Localization of formation reactions of protective heteropolynuclear complexes in the depth of oxide-hydroxide passivating films on the surface of mild steel
- Authors: Kazantseva I.S.1, Chausov F.F.1, Lomova N.V.1, Vorob’yov V.L.1, Isupov N.Y.1
-
Affiliations:
- Udmurt Federal Research Center of the Ural Branch of the Russian Academy of Sciences
- Issue: Vol 94, No 10 (2024)
- Pages: 1043-1057
- Section: Articles
- URL: https://journal-vniispk.ru/0044-460X/article/view/281028
- DOI: https://doi.org/10.31857/S0044460X24100046
- EDN: https://elibrary.ru/RFHMRM
- ID: 281028
Cite item
Full Text
Abstract
The laws of the formation of passivating films on the surface of mild steel in a borate buffer environment (pH = 7.4) containing additives of corrosion inhibitors nitrilotris(methylenephosphonato)zinc tridecahydrate Na4[Zn{N(CH2PO3)]·13H2O and nitrilotris(methylenephosphonatoaqua)cadmium heptahydrate Na4[Cd(H2O){N(CH2(PO3)3}]·7H2O have been investigated by X-ray photoelectron spectroscopy with layer-by-layer etching with Ar+ ions. The composition and structure of films, localization features of the processes of interaction of inhibitor ions with iron ions, related processes and products of these interactions in the depth of the films were established. The protective properties of passivating films and the anticorrosive properties of inhibitors have been studied using a potentiodynamic method.
Full Text
Введение
Для описания многообразных механизмов действия различных ингибиторов коррозии предложено, в основном, две теории пассивности металлов – адсорбционная и пленочная. Адсорбция ингибитора коррозии на поверхности металла является первым актом формирования пассивного слоя в любом случае. Однако для ингибиторов преимущественного адсорбционного типа это – не только первый, но и основной акт. Возможность пассивации железа без образования оксидной пленки на его поверхности впервые показана в водном растворе фенилантраниловой кислоты [1]. С позиций пленочной теории на поверхности металла вследствие его взаимодействия с компонентами среды, в том числе, с ингибиторами коррозии, могут формироваться пленки оксидов, гидроксидов, солей, труднорастворимых соединений и др. Эти две теории не исключают, а дополняют друг друга [2].
Образующиеся на поверхности стали оксидно-гидроксидные пленки обычно являются пористыми и сами по себе плохо защищают металл от коррозии. Поэтому для эффективной коррозионной защиты применяются технологические решения, заключающиеся в заполнении пор и создании на поверхности стали сплошной защитной пленки, например, покрытие поверхности составами на основе масел [3–5]. Масляные пленки имеют толщину до сотен микрометров. Для улучшения противокоррозионных свойств в масла вводят ингибирующие присадки. Защитный эффект таких композиций обусловлен не столько созданием барьера между поверхностью металла и коррозионной средой, сколько подавлением парциальных электродных реакций ингибирующими присадками, присутствующими в маслах [3]. Однако значительная толщина получаемых защитных пленок приводит как к увеличению расхода защитных составов, так и к необходимости удаления защитных пленок перед использованием изделия.
Поэтому актуальна проблема формирования на поверхности стали тонких пленок с высоким защитным эффектом. Перспективным классом ингибиторов коррозии, способствующих формированию наноразмерных пленок, являются ингибиторы комплексообразующего типа, защитное действие которых связано с образованием труднорастворимых комплексных соединений с катионами защищаемого металла [1], в первую очередь, композиции органофосфоновых кислот с ионами некоторых металлов [6–10]. Наибольшей эффективностью отличаются органофосфоновые кислоты в сочетании с ионами цинка и кадмия [11–14].
Авторы работ [1, 6, 15, 16] предполагали, что при взаимодействии органофосфонатных комплексов 3d-металлов с продуктами коррозии стали происходит образование нерастворимых продуктов – гидроксидов 3d-металлов, а также гетерополиядерных органофосфонатных комплексов, содержащих ионы железа и других 3d-металлов. Предпринимались многочисленные попытки определить состав и строение поверхностных пленок, сформированных на поверхности корродирующего металла в присутствии ингибирующих смесей органофосфоновых кислот с ионами металлов. С этой целью применялись разнообразные методы – оже-спектроскопия [7], УФ-спектроскопия отражения, рентеноструктурный анализ [10], рентгеновская фотоэлектронная спектроскопия (РФЭС) [8, 17], ИК спектроскопия [11, 12, 14], рентгенофлуоресцентный анализ, энергодисперсионная спектроскопия [11, 12] и др., которые позволили установить элементный и количественный состав поверхностных пленок, наличие в их составе комплексов органофосфоновых кислот с ионами железа и других 3d-металлов с неустановленным строением. Однако структура и химизм формирования защитных компонентов пассивной пленки оставались неизученными по следующим причинам.
Во-первых, исследовались, как правило, соединения с неустановленной структурой, чаще всего – смеси органофосфоновых кислот с солями металлов. Чаусов с сотр. [18] смогли выделить индивидуальные комплексы Zn2+ и Cd2+ с нитрилотрисметиленфосфоновой кислотой (NTP), установить их структуру, получить РФЭ-спектры, сравнить противокоррозионную эффективность этих соединений и показать, что наибольшей противокоррозионной эффективностью обладают комплексы с хелатной структурой – нитрилотрис(метиленфосфонато)цинкат тетранатрия Na4[Zn{N(CH2PO3)3}] (ZnNTP) и нитрилотрис(метиленфосфонато)аквакадмат тетранатрия Na4[Cd(H2O){N(CH2PO3)3}] (CdNTP), структура которых представлена на рис. 1а, б. Структуры ZnNTP и CdNTP задепонированы в Кембриджском банке структурных данных [19, 20] и описаны в работах [18, 21]. Полученные РФЭ-спектры этих комплексов (рис. 1г, д) позволяют их спектроскопически идентифицировать.
Рис. 1. Основные структурные фрагменты (а–в) и РФЭ-спектры P2p (г–ж) соединений ZnNTP (a, г), CdNTP (б, д), FeZnNTP (в, е) и FeCdNTP (в, ж). Атомы водорода не показаны для ясности. Кривые 1 соответствуют спектрам исходных эталонных соединений со структурой (a–в); кривые 2 относятся к спектрам соответствующих соединений после травления ионами Ar+ с энергией 1000 эВ в течение 5 мин.
