Пленкообразующие композиции на основе растворимых индоло[3,2-b]карбазол-полиэтиленгликолей, обладающие фотолюминесцентными свойствами
- Авторы: Светличный В.М.1, Нестерова А.С.1, Мягкова Л.А.1, Иванов А.Г.1, Литвинова Л.С.1, Гофман И.В.1, Попова Е.Н.1, Смыслов Р.Ю.1
-
Учреждения:
- Филиал НИЦ «Курчатовский институт», ПИЯФ–ИВС
- Выпуск: Том 97, № 3 (2024)
- Страницы: 233-243
- Раздел: Высокомолекулярные соединения и материалы на их основе
- URL: https://journal-vniispk.ru/0044-4618/article/view/265070
- DOI: https://doi.org/10.31857/S004446182403006X
- EDN: https://elibrary.ru/QDEMBZ
- ID: 265070
Цитировать
Полный текст
Аннотация
Осуществлен синтез новых растворимых в органических растворителях олигомеров, содержащих индоло[3,2-b]карбазол и полиэтиленгликоли с молекулярной массой 400, 1000, 2000, 3000. Для синтезированных соединений представлены данные термогравиметрического анализа, величины молекулярных масс, проведена оценка растворимости. Для получения пленочных композиций в качестве пленкообразующей матрицы был синтезирован полимер на основе метилендифенилдиизоцианата, гексаметилендиамина и полиэтиленгликоля с молекулярной массой 1000. При использовании синтезированной полимерной матрицы и индоло[3,2-b]карбазол-полиэтиленгликоля 3000 получены пленкообразующие композиции, обладающие фотолюминесценцией в области 395-510 нм. Оценены значения модуля упругости, прочности и удлинения при разрыве пленочных композиций, полученных при смешении полимерной матрицы с 20 и 50 мас% индоло[3,2-b]карбазол-полиэтиленгликоля 3000.
Полный текст
Органические полупроводниковые материалы вызывают интерес в связи с их использованием в качестве активных компонентов в ряде электронных устройств, таких как электролюминесцентные приборы, светоизлучающие диоды, полевые транзисторы [1–3], высокоэффективные плоские дисплеи, твердотельные дисплеи освещения [4, 5]. Такие материалы должны иметь хорошие механические характеристики, настраиваемые посредством структурных модификаций электрические и оптические свойства, а также обладать электронной или дырочной проводимостью. В качестве материалов, обладающих дырочной проводимостью, изучались производные карбазола [6, 7]. Индоло[3, 2-b]карбазол (ИК), как производное карбазола, использовался в синтезе материалов с дырочной проводимостью при получении органических светоизлучающих диодов [8, 9], а также материалов для органических полевых транзисторов [10, 11]. Карбазол и индолокарбазол обладают люминесцентными свойствами. Под действием ультрафиолетового излучения ИК проявляют интенсивную синюю люминесценцию [12, 13]. Индоло[3, 2-b]карбазол по сравнению с карбазолом имеет более плоскую и более жесткую сопряженную структуру, что способствует повышению люминесцентной эффективности [14], поэтому предполагается, что он должен быть более подходящим соединением для получения люминесцентных материалов, чем карбазол.
Известны различные подходы к синтезу ИК. Одним из наиболее практичных методов получения ИК является двойная индолизация по Фишеру [15]. Основной недостаток индоло[3, 2-b]карбазола — низкая растворимость в органических растворителях, что затрудняет его использование и препятствует получению производных. Для решения этой проблемы ранее было предложено вводить в N-центры индолокарбазола длинноцепные алкильные группы [16, 17].
Цель работы — синтез олигомерных индоло[3, 2-b]-карбазол-полиэтиленгликолей (ИК-ПЭГ), которые обладают лучшей растворимостью по сравнению с индоло[3, 2-b]карбазолом, и получение на их основе полимерных композиций.
Экспериментальная часть
В качестве исходных веществ использовали следующие соединения: 1,4-циклогександион (98%, Sigma-Aldrich, CAS 637-88-7), фенилгидразин (98%, J&K SCIENTIFIC, CAS 100-63-0), этанол (96.3 об%, ООО «Гатчинский спиртовой завод»), уксусную кислоту (х.ч. ледяная, АО «Вектон»), серную кислоту Н2SO4 ( х.ч., 93.6–95.6%, АО «Вектон»), N,N-диметилформамид (ДМФА, х.ч., АО «Вектон», сушили над гидридом кальция и перегоняли под вакуумом), N,N-диметилацетамид (ДМАА, АО «Вектон», CAS 127-19-5, сушили над гидридом кальция и перегоняли под вакуумом), N-метилпирролидон (N-МП, АО «Вектон», сушили над гидридом кальция и перегоняли под вакуумом), полиэтиленгликоли (ПЭГ) с молекулярной массой 400, 1000, 2000, 3000 (99%, ARCOS ORGANICS, CAS 25322-68-3), п-толуолсульфонилхлорид (98%, J&K SCIENTIFIC, CAS 98-59-9), тетрагидрофуран (х.ч., АО «Вектон», CAS 109-99-9), триэтиламин (х.ч., ООО «Компонент-Реактив»), хлороформ, стабилизированный 0.5%-ным этанолом (х.ч., АО «База №1 Химреактивов»), гексаметилендиамин (MerckKGaA, CAS 124-09-4), метилендифенилдиизоцианат (Sigma-Aldrich, CAS 101-68-8), гидрид натрия NaH ( 95%, Sigma-Aldrich, CAS 7646-69-7), метанол (х.ч., АО «Вектон»), ацетон (АО «Вектон»), толуол (х.ч., АО «Вектон»), тетрагидрофуран (ТГФ, х.ч., АО «ЭКОС-1», CAS 109-99-9), диметилсульфоксид (х.ч., 99.9%, АО «ЭКОС-1», CAS 67-68-5), метилен хлористый (х.ч., АО «ЭКОС-1», CAS 75-09-2), дистиллированную воду (получали при проведении процесса дистилляции воды с использованием аквадистиллятора ДЭ-4-2).
