Изучение процесса гелеобразования при масштабировании технологии получения лекарственной формы «Агсулар® гель 1.5%»
- Авторы: Костыро Я.А.1
-
Учреждения:
- Иркутский институт химии им. А. Е. Фаворского Сибирского отделения РАН
- Выпуск: Том 97, № 4 (2024)
- Страницы: 287-293
- Раздел: Прикладная химия — фармации
- URL: https://journal-vniispk.ru/0044-4618/article/view/268510
- DOI: https://doi.org/10.31857/S0044461824040030
- EDN: https://elibrary.ru/MCZBWX
- ID: 268510
Цитировать
Полный текст
Аннотация
Методом фазовой реологии изучен процесс гелеобразования в полярной дисперсной системе, представляющей собой водно-глицериновый раствор фармацевтической субстанции Агсулар® и консерванта Нипагин® М натрия, при загущении ее аэросилом в возрастающей концентрации. Методом электрофоретического рассеяния света на основании данных о величине ζ-потенциала дисперсной системы изучена физическая стабильность геля. За счет изменения последовательности и количества ввода ингредиентов оптимизирована технология получения лекарственной формы «Агсулар® гель 1.5%» при масштабировании производственного процесса.
Полный текст
В медицинской практике для наружного применения широко используются мягкие лекарственные формы в виде гелей. Использование в качестве гелеобразователя коллоидного диоксида кремния (аэросила),1 относящегося к неорганическим полимерам, является перспективным в связи с его уникальным строением и свойствами [1, 2]. Одним из важных свойств аэросила является его загущающая способность [повышение вязкости дисперсии за счет образования водородных связей между силаноловыми группами аэросила и функциональными группами дисперсионной среды (например, гидроксильными) с образованием золя или геля]. Аэросил в концентрации до 3–4% образует устойчивые золи в полярных жидкостях [3–5], дальнейшее увеличение его концентрации приводит к золь-гель переходу и изменению структуры дисперсии [6–8]. Образующиеся при этом аэросилсодержащие гели обладают коллоидной стабильностью при повышенной (40°С) и высокой температуре, сохраняя свою консистенцию без изменения даже при 100°С [9, 10]. Аэросилсодержащие гели при наружном применении не оказывают раздражающего и общетоксического действия, а также не нарушают кожный обмен [2, 11].
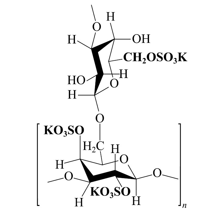
Нами разработан аэросилсодержащий гель, представляющий собой водно-аэросил-глицеринсодержащую дисперсию (в соотношении компонентов 1:2:13 соответственно) с добавлением консерванта Нипагин® М натрия (0.1%). Данный гель использован в качестве гидрофильной основы в фармацевтической технологии получения лекарственной формы для наружного применения «Агсулар® гель 1.5%» [12], действующим веществом которой является фармацевтическая субстанция Агсулар®, обладающая гиполипидемической и антикоагулянтной активностью [13]. Агсулар® представляет собой сульфатированный арабиногалактан в виде калиевой соли (I), структурная организация и основные физико-химические свойства которого схожи с исходным полисахаридом — арабиногалактаном [14]. Агсулар®, так же как и арабиногалактан, является водорастворимым биополимером со сферической формой частиц и средневесовой молекулярной массой (26.0–28.0 кДa), динамическая вязкость (η) его водных растворов имеет низкие значения [(1–2)·10–3 Па·с], не зависящие от концентрации биополимера [15].
(I)
Лабораторный способ приготовления лекарственной формы «Агсулар® гель 1.5%» традиционен, но оказался трудновоспроизводимым при масштабировании процесса производства. Так, согласно разработанной прописи в состав лекарственной формы глицерин входит в виде 90%-ного водного раствора. Однако с технологической точки зрения приготовление данной концентрации неводного растворителя является отдельной трудоемкой производственной операцией. Поэтому для масштабирования процесса произвели пересчет 90%-ного водного раствора глицерина на глицерин дистиллированный (100%). Изменившееся при этом соотношение компонентов основы геля (вода–аэросил–глицерин) составило 1:1:5.9 соответственно. Кроме того, при введении водных растворов фармацевтической субстанции Агсулар® и Нипагин® М натрия в готовый аэросилсодержащий гель (согласно традиционным стадиям приготовления фармацевтических гелей2) при масштабировании возникли сложности с перемешиванием и равномерным распределением вводимых ингредиентов ввиду высокой вязкости исходной дисперсии, что привело к производственному браку.
