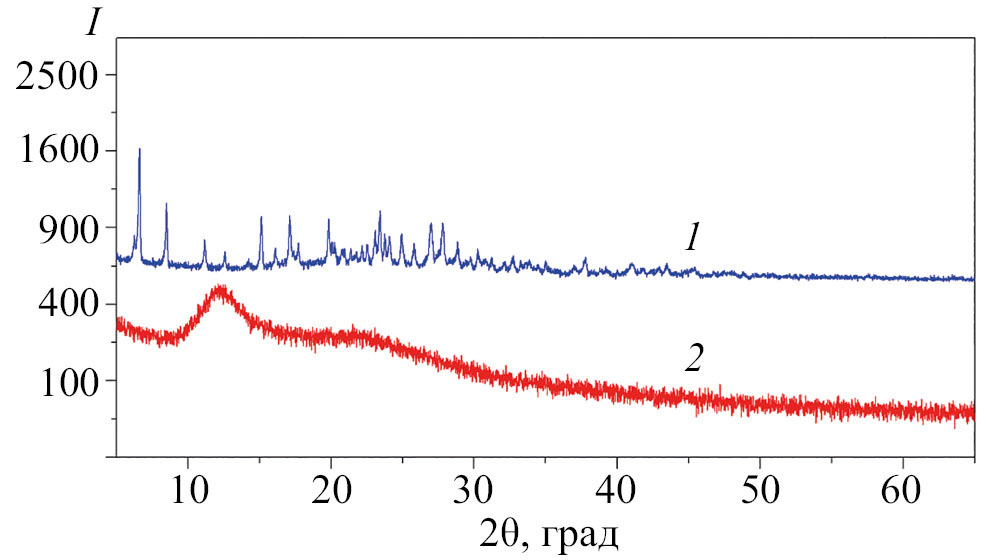
Дифрактограммы пленки В-APT и диклофенака натрия показаны на рис. 5. На пленке практически отсутствуют рефлексы диклофенака натрия, что может быть следствием нарушения его кристаллической решетки вследствие взаимодействия с составляющими композита, в частности APTES. Двугорбость аморфного гало обусловлена наличием двух структурированных областей ближнего порядка аналогично ранее обнаруженному в ксерогелях диоксида кремния APTES-TEOS [18].
Рис. 5. Дифрактограммы диклофенака натрия (1) и пленки В-APT, содержащей ~11% PEG200. Пленка получена взаимодействием PDMS-OH и TEOS в присутствии катализатора APTES.
Пленка В-PDS (рис. 6) характеризуется наличием структурированных участков, а также неоднородных включений размерами 5–30 мкм, которые образованы гидрофильными доменами PEG200 в силиконовой матрице.
Рис. 6. Микрофотографии поверхности пленки В-PDS, содержащей диклофенак натрия и ~11% PEG200. Пленка получена взаимодействием PDMS-OH и TEOS в присутствии катализатора PDMS-NH2.
В ИК спектрах PDMS-NH2 присутствуют характеристические полосы валентных колебаний 2961, 2925, 2880 (CH3 и CH2), 1260 (Si–CH3), 1087 и 1026 (Si–O–Si), 3300–3400 см–1 (NH2); деформационных колебаний 1580 (NH2), 1450–1460 см–1 (CH3 и CH2) [24]. В ИК спектрах смеси PDMS-NH2 и диклофенака натрия присутствуют все основные характеристические полосы PDMS-NH2 и диклофенака натрия, и нет сдвигов полос поглощения, т. е. практически нет взаимодействия между их функциональными группами. Вероятно, в пленке В-PDS диклофенак натрия распределен равномерно по всему образцу, что характерно для матричного распределения, и это способствует более высокой степени высвобождения (~60%) при невысокой степени набухания (до 40%).