Во-вторых, долгое время не удавалось выделить и установить структуру продуктов взаимодействия комбинаций органофосфоновых кислот и солей металлов с корродирующей сталью. В работе [22] впервые описаны и структурно охарактеризованы гетерополиядерные комплексы, образующиеся в результате взаимодействия комплексов ZnNTP и CdNTP с ионами Fe2+ – [Fe1/2Zn1/2(H2O)3μ-H4N(CH2PO3)3]n (FeZnNTP) и [Fe7/8Cd1/8(H2O)3μ-H4N(CH2PO3)3]n (FeCdNTP) (рис. 1в). Сведения о структурах FeZnNTP и FeCdNTP внесены в Кембриджский банк структурных данных [23, 24]. Оказалось, что стойкость и низкая растворимость этих гетерометаллических полиядерных комплексов обусловлена переходом атомов Fe(II) в низкоспиновое состояние [25, 26], в результате чего изменяется распределение электронной плотности вокруг атома Fe(II) и межатомные расстояния Fe–O [27]. Были получены также РФЭ-спектры FeZnNTP и FeCdNTP (рис. 1е, ж), необходимые для их идентификации.
Взаимодействие ZnNTP и CdNTP с ионами Fe2+ описывается уравнениями реакций (1) и (2), представленными в работе [18]:
1/2nFe2+ + n[Zn{N(CH2PO3)3}]4– + 7nH2O = [Fe1/2Zn1/2(H2O)3μ-H4{N(CH2PO3)3}]n + 1/2nZn(OH)2 + 3nOH– (1)
7/8nFe2+ + n[Cd{N(CH2PO3)3}]4– + 7nH2O = [Fe7/8Cd1/8(H2O)3μ-H4{N(CH2PO3)3}]n + 7/8nCd(OH)2 + 21/2nOH–. (2)
По-видимому, наблюдаемые различия в составе продуктов реакции и стехиометрии реакций (1) и (2) обусловлены различием ковалентных радиусов атомов Zn(II) (rC = 1.22 нм) и Cd(II) (rC = 1.44 нм) [28], влияющим на упаковку атомов металлов в кристаллической структуре комплексов FeZnNTP и FeCdNTP.
Процесс формирования защитной пленки в нейтральных водных средах в присутствии ZnNTP описан в работе [29]. В толще оксидно-гидроксидной пассивной пленки в условиях встречной диффузии ингибитора ZnNTP и ионов Fe2+ происходит образование малорастворимого гетерополиядерного комплекса FeZnNTP в соответствии с уравнением (1). Таким образом, оксидно-гидроксидная пленка оказывается легированной компонентом FeZnNTP, существенно улучшающим ее защитные свойства. Авторы называют данный вид пассивации «координационной».
В настоящее время представленная выше концепция влияния ZnNTP и CdNTP на коррозию углеродистой стали в нейтральных водных средах является основной [30] и служит теоретической базой для создания новых ингибиторов коррозии стали c заданной структурой и свойствами [31–33]. Поэтому актуальным является детальное изучение пространственной локализации реакций (1) и (2) и продуктов этих реакций в толще пленки, а также установление факторов, влияющих на эти процессы.
Сложность применения РФЭС с послойным травлением для изучения особенностей молекулярной структуры поверхностных слоев заключается в том, что нередко используемые для травления ускоренные частицы разрушают химические связи в молекулярных структурах и последующее спектроскопическое исследование дает искаженные представления о молекулярном строении соединений, образующих поверхностные слои [34].
Связи, формирующие характерную структуру ближнего окружения атомов фосфора в соединениях FeZnNTP и FeCdNTP, являются сравнительно прочными. Энергия разрыва для связи P–C составляет 513±8 кДж/моль, для связи P–O – 596±6 кДж/моль, для связи Fe–O – 409±13 кДж/моль; менее прочными являются связи Zn–O – 284±14 кДж/моль и Cd–O – 142±42 кДж/моль [35]. Все же энергия разрыва этих связей значительно меньше, чем энергия ионов Ar+, используемых для травления оксидно-гидроксидных слоев на поверхности стальных образцов (в настоящей работе для травления использовали ионы Ar+ с энергией 1000 эВ). Тем не менее проверка, проведенная на индивидуальных образцах соединений ZnNTP, CdNTP, FeZnNTP и FeCdNTP, показала что при травлении ионами ионами Ar+ с энергией 1000 эВ сохраняется характерная для исходных соединений структура спектров (рис. 1г–ж), позволяющая идентифицировать эти соединения в качестве исходных веществ и продуктов реакций (1) и (2). По-видимому, это объясняется сложным характером переноса в поверхностном слое энергии, рассеиваемой ионом Ar+ при соударении с поверхностью, и уносом части энергии фрагментами разрушаемого слоя поверхности; при этом РФЭ-спектр протравленной поверхности формируется молекулярными структурами, лежащими на глубине до 5 нм [34], которые не подверглись разрушению ионами Ar+.
В настоящей работе приводятся результаты исследования пространственной локализации реакций (1) и (2) и их труднорастворимых продуктов в оксидно-гидроксидных пленках, образующихся на поверхности углеродистой стали при ее коррозии в нейтральных водных средах, ингибированных ZnNTP и CdNTP, а также оценка защитных свойств этих пленок.
Результаты и обсуждение
В состоянии пассивности поверхность стального образца полностью покрыта пассивной пленкой, состоящей в основном из оксидов и гидроксидов железа. При этом устанавливается динамическое равновесие между процессами окисления металла (3), формирования пассивной пленки (4)–(7) и ее растворения (8)–(10).