Для подтверждения химического строения синтезированных соединений применяли метод ЯМР-спектроскопии (ЯМР-спектрометр BrukerAvance 400, при 400 МГц), используя в качестве растворителей дейтерированные диметилсульфоксид и хлороформ, а также метод ИК-спектроскопии [Фурье-спектрометр IRAffinity-1S (Shimadzu)] в средней ИК-области (3600–500 см–1) с использованием микроприставки (Specac) однократного нарушенного полного внутреннего отражения.
Термостойкость соединений определяли методом термогравиметрического анализа (ТГА) на приборе марки TG 209 F1 (NETZSCH) в интервале температур 30–800°C при скорости подъема температуры 20 град·мин–1, в инертной среде (аргон), масса образцов 2–3 мг. Для определения средневесовой (Mw) и среднечисленной (Mn) молекулярных масс и индекса полидисперсности (Mw/Mn) исследуемых соединений методом эксклюзионной хроматографии использовали жидкостный хроматограф 1260 Infinity (Agilent Technologies), в качестве подвижной фазы использовали ТГФ со скоростью 1.0 мл·мин–1. Концентрация введенного образца не превышала 2 мг·мл–1. Объем пробы составлял 100 мкл. Спектры люминесценции регистрировали на люминесцентном спектрофотометре LS-100 (PerkinElmer) в диапазоне 250–550 нм, спектры поглощения — на спектрофотометре СФ-2000 (ОКБ «Спектр») в диапазоне 250–500 нм с концентрациями растворов 0.1 мг·мл–1. Выбор длины волны возбуждения обусловливался спектрами поглощения. Механические испытания проводили при комнатной температуре в режиме одноосного растяжения с помощью универсальной установки AG-100X Plus (Shimadzu). Растяжение образцов в виде полос с размерами рабочей части 20 × 2 мм проводили со скоростью 100 мм·мин–1. В процессе испытаний определяли следующие характеристики пленок: модуль упругости Е, предел пластичности σп, прочность σр и предельную деформацию до разрушения εр. Механические характеристики получены путем усреднения результатов испытания 7–9 образцов каждого материала.
Синтез индоло[3, 2-b]карбазола. Синтез индоло[3, 2-b]карбазола был осуществлен методом двойной индолизации по Фишеру [15]. В качестве исходных соединений использовались 1,4-циклогександион и фенилгидразин. Продукт реакции — 1,4-циклогександион бисфенилгидразон в среде уксусной и серной кислот был превращен в индоло[3, 2-b]карбазол (схема 1).
Схема 1
1Н ЯМР-спектр (ДМСО-d6; δ, м. д.): 11.03 (NH, 2H, s), 8.21 (СН, 2Н, d), 8.11 (СН, 2Н, s), 7.46 (СН, 2Н, d), 7.39 (СН, 2Н, t), 7,14 (CH, 2H, t).
ИК-спектр (см–1): 3401 (N—Н), 3050 (Cар—H), 1615 (N—Н), 1524 (Cар═Cар), 1456 (Cар═Cар), 1326 (C—N), 853 (C—H).
Синтез тозилированных полиэтиленгликолей. Синтезу индоло[3, 2-b]карбазол-полиэтиленгликолей предшествовало получение полиэтиленгликолей с концевыми тозильными группами (схема 2).
Схема 2
В атмосфере аргона при перемешивании растворяли 0.001 моль ПЭГ с молекулярной массой 1000 и 0.004 моль триэтиламина в 25 мл ТГФ. Охлаждали раствор на ледяной водной бане. Предварительно 0.002 моль п-толуолсульфонилхлорида растворяли в 5 мл ТГФ, затем этот раствор прикапывали в исходную реакционную смесь. Реакция протекала при перемешивании в течение 1 сут при комнатной температуре. Далее реакционную смесь вливали в 300 мл дистиллированной воды, экстрагировали 150 мл хлороформа (3 раза по 50 мл), после этого сушили полученный экстракт безводным сульфатом магния. Через 1 сут отфильтровывали полученный раствор через бумажный фильтр, удаляли растворитель на ротационном испарителе при 40°С, сушили в вакууме при 60°С. Выход продукта составил 68%. Аналогично проводили синтез, используя ПЭГ с молекулярной массой 400, 2000 и 3000.