Таким образом, изменение количественного соотношения ингредиентов лекарственной формы при масштабировании процесса производства потребовало изменения технологии получения геля, в связи с чем необходимо оптимизировать технологический процесс гелеобразования.
Цель работы — оптимизация технологического процесса гелеобразования в водно-глицериновом растворе фармацевтической субстанции Агсулар® и консерванта Нипагин® М натрия при возрастающей концентрации загустителя (аэросила).
Экспериментальная часть
В работе использованы: фармацевтическая субстанция Агсулар®, полученная на основе арабиногалактана (ЗАО «Аметис») согласно методике [16] с чистотой 98%, и вспомогательные вещества, разрешенные к применению в медицинской практике: аэросил (AEROSIL® 200 Pharma, Evonik Degussa); вода очищенная, полученная методом дистилляции; глицерин (ч., ЗАО «Реактив»); Нипагин® М натрия (метил-4-гидроксибензоата натриевая соль; Sigma-Aldrich, кат. номер 225-714-1).
Процесс загущения основы геля аэросилом изучали методом динамической фазовой реологии в соответствии с фармакопейными требованиями3 на ротационном вискозиметре BROOKFIELD DV-II+Pro с адаптером малой пробы и шпинделем SC4-27 в режиме контролируемой скорости сдвига, которую изменяли в пределах 0.1–70 с–1. Расчеты проводили при помощи программного обеспечения WINGATHER32.
Точку образования геля определяли как структурирование дисперсной системы при добавлении определенной концентрации загустителя (с*), при которой исследуемый раствор массой 1·10–3 кг прекращал течь при переворачивании флакона диаметром 1 см под действием собственного веса [17].
Физическую стабильность геля оценивали по величине ζ-потенциала (ζ) дисперсной системы, полученного методом электрофоретического рассеяния света с использованием анализатора Zetasizer Nano ZS (Malvern Instruments). Измерения проводили в стеклянных кюветах (1 × 1 см) с квадратной горловиной для неводных образцов с использованием универсальных электродов погружного типа. Результаты обрабатывали с помощью программного обеспечения Dispersion technology Zetasizer family software v7.01 (Malvern Instruments).
Значение ζ-потенциала, равное ±30 мВ (характерное значение для условного разделения низкозаряженных поверхностей и высокозаряженных поверхностей), считали порогом для стабильных систем.4
Размер частиц в гелях определяли методом оптической микроскопии в соответствии с фармакопейными требованиями5 на прямом оптическом микроскопе BX 53M (Olympus). Их размер не должен превышать 100 мкм.
Лабораторный способ получения лекарственной формы «Агсулар® гель 1.5%». К 8·10–2 кг 90%-ного водного раствора глицерина добавляли 12.2·10–3 кг аэросила, перемешивание производили стеклянной палочкой до получения прозрачного геля. В полученный гель приливали 6·10–3 л 25%-ного водного раствора фармацевтической субстанции Агсулар® и 2·10–4 л 50%-ного водного раствора Нипагин® М натрия, гомогенизировали растиранием стеклянной палочкой до получения однородного прозрачного геля светло-желтого цвета.
Масштабирование (5-кратное) технологии получения лекарственной формы «Агсулар® гель 1.5%». Приготовление основы геля: в смесителе объемом 1 л к 367.75·10–3 кг глицерина дистиллированного (100%) при постоянном перемешивании якорной мешалкой с частотой вращения (n) не более 3 об·мин–1 (во избежание аэрации основы) приливали по очереди 61.25·10–3 л 12.25%-ного водного раствора фармацевтической субстанции Агсулар® и 1·10–3 л 50%-ного водного раствора Нипагин® М натрия. Полученную основу гомогенизировали при постоянном перемешивании якорной мешалкой с частотой вращения (n) 1 об·мин–1 в течение 15 мин.