СЭМ-изображения поверхности пленок В-HMDA (мольное соотношение диклофенак натрия:APTES:PEG = 1:3.2:6.6) и Г-HMDA (мольное соотношение диклофенак натрия:APTES:PEG = 1:3.2:13.2) показаны на рис. 7 и 8. В пленку В-HMDA (рис. 6) включены как отдельные конгломераты, образованные из ориентированно направленных «лепестков», так и области, состоящие из слоистых образований и отдельных частиц разной степени упорядоченности. С увеличением количества PEG200 в пленке Г-HMDA изменяется морфология пленки (рис. 7). СЭМ-Изображения показывают наличие конгломератов (а, б), однако лепестки менее ориентированы, чем в образце В-HMDA. В пленке появились области иной структуры, в виде цепочек (в, г), расположенных между конгломератами (д). Наличие структурированых частиц и областей в пленках В-HMDA и Г-HMDA, а также изменения в морфологии пленок при увеличении количества PEG является следствием специфического расположения катализатора гексаметилендиамина в смеси PDMS-OH, TEOS, PEG200 и диклофенака натрия на начальной стадии формирования пленок и их возможного взаимодействия.
Рис. 7. Микрофотографии поверхности пленки В-HMDA, содержащей диклофенак натрия и ~11% полиэтиленгликоля. Пленка получена взаимодействием PDMS-OH и TEOS в присутствии катализатора HMDA.
Рис. 8. Микрофотографии поверхности пленки Г-HMDA, содержащей диклофенак натрия и ~20% PEG200. Пленка получена взаимодействием PDMS-OH и TEOS в присутствии катализатора HMDA.
На рис. 9 показаны дифрактограммы HMDA, диклофенака натрия и пленок, содержащих 11% PEG200 (В-HMDA) и 20% PEG200 (Г-HMDA). На пленке В-HMDA не проявляются кристаллические рефлексы ни диклофенака натрия, ни HMDA, очевидно, вследствие того, что они инкорпорированы в структуру или связаны с ее компонентами. Однако на дифрактограмме пленки Г-HMDA с 20% PEG200 наблюдаются рефлексы при 2θ = 11.07, 14.66, 18.21, 20.89, 21.33, 21.91, 24.43, 24.86, 26.06 и 27.72, 41.60 и 62.68° с межплоскостными расстояниями d = 7.99, 6.04, 4.87, 4.25, 4.16, 4.06, 3.64, 3.58, 3.42, 3.22, 2.17 и 1.48 Å, свидетельствующие о возможном образовании комплекса. В этот комплекс входят диклофенак натрия и HMDA, так как их рефлексы и межплоскостные расстояния соответствуют предполагаемому комплексу (дифрактограмма диклофенака натрия имеет рефлексы с 2θ = 20.95, 21.42, 24.94, 27.83, 41.81 и 63.62° с межплоскостными расстояниями 4.24, 4.15, 3.57, 3.21, 2.16 и 1.46 Å; дифрактограмма HMDA имеет рефлексы с 2θ = 21.92, 24.56, 41.50 и 62.92° с межплоскостными расстояниями 4.06, 3.63, 2.17 и 1.48 Å). Исходя из иccледований, проведенных с использованием программного обеспечения X′Pert High ScorePlus, ICSD и СOD, можно предположить образование структуры, включающей диклофенак натрия, PEG и HMDA. Предполагаемая структура может содержать от 2 до 4 молекул диклофенака натрия, которые связаны друг с другом, с HMDA и PEG200.
Рис. 9. Дифрактограммы гексаметилендиамина (1), диклофенака натрия (2), пленки В-HMDA (3, 11% PEG200), пленки Г-HMDA (4, 20%PEG200).
О возможности формирования таких структур свидетельствуют изменения в ИК спектрах диклофенака натрия в смесях с HMDA и PEG200 (рис. 10 и 11). Так, в спектрах смеси диклофенака натрия и HMDA исчезают пики валентных колебаний 1401, 1575 (COO–) диклофенака натрия и 1609 (NH) HMDA, появляется новый пик 1583 cм–1 вследствие взаимодействия группы NH2 с COO– (рис. 10). В спектрах смеси диклофенака натрия и PEG200 исчезают пики валентных колебаний 1283 и 1305 (C–N), 1506 (фенилацетатное кольцо) и 1401 cм–1 (COO–), а полоса 1575 cм–1 (COO-) сдвигается до 1586 см–1 (рис. 11). Вероятно, в смеси диклофенака натрия с PEG200 имеет место взаимодействие гидроксильных групп PEG200 с карбонильной группой и образование водородных связей между NH-группой диклофенака натрия и гидроксильными группами PEG200. В спектрах смеси HMDA с PEG200 в области 3000–3500 см–1 валентные колебания группы NH2 попадают под полосу валентных колебаний О–Н PEG200 с максимумом 3358 см–1, который может быть суммой полос 3329 cм–1 HMDA и 3397 cм–1 PEG200; пик 1609 cм–1 (NH) сдвигается и раздваивается на две полосы 1602 и 1653 см–1. Изменения в ИК спектрах при взаимодействии HMDA с PEG200 происходят вследствие образования водородных связей между гидроксильной и аминной группами. Вероятные взаимодействия между диклофенаком натрия, HMDA и PEG200 представлены на схеме 3.