1Н ЯМР-спектр (ДМСО-d6; δ, м. д.): 7.79 (CH, 4H, d), 7.36 (СН, 4Н, d), 4.16 (СН2, 4Н, t), 3.65 (СН2, m), 2.45 (СН3, 6Н, s).
ИК-спектр (см–1): 3300–3500 (О—H), 3060 (Cар—H), 2943 (Cал—H), 2901 (Cал—H), 2873 (Cал—H), 1455 (Cар═Cар), 1354 (S═О), 1106 (C—O), 925 (Cал—Cал).
Синтез индоло[3, 2-b]карбазол-полиэтиленгликолей. Полученные соединения были использованы для синтеза индоло[3, 2-b]карбазол-полиэтиленгликолей (схема 3).
Схема 3
При комнатной температуре в атмосфере аргона растворяли 2.5 ммоль NaH в 4 мл ДМФА, перемешивали в течение 30 мин. Затем добавляли 0.835 ммоль ИК, нагревали реакционную смесь до 40°С, продолжали перемешивание в течение 45 мин до растворения индолокарбазола. Далее добавляли 0.875 ммоль тозилированного ПЭГ 1000, предварительно растворив его в 5 мл ДМФА. Реакционную смесь нагревали до 80°С и продолжали синтез в течение 24 ч. Реакционную смесь вливали в 150 мл дистиллированной воды, оставляли на 2 сут. Удаляли растворитель на ротационном испарителе при 70°С, затем досушивали в вакууме при 80°С. Выход продукта составил 82%. По аналогичной методике получали индоло[3, 2-b]карбазолы, содержащие полиэтиленгликоли с молекулярными массами 400, 2000 и 3000 (ИК-ПЭГ 400, ИК-ПЭГ 1000, ИК-ПЭГ 2000, ИК-ПЭГ 3000).
ИК-спектр (см–1): 3050 (Cар—H), 2872 (Cал—H), 1614 (N—Н), 1459 (Cар═Cар), 1106 (C—O), 934 (Cал—Cал).
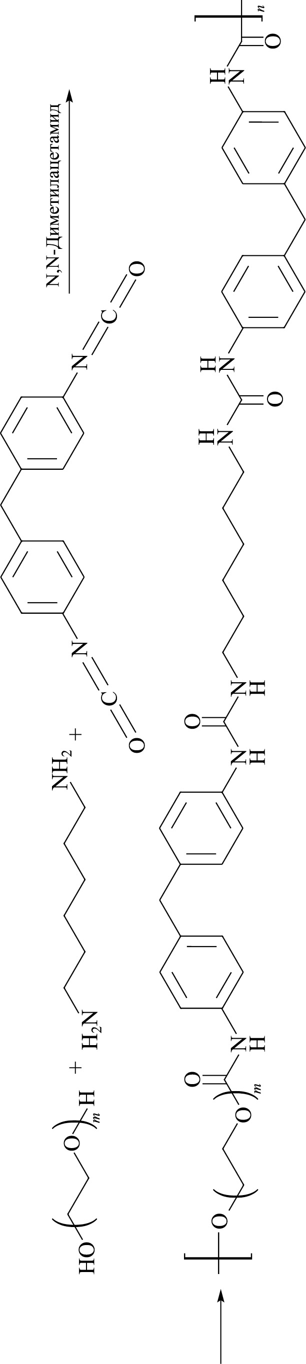
Синтез полимерной матрицы. Было установлено, что растворы олигомерных ИК-ПЭГ с молекулярной массой 400, 1000, 2000, 3000 образуют покрытия, но не являются самонесущими пленками. С целью получения пленочных образцов и оценки их механических свойств в работе осуществлен синтез уретановой пленкообразующей матрицы на основе метилендифенилдиизоцианата, гексаметилендиамина и полиэтиленгликоля с молекулярной массой 1000 (схема 4).
Схема 4
В колбу, снабженную подачей аргона, помещали 2.85 ммоль ПЭГ 1000, 5.7 ммоль метилендифенилдиизоцианата и 43.5 мл ДМАА (концентрация полимера составляла 10 мас%), перемешивали при 80°С 40 мин. Охлаждали реакционную смесь до комнатной температуры. Отдельно приготавливали раствор 2.28 ммоль гексаметилендиамина в 2 мл ДМАА при нагревании до 80°С. Раствор диамина прибавляли по каплям в реакционную смесь в течение 30 мин. После этого раствор нагревали до 80°С, перемешивали в течение 5 мин, охлаждали до комнатной температуры. Полученный полимер выделяли осаждением в дистиллированную воду, промывали дистиллированной водой (500 мл), метанолом (300 мл) и оставляли в нем на 1 ч. Сушили в термостате: 80°С — 3 ч; 160°С — 1 ч. Выход составил 81%.