Приготовление геля: готовую основу загущали добавлением при постоянном перемешивании якорной мешалкой (n ≤ 1 об·мин–1 во избежание аэрации геля) 62·10–3 кг аэросила. Загрузка аэросила в смеситель осуществлялась равными порциями (до 4) с интервалом не менее 5 мин до получения геля. Последующая экспозиция в течение 0.5 ч приводит к полному структурированию и получению однородного прозрачного геля светло-желтого цвета.
Обсуждение результатов
Для трансфера технологии производства лекарственной формы «Агсулар® гель 1.5%» при масштабировании процесса необходимо оптимизировать технологический процесс гелеобразования в полярной дисперсной системе, представляющей собой водно-глицериновый раствор фармацевтической субстанции Агсулар® и Нипагин® М натрия, при загущении ее аэросилом в возрастающей концентрации.
Исходная динамическая вязкость (η) дисперсной системы минимальна (η0 = 1·10–3 Па·с). При равномерно увеличивающейся концентрации (с) аэросила (до 4%) η дисперсной системы возрастает (η0 = 1·10–3 Па·с → η4 = 4·10–2 Па·с) за счет формирования устойчивого золя (ζ4 = –30.6 мВ), хотя и не имеет каких-либо значимо видимых изменений (рис. 1). Затем в диапазоне концентраций 5.0–9.6% аэросила происходит видимое увеличение η дисперсной системы (η5 = 1.43 Па·с → η9.6 = 3.21 Па·с), что свидетельствует о ее структурировании.
Рис. 1. Зависимость динамической вязкости от концентрации загустителя (аэросила) при формировании in situ лекарственной формы «Агсулар® гель 1.5%» (T = 20°С).
с* — гель-точка.
При этом увеличивающаяся величина ζ-потенциала (рис. 2) (ζ0 = –11.6 мВ → ζ9.6 = –226 мВ) свидетельствует о нарастании процесса микрофазового разделения в дисперсной системе, которое происходит вследствие образования локальных гетерогенностей в ее объеме (электрически стабилизированных микрогелей, ζ ≤ –30 мВ) вплоть до формирования макрогеля в гель-точке.
Рис. 2. Усредненная кривая зависимости ζ-потенциала дисперсной системы от концентрации загустителя (аэросила) при формировании in situ лекарственной формы «Агсулар® гель 1.5%» (T = 20°С).
Поскольку гель-точка — это некоторый предел структурирования дисперсной системы, при котором ее η → ∞, золь-гель переход в водно-глицериновом растворе фармацевтической субстанции Агсулар® и Нипагин® М натрия начинается после добавления к нему более 10% аэросила (рис. 1). Это предположение подтверждено экспериментально: гель-точка при формировании in situ лекарственной формы «Агсулар® гель 1.5%» соответствует концентрации аэросила 12.4%.
Процесс микрогелеобразования в водно-глицериновом растворе фармацевтической субстанции Агсулар® и Нипагин® М натрия при загущении аэросилом проявляется наличием изломов на кривой зависимости динамической вязкости от концентрации загустителя (рис. 3). Это свидетельствует о наличии структурных перестроек и изменении механизма течения в дисперсной системе и полностью согласуется с теорией Айлера [9].
Рис. 3. Зависимость динамической вязкости (η) от концентрации (c) загустителя (аэросила) при формировании in situ лекарственной формы «Агсулар® гель 1.5%» (T = 20°С).
Так, при концентрации до 3.5% аэросила в дисперсной системе (cмг1 на рис. 3) происходит агрегация частиц дисперсной фазы, дальнейшее увеличение содержания аэросила (до 5.5%) приводит к образованию областей микрогеля в дисперсной системе (cмг2 на рис. 3). Далее (с момента второго излома cмг2) концентрация областей микрогелей достигает критического значения, после чего начинается процесс формирования макрогеля (cн* = 10% аэросила на рис. 3). Полученные данные также хорошо коррелируют с данными зависимости динамической вязкости от концентрации загустителя (аэросила) в традиционных координатах (рис. 1).
