Synthesis, structure, and analgesic activity of methyl (3R*,4S*)-4-aryl-2-oxo-1,2,3,4-tetrahydrobenzo[4,5]imidazo[1,2-a]pyrimidine-3-carboxylates
- Authors: Podchezertseva K.V.1, Buzmakova N.A.1, Zamaraeva T.M.1, Slepova N.V.1, Dmitriev М.V.2
-
Affiliations:
- Perm State Pharmaceutical Academy of the Ministry of Health of the Russian Federation
- Perm State National Research University
- Issue: Vol 94, No 11-12 (2024)
- Pages: 1080-1085
- Section: Articles
- URL: https://journal-vniispk.ru/0044-460X/article/view/280895
- DOI: https://doi.org/10.31857/S0044460X24110023
- EDN: https://elibrary.ru/QXRXSO
- ID: 280895
Cite item
Full Text
Abstract
A series of new methyl (3R*,4S*)-4-aryl-2-oxo-1,2,3,4-tetrahydrobenzo[4,5]imidazo[1,2-a]pyrimidine-3-carboxylates was obtained by three-component condensation of dimethyl malonate, aromatic aldehyde, and 1H-benzimidazole-2-amine in methanol in the presence of piperidine. The structure of the obtained compounds was determined by 1H, 13C NMR spectroscopy and X-ray diffraction analysis. The analgesic activity of the synthesized compounds was studied.
Full Text
Введение
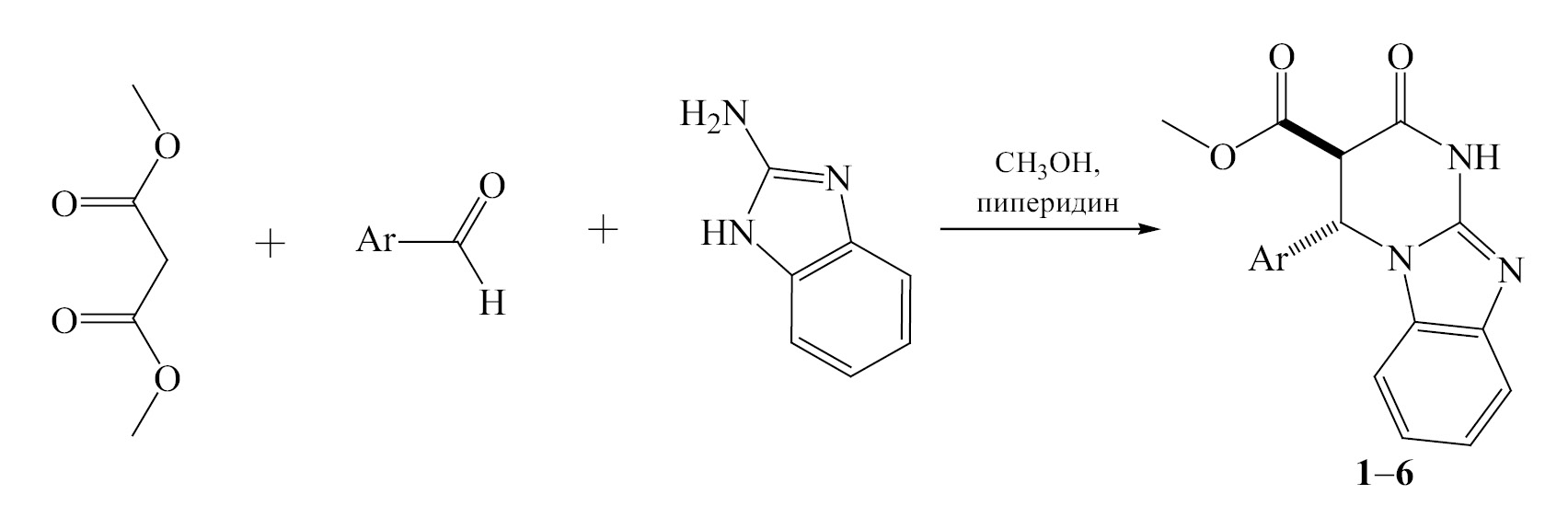
Замещенные пиримидо[1,2-а]бензимидазолы обладают практически значимыми фармакологическими свойствами [1], в частности они проявляют анальгетическое действие [2]. В литературе описан эффективный подход к синтезу функционализированных бензимидазолопиримидинов путем трехкомпонентной реакции 1Н-бензимидазол-2-амина, ароматического альдегида и дикарбонильного соединения [1]. В качестве последнего успешно использовали ацетилацетон [3], эфиры [4–7] и амиды [6] ацетилуксусной кислоты, этилцианоацетат [1], а также малононитрил [3, 7–9]. Следует отметить, что поведение эфиров малоновой кислоты в данной реакции изучено недостаточно.