Fe0 = Fe2+ + 2e–, (3)
Fe0 + H2O = FeO + 2H+ + 2e–, (4)
Fe0 + 2H2O = Fe(OH)2 + 2H+ + 2e–, (5)
2FeO + H2O = Fe2O3 +2H+ + 2e–, (6)
FeO + H2O = Fe(OH)3 +H+ + 2e–, (7)
Fe(OH)2 + H2O = Fe2+ + 2OH–, (8)
Fe(OH)2 = Fe2+ + 2OH–, (9)
FeO(OH) + H2O = Fe3+ + 3OH–. (10)
Это подтверждают данные РФЭ-спектров поверхности образца, поляризованного в боратно-борнокислом буферном растворе с рН = 7.4 в области пассивности при Е = 0.5 В [все величины потенциалов в работе измерены относительно насыщенного хлоридсеребряного электрода Ag, AgCl | KCl (нас.)] – основными компонентами пассивной пленки являются железо и кислород (рис. 2а). Кислород присутствует в форме оксидов железа (энергия связи EB около 530.0 эВ) и ионов OH– (EB = 532.0–533.0 эВ). Железо представлено главным образом окисленными состояниями +2 (EB = 709.3–710.5 эВ) и +3 (EB = 710.8–711.7 эВ), также наблюдается незначительный вклад неокисленного железа (EB = 706.7–707.2 эВ). В составе пассивной пленки обнаруживаются борат-ионы H4BO4– или B4O72– (EB = 191.5–193.0 эВ). Таким образом, в составе пленки не удается выделить определенные фазы, что согласуется с результатами, полученными авторами работы [36], которые обнаружили в пассивных пленках, сформированных на нержавеющей стали в щелочной среде, непрерывную структуру, состоящую из нанокристаллитов с различным упорядочением атомных решеток. Эти кластеры могут трансформироваться по принципу порядок–беспорядок–новый порядок. Отжиг образца in situ при 227°С, имитирующий процесс старения пленки, приводит к существенному изменению спектра Fe2p3/2-электронов (рис. 2б), который приобретает вид, характерный для магнетита Fe3O4 [37]. Таким образом, магнетит Fe3O4 образуется не сразу при формировании пассивной пленки, а лишь в результате ее последующего старения.
Рис. 2. Фрагменты РФЭ-спектров, измеренных при комнатной температуре (а) и в условиях термического воздействия на образец in situ (б), с поверхности образца стали Ст3кп, подвергнутого поляризации в боратно-борнокислом буферном растворе (рН = 7.4) при Е = 0.5 В.
На поверхности пассивной пленки на образце, поляризованном в боратно-борнокислом буферном растворе в области пассивности при потенциале Е = 0.5 В, в буферном растворе (рис. 3) преобладает железо в окисленном состоянии +3. С увеличением глубины травления в составе пассивной пленки возрастает доля ионов Fe2+ и неокисленного железа Fe0, вклад Fe3+ при этом снижается. На глубине 15 нм железо находится преимущественно в неокисленном состоянии Fe0.
Рис. 3. Спектры Fe2p3/2-электронов, измеренные при послойном травлении поверхности образца стали Ст3кп, подвергнутого поляризации при потенциале Е = 0.5 В в боратно-борнокислом буферном растворе (рН = 7.4).
Введение в коррозионную среду ингибиторов коррозии ZnNTP и CdNTP приводит к изменению состава и строения пассивных пленок. Наиболее характерные фрагменты РФЭ-спектров образцов, поляризованных при потенциале Е = 0.5 В (область пассивности) в боратно-борнокислом буферном растворе (рН = 7.4) с добавками ZnNTP и CdNTP представлены на рис. 4. Подобно пассивирующей пленке, сформированной в боратно-борнокислом буферном растворе без добавок, основными компонентами пленок, образованных в ингибированной среде, являются железо и кислород. Железо находится преимущественно в окисленных состояниях +2 и +3, при ЕВ = 706.7–707.2 эВ в спектрах Fe2p3/2-электронов появляется плечо, характерное для Fe0, причем доля неокисленного железа в пленке, сформированной в присутствии ZnNTP (рис. 4а), оказывается выше, чем в пленке, сформированной в присутствии CdNTP (рис. 4б). В спектре О1s-электронов пленки, сформированной в боратно-борнокислом буферном растворе с добавкой ZnNTP (рис. 4а), присутствуют составляющие, характерные для оксидов и гидроксидов железа; в спектре O1s-электронов поверхности образца, поляризованного в присутствии CdNTP (рис. 4б), наблюдается интенсивный пик при ЕВ около 531 эВ, который в равной степени может быть отнесен как к оксидам железа (энергия связи EB около 530.0 эВ), так и к ОН–-ионам (EB = 532.0–533.0 эВ). Спектр P2p-электронов пассивирующей пленки, сформированной в присутствии ZnNTP (рис. 4а), включает три составляющих: одна из них с максимумом интенсивности при EB = 132.5 эВ, характерным для непрореагировавшего ZnNTP, и две составляющие, относящиеся к FeZnNTP, с энергиями связи EB = 133.4 и 134.8 эВ с отношением интегральных интенсивностей 2:1. В спектре P2p-электронов пленки, образованной в боратно-борнокислом буферном растворе с добавкой CdNTP, имеется составляющая с максимумом интенсивности EB = 132.6 эВ, относящаяся к PO3-группам в ингибиторе CdNTP, и две составляющих с максимумами интенсивности EB = 133.6 и 134.6 эВ, характерных для FeCdNTP (рис. 4б). Таким образом, дополнительными компонентами оксидно-гидроксидных пассивных пленок, сформированных в ингибиторных средах, являются непрореагировавшие ZnNTP или CdNTP и продукты их взаимодействия с корродирующей сталью – комплексы FeZnNTP или FeCdNTP.
Рис. 4. Наиболее характерные фрагменты РФЭ-спектров образцов стали Ст3кп, поляризованных в боратно-борнокислом буферном растворе (рН = 7.4) при Е = 0.5 В с добавлением 5 г/л ZnNTP (а), 1 г/л CdNTP (б).
По характеру изменения спектра P2p-электронов фосфора в толще пассивирующих пленок можно судить о степени конверсии исходных реагентов и локализации накопления труднорастворимых продуктов реакций (1) и (2). Так, спектры P2p-электронов фосфора, полученные с поверхности образцов (рис. 5а, б), идентичны спектрам эталонных ингибиторов ZnNTP и CdNTP – на поверхности образцов (0 нм) находятся, главным образом, адсорбированные ингибиторы. С увеличением глубины травления спектры Р2р-электронов теряют интенсивность и расширяются за счет наличия в них ряда составляющих, отвечающих, по-видимому, промежуточным состояниям фосфора в реакциях (1) и (2). Кроме того, спектры смещаются в сторону бóльших энергий связи по сравнению со спектрами, полученными с поверхности, в них присутствуют две ярко выраженных составляющих, которые характерны для исходных ингибиторов и комплексов FeZnNTP и FeCdNTP. В характере изменения спектров Р2р-электронов в зависимости от глубины травления для ZnNTP и CdNTP имеются существенные различия. Так, в спектре Р2р-электронов в пленке, сформированной в присутствии ZnNTP, наблюдается снижение интенсивности составляющей, относящейся к эталонному ZnNTP, и возрастают интенсивности составляющих, характерных для комплекса FeZnNTP; на глубине травления 15 нм спектр Р2р-электронов идентичен спектру эталонного FeZnNTP. На глубинах 1 нм и более доля фосфора, входящего в состав FeZnNTP, оказывается выше, чем доля фосфора, входящего в состав непрореагировавшего ZnNTP (рис. 5а). Иная картина наблюдается в спектрах Р2р-электронов пленки, сформированной в присутствии CdNTP (рис. 5б). Вплоть до глубины 15 нм вклад в спектр Р2р-электронов, входящих в состав исходного CdNTP, оказывается выше, чем вклад Р2р-электронов, входящих в состав продукта FeCdNTP. Но даже на глубине 15 нм степень конверсии ингибитора CdNTP в FeCdNTP оказывается неполной. Неполную степень превращения CdNTP в FeCdNTP можно связать со стехиометрическим недостатком ионов Fe2+, которых для реакции (2) требуется значительно больше, чем для реакции (1).