В результате был получен однородный по внешнему виду и содержанию действующего вещества гель (рис. 4, а), размер частиц в котором не превышает 100 мкм (рис. 4, б), что полностью соответствует нормативным требованиям.6
Рис. 4. Внешний вид (а) и размер частиц (б) лекарственной формы «Агсулар® гель 1.5%».
Полученные данные положены в основу разработки нормативной документации на опытно-промышленное производство лекарственной формы «Агсулар® гель 1.5%», согласно которой была проведена оценка качества гелей, полученных лабораторным и масштабированными способами (см. таблицу).
Спецификация к проекту нормативной документации на лекарственную форму «Агсулар® гель 1.5%»
Показатель | Метод | Норма | «Агсулар® гель 1.5%» | |
лабораторный способ получения | масштабированный способ получения | |||
Описание | Визуальный | Однородный прозрачный гель светло-желтого цвета | Соответствует | Соответствует |
Подлинность | 1. Реакция метахромазии | При добавлении 0.005% раствора толуидинового синего наблюдается изменение окраски раствора красителя с синей на сиреневую | Реакция метахромазии положительна | Реакция метахромазии положительна |
2. Ионы калия (реакция Б)7 | При добавлении разведенной уксусной кислоты и раствора натрия кобальтинитрита образуется желтый кристаллический осадок | Качественная реакция на K+ положительна | Качественная реакция на K+ положительна | |
рН | Потенциометрический8 | 5.25 ± 5% (4.99–5.51) | 5.42 ± 0.05 | 5.50 ± 0.02 |
Размер частиц | Оптическая микроскопия9 | Размер частиц не должен превышать 100 мкм | Соответствует | Соответствует |
Количественное определение | Спектрофотометрический10 | Содержание ФС Агсулар® в 100.0 г геля должно быть от 1.425 до 1.575 г (1.5 г ± 5%) | 1.496 ± 0.023 | 1.557 ± 0.012 |
Микробиологическая чистота | Микробиологический11 | Категория 2 Общее число аэробных бактерий и дрожжевых и плесневых грибов (суммарно) не более 102 КОЕ в 1 г (мл) Отсутствие Pseudomonas aeruginosa в 1 г (мл) Отсутствие Staphylococcus aureus в 1 г (мл) | Соответствует | Соответствует |
Таким образом, гели, полученные лабораторным и масштабированным способами, полностью соответствуют проекту нормативной документации на лекарственную форму «Агсулар® гель 1.5%», что подтверждает рациональность изменения количественного соотношения и порядка ввода ингредиентов в лекарственную форму при масштабировании технологического процесса производства. Необходимо добавлять загуститель в подготовленную основу, содержащую действующие и вспомогательные вещества, соответственно выявленным точкам микрогелеобразования, т. е. кратно 3–4 этапам загрузки аэросила по 3.1–4.13% каждый.
Выводы
В результате экспериментального изучения процесса гелеобразования в полярной дисперсной системе, представляющей собой водно-глицериновый раствор фармацевтической субстанции Агсулар® и консерванта Нипагин® М натрия, при загущении ее аэросилом в возрастающей концентрации было показано, что структурирование дисперсной системы происходит согласно классическим канонам теории Айлера. Поэтому технологию получения лекарственной формы «Агсулар® гель 1.5%» при масштабировании процесса производства можно оптимизировать, заменив 90%-ный водный раствор глицерина на глицерин дистиллированный (100%) и изменив порядок ввода ингредиентов.
Благодарности
Основные экспериментальные данные получены с использованием материально-технической базы Байкальского аналитического центра коллективного пользования СО РАН и научно-исследовательской лаборатории катализа и органического синтеза ФГБОУ ВО «Иркутский национальный исследовательский технический университет» (ИрНИТУ).
Автор выражает благодарность А. С. Солдатенко (Иркутский институт химии им. А. Е. Фаворского СО РАН) и В.О. Страхову (ИрНИТУ) за помощь в выполнении данной работы.