В предыдущем исследовании нами была продемонстрирована возможность формирования пиримидобензимидазольной системы на основе диэтилмалоната [10]. Принимая во внимание, что фрагмент малоната входит в структуру известных анальгетиков, таких как оксифенбутазон и фенилбутазол, синтез новых пиримидо[1,2-а]бензимидазолов на основе эфиров малоновой кислоты и оценка их анальгетического действия в рамках развития исследований по поиску соединений с анальгетической активностью является актуальной задачей.
Результаты и обсуждение
В настоящем исследовании с целью расширения круга возможных субстратов в ряду эфиров малоновой кислоты для синтеза пиримидо[1,2-а]бензимидазолов в реакцию с ароматическим альдегидом и 2-аминобензимидазолом вовлечен диметилмалонат. Установлено, что реакция протекает в метаноле в присутствии пиперидина в качестве основания в течение 2 ч. Проведенные исследования позволили установить, что единственными продуктами в данных условиях являются метил-(3R*,4S*)-4-арил-2-оксо-1,2,3,4-тетрагидробензо[4, 5]имидазо[1,2-a]пиримидин-3-карбоксилаты 1–6 (схема 1).
Схема 1.
Ar = 4-BrC6H4 (1), 4-(CH3)2NC6H4 (2), 4-(C2H5)2NC6H4 (3), 3-NO2C6H4 (4), 4-CH3OC6H4 (5), 2,4-(CH3O)2C6H3 (6).
Соединения 1–6 представляют собой белые порошкообразные вещества, растворимые в ДМФА, ДМСО, уксусной кислоте, нерастворимые в воде.
В спектрах ЯМР 1Н соединений 1–6, помимо сигналов ароматических протонов и связанных с ними групп, наблюдаются сигналы химических сдвигов протонов фрагментов CH3OCO (3.65–3.68 м. д.) и NH (11.95–12.08 м. д.) в виде синглетов, а также дублетные сигналы групп C3Н (4.06–4.35 м. д., J 4.0 Гц) и C4Н (5.93–6.33 м. д., J 4.0 Гц). В спектрах ЯМР 13С полученных соединений, кроме сигналов углеродов ароматических колец и связанных с ними групп, проявляются сигналы химических сдвигов ядер атомов углеродов CH3OCO (51.9–53.3 м. д.), C3H (54.7–55.8 м. д.), C4H (54.8–56.2 м. д.), C=N (148.0–161.6 м. д.), CH3OCO (164.1–165.5 м. д.), C2=O (167.5–168.3 м. д.).
Пространственная структура соединения 2 установлена методом РСА. Монокристаллы соединения 2 получены медленной кристаллизацией из ацетонитрила. Полученные результаты РСА свидетельствуют о соответствии предложенной структуры (рис. 1).
Рис. 1. Общий вид молекулы димера соединения 2 по данным РСА в представлении тепловыми эллипсоидами 30%-ной вероятности.