Состав полимера подбирался таким образом, чтобы была возможность получения самонесущей пленки, и при этом такой полимер не должен обладать фотолюминесценцией в области испускания олигомеров, содержащих звенья индолокарбазола.
ИК-спектр (см–1): 2867 (Cал—H), 1726 (C=O), 1598 (C—N), 1535(Cар═Cар), 1510 (Cар═Cар), 1307 (C—N), 1090 (C—O), 946 (Cал—Cал).
Обсуждение результатов
Химическая структура синтезированных соединений исследована методами 1Н ЯМР- и ИК-спектроскопии. В 1Н ЯМР-спектре индоло[3, 2-b]карбазола (рис. 1, а) наблюдается сигнал в области 11.03 м. д., который соответствует протонам NH-групп. Сигналы протонов бензольных колец наблюдаются в области 8.21, 8.11, 7.46, 7.39, 7.14 м. д. Сигнал в области 2.55 м. д. является остаточным сигналом растворителя. В 1Н ЯМР-спектре тозилированного ПЭГ с молекулярной массой 1000 (рис. 1, б) наблюдается сигнал в области 4.16 м.д., который соответствует протонам концевых СН2-групп ПЭГ 1000, находящихся рядом с тозильными группами. Сигнал в области 3.65 м. д. соответствует протонам СН2-групп в цепи ПЭГ 1000. Сигналы протонов ароматических звеньев тозильных групп наблюдаются в области 7.79 и 7.36 м. д. Сигнал протонов в области 2.45 м. д. отвечает концевым СН3-группам. В 1Н ЯМР-спектрах тозилированных ПЭГ с молекулярной массой 400, 2000, 3000 наблюдаются сигналы протонов в тех же областях, что и для тозилированного ПЭГ 1000.
Рис. 1. 1Н ЯМР-спектры индоло[3,2-b]карбазола в дейтерированном диметилсульфоксиде (а) и тозилированного полиэтиленгликоля с молекулярной массой 1000 в дейтерированном хлороформе (б).
В ИК-спектрах исследованных образцов (рис. 2) наблюдается серия полос разной интенсивности. Широкая полоса низкой интенсивности в спектре (рис. 2, б) в области 3500‒3300 см–1 отвечает валентным О—Н колебаниям концевых групп ПЭГ, узкая малоинтенсивная полоса при 3400 см–1 соответствует валентным N—H колебаниям концевого индолокарбазольного фрагмента. Малоинтенсивные полосы при 3064 и 3049 см–1 могут быть отнесены к полосам колебаний С—Н-связей индольного фрагмента. Интенсивность данных полос уменьшается пропорционально их концентрации в олигомере, что отчетливо видно при сравнении серии спектров олигомеров, содержащих полиэтиленгликоль различной молекулярной массы (400, 1000, 2000, 3000). Серия полос средней интенсивности в области 2915‒2885 см–1 отвечает валентным С—Н колебаниям метиленового фрагмента (—СН2—) этиленгликолевого звена.
Рис.2. ИК-спектры индоло[3,2-b]карбазола (а) и индоло[3,2-b]карбазол-полиэтиленгликолей (б) с молекулярной массой 400 (1), 1000 (2), 2000 (3), 3000 (4).
Полоса при 1616 см–1 (рис. 2, а) соответствует валентным С═N колебаниям, при 1602 см–1 — деформационным N—H колебаниям, а серия полос при 1589, 1523 и 1457 см–1 может быть отнесена к валентным С═С колебаниям индолокарбазольного фрагмента. Интенсивная полоса деформационных С—N колебаний при 1196 см–1 свидетельствует об образовании алкильного производного индолокарбазола. Полосы при 1099, 959 и 841 см–1 отвечают С—О, С—Н и скелетным С—С колебаниям этиленгликолевого звена. Высокоинтенсивные полосы при 812 и 682 см–1 соответствуют деформационным С—Н колебаниям индолокарбазола.
Для оценки растворимости синтезированных соединений в ходе работы были приготовлены образцы (растворитель + синтезированное соединение) с концентрацией 1 мас% в различных растворителях. Если при растворении не все вещество переходит в раствор, то оно считается частично растворимым. Благодаря введению в N-центры индоло[3, 2-b]карбазола звеньев полиэтиленгликоля полученные продукты оказались растворимыми в большем числе растворителей, чем индоло[3, 2-b]карбазол (табл. 1).
Таблица 1. Растворимость индоло[3,2-b]карбазола и индоло[3,2-b]карбазол-полиэтиленгликолей с молекулярной массой 400, 1000, 2000, 3000 в различных растворителях*
Соединение | Растворитель | |||||||||
метанол | ацетон | толуол | хлороформ | тетра-гидрофуран | N,N-диметилформамид | диметилсульфоксид | N-метилпирролидон | метилен хлористый | вода | |
– | – | – | – | – | – | +/– | + | – | – | |
– | – | – | +/– | +/– | + | + | + | – | – | |
+/– | +/– | +/– | + | + | + | + | + | +/– | +/– | |
+ | +/– | + | + | + | + | + | + | +/– | +/– | |
+ | +/– | + | + | + | + | + | + | +/– | + | |
* «+» — растворим, «+/–» — частично растворим, «–» — нерастворим.