Рис. 5. Спектры P2p-электронов, измеренные при послойном травлении поверхности образцов стали Ст3кп, поляризованных при потенциале Е = 0.5 В в боратно-борнокислом буферном растворе (рН = 7.4), содержащем 5 г/л ZnNTP (а), 1 г/л CdNTP (б).
Атомная доля фосфора, содержащегося в исходных ингибиторах ZnNTP и CdNTP, в общем содержании фосфора в аналитическом объеме образца x(PIng) дает соотношение (11):
x(PIng) = A/(A + B1 + B2), (11)
где A – интегральная интенсивность спектральной составляющей, соответствующей исходным ингибиторам ZnNTP или CdNTP, а B1 и B2 – интегральные интенсивности спектральных составляющих, которые соответствуют комплексам FeZnNTP или FeCdNTP. Аналогично, атомная доля фосфора, содержащегося в FeZnNTP или FeCdNTP, x(PComplex) может быть получена из соотношения (12).
x(PComplex) = (B1 + B2)/(A + B1 + B2). (12)
Изменение атомных долей фосфора, входящего в состав исходных ингибиторов ZnNTP и CdNTP и в состав комплексов FeZnNTP и FeCdNTP, в зависимости от глубины травления пассивной пленки δ представлено на рис. 6. Очевидно, что процессы (1) и (2) реализуются главным образом на глубинах 0–5 нм для ZnNTP и 0–10 нм для CdNTP: атомная доля фосфора, входящего в состав FeZnNTP, достигает величины 0.73 на глубине 1 нм, атомная же доля фосфора, входящего в состав FeCdNTP, составляет 0.61 на глубине 10 нм. Во внутренних слоях пленок значения x(P) в составе комплексов выходят на ограничение и резких изменений не претерпевают, достигая 0.9 для FeZnNTP на глубине 15 нм и 0.72 для FeCdNTP на глубине 30 нм. Таким образом, ингибитор ZnNTP практически полностью превращается в комплекс FeZnNTP уже на глубине 15 нм, в то время как значительная часть CdNTP даже на 30 нм остается непрореагировавшей.
Рис. 6. Атомная доля фосфора, входящего в состав исходных ингибиторов ZnNTP, CdNTP, и гетерометаллических комплексов FeZnNTP, FeCdNTP, в зависимости от глубины травления δ пассивных пленок, сформированных на образцах стали Ст3кп в боратно-борнокислом буферном растворе (pH = 7.4) при потенциале E = 0.5 В с добавками 5 г/л ZnNTP или 1 г/л CdNTP.
На рис. 7 графически представлены профили элементного состава поверхностных слоев образцов, подвергнутых поляризации при Е = 0.5 В в боратно-борнокислом буферном растворе, содержащем добавки ZnNTP (рис. 7а, б) и CdNTP (рис. 7в, г). В пленке, сформированной в присутствии ZnNTP, доля железа возрастает от ~13 ат% на поверхности пассивной пленки до ~40 ат% на глубине 20 нм, а концентрация кислорода, соответственно, снижается от ~60 до 40 ат% (рис. 7а). В пассивирующей пленке, образованной в присутствии CdNTP, доля железа изменяется от ~5 ат% на поверхности пассивной пленки до ~45 ат% на глубине 30 нм, доля кислорода – от ~50 до ~40 ат% (рис. 7в).
Рис. 7. Профили элементного состава поверхностных слоев образцов стали Ст3кп, подвергнутых поляризации при потенциале Е = 0.5 В в боратно-борнокислом буферном растворе (рН = 7.4), содержащем 5 г/л ZnNTP (а, б) и 1 г/л CdNTP (в, г).
Мольное отношение O:Fe снижается от ~4 на поверхности пленки до 1 на глубине 15–20 нм в случае с ZnNTP (рис. 7а) и от ~5 на поверхности до 1 на глубине 20–30 нм для CdNTP (рис. 7в). Глубину пассивной пленки, на которой достигается мольное соотношение O:Fe = 1, характерное для низшего оксида железа FeO, можно принять за условную толщину оксидно-гидроксидной части пассивной пленки. Подстилающий поверхностный слой образца с соотношением O:Fe < 1 может быть охарактеризован как субоксид железа FeO1–x (твердый раствор кислорода в железе), а собственно оксидно-гидроксидная часть пассивной пленки – как смесь оксидов и гидроксидов железа различного состава и структуры с соотношением O:Fe > 1. В боратно-борнокислом буферном растворе с добавлением ZnNTP условная толщина пассивирующей пленки оценивается в ~18 нм (рис. 7а), с добавлением CdNTP – ~20 нм (рис. 7в).
В пленке, сформированной в боратно-борнокислом буферном растворе в присутствии ZnNTP, концентрация элементов, адсорбированных из буферного раствора и входящих в состав ингибитора (Na, P, Zn и N), не превышает 10 ат% и максимальна в поверхностных слоях пленки (0–1 нм), постепенно снижаясь к глубине 20 нм (рис. 7б). В пленке, образованной в присутствии CdNTP, концентрация P и Na оказывается выше, чем в пленке, сформированной в присутствии ZnNTP, наиболее резкое снижение концентраций элементов коррозионной среды наблюдается на глубинах 0–5 нм, далее доля этих элементов практически не изменяется (рис. 7г). По характеру распределения элементов коррозионной среды в пассивирующих пленках можно заключить, что пленка, сформированная в среде с добавкой ZnNTP, обладает более плотной и равномерной структурой по сравнению с пленкой, образованной в присутствии CdNTP, максимальное диффузионное сопротивление которой наблюдается на глубинах 0–5 нм и, по-видимому, обусловлено присутствием в составе FeCdNTP.