Соединение 2 кристаллизуется в центросимметричной пространственной группе триклинной сингонии в виде сольвата с ацетонитрилом в соотношении 4:1 (рис. 1, молекула растворителя не изображена). Кристаллографически независимая часть элементарной ячейки состоит из молекулы ацетонитрила с заселенностью 0.5 и двух энантиомерных молекул 2 с конфигурацией атомов C2, C2A, C3 и C3A – R, S, S, R соответственно. Независимые молекулы имеют близкую геометрию с транс-расположением арильного и метоксикарбонильного заместителей, находящихся в псевдоэкваториальных позициях. Независимые молекулы связаны попарно в димеры за счет межмолекулярных водородных связей N1–H1∙∙∙N3A и N1A–H1A∙∙∙N3 (рис. 1).
Оценка анальгетического действия соединений 1–6 проведена методом «уксусных корчей». Результаты испытаний представлены в табл. 1. В результате эксперимента выявлено, что исследуемые соединения проявляют анальгетическое действие, обнаружено два соединения (3, 4), анальгетическая активность которых статистически достоверно превышает эффект метамизола натрия.
Таблица 1. Анальгетическая активность соединений 1–6, определенная методом «уксусных корчей».
Соединение | Количество корчей | % уменьшения корчей по сравнению с контролем | P по сравнению с контролем |
1 | 17.0±3.38 | 59.6 | ˂0.001 |
2 | 18.0±6.62 | 57.2 | ˂0.01 |
3 | 8.8±1.90а | 79.1 | ˂0.001 |
4 | 3.6±0.88а | 91.4 | ˂0.001 |
5 | 15.5±3.44 | 63.2 | ˂0.001 |
6 | 16.2±7.03 | 61.6 | ˂0.01 |
Метамизол натрия | 16.5±2.53 | 60.8 | ˂0.001 |
Контроль | 42.1±3.00 | – | – |
а Различие статистически значимо по сравнению с метамизолом натрия.
Выводы
Таким образом, образование 4-арил-3-алкоксикарбонил-1,2,3,4-тетрагидробензо[4, 5]имидазо[1,2-а]пиримидин-2(1Н)-онов является общей тенденцией для эфиров малоновой кислоты в реакциях с арилальдегидами и 1Н-бензимидазол-2-амином в присутствии основания. Обнаружено, что взаимодействие диметилмалоната с ароматическими альдегидами и 2-аминобензимидазолом в присутствии пиперидина при кипячении в метаноле в течение 2 ч протекает диастереоселективно с образованием метил-(3R*,4S*)-4-арил-2-оксо-1,2,3,4-тетрагидробензо[4, 5]имидазо[1,2-a]пиримидин-3-карбоксилатов, проявляющих анальгетическое действие.
Эксперементальная часть
Спектры ЯМР 1Н и 13С записаны на приборе Bruker AVANCE 400SX с частотой 400 и 100 МГц соответственно в ДМСО-d6. Элементный анализ проведен на приборе PerkinElmer 2400. Температуры плавления определены на приборе Melting Point M-565.
Рентгеноструктурный анализ. Рентгеноструктурный анализ выполнен на монокристальном дифрактометре Xcalibur Ruby (Agilent Technologies) с ССD-детектором [MoKα-излучение, 295(2) K, ω-сканирование c шагом 1°]. Поглощение учтено эмпирически с использованием алгоритма SCALE3 ABSPACK [11]. Структура расшифрована с помощью программы SHELXT [12] и уточнена полноматричным МНК по F2 в анизотропном приближении для всех неводородных атомов с помощью программы SHELXL [13] с графическим интерфейсом OLEX2 [14]. Атомы водорода включены в уточнение в модели наездника (за исключением атомов водорода групп NH, уточненных независимо в изотропном приближении).
Соединение 2: триклинная сингония, пространственная группа P-1, 4(C20H20N4O3)∙C2H3N, M = 1498.65, a = 10.1704(17) Å, b = 13.666(2) Å, c = 14.775(3) Å, α = 84.871(15)°, β = 73.987(15)°, γ = 73.130(15)°, V = 1888.9(6) Å3, Z = 1, dвыч = 1.318 г/см3, μ = 0.091 мм–1. Окончательные параметры уточнения: R1 = 0.0894 [для 3316 отражений с I > 2σ(I)], wR2 = 0.2686 (для всех 8802 независимых отражений, Rint = 0.0570), S = 1.020. Результаты РСА зарегистрированы в Кембриджском центре кристаллографических данных (CCDC 2405616).