Методом эксклюзионной хроматографии были определены молекулярные массы и индексы полидисперсности синтезированных индоло[3, 2-b]карбазол-полиэтиленгликолей (табл. 2).
Таблица 2. Молекулярно-массовые характеристики синтезированных соединений на основе индоло[3,2-b]карбазола и полиэтиленгликолей с молекулярной массой 400, 1000, 2000, 3000
Показатель | ||||
Мw | 1430 | 3550 | 2780 | 3730 |
PD | 1.88 | 2.31 | 1.38 | 1.33 |
Термостойкость синтезированных соединений определяли методом ТГА. Получали термогравиметрические кривые, на которых фиксировали температуры, которые соответствуют 5% (τ5) и 10% (τ10) потери массы образца – индексы термостойкости (табл. 3), чем выше индексы термостойкости, тем выше термостойкость. Однако индексы термостойкости ИК-ПЭГ оказались ниже, чем для ИК. Это понижение термостойкости связано с наличием ПЭГ-звеньев различной молекулярной массы. Однако, как показали эксперименты, чем больше молекулярная масса полиэтиленгликолевого звена, тем выше индексы термостойкости ИК-ПЭГ.
Таблица 3. Индексы термостойкости индоло[3,2-b]карбазола и олигомерных индоло[3,2-b]карбазол-полиэтиленгликолей с молекулярной массой 400, 1000, 2000, 3000
Соединение | τ5, °С | τ10, °С |
371 | 395 | |
235 | 270 | |
328 | 348 | |
351 | 371 | |
353 | 373 |
В работе получены спектры поглощения индоло[3, 2-b]карбазола и индоло[3, 2-b]карбазол-полиэтиленгликолей с молекулярными массами 400, 1000, 2000, 3000 в растворе в N-МП (рис. 3, а). В спектре поглощения индоло[3, 2-b]карбазола наблюдается ряд полос, отвечающих π–π и n–π электронным переходам с максимумами при 324–339, 386 и 405 нм. Данные полосы присутствуют и в спектрах ИК-ПЭГ, что свидетельствует о наличии в них индолокарбазольного звена. В то же время следует отметить, что положение и интенсивность данных полос незначительно изменяются. Это, по-видимому, свидетельствует о различной степени π–π стэкингового взаимодействия ИК фрагментов, разделенных ПЭГ-звеньями различной длины. Возбуждение фотолюминесценции растворов ИК и ИК-ПЭГ проводили при значениях длин волн 339 и 386 нм, полученных из спектров поглощения.
Рис. 3. Спектры поглощения (а) и фотолюминесценции (б) растворов индоло[3, 2-b]карбазола (1), индоло[3, 2-b]карбазол-полиэтиленгликоля 400 (2), индоло[3, 2-b]карбазол-полиэтиленгликоля 1000 (3), индоло[3, 2-b]карбазол-полиэтиленгликоля 2000 (4) и индоло[3, 2-b]карбазол-полиэтиленгликоля 3000 (5) в N-метилпирролидоне.
Возбуждение люминесценции при 386 нм.
Для растворов индоло[3, 2-b]карбазола и олигомерных индоло[3, 2-b]карбазол-полиэтиленгликолей получены спектры люминесценции (рис. 3, б). Индоло[3, 2-b]-карбазол в растворе N-метилпирролидона обладает эффективной люминесценцией. В полосе люминесценции для индоло[3, 2-b]карбазола наблюдаются два максимума при 418 и 441 нм (рис. 3, б, кривая 1).
Получены спектры люминесценции для систем индоло[3, 2-b]карбазол-полиэтиленгликоль с длиной ПЭГ-звеньев от 400 до 3000 г·моль–1 в N-МП (рис. 3, б, кривые 2–5) при возбуждении 386 нм. Оказалось, что максимальное значение интенсивности испускания наблюдалось в случае индоло[3, 2-b]-карбазол-полиэтиленгликоля 1000. Это можно объяснить, если принять во внимание влияние длины фрагмента ПЭГ на тушение люминесценции. С одной стороны, происходит увеличение мольной доли, ω, фрагмента ПЭГ в сравнении с долей ИК звеньев в макромолекуле при увеличении молекулярной массы или, что то же самое, длины ПЭГ:
ω = ,
где [ИК] и [OC2H4] — мольные концентрации мономерных звеньев ИК и этиленоксида.
Чем длиннее фрагмент ПЭГ в макромолекуле, тем выше величина ω для полимера и тем ниже должна быть локальная концентрация ИК звеньев. Таким образом, короткий фрагмент ПЭГ может увеличить эффективность тушения в результате достаточной локальной концентрации звеньев ИК в растворе для переноса энергии электронного возбуждения (ПЭЭВ) по Фёрстеру — индуктивно-резонансный механизм (концентрационное тушение) [18]. С другой стороны, термодинамическая гибкость длинного фрагмента ПЭГ способна обеспечить взаимодействие удаленных по полимерной цепи ИК звеньев, что может включить уже динамический механизм тушения за счет столкновений и перекрытия электронных плотностей для ИК звеньев, участвующих в ПЭЭВ, — обменно-резонансный механизм (тушение по Декстеру) [19].