Рис. 10. ИК спектры HMDA (1), диклофенака натрия (2) и их смеси (3).
Рис. 11. ИК спектры PEG200 (1), диклофенака натрия (2) и их смеси (3).
Схема 3.
ВЫВОДЫ
Молекулярная масса и химическое строение исследованных аминных катализаторов оказывают существенное влияние на морфологию, набухание, свободную поверхностную энергию пленок, и в конечном итоге, определяют кинетику и степень высвобождения диклофенака натрия. При использовании в качестве катализаторов диаминобутана и гексаметидендиамина вероятен механизм высвобождения диклофенака натрия, обусловленный набуханием, так как количество высвобождаемого из пленок диклофенака увеличивается с повышением степени набухания. Повышению степени набухания способствует наличие полиэтиленгликоля в гидрофобных силиконовых матрицах. Обнаружено, что при содержании 20% PEG200 в пленках с гексаметилендендиамином формируются структуры, включающие диклофенак натрия, PEG200 и HMDA. При использовании в качестве катализатора APTES степень высвобождения диклофенака натрия не зависит от степени набухания. С одной стороны, наличие PEG200 способствует набуханию, что согласуется с известными данными о его роли «проводника» водных растворов в гидрофобные матрицы, и набухание происходит за счет развертывания полимерных цепей между узлами сетки. Но, с другой стороны, в композиционной смеси с APTES PEG200 играет роль резервуара, в который включен диклофенак натрия, координированный с катализатором, вследствие чего не происходит его диффузия во внешнюю среду. Сравнение значений свободной поверхностной энергии и соотношений их полярных и дисперсионных составляющих позволяет сделать предварительные предположения о морфологии пленок (расположении функциональнх групп компонентов внутри или на поверхности пленок, их взаимодействии друг с другом). В ряду исследованных соединений три низкомолекулярных амина (APTES, DAB и HMDA) выполняют роль катализаторов, но в отличие от высокомолекулярного диамина PDMS-NH2 они одновременно могут служить модификаторами модельного лекарственного соединения диклофенака натрия при наличии в системе гидрофилизирующего компонента – полиэтиленгликоля.
ЭКСПЕРИМЕНТАЛЬНАЯ ЧАСТЬ
В работе использовали коммерчески доступные реагенты без дополнительной очистки: полидиметилсилоксан с концевыми гидроксильными группами PDMS-OH (Gelest, DMS-S32, 1800–2200 сСт, ~36000 г/моль), полидиметилсилоксан с концевыми аминными группами PDMS-NH2 (Gelest, DMS-A11, 10−15 сСт, 850–900 г/моль), 3-аминопропилтриэтоксисилан (APTES, Gelest), тетраэтоксисилан (TEOS, Sigma-Aldrich, 99%), полиэтиленгликоль (PEG200, Sigma-Aldrich), диклофенак натрия (Sigma-Aldrich), гексаметилендиамин (1,6-диаминогексан, HMDA, Sigma-Aldrich, 98%), диаминобутан (1,4-бутандиамин, DAB, Fluka AG, Buchs SG, ≥99%), метилениодид (98%, ООО РЕАХИМ). Гексаметилендиамин и диаминобутан – кристаллические вещества с температурами плавления 38 и 27°С соответственно. Физиологический раствор (0.9%-ный раствор NaCl) готовили растворением 9 г NaCl (ХЧ, ООО РЕАХИМ) в 1 л дистиллированной воды (дистиллятор Z-5Z, Nanjing Everich Medicare Import & Export Co. Ltd). Диклофенак натрия представляет собой субстанцию, ИК спектр и дифрактограмма которой совпадают с данными [25] для безводной формы. Диклофенак натрия относится к классу II (низкая растворимость, высокая проницаемость), согласно системе BCS (Биофармацевтическая классификационная система).