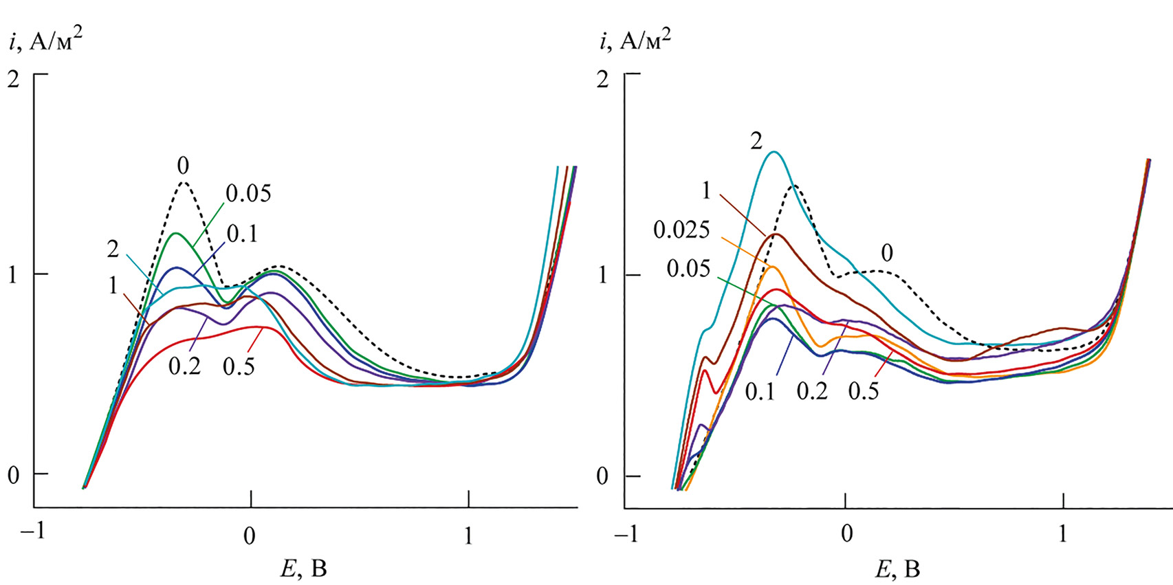
Для оценки защитных свойств пассивирующих пленок были проведены испытания потенциодинамическим методом. На рис. 8 представлены результаты поляризационных измерений для образцов стали в боратно-борнокислом буферном растворе, содержащем добавки ингибиторов ZnNTP (рис. 8а) и CdNTP (рис. 8б) в различных концентрациях. О защитных свойствах пленок можно судить по величинам характеристических потенциалов (потенциала разомкнутой цепи, потенциала начала пассивации, потенциала транспассивности) и величинам плотности тока анодного растворения металла. Значения потенциала разомкнутой цепи имеют тенденцию к незначительному снижению с увеличением концентрации ингибиторов в коррозионной среде. Значения потенциала начала пассивации оказываются ниже, чем в безингибиторной среде, что свидетельствует о том, что присутствие ингибиторов облегчает начало процесса формирования пассивирующих пленок. Величины потенциала транспассивности практически не изменяются с увеличением концентрации ингибиторов. В целом, в ингибированном боратно-борнокислом буферном растворе наблюдается уменьшение плотностей тока анодного растворения металла по сравнению с боратно-борнокислым буферным раствором без добавок. Наибольшее снижение плотностей тока фиксируется при концентрации ZnNTP в коррозионной среде 0.2–0.5 г/л, CdNTP – 0.05–0.1 г/л, т. е. для достижения ингибирующего эффекта CdNTP требуется приблизительно в 4 раза меньше, чем ZnNTP, что согласуется со стехиометрией реакций (1) и (2). Введение CdNTP в концентрациях 1–2 г/л приводит к возрастанию значений критической плотности тока, а также плотностей тока в пассивной области, что, по-видимому, связано с образованием из непрореагировавшего CdNTP свободного нитрило-трис-метиленфосфонат-аниона, который может вступать в реакции образования растворимых комплексов с ионами железа [38]:
[Cd(H2O){N(CH2PO3)3}]4– = Cd2+ + {N(CH2PO3)3}6– + H2O,
nFex+ + m{N(CH2PO3)3}6– = [Fen{N(CH2PO3)3}m](6m – nx)–. (13)
Таким образом, формирующиеся в присутствии ZnNTP и CdNTP пассивирующие пленки обладают хорошими защитными свойствами, на что в первую очередь указывает снижение плотностей тока анодного растворения металла в ингибированных средах по сравнению с таковыми в боратно-борнокислом буферном растворе без добавок.
Рис. 8. Анодные поляризационные кривые, измеренные для образцов стали Ст3кп в боратно-борнокислом буферном растворе (pH = 7.4) с добавками различных концентраций ингибиторов ZnNTP (а) и CdNTP (б); цифры на кривых обозначают концентрацию ингибиторов в г/л.
Примечательно, что в боратно-борнокислом буферном растворе, содержащем ионы-депассиваторы Cl–, CdNTP оказывается малоэффективным в качестве ингибитора коррозии [39] в отличие от ZnNTP [29].
На рис. 9 представлены микрофотографии поверхности стальных образцов, подвергнутых поляризации в области пассивности в боратно-борнокислом буферном растворе, содержащем добавки ZnNTP (рис. 9а, б) или CdNTP (рис. 9в, г). Очевидно, что пассивирующая пленка, сформированная в присутствии ZnNTP, более плотная, однородная по структуре, менее пористая, чем пленка, образованная в среде, содержащей CdNTP, что хорошо согласуется с данными поляризационных измерений.
Рис. 9. Микрофотографии поверхности образцов стали Ст3кп, поляризованных в боратно-борнокислом буферном растворе (рН = 7.4) с добавкой 5 г/л ZnNTP при потенциале E = –0.1 В (а, б) и с добавкой 1 г/л CdNTP при потенциале E = 0.5 В (в, г).