Финансирование работы
Работа выполнена согласно планам НИР (государственное задание) по приоритетному направлению 1.4.1.4. Новые полимерные, композитные, нано- и сверхтвердые материалы (2021–2025 гг.). Проект 0276-2021-0007. Развитие глубокой переработки возобновляемого сырья: синтез новых функционализированных биополимеров, нанобиокомпозитов на их основе, а также многокомпонентных наноразмерных катализаторов для биомедицины и критических технологий.
Конфликт интересов
Автор заявляет об отсутствии конфликта интересов, требующего раскрытия в данной статье.
1 ГОСТ 14922–77. Аэросил. Технические условия.
2 Меньшутина Н. В., Мишина Ю. В., Алвес С. В. Инновационные технологии и оборудование фармацевтического производства / Под ред. Н. В. Меньшутиной. М.: Изд-во БИНОМ, 2012. Т. 1. С. 215–218.
3 ОФС.1.2.1.0015. Вязкость. Государственная фармакопея Российской Федерации. XV изд. М., 2023.
4 ГОСТ Р 8.887–2015. Потенциал электрокинетический (дзета-потенциал) частиц в коллоидных системах.
5 ОФС.1.2.1.0009. Оптическая микроскопия. Государственная фармакопея Российской Федерации. XV изд. М., 2023.
6 ОФС.1.4.1.0008. Мягкие лекарственные формы. Государственная фармакопея Российской Федерации. XV изд. М., 2023.
7 ОФС.1.2.2.0001. Общие реакции на подлинность. Государственная фармакопея Российской Федерации. XV изд. М., 2023.
8 ОФС.1.2.1.0004. Ионометрия. Государственная фармакопея Российской Федерации. XV изд. М., 2023.
9 ОФС.1.2.1.0009. Оптическая микроскопия. Государственная фармакопея Российской Федерации. XV изд. М., 2023.
10 ОФС.1.2.1.1.0003. Спектрофотометрия в ультрафиолетовой и видимой областях. Государственная фармакопея Российской Федерации. XV изд. М., 2023.
11 ОФС.1.2.4.0002.18. Микробиологическая чистота. Государственная фармакопея Российской Федерации. XIV изд. М., 2018.
Об авторах
Яна Антоновна Костыро
Иркутский институт химии им. А. Е. Фаворского Сибирского отделения РАН
Автор, ответственный за переписку.
Email: yanakos@irioch.irk.ru
ORCID iD: 0000-0003-2660-4796
Россия, 664033, г. Иркутск, ул. Фаворского, д. 1
Список литературы
- Хаврюченко В. Д., Шека Е. Ф. Вычислительное моделирование аморфного кремнезема. 2. Моделирование исходных структур. Аэросил // Журн. структур. химии. 1994. Т. 35. № 3. С. 16–26 [Khavryuchenko V. D., Sheka E. F. Computational modeling of amorphous silica. 2. Modeling the initial structures. Aerosil // J. Struct. Chem. 1994. V. 35. N 3. P. 291–298. https://doi.org/10.1007/BF02578279].
- Медицинская химия и клиническое применение диоксида кремния / Под ред. А. А. Чуйко. Киев: Наук. думка, 2003. С. 20–21.
- Raghavan S. R., Hou J., Baker G. L., Khan S. A. Colloidal interactions between particles with tethered nonpolar chains dispersed in polar media: Direct correlation between dynamic rheology and interaction parameters // Langmuir. 2000. V. 16. N 3. P. 1066–1077. https://doi.org/10.1021/la9815953
- Raghavan S. R., Walls H. J., Khan S. A. Rheology of silica dispersions in organic liquids: New evidence for solvation forces dictated by hydrogen bonding // Langmuir. 2000. V. 16. N 21. P. 7920–7930. https://doi.org/10.1021/la991548q
- Плиско Т. В., Бильдюкевич А. В., Зеленковский В. М. Структура и свойства дисперсий диоксида кремния в полиэтиленгликоле-400 // Докл. НАН Беларуси. 2015. Т. 59. № 3. С. 51–55.