Синтез композитных образцов. Композиты получали в виде объемных образцов (А, Б), представляющих собой цилиндры высотой 0.5–0.6 см и диаметром 2.5 см, и пленок (В и Г) толщиной 0.3–0.5 мм. Состав образцов (мас%, ммоль) приведен в табл. 1.
Синтез объемных образцов (А). 1.8 г PDMS-OH смешивали с 0.07 г TEOS, тщательно перемешивали вручную в течение 4–5 мин, затем добавляли последовательно 0.06 г диклофенака натрия, 0.07 г катализатора (APTES, PDMS-NH2 или HMDA) или 0.054 г DAB, вновь перемешивали 2–3 мин, и затем подвергали ультразвуковому воздействию в течение 5 мин.
Синтез объемных образцов, содержащих 11% PEG200 (Б). 1.8 г PDMS-OH сначала смешивали с 0.25 (или 0.5) г PEG200, тщательно перемешивали в течение 4–5 мин, затем добавляли 0.06 г диклофенака натрия, 0.07 г катализатора (APTES, PDMS-NH2) или 0.027 г катализатора DAB. После перемешивания в течение 8–10 мин смесь оставляли в термошкафу при 39–40°С до формирования сшитого образца.
Синтез композитных пленок В и Г. Готовые композитные смеси сразу выливали в пластиковые чашки Петри диаметром 4.5 см. В результате образуются пленки, легко снимаемые с пластиковой поверхности. Все образцы готовили при комнатной температуре (23–25°С), но в случае диаминобутана и гексаметилендиамина смесь подогревали до 40°С, чтобы перевести амины в жидкую форму. После смешения всех компонентов образцы помещали в термостат и выдерживали при 39–40°C до образования сшитого композита.
Высвобождение диклофенака натрия в 0.9%-ном растворе NaCl определяли спектрофотометрически (Cary 100 UV-Vis Spectrophotometer, Agilent Technologies) при длине волны 275 нм. Из каждого образца вырезали по три фрагмента массой 0.05–0.1 г и помещали в 5 мл раствора NaCl в пробирки Эппендорфа. Через определенные интервалы времени растворы отбирали и определяли в них количество десорбированного диклофенака натрия, в пробирки заливали свежую порцию раствора NaCl. Количество высвобожденного диклофенака натрия рассчитывали, как среднее 3 измерений. В течение всего времени эксперимента образцы выдерживали в термостате при 37–38°С. Среднеквадратическое отклонение измерений R2 составляло 0.87–0.99 для объемных образцов и 0.96–0.99 для пленок.
Набухание образцов. Взвешенные фрагменты образцов (0.15–0.2 г) помешали в бюксы с 5 мл раствора NaCl, оставляли при температуре 37–38°С, периодически помешивая вручную. Через каждые 24 ч сливали жидкость, доставали образец, сушили фильтровальной бумагой и взвешивали. Затем образец вновь помешали в свежую порцию раствора NaCl. Коэффициент набухания рассчитывали по отношению прироста в весе к начальному весу образца:
Набухание,
где w0 – начальный вес образца, w – вес набухшего образца через определенный интервал времени.
Измерения контактных углов смачивания пленок полярным (вода) и неполярным (метилениодид) растворителями проведены на приборе для определения контактных углов смачивания CAM 101 (KSV Instruments Ltd, Finland). Прибор оснащен программным обеспечением для расчета свободной поверхностной энергии и ее полярной и дисперсионной составляющих методами разных авторов (Зисмана, Фоукса, Ву и Оунса, Вендта, Рабеля и Кьельбле) [26] по измеренным значениям углов смачивания. Контактные углы смачивания замеряли на трех разных участках пленки в течение 30 с (60 кадров). Отклонения от среднего значения составляли ±2% на пленках с APTES, PDMS-NH2 и диаминобутаном и ±6% на пленках с гексаметилендиамином. Для расчета свободной поверхностной энергии методом Оунса, Вендта, Рабеля и Кьельбле использовали значения первых 10 с (35−37 кадров), так как в этом интервале изменение углов из-за особенностей поверхности пленок было минимальным (±0.15°) для всех растворителей.