Процесс формирования пассивирующих пленок в боратно-борнокислом буферном растворе, содержащем добавки ZnNTP и CdNTP, схематически представлен на рис. 10. Основными компонентами пленок являются оксиды и гидроксиды железа, представленные различными фазами, мольное соотношение О:Fe в оксидно-гидроксидной части пленок > 1. Под оксидно-гидроксидной пленкой располагается слой субоксида FeO1–x (твердый раствор кислорода в железе) с мольным соотношением О:Fe < 1. Пленка не является статичной, она непрерывно обновляется за счет «переработки» ионами кислорода О2– все новых и новых слоев стали. Металл выступает источником ионов Fe2+, которые идут на образование пассивирующей пленки, а также поступают в коррозионную среду. В свою очередь, электролит выступает источником ионов ОН– и О2–, которые также участвуют в формировании пленки. Наряду с ионами ОН– и О2– в образовании пленки задействованы ионы ингибитора, которые на начальном этапе адсорбируются на поверхности оксидно-гидроксидной пленки, а затем диффундируют в ее внутренние слои, что оказывается возможным благодаря размерам частиц ингибиторов – 0.70 нм для ZnNTP и 0.74 нм для CdNTP (рис. 1). Оценить соотношение вкладов «несплошностей» (пор, трещин и др.) и твердой фазы в переносе в пленке затруднительно, однако стоит ожидать, что «несплошности» вносят доминирующий вклад в диффузионный процесс. В условиях встречной диффузии ионов ингибиторов и ионов Fe2+ в соответствии с уравнениями (1) и (2) в толще оксидно-гидроксидной пленки образуются фрагменты полимерных цепей FeZnNTP и FeCdNTP, диффузия которых ввиду их размера затруднена, а также Zn(OH)2 и Cd(OH)2. Локализация и доля труднорастворимых продуктов в толще пленок определяется, в первую очередь, такими факторами как концентрация и пространственная доступность вступающих в реакцию ионов ингибиторов и Fe2+. Наличие малорастворимых продуктов в составе пленок повышает их защитные свойства. Образование большого количества Cd(OH)2 в ходе реакции (2) приводит к формированию более рыхлой, пористой, диффузионно-проницаемой пленки по сравнению с таковой, формирующейся в боратно-борнокислом буферном растворе с добавкой ZnNTP.
Рис. 10. Схема формирования и строения пассивирующих пленок на поверхности стали в боратно-борнокислом буферном растворе, содержащем ZnNTP (а) и CdNTP (б).
Выводы
Защитные свойства ингибиторов ZnNTP и CdNTP обусловлены протеканием в толще оксидно-гидроксидной пассивирующей пленки в условиях встречной диффузии ионов [Zn{N(CH2PO3)3}]4–, [Cd(H2O{N(CH2PO3)3}]4– и Fe2+ реакций (1) и (2) с образованием труднорастворимых продуктов FeZnNTP, Zn(OH)2 и FeCdNTP, Cd(OH)2, которые кольматируют поры оксидно-гидроксидной пленки, понижают ее диффузионную проницаемость для ионов железа и коррозионной среды, повышают защитные свойства. Атомы Fe(II) в комплексах FeZnNTP, FeCdNTP образуют прочные связи Fe–O и не участвуют в диффузионном переносе.
При формировании пассивирующей пленки в боратно-борнокислом буферном растворе в присутствии ZnNTP продукты реакции (1) FeZnNTP и Zn(OH)2 равномерно сосредоточены в толще пассивирующей пленки (0–15 нм), что определяет ее высокую плотность и высокие защитные свойства. Условная толщина пленки, образованной в присутствии 5 г/л ZnNTP, оценивается в ~18 нм.
При образовании пленки в боратно-борнокислом буферном растворе, содержащем CdNTP, наряду с FeCdNTP, образуется значительное количество Cd(OH)2, пленка формируется более толстой (~20 нм), рыхлой и пористой, чем с ZnNTP. Наибольшая часть FeCdNTP сосредоточена в поверхностных слоях пленки на глубинах 0–5 нм, именно эта часть пленки обладает наибольшим диффузионным сопротивлением и лучшими защитными свойствами. Степень конверсии CdNTP в FeCdNTP возрастает от границы электролит–пленка к границе пленка–металл, тем не менее, даже на глубине 15 нм превращение CdNTP в FeCdNTP оказывается неполным из-за стехиометрического недостатка ионов Fe2+.
В нейтральных водных средах, не содержащих депассивирующих ионов, ингибитор CdNTP является более эффективным и экономичным, чем ингибитор ZnNTP, – оптимальная концентрация CdNTP в коррозионной среде приблизительно в 4 раза ниже, чем ZnNTP, что соответствует отношению долей Cd и Zn в смешанных комплексах FeCdNTP и FeZnNTP.
Экспериментальная часть
Синтез ZnNTP осуществляли по описанной методике [18]. Структура полученного соединения соответствует установленной ранее [19]. Найдено, %: P 13.65±0.5; Zn 9.7±0.2. Вычислено, %: P 13.57; Zn 9.55.
Синтез CdNTP осуществляли по методике, описанной в работе [18]. Структура полученного соединения соответствует установленной ранее [20]. Найдено, %: P 13.9±0.5; Cd 17.4±0.2. Вычислено, %: P 14.28; Cd 17.28.
Для испытаний использовали образцы низкоуглеродистой стали Ст3кп (ГОСТ 380-2005; элементный состав, мас%: С 0.20; Cr 0.1; V 0.02; Ti 0.01; Ni 0.0; Mn 0.22; Si 0.0). Образцы обрабатывали наждачной бумагой до Ra = 0.6–1 мкм, затем промывали дистиллированной водой, обезжиривали этанолом и сушили в эксикаторе.
Коррозионная среда – боратно-борнокислый буферный раствор с pH = 7.4 [40]. Для добавок ZnNTP использовали концентрационную шкалу (г/л): 0.05, 0.1, 0.2, 0.5, 1.0, 2.0; CdNTP – 0.025, 0.05, 0.1, 0.2, 0.5, 1.0, 2.0.
Коррозионные испытания поляризационным методом проводили, используя насыщенный хлоридсеребряный электрод сравнения ЭСр-10101 и вспомогательный платиновый электрод ЭПВ-1-100. Перед регистрацией поляризационных кривых испытуемый образец выдерживали при потенциале –0.8 В в течение 10 мин. Поляризационные кривые регистрировали в интервале потенциалов от –1.0 В до +1.5 В со скоростью развертки потенциала 2 мВ/с в условиях естественной аэрации электролита.
Рентгеновские фотоэлектронные спектры получали с поверхности стальных образцов, подвергнутых поляризации при заданных значениях анодного потенциала в течение 10 мин. Образец переносили из электрохимической ячейки в среду диэтилового эфира (ЧДА), затем образец, смоченный эфиром, быстро устанавливали в рабочую камеру спектрометра и немедленно вакуумировали последнюю до 10–4–10–5 Па, исключая контакт поверхности образца с воздухом.