Для получения пленочных материалов, содержащих индоло[3, 2-b]карбазол и обладающих фотолюминесценцией, была использована специально синтезированная пленкообразующая полимерная матрица, не обладающая фотолюминесценцией в области испускания олигомеров, содержащих звенья индолокарбазола, в которую вводили в качестве наполнителя индоло[3, 2-b]карбазол-полиэтиленгликоль 400, 1000, 2000 и 3000. Однако на основе синтезированной матрицы получить самонесущие пленки удалось только с ИК-ПЭГ 3000, содержание которого составляло 20 и 50 мас%.
Следует отметить высокие значения предельной деформации до разрушения εр у приготовленных пленочных образцов полимерной матрицы. В результате введения в матричный полимер 20 и 50 мас% индоло[3, 2-b]карбазол-полиэтиленгликоля 3000 (табл. 4) наблюдаются также высокие значения εр, характеризующие хорошие пленкообразующие свойства полученных композиций.
Таблица 4. Механические характеристики пленочных материалов
Образец | E, МПа | σп, МПа | σр, МПа | εр, % |
Полимерная матрица | 4.16 ± 0.18 | 2.20 ± 0.06 | 6.16±0.06 | 1553±70 |
Полимерная матрица + 20 мас% индоло[3, 2-b]карбазол-полиэтиленгликоля 3000 | 3.58± 0.35 | 1.17 ± 0.09 | 3.91±0.36 | 980±44 |
Полимерная матрица + 50 мас% индоло[3, 2-b]карбазол-полиэтиленгликоля 3000 | 1.41 ± 0.08 | 0.98 ± 0.05 | 1.12 ± 0.05 | 133 ± 7 |
Для композитных пленок, содержащих 20 и 50 мас% ИК-ПЭГ 3000, были получены спектры поглощения и люминесценции (рис. 4). Профили спектров фотолюминесценции в растворе ИК-ПЭГ 3000 и композиционных пленках совпадают. Присутствуют пики в полосе испускания при 420 и 437 нм, а также плечо при 467 нм (рис. 4, б).
Рис. 4. Спектры поглощения (а) и люминесценции (б) композитных покрытий на стекле: полимерная матрица + 20 мас% индоло[3,2-b]карбазол-полиэтиленгликоля 3000 (1) и полимерная матрица + 50 мас% индоло[3,2-b]карбазол-полиэтиленгликоля 3000 (2).
Возбуждение люминесценции при 337 нм.
Проведенное исследование показало, что поглощательная способность композитного покрытия при 50 мас% ИК-ПЭГ 3000 выше в полосе поглощения ИК групп при 337 нм по сравнению с 20 мас% (рис. 4, а). Однако увеличение концентрации ИК-ПЭГ 3000 в пленке от 20 до 50 мас% приводит к уменьшению эффективности излучения (рис. 4, б), что свидетельствует о концентрационном тушении в этом диапазоне концентраций. Это следует учитывать при приготовлении пленочных люминесцирующих композиций.
Выводы
Синтезирована серия растворимых в органических растворителях олигомеров на основе индоло[3, 2-b]карбазола и полиэтиленгликолей различной молекулярной массы (400, 1000, 2000, 3000), обладающих интенсивной фотолюминесценцией в растворах N-метилпирролидона. Специально синтезирована для получения композитных пленочных материалов, содержащих индоло[3, 2-b]карбазол, полимерная матрица, не обладающая фотолюминесценцией в области, где ее проявляют олигомеры. Изготовлены новые пленкообразующие композиции, содержащие 20 и 50 маc% индоло[3, 2-b]карбазол-полиэтиленгликоля с молекулярной массой 3000, обладающие фотолюминесценцией и термостойкостью до 353ºС.
Наличие интенсивной люминесценции в области 395–510 нм для синтезированных олигомерных индоло[3, 2-b]карбазол-полиэтиленгликолей в растворах и в композитных пленках, полученных на основе полимерной матрицы, содержащей 20 и 50 мас% индоло[3, 2-b]карбазол-полиэтиленгликоля 3000, определяет возможность использования таких материалов при создании люминесцирующих лаков или эмалей. На основе синтезированных соединений могут быть разработаны электролюминесцентные устройства для конверсии ультрафиолетового излучения солнца в видимый свет.
Финансирование работы
Работа проведена в рамках выполнения государственного задания НИЦ «Курчатовский институт», регистрационный номер 124013000726-6.
Конфликт интересов
Авторы заявляют об отсутствии конфликта интересов, требующего раскрытия в данной статье.