Метил-(3R*,4S*)-4-(4-бромфенил)-2-оксо-1,2,3,4-тетрагидробензо[4, 5]имидазо [1,2-а]пиримидин-3-карбоксилат (1). Смесь 1.14 мл (0.01 моль) диметилмалоната, 1.84 г (0.01 моль) 4-бромбензальдегида, 1.33 г (0.01 моль) 2-аминобензимидазола в 10 мл метанола в присутствии 1 мл (0.01 моль) пиперидина кипятили 2 ч. Осадок отфильтровывали, промывали горячим метанолом и сушили. Выход 2.48 г (62%), т. пл. 235–243°С. Спектр ЯМР 1Н, δ, м. д.: 3.67 с (3Н, CH3OCO), 4.35 д (1Н, С3H, J 4.0 Гц), 6.16 д (1Н, С4H, J 4.0 Гц), 6.95 д (1Н, С9H, J 8.0 Гц), 7.03 т (1Н, С8H, J 8.0 Гц), 7.13 т (1Н, С7H, J 8.0 Гц), 7.16 д (2Н, ArH, J 8.0 Гц), 7.46 д (1Н, С6H, J 8.0 Гц), 7.62 д (2Н, ArH, J 8.0 Гц), 12.08 c (1Н, NH). Спектр ЯМР 13С, δС, м. д.: 53.4, 55.0, 55.1, 110.1, 117.8, 121.8, 122.5, 122.6, 129.1 (2С), 132.6, 132.7 (2С), 136.7, 141.5, 148.0, 164.0, 167.5. Найдено, %: C 54.27; H 3.61; N 10.29. C18H14BrN3O3. Вычислено, %: C 54.02; H 3.53; N 10.50.
Соединения 2–6 получали аналогично.
Метил-(3R*,4S*)-4-(4-диметиламинофенил)-2-оксо-1,2,3,4-тетрагидробензо[4, 5]имидазо[1,2-а]пиримидин-3-карбоксилат (2). В реакции использовали 4-диметиламинобензальдегид. Выход 1.93 г (53%), т. пл. 230–232°С. Спектр ЯМР 1Н, δ, м. д.: 2.88 с [6Н, (CH3)2NC6H4], 3.65 с (3Н, CH3OCO), 4.28 д (1Н, С3H, J 4.0 Гц), 5.93 д (1Н, С4H, J 4.0 Гц), 6.71 д (2Н, ArH, J 8.0 Гц), 6.80 д (1Н, С9H, J 8.0 Гц), 6.97 т (1Н, С8H, J 8.0 Гц), 7.04 д (2Н, ArH, J 8.0 Гц), 7.09 т (1Н, С7H, J 8.0 Гц), 7.45 д (1Н, С6H, J 8.0 Гц), 12.02 c (1Н, NH). Спектр ЯМР 13С, δС, м. д.: 40.3 (2С), 53.2, 55.6, 55.9, 110.4, 112.8 (2С), 117.7, 121.5, 122.2, 123.7, 127.8 (2С), 132.9, 141.7, 148.0, 151.0, 164.7, 167.8. Найдено, %: C 66.16; H 5.45; N 15.60. C20H20N4O3. Вычислено, %: C 65.92; H 5.53; N 15.38.