Морфологические исследования поверхности пленок выполнены методом сканирующей электронной микроскопии на сканирующем электронном микроскопе Prisma E SEM (ThermoFisher). ИК спектры образцов сняты на приборе FTIR Avatar Nicolet. Дифрактограммы сняты на рентгеновском дифрактометре EMPYREAN, Panalytical Company (45 кВ, 40 мА) с облучением Cu-Kα.
КОНФЛИКТ ИНТЕРЕСОВ
Авторы заявляют об отсутствии конфликта интересов.
Об авторах
З. М. Фармазян
Научно-технологический центр органической и фармацевтический химии Национальной академии наук Республики Армения
Email: grigstepan@yahoo.com
ORCID iD: 0000-0001-9841-5586
Институт тонкой органической химии имени А. Л. Мнджояна
Армения, Ереван, 0014М. Л. Атабекян
Научно-технологический центр органической и фармацевтический химии Национальной академии наук Республики Армения
Email: grigstepan@yahoo.com
ORCID iD: 0000-0002-5265-5469
Институт тонкой органической химии имени А. Л. Мнджояна
Армения, Ереван, 0014Э. А. Акопян
Научно-технологический центр органической и фармацевтический химии Национальной академии наук Республики Армения
Email: grigstepan@yahoo.com
ORCID iD: 0000-0003-2409-1894
Институт тонкой органической химии имени А. Л. Мнджояна
Армения, Ереван, 0014В. О. Топузян
Научно-технологический центр органической и фармацевтический химии Национальной академии наук Республики Армения
Email: grigstepan@yahoo.com
ORCID iD: 0000-0002-1721-1993
Институт тонкой органической химии имени А. Л. Мнджояна
Армения, Ереван, 0014Э. Р. Аракелова
Национальный политехнический университет Армении
Email: grigstepan@yahoo.com
ORCID iD: 0000-0001-6640-8998
Армения, Ереван, 0009
С. Л. Григорян
Национальный политехнический университет Армении
Email: grigstepan@yahoo.com
ORCID iD: 0000-0001-6342-4060
Армения, Ереван, 0009
С. Г. Григорян
Научно-технологический центр органической и фармацевтический химии Национальной академии наук Республики Армения
Автор, ответственный за переписку.
Email: grigstepan@yahoo.com
ORCID iD: 0000-0002-7193-9803
Институт тонкой органической химии имени А. Л. Мнджояна
Армения, Ереван, 0014Список литературы
- Mojsiewicz-Pieńkowska K. In: Handbook of Polymers for Pharmaceutical Technologies. Beverly: Scrivener Publishing LLC, 2015. Vol. 2. P. 363. https://doi.org/10.1002/9781119041412ch13
- Mashak A., Rahimi A. // Iran. Polym. J. 2009. Vol. 18. N 4. P. 279.