РФЭС проводили с использованием рентгеновского фотоэлектронного спектрометра ЭМС-3 (Удмуртский федеральный исследовательский центр УрО РАН) с магнитной фокусировкой электронов при возбуждении Al-Kα-излучением (hν = 1486.6 эВ). РФЭС с послойным травлением поверхности образцов ионами Ar с энергией 1000 эВ проводили с использованием рентгеновского фотоэлектронного спектрометра ЭС-2401 (АО «ЭЗАН») с возбуждением Mg-Kα излучением (hν = 1253.6 эВ). Шкала энергии связи электронов (EB) была откалибрована с использованием линии C1s (EB = 284.5 эВ). Вычитание фона проводили по Ширли [41], статистическую обработку данных выполняли с помощью программного обеспечения Fityk 0.9.8 [42].
Благодарность
Исследования проведены с использованием оборудования Центра коллективного пользования «Центр физических и физико-химических методов анализа, исследования свойств и характеристик поверхности, наноструктур, материалов и изделий» Удмуртского федерального исследовательского центра Уральского отделения Российской академии наук.
Финансовая поддержка
Работа выполнена при финансовой поддержке Министерства науки и высшего образования Российской Федерации (проект FUUE-2022-0010). Исследования методом рентгеновской фотоэлектронной спектроскопии выполнены при поддержке Министерства науки и высшего образования России в рамках соглашения № 075-15-2021-1351 в части развития метода рентгеновской фотоэлектронной спектроскопии.
Конфликт интересов
Авторы заявляют об отсутствии конфликта интересов.
About the authors
I. S. Kazantseva
Udmurt Federal Research Center of the Ural Branch of the Russian Academy of Sciences
Email: chaus@udman.ru
ORCID iD: 0000-0003-4556-3854
Russian Federation, 426067, Izhevsk
F. F. Chausov
Udmurt Federal Research Center of the Ural Branch of the Russian Academy of Sciences
Author for correspondence.
Email: chaus@udman.ru
ORCID iD: 0000-0003-4950-2370
Russian Federation, 426067, Izhevsk
N. V. Lomova
Udmurt Federal Research Center of the Ural Branch of the Russian Academy of Sciences
Email: chaus@udman.ru
ORCID iD: 0000-0002-6568-4736
Russian Federation, 426067, Izhevsk
V. L. Vorob’yov
Udmurt Federal Research Center of the Ural Branch of the Russian Academy of Sciences
Email: chaus@udman.ru
ORCID iD: 0000-0002-9401-0802
Russian Federation, 426067, Izhevsk
N. Yu. Isupov
Udmurt Federal Research Center of the Ural Branch of the Russian Academy of Sciences
Email: chaus@udman.ru
ORCID iD: 0000-0002-2515-8117
Russian Federation, 426067, Izhevsk
References
- Кузнецов Ю.И. // Усп. хим. 2004. Т. 73. С. 79; Kuznetsov Yu.I. // Russ. Chem. Rev. 2004. Vol. 73. N 1. doi: 10.1070/RC2004v073n01ABEH000864
- Жук Н.П. Курс теории коррозии и защиты металлов. М.: Металлургия, 1976. 472 с.
- Князева Л.Г. Автореф. дис. … докт. хим. наук. Тамбов, 2012. 49 с.
- Vigdorovitch V.I., Tsygankova L.E., Vigdorowitsch M., Shel N.V., Knyazeva L.G. // Port. Electrochim. Acta. 2021. Vol. 39. P. 335. doi: 10.4152/pea.2021390503
- Зарапина И.В., Осетров А.Ю., Жиркова Ю.В. // Успехи в химии и химической технологии. 2023. Т. 37. № 2. С. 47.
- Кузнецов Ю.И., Раскольников А.Ф. // Защита металлов. 1992. Т. 28. № 2. С. 249.
- Shaban A., Kalman E., Biczо I. // Corros. Sci. 1993. Vol. 35. N 5–8. P. 1463. doi: 10.1016/0010-938X(93)90372-N
- Gonzalez Y., Lafont M.C., Pebere N., Moran F.A. // J. Appl. Electrochem. 1996. Vol. 26. P. 1259. doi: 10.1007/BF00249928
- Felhosi I., Keresztes Zs., Kármán F.H., Mohai M., Bertóti I., Kálmánz E. // J. Electroch. Soc. 1999. Vol. 146. N 3. P. 961. doi: 10.1149/1.1391706
- Rajendran S., Appa Rao B.V., Palaniswamy N. // Anti-Corros. Methods Mater. 2000. Vol. 47. N 2. P. 83. doi: 10.1108/00035590010316430
- Demadis K.D., Katarachia S.D., Koutmos M. // Inorg. Chem. Commun. 2005. N 8. P. 254. doi 10.1016/ j.inoche.2004.12.019
- Demadis K.D., Manzaridis C., Raptis R.G., Mezei G. // Inorg. Chem. Commun. 2005. N 44. P. 4469. doi: 10.1021/ic050572q
- Muthumani N., Rajendran S., Pandiarajan M., Lydia Christy J., Nagalakshm R. // Port. Electrochim. Acta. 2012. Vol. 30. P. 307. doi: 10.4152/pea.201205307
- Prabakaran M., Vadivu K., Ramesh S., Periasamy V. // Egypt. J. Petrol. 2014. V.23. P. 367. doi 10.1016/ j.ejpe.2014.09.004.
- Кузнецов Ю.И. // Защита металлов. 2002. Т. 38. № 2. С. 122; Kuznetsov Yu.I. // Protect. Metals. Vol. 38. N 2. P. 103. doi: 10.1023/A:1014904830050.