Информация о вкладе авторов
В. М. Светличный — обоснование идеи проведения исследований по синтезу сополимеров индоло[3, 2-b]карбазола и их практическому применению; А. С. Нестерова — проведение анализа и обобщение данных литературы по теме статьи, выполнение экспериментальной части работы по синтезу индоло[3, 2-b]карбазола, тозилированных полиэтиленгликолей с молекулярной массой 400, 1000, 2000, 3000 и олигомерных индоло[3, 2-b]карбазол-полиэтиленгликолей, подготовка растворов и пленок для исследования физическими методами; Л. А. Мягкова — синтез полимерной матрицы и получение композиционных материалов на ее основе, исследование структуры синтезированных соединений методом ЯМР-спектроскопии; А. Г. Иванов — исследование структуры индоло[3, 2-b]карбазола и олигомерных индоло[3, 2-b]карбазол-полиэтиленгликолей различной молекулярной массы методами ИК- и УФ-спектроскопии; Л. С. Литвинова — изучение молекулярно-массовых характеристик индоло[3, 2-b]-карбазол-полиэтиленгликолей методом гель-проникающей хроматографии; И. В. Гофман — проведение механических испытаний пленочных образцов в режиме одноосного растяжения; Е. Н. Попова — исследование термостойкости индоло[3, 2-b]карбазола и олигомерных индоло[3, 2-b]карбазол-полиэтиленгликолей методом термогравиметрического анализа; Р. Ю. Смыслов — изучение люминесцентных свойств растворов и пленок индоло[3, 2-b]карбазола и индоло[3, 2-b]карбазол-полиэтиленгликолей; все соавторы принимали активное участие в обсуждении полученных результатов, написании статьи и формулировке выводов по работе.
Об авторах
Валентин Михайлович Светличный
Филиал НИЦ «Курчатовский институт», ПИЯФ–ИВС
Автор, ответственный за переписку.
Email: valsvet@hq.macro.ru
ORCID iD: 0000-0002-9657-082X
д.х.н.
Россия, 199004, г. Санкт-Петербург, В.О., Большой пр., д. 31Анна Сергеевна Нестерова
Филиал НИЦ «Курчатовский институт», ПИЯФ–ИВС
Email: valsvet@hq.macro.ru
ORCID iD: 0000-0002-5834-5357
Россия, 199004, г. Санкт-Петербург, В.О., Большой пр., д. 31
Людмила Аркадьевна Мягкова
Филиал НИЦ «Курчатовский институт», ПИЯФ–ИВС
Email: valsvet@hq.macro.ru
ORCID iD: 0000-0003-3906-6261
к.х.н.
Россия, 199004, г. Санкт-Петербург, В.О., Большой пр., д. 31Алексей Геннадьевич Иванов
Филиал НИЦ «Курчатовский институт», ПИЯФ–ИВС
Email: valsvet@hq.macro.ru
ORCID iD: 0000-0003-4666-1333
к.х.н.
Россия, 199004, г. Санкт-Петербург, В.О., Большой пр., д. 31Лариса Степановна Литвинова
Филиал НИЦ «Курчатовский институт», ПИЯФ–ИВС
Email: valsvet@hq.macro.ru
ORCID iD: 0000-0002-1042-3379
к.х.н.
Россия, 199004, г. Санкт-Петербург, В.О., Большой пр., д. 31Иосиф Владимирович Гофман
Филиал НИЦ «Курчатовский институт», ПИЯФ–ИВС
Email: valsvet@hq.macro.ru
ORCID iD: 0000-0002-1939-2660
к.х.н.
Россия, 199004, г. Санкт-Петербург, В.О., Большой пр., д. 31Елена Николаевна Попова
Филиал НИЦ «Курчатовский институт», ПИЯФ–ИВС
Email: valsvet@hq.macro.ru
ORCID iD: 0000-0001-8470-8994
Россия, 199004, г. Санкт-Петербург, В.О., Большой пр., д. 31
Руслан Юрьевич Смыслов
Филиал НИЦ «Курчатовский институт», ПИЯФ–ИВС
Email: valsvet@hq.macro.ru
ORCID iD: 0000-0003-3633-4347
к.ф.-м.н.