- Aliyar H., Schalau G. // Therapeutic Delivery. 2015. Vol. 6. N 7. P. 827. doi: 10.4155/tde.15.39
- Stewart S., Domínguez-Robles J., Donnelly R., Larrañeta E. // Polymers. 2018. Vol. 10. N 12. P. 1379. doi: 10.3390/polym10121379
- Rongthong T., Qnouch A., Maue Gehrke M., Paccou L., Oliveira P., Danede F., Verin J., Vincent C., Willart J.F., Siepmann F., Siepmann J. // Regen. Biomater. 2023. Vol. 10. Art. ID rbad008. doi: 10.1093/rb/rbad008
- Siepmann J., Peppas N.A. // Adv. Drug Deliv. Rev. 2001. Vol. 48. P. 39. doi: 10.1016/j.addr.2012.09.028
- Gao Z., Schulze Nahrup J., Mark J.E., Sakr A. // J. Appl. Polym. Sci. 2003. Vol. 90. P. 658. doi: 10.1002/app.12700
- Langer R., Peppas N.A. // Rev. Macromol. Chem. Phys. 1983. Vol. C23. P. 61. doi: 10.1080/07366578308079439
- Snorradottir B.S., Gudnason P., Scheving R., Thorsteinsson F., Masson M. // Pharmazie. 2009. Vol. 64. N 1. P. 19. doi: 10.1691/ph.2008.8206
- Snorradottir B.S., Gudnason P., Thorsteinsson F., Masson M. // Eur. J. Pharm. Sci. 2011. Vol. 42. N 5. P. 559. doi: 10.1016/j.ejps.2011.02.0111
- Mazurek P., Brook M.A., Skov A.L. // Langmuir. 2018. Vol. 34. N 38. P. 11559. doi: 10.1021/acs.langmuir.8b02039
- Malcolm R., McCullagh S., Woolfson A., Gorman S., Jones D., Cuddy J. // J. Control. Release. 2004. Vol. 97. N 2. P. 313. doi: 10.1039/b313483k
- Soulas D.N., Sanopoulou M., Papadokostaki K.G. // Mater. Sci. Eng. 2013. Vol. 33. N 4. P. 2122. doi: 10.1002/app.38711
- Brook M.A., Holloway A.C., Kenneth K., Ng., Hrynyk M., Moore C., Ryan L. // Int. J. Pharm. 2008. Vol. 358. N 1. P. 121. doi: 10.1016/j.ijpharm.2008.02.029
- Rajendra V., Gonzaga F., Brook M.A. // Langmuir. 2012. Vol. 28. P. 1470. doi: 10.1021/la203550
- Atabekyan M.L., Farmazyan Z.M., Grigoryan S.G., Lavanant L., Topuzyan V.O. Pat. EU 4322906 (2024); Pat. JP 2024514128A (2024); Pat. 3214923 (2023) Canada; Pat. US 20240197648 (2024).
- Ottenbrite R.M., Wall J.S., Siddiqui J.A. // J. Am. Ceram. Soc. 2000. Vol. 83. N 12. P. 3214. doi: 10.1111/j.1151-2916.2000.tb01709.x
- Farmazyan Z.M., Atabekyan M.L., Hakobyan E.H., Shahkhatuni A.G., Arakelova E.R., Grigoryan S.L., Grigoryan S.G., Topuzyan V.O. // Chem. J. Armenia. 2022. Vol. 75. N 3–4. P. 321. doi: 10.54503/0515-9628-2022.75.3-321
- Sánchez-Téllez D.A., Rodríguez-Lorenzo L.M., Téllez-Jurado L. // Carbohydrate Polym. 2019. Vol. 249. P. 115590. doi: 10.1016/j/carbpol.2019.115590
- Carelli V., Di Colo G. // J. Pharm. Sci. 1983. Vol. 72. N 3. P. 316. doi: 10.1002/jps,2600720329
- Colo G.D. // Biomaterials. 1992. Vol. 13. N 12. P. 850. doi: 10.1016/0142-9612(92)90178-q
- Peña-Alonso R., Rubio F., Rubio J., Oteo J.L. // J. Mat. Sci. 2007. Vol. 42. N 2. P. 595 doi: 10.1007/s10853-006-1138-9
- Kovala-Demertzi D., Mentzafos D., Terzis A. // Polyhedron. 1993. Vol. 12. N 11. P. 1361. doi: 10.1016/s0277-5387(00)84327-2
- Tasić A.M., Pergal M.V., Antić M.P., Antić V.V. // J. Serb. Chem. Soc. 2017. Vol. 82. N 12. P. 1395. doi: 10.2298/JSC170427082T
- Bartolomei M., Rodomonte A., Antoniella E., Minelli G., Bertocchi. P. // J. Pharm. Biomed. Anal. 2007. Vol. 45. N 3. P. 443. doi: 10.1016/j/jpba.2007.07.002
- Kloubek J. // Adv. Colloid Interface Sci. 1992. Vol. 38. P. 99. doi: 10.1016/0001-8686(92)80044-x
Дополнительные файлы

