Метил-(3R*,4S*)-4-(4-диэтиламинофенил)-2-оксо-1,2,3,4-тетрагидробензо[4, 5]имидазо[1,2-а]пиримидин-3-карбоксилат (3). В реакции использовали 4-диэтиламинобензальдегид. Выход 1.57 г (40%), т. пл. 200–204°С. Спектр ЯМР 1Н, δ, м. д.: 1.05 т [6Н, (CH3CH2)2NC6H4, J 4.0 Гц], 3.30 к [4Н, (CH3CH2)2NC6H4, J 4.0 Гц], 3.66 с (3Н, CH3OCO), 4.24 д (1Н, С3H, J 4.0 Гц), 5.94 д (1Н, С4H, J 4.0 Гц), 6.63 д (2Н, ArH, J 8.0 Гц), 6.92 д (1Н, С9H, J 8.0 Гц), 6.98 т (1Н, С8H, J 8.0 Гц), 7.01 д (2Н, ArH, J 8.0 Гц), 7.10 т (1Н, С7H, J 8.0 Гц), 7.44 д (1Н, С6H, J 8.0 Гц), 12.03 c (1Н, NH). Спектр ЯМР 13С, δС, м. д.: 12.8 (2С), 44.0 (2С), 53.3, 55.6, 55.7, 110.3, 112.0 (2С), 117.8, 121.5, 121.9, 122.2, 128.0 (2С), 132.9, 141.7, 148.0, 148.1, 164.7, 168.1. Найдено, %: C 67.10; H 6.11; N 14.09. C22H24N4O3. Вычислено, %: C 67.33; H 6.16; N 14.28.
Метил-(3R*,4S*)-4-(3-нитрофенил)-2-оксо-1,2,3,4-тетрагидробензо[4, 5]имидазо[1,2-а]-пиримидин-3-карбоксилат (4). В реакции использовали 3-нитробензальдегид. Выход 2.85 г (78%), т. пл. 235–237°С. Спектр ЯМР 1Н, δ, м. д.: 3.68 с (3Н, CH3OCO), 4.30 д (1Н, С3H, J 4.0 Гц), 6.33 д (1Н, С4H, J 4.0 Гц), 7.02 т (1Н, С8H, J 8.0 Гц), 7.05 д (1Н, ArH, J 8.0 Гц), 7.14 т (1Н, С7H, J 8.0 Гц), 7.49 д (1Н, С9H, J 8.0 Гц), 7.58 д (1Н, С6H, J 8.0 Гц), 7.71 т (1Н, ArH, J 8.0 Гц), 8.15 с (1Н, ArH), 8.24 д (1Н, ArH, J 8.0 Гц), 12.05 c (1Н, NH). Спектр ЯМР 13С, δС, м. д.: 53.3, 54.7, 54.8, 109.6, 117.5, 121.4, 121.9, 122.3, 124.1, 129.4, 131.3, 133.3, 141.9, 145.2, 148.7, 152.6, 164.5, 167.9. Найдено, %: C 59.28; H 3.94; N 15.06. C18H14N4O5. Вычислено, %: C 59.02; H 3.85; N 15.29.
Метил-(3R*,4S*)-4-(4-метоксифенил)-2-оксо-1,2,3,4-тетрагидробензо[4, 5]имидазо[1,2-а]пиримидин-3-карбоксилат (5). В реакции использовали 4-метоксибензальдегид. Выход 2.49 г (71%), т. пл. 223–229°С. Спектр ЯМР 1Н, δ, м. д.: 3.65 с (3Н, CH3OCO), 3.75 с (1Н, CH3O), 4.33 д (1Н, С3H, J 4.0 Гц), 6.03 д (1Н, С4H, J 4.0 Гц), 6.81 д (1Н, С9H, J 8.0 Гц), 6.94 д (2Н, ArH, J 8.0 Гц), 7.01 т (1Н, С8H, J 8.0 Гц), 7.10 т (1Н, С7H, J 8.0 Гц), 7.18 д (2Н, ArH, J 8.0 Гц), 7.45 д (1Н, С6H, J 8.0 Гц), 12.04 c (1Н, NH). Спектр ЯМР 13С, δС, м. д.: 53.3, 55.4, 55.5, 55.7, 110.3, 115.0 (2С), 117.7, 121.6, 122.3, 128.4 (2С), 129.0, 132.8, 141.6, 148.0, 160.0, 164.5, 167.7. Найдено, %: C 65.19; H 4.81; N 12.17. C19H17N3O4. Вычислено, %: C 64.95; H 4.88; N 11.96.