Россия, 199004, г. Санкт-Петербург, В.О., Большой пр., д. 31Список литературы
- Tonzola C. J., Alam M. M., Kaminsky W., Jenekhe S. A. New n-type organic semiconductors: Synthesis, single crystal structures, cyclic voltammetry, photophysics, electron transport, and electroluminescence of a series of diphenylanthrazolines // J. Am. Chem. Soc. 2003. V. 125. N 44. P. 13548–13558. https://doi.org/10.1021/ja036314e
- Meng H., Bendikov M., Mitchell G., Helgeson R., Wudl F., Bao Z., Siegrist T., Kloc C., Chen C. Tetramethylpentacene: Remarkable absence of steric effect on field effect mobility // Advanced Mater. 2003. V. 15. N 13. P. 1090–1093. https://doi.org/10.1002/adma.200304935
- Ru Y., Zhang X., Wang L., Dai L., Yang W., Qiao J. Polymer composites with high haze and high transmittance // Polym. Chem. 2015. V. 6. N 37. P. 6632–6636. https://doi.org/10.1039/C5PY01072A
- Tullo A. H. Competition looms between LCDs and new organic light-emitting diode technology // Chem. Eng. News. 2001. V. 79. N 47. P. 49–54. https://doi.org/10.1021/cen-v079n047.p049
- Wu C.-C., Lin Y. T., Wong K.-T., Chen R. T., Chien Y.-Y. Efficient organic blue-light-emitting devices with double confinement on terfluorenes with ambipolar carrier transport properties // Advanced Mater. 2004. V. 16. N 1. Р. 61–65. https://doi.org/10.1002/adma.200305619
- Brunner K., van Dijken A., Börner H., Bastiaansen J. J. A., Kiggen N. M. M., Langeveld B. M. W. Carbazole compounds as host materials for triplet emitters in organic light-emitting diodes: Tuning the HOMO level without influencing the triplet energy in small molecules // J. Am. Chem. Soc. 2004. V. 126. N 19. P. 6035–6042. https://doi.org/10.1021/ja049883a
- Li J., Liu D., Lee C.-S., Kwong H. L., Lee S. A high Tg carbazole-based hole-transporting material for organic light-emitting devices // Chem. Mater. 2005. V. 17. N 5. P. 1208–1212. https://doi.org/10.1021/cm034731k
- Zhang D., Song X., Cai M., Kaji H., Duan L. Versatile indolocarbazole-isomer derivatives as highly emissive emitters and ideal hosts for thermally activated delayed fluorescent OLEDs with alleviated efficiency roll-off // Advanced Mater. 2018. V. 30. N 7. P. 1705406. https://doi.org/10.1002/adma.201705406
- Xiang S., Lv X., Sun S., Zhang Q., Huang Z., Guo R., Gu H., Liu S., Wang L. To improve the efficiency of thermally activated delayed fluorescence OLEDs by controlling the horizontal orientation through optimizing stereoscopic and linear structures of indolocarbazole isomers // J. Mater. Chem. C. 2018. V. 6. N 21. P. 5812–5820. https://doi.org/10.1039/C8TC01419A
- Boudreault P.-L., Wakim S., Blouin N., Simard M., Tessier C., Tao Y., Leclerc M. Synthesis, characterization, and application of indolo[3,2-b]-carbazole semiconductors // J. Am. Chem. Soc. 2007. V. 129. P. 9125–9136. https://doi.org/10.1021/ja071923y
- Chae H., Han J. M., Ahn Y., Kwon J. E., Lee W. H., Kim B.-G. NO2-affinitive amorphous conjugated polymer for field-effect transistor sensor toward improved NO2 detection capability // Advanced Mater. Technologies. 2021. V. 6. N 11. P. 2100580. https://doi.org/10.1002/admt.202100580
- Seo J-A., Im Y., Han S. H., Lee C. W., Lee J. Y. Unconventional molecular design approach of high-efficiency deep blue thermally activated delayed fluorescent emitters using indolocarbazole as an acceptor // Am. Chem. Soc. Appl. Mater. & Interfaces. 2017. V. 9. N 43. P. 37864–37872. https://doi.org/10.1021/acsami.7b09351
- Pat. CN 113603696 (publ. 2021). Preparation of indolocarbazoles based blue light fluorescence doping compound and its use in organic electroluminescent device.
- Zhang X.-H., Wang Z.-S., Cui Y., Koumura N., Furube A., Hara K. Organic sensitizers based on hexylthiophene-functionalized indolo[3,2-b]carbazole for efficient dye-sensitized solar cells // J. Phys. Chem. C. 2009. V. 113. N 30. P. 13409–13425. https://doi.org/10.1021/jp808536v
- Robinson B. The Fischer indolisation of cyclohexane-1,4-dione bisphenylhydrazone // J. Am. Chem. Soc. (Resumed). 1963. P. 3097–3099. https://doi.org/10.1039/JR9630003097
- Yamashita K., Akimoto M., Kawamoto M., Nagase Y. Syntheses and photonic properties of copolymers containing indolocarbazole moiety in the side chain // Transactions of the Materials Research Society of Japan. 2013. V. 38. N 2. P. 253–255. https://doi.org/10.14723/TMRSJ.38.253
- Bintinger J., Yang S., Fruhmann P., Holzer B., Stoeger B., Svirkova A., Marchetti-Deschmann M., Horkel E., Hametner C., Froehlich J. Synthesis, Characterization and printing application of alkylated indolo[3,2-b]carbazoles // Synth. Metals. 2017. V. 228. P. 9−17. https://doi.org/10.1016/J.SYNTHMET.2017.04.003
- Förster T. Intermolecular energy transfer and fluorescence // Annalen der Physik (Leipzig). 1948. V. 2. P. 55–75.
- Dexter D. L. A theory of sensitized luminescence in solids // J. Chem. Phys. 1953. V. 21. N 5. P. 836–850. https://doi.org/10.1063/1.1699044
Дополнительные файлы