- Кузнецов Ю.И., Андреев Н.Н., Маршаков А.И. // ЖФХ. 2020. T. 94. № 3. С. 381; Kuznetsov Y.I., Andreev N.N., Marshakov A.I. // Russ. J. Phys. Chem. (A). 2020. Vol. 94. N 3. P. 505. doi: 10.31857/S0044453720030152
- Telegdi J., Shaglouf M.M., Shaban A., Kármán F.H., Betróti I., Mohai M., Kálmán E. // Electrochim. Acta. 2001. Vol. 46. P. 3791. doi: 10.1016/S0013-4686(01)00666-1
- Chausov F.F., Kazantseva I.S., Reshetnikov S.M., Lomova N.V., Maratkanova A.N., Somov N.V. // ChemistrySelect. 2020. Vol. 5. P. 13711. doi: 10.1002/slct.202003255
- Somov N., Chausov F. CCDC 919565: Experimental Crystal Structure Determination, 2014. doi: 10.5517/cczvwd2
- Chausov F.F., Kazantseva I.S., Reshetnikov S.M., Lomova N.V., Maratkanova A.N., Somov N.V. CCDC 2036586: Experimental Crystal Structure Determination, 2020. doi: 10.5517/ccdc.csd.cc26c7b5
- Сомов Н.В., Чаусов Ф.Ф. // Кристаллография. 2014. Т. 59. № 1. С. 71. doi: 10.7868/S0023476113050123; Somov N.V., Chausov F.F. // Crystallogr. Rep. 2014. Vol. 59. N 1. P. 66. doi: 10.1134/S1063774513050118
- Чаусов Ф.Ф., Сомов Н.В., Закирова Р.М., Алалыкин А.А., Решетников С.М., Петров В.Г., Александров В.А., Шумилова М.А. // Изв. АН. Серия физ. 2017. Т 81. № 3. С. 394. doi: 10.7868/S0367676517030085; Chausov F.F., Somov N.V., Zakirova R.M., Alalykin A.A., Reshetnikov S.M, Petrov V.G., AleksandrovV.A., Shumilova M.A. // Bull. Russ. Acad. Sci. Physics. 2017. Vol. 81. N 3. P. 365. doi: 10.3103/S106287381703008X
- Chausov F.F., Somov N.V., Zakirova R.M., Alalykin A.A., Кeshetnikov S.M., Petrov V.G., Aleksandrov V.A., Shumilova M.A. CCDC 1849911: Experimental Crystal Structure Determination, 2018. doi: 10.5517/ccdc.csd.cc202zkn
- Chausov F.F., Somov N.V., Zakirova R.M., Alalykin A.A., Кeshetnikov S.M., Petrov V.G., Aleksandrov V.A., Shumilova M.A. CCDC 1850041: Experimental Crystal Structure Determination, 2018. doi: 10.5517/ccdc.csd.cc2033r0
- Chausov F.F., Lomova N.V., Dobysheva L.V., Somov N.V., Ul’yanov A.L., Maratkanova A.N., Kholzakov A.V., Kazantseva I.S. // J. Solid State Chem. 2020. Vol. 286. Article no. 121324. doi: 10.1016/j.jssc.2020.121324
- Чаусов Ф.Ф., Ульянов А.Л., Казанцева И.С., Добышева Л.В. // Физика металлов и металловедение. 2023. Т. 124. № 1. С. 36. doi: 10.31857/S0015323022601416
- Dobysheva L.V., Chausov F.F., Lomova N.V. // Mater. Today Commun. 2021. Vol. 29. P. 102892. doi 10.1016/ j.mtcomm.2021.102892
- Cordero B., Gómez V., Platero-Prats A.E., Revés M., Echeverria J., Cremades E., Barragan F., Alvarez S. // Dalton Trans. 2008. Vol. 21. P. 2832. doi: 10.1039/b801115j.
- Kazantseva I.S., Chausov F.F., Lomova N.V., Vorob’yov V.L., Maratkanova A.N. // Mater. Today Commun. 2022. Vol. 32. Article no. 104022. doi 10.1016/ j.mtcomm.2022.104022.
- Kuznetsov Yu.I., Redkina G.V. // Coatings. 2022. Vol. 12. N 2. Article no. 149. doi: 10.3390/coatings12020149.
- Чаусов Ф.Ф., Ломова Н.В., Сомов Н.В., Решетников С.М., Воробьев В.Л., Казанцева И.С. // Изв. АН. Cер. физ. 2020. Т. 84. № 9. С. 1313. doi: 10.31857/S0367676520090112; Chausov F.F., Lomova N.V., Somov N.V., Reshetnikov S.M., Vorob’yov V.L., Kazantseva I.S. // Bull. Russ. Acad. Sci. Physics. 2020. Vol. 84. N 9. P. 1119. doi: 10.3103/S1062873820090117
- Жилин И.А., Чаусов Ф.Ф., Ломова Н.В., Казанцева И.С., Исупов Н.Ю., Аверкиев И.К. // ЖПХ. 2023. Т. 96. № 2. С. 184. doi: 10.31857/S004446182302007X; Zhilin I.A., Chausov F.F., Lomova N.V., Kazantseva I.S., Isupov N.Yu., Averkiev I.K. // Russ. J. Appl. Chem. 2023. Vol. 96. N 2. P. 176. doi: 10.1134/S1070427223020089
- Сомов Н.В., Чаусов Ф.Ф., Казанцева И.С., Ломова Н.В., Бельтюков А.Н., Шумилова М.А., Суксин Н.Е., Ульянов А.И. // Кристаллография. 2023. Т. 68. № 2. С. 246. doi: 10.31857/S0023476123020169; Somov N.V., Chausov F.F., Kazantseva I.S., Lomova N.V., Bel’tukov A.N., Shumilova M.A., Suksin N.E., Ul’yanov A.I. // Crystallogr. Rep. 2023. Vol. 68. N 2. P. 259. doi: 10.1134/S1063774523020165
- Анализ поверхности методами оже- и рентгеновской фотоэлектронной спектроскопии / Под ред. Д. Бриггса, М.П. Сиха. М.: Мир, 1987. 598 с.
- Lange’s Handbook of Chemistry / Ed. J.A. Dean. New York: McGraw-Hill, 1998. 1424 p.
- Xu L., Wu P., Zhu X., Zhao G., Ren X., Wei Q., Xie L. // Corros. Sci. Vol. 207. Article no. 110563. doi 10.1016/ j.corsci.2022.110563.
- McIntyre N.S., Zetaruk D.G. // Anal. Chem. 1977. Vol. 49. P. 1521. doi: 10.1021/ac50019a016
- Кузнецов Ю.И., Раскольников А.Ф. // Защита металлов. 1992. Т. 28. № 5. С. 707.
- Казанцева И.С., Чаусов Ф.Ф., Ломова Н.В., Воробьев В.Л. // Физикохимия поверхности и защита материалов. 2023. Т. 59. № 3. С. 330. doi: 10.31857/S0044185623700389; Kazantseva I.S., Chausov F.F., Lomova N.V., Vorob’yov V.L. // Protect. Met. Phys. Chem. Surf. 2023. Vol. 59. N 3. P. 493. doi: 10.1134/S2070205123700454
- Holmes W. // Anatom. Rec. 1943. Vol. 86. P. 157. doi: 10.1002/ar.1090860205
- Shirley D.A. // Phys. Rev. (B). 1972. Vol. 5. P. 4709. doi: 10.1103/PhysRevB.5.4709
- Wojdyr M. // J. Appl. Crystallogr. 2010. Vol. 43. P. 1126. doi: 10.1107/S0021889810030499
Supplementary files