Метил-(3R*,4S*)-4-(2,4-диметоксифенил)-2-оксо-1,2,3,4-тетрагидробензо[4, 5]имидазо[1,2-а]пиримидин-3-карбоксилат (6). В реакции использовали 2,4-диметоксибензальдегид. Выход 2.82 г (74%), т. пл. 226–228°С. Спектр ЯМР 1Н, δ, м. д.: 3.68 с (3Н, CH3OCO), 3.74 с (3Н, (CH3O)2C6H3), 3.84 с [3Н, (CH3O)2C6H3], 4.06 д (1Н, С3H, J 4.0 Гц), 6.13 д (1Н, С4H, J 4.0 Гц), 6.45 т (1Н, С8H, J 8.0 Гц), 6.55 д (1Н, С9H, J 8.0 Гц), 6.67 д (1Н, С7H, J 8.0 Гц), 7.02 д (1Н, ArH, J 8.0 Гц), 7.03 с (1Н, ArH), 7.13 т (1Н, С6H, J 8.0 Гц), 7.46 д (1Н, ArH, J 8.0 Гц), 11.95 c (1Н, NH). Спектр ЯМР 13С, δС, м. д.: 51.9, 53.5, 53.6, 55.8, 56.2, 99.7, 105.6, 109.8, 116.9, 117.8, 121.7, 122.3, 127.8, 132.6, 141.8, 148.2, 157.9, 161.6, 164.1, 168.1. Найдено, %: C 62.74; H 5.09; N 10.80. C20H19N3O5. Вычислено, %: C 62.99; H 5.02; N 11.02.
Оценку анальгетической активности соединений 1–6 проводили методом специфической болевой реакции «уксусные корчи» [15] на белых нелинейных мышах обоего пола массой 22–30 г. Группу лабораторных животных формировали методом случайной выборки с учетом массы тела. Количество животных, входивших в контрольную и опытную группы, составляло 6 шт. Болевую реакцию в тесте «уксусные корчи» вызывали внутрибрюшинным введением 0.75%-ной уксусной кислоты (из расчета 0.1 мл на 10 г массы животного) через 30 мин после внутрибрюшинного введения исследуемых соединений в дозе 50 мг/кг в виде взвеси в 2%-ном растворе крахмала. В течение последующих 20 мин после инъекции уксусной кислоты подсчитывали количество корчей для каждого животного. Анальгетический эффект оценивали по уменьшению количества корчей в % по сравнению с контролем. Контрольной группе животных вводили эквивалентный объем 2%-ной крахмальной слизи. В качестве эталона сравнения использовали субстанцию метамизол натрия (АО «Усолье-Сибирский химфармзавод») в дозе 50 мг/кг при внутрибрюшинном введении. Полученные данные обрабатывали методами математической статистики с помощью t-критерия Стьюдента. Эффект считали достоверным при P < 0.05 [16].
Соблюдение этических норм
Все процедуры, выполненные в исследованиях с участием животных, соответствовали этическим стандартам учреждения, в котором проводились исследования, и утвержденным правовым актам РФ и международных организаций.
Конфликт интересов
Авторы заявляют об отсутствии конфликта интересов.
About the authors
K. V. Podchezertseva
Perm State Pharmaceutical Academy of the Ministry of Health of the Russian Federation
Email: tanyapgfa@yandex.ru
ORCID iD: 0009-0009-7473-5505
Russian Federation, 614990, Perm
N. A. Buzmakova
Perm State Pharmaceutical Academy of the Ministry of Health of the Russian Federation
Email: tanyapgfa@yandex.ru
ORCID iD: 0000-0003-3171-0438
Russian Federation, 614990, Perm
T. M. Zamaraeva
Perm State Pharmaceutical Academy of the Ministry of Health of the Russian Federation
Author for correspondence.
Email: tanyapgfa@yandex.ru
ORCID iD: 0000-0002-9932-9628
Russian Federation, 614990, Perm
N. V. Slepova
Perm State Pharmaceutical Academy of the Ministry of Health of the Russian Federation
Email: tanyapgfa@yandex.ru
ORCID iD: 0000-0003-3924-3715
Russian Federation, 614990, Perm
М. V. Dmitriev
Perm State National Research University
Email: tanyapgfa@yandex.ru
ORCID iD: 0000-0002-8817-0543
Russian Federation, 614068, Perm
References
- Федотов В.В., Русинов В.Л., Уломский Е.Н., Мухин Е.М., Горбунов Е.Б., Чупахин О.Н. // ХГС. 2021. Т. 57. № 4. С. 383; Fedotov V.V., Rusinov V.L., Ulomsky E.N., Mukhin E.M., Gorbunov E.B., Chupakhin O.N. // Chem. Heterocycl. Compd. 2021. Vol. 57. N 4. P. 383. doi: 10.1007/6034
- Sondhi S.M., Rajvanshi S., Johar M., Bharti N., Azam A., Singh A.K. // Eur. J. Med. Chem. 2002. Vol. 37. N 10. P. 835. doi: 10.1016/s0223-5234(02)01403-4.
- Mardazad N., Khorshidi A., Shojaei A.F. // RSC Adv. 2021. Vol. 11. P. 12349. doi: 10.1039/d1ra01005k
- Tran P.H., Thi Bui T.-P., Bach Lam X.-Q., Thi Nguyen X.-T. // RSC Adv. 2018. Vol. 8. P. 36392. doi: 10.1039/c8ra07256f
- Kaur N., Kaur K., Raj T., Kaur G., Singh A., Aree T., Park S.-J., Kim T.-J., Singh N., Jang D.O. // Tetrahedron. 2015. Vol. 71. P. 332. doi: 10.1016/j.tet.2014.11.039
- Шихалиев Х.С., Крыльский Д.В., Потапов А.Ю., Крысин М.Ю., Трефилова И.Н. // Изв. вузов. Сер. хим. и хим. технол. 2004. Т. 47. Вып. 3. С. 149.
- Abedini M., Shirini F., Mousapour M., Goli Jolodar O. // Res. Chem. Intermed. 2016. Vol. 42. P. 6221. doi: 10.1007/s11164-016-2456-4
- Risley V.A., Henry S., Kosyrikhina M.V., Manzanares M.R., Payan I., Downer C.D., Hellmann C.C., Van Slambrouck S., Frolova L.V. // Chem. Heterocycl. Compd. 2014. Vol. 50. N 2. P. 185. doi: 10.1007/1469
- Chavan P., Salve A., Shelke R., Pansare D. // Lett. Appl. NanoBioSci. 2022. Vol. 11. N 1. P. 2996. doi: 10.33263/LIANBS111.29963005
- Подчезерцева К.В., Замараева Т.М., Слепова Н.В., Дмитриев М.В. // ЖОХ. 2024. Т. 94. № 6. С. 699. doi: 10.31857/S0044460X24060034
- CrysAlisPro, Rigaku Oxford Diffraction, 2022, Version 1.171.42.74a.
- Sheldrick G.M. // Acta Crystallogr. (A). 2015. Vol. 71. P. 3. doi: 10.1107/S2053273314026370
- Sheldrick G.M. // Acta Crystallogr. (C). 2015. Vol. 71. P. 3. doi: 10.1107/S2053229614024218
- Dolomanov O.V., Bourhis L.J., Gildea R.J., Howard J.A.K., Puschmann H. // J. Appl. Cryst. 2009. Vol. 42. P. 339. doi: 10.1107/S0021889808042726
- Руководство по проведению доклинических исследований лекарственных средств / Под ред. А.Н. Миронова, Н.Д. Бунятян, А.Н. Васильева, О.Л. Верстаковой, М.В. Журанлевой, В.К. Лепахина, Н.В. Коробова, В.А. Меркулова, С.Н. Орехова, И.В. Сакаевой, Д.Б. Утешева, А.Н. Яворского. М.: Гриф и К, 2012. Ч. 1. 944 с.
- Беленький М.Л. Элементы количественной оценки фармакологического эффекта. Л.: Медгиз, 1963. С. 81.
Supplementary files