- Brinker C. J., Scherer G. W. Sol-Gel Science: The Physics and Chemistry of Sol-Gel Processing. Elsevier Inc., 2013. P. 302–355.
- Sakka S. The outline of applications of the sol-gel method // Eds L. Klein, M. Aparicio, A. Jitianu. Handbook of Sol-Gel Science and Technology. Springer, Cham., 2016. P. 1–33. https://doi.org/10.1007/978-3-319-19454-7_53-1
- Owens G. J., Singh R. K., Foroutan F., Alqaysi M., Han C.-M., Mahapatra C., Kim H.-W., Knowles J. C. Sol-gel based materials for biomedical applications // Progress Mater. Sci. 2016. V. 77. Р. 1–79. https://doi.org/10.1016/j.pmatsci.2015.12.001
- Айлер Р. Химия кремнезема / Пер. с англ. Под ред. В. П. Пряшникова. М.: Мир, 1982. Ч. 1. С. 313–314 [Iler R. K. The Chemistry of Silica: Solubility, Polymerization, Colloid and Surface Properties and Biochemistry of Silica. New York; Chichester; Brisbano; Toronto: John Wiley & Sons, Inc., 1979].
- Catauro M., Renella R., Papale F., Ciprioti S.V. Investigation of bioactivity, biocompatibility and thermal behavior of sol-gel silica glass containing a high PEG percentage // Mater. Sci. Eng. C. Mater. Biol. Appl. 2016. V. 61. P. 51–55. https://doi.org/10.1016/j.msec.2015.11.077
- Albiero M., Fullin A., Villano G., Biasiolo A., Quarta S., Bernardotto S., Turato C., Ruvoletto M., Fadini G. P., Pontisso P., Morpurgo M. Semisolid wet sol-gel silica/hydroxypropyl methyl cellulose formulation for slow release of serpin B3 promotes wound healing in vivo // Pharmaceutics. 2022. V. 14. N 9. P. 1944–1959. https://doi.org/10.3390/pharmaceutics14091944
- Костыро В. В., Костыро Я. А. Разработка гидрофильного геля на основе сульфатированного арабиногалактана // J. Siberian Med. Sci. 2022. Т. 6. № 1. С. 116–127. https://doi.org/10.31549/2542-1174-2022-6-1-116-127
- Костыро Я. А., Костыро В. В. Исследование фармакологической активности субстанции Агсулар® // Эксперим. и клин. фармакол. 2018. Т. 81. № S. С. 124. https://doi.org/10.30906/0869-2092-2018-81-5s-1-306
- Медведева Е. Н., Бабкин В. А., Остроухова Л. А. Арабиногалактан лиственницы — свойства и перспективы использования (Обзор) // Химия раст. сырья. 2003. № 1. С. 27–37. https://www.elibrary.ru/hypxob
- Костыро Я. А., Станкевич В. К. Новый подход к синтезу субстанции препарата «Агсулар®» для профилактики и лечения атеросклероза // Изв. АН. Сер. хим. 2015. № 7. С. 1576–1580. https://www.elibrary.ru/ugukax [Kostyro Ya. A., Stankevich V. K. New approach to the synthesis of an active substance of Agsular® pharmaceutical for the prevention and treatment of atherosclerosis // Russ. Chem. Bull. Int. Ed. 2015. V. 64. N 7. P. 1576–1580. https://doi.org/10.1007/s11172-015-1044-x].
- Пат. РФ 2532915 (опубл. 2014). Способ получения сульфатированных производных арабиногалактана, обладающих антикоагулянтной и гиполипидемической активностью. https://www.elibrary.ru/ycfinj
- Кумпаненко И. В., Иванова Н. А., Панин Е. О., Раевская Е. Г., Ковалева Н. Ю., Рощин А. В. Исследование кинетических особенностей бимодального процесса гелеобразования в вязкотекучих жидкостях // Хим. физика. 2020. Т. 39. № 2. С. 18–29. https://doi.org/10.318857/S0207401X20020065 [Kumpanenko I. V., Ivanova N. A., Panin E. O., Raevskaya E. G., Kovaleva N. Y., Roshchin A. V. Study of the kinetic features of bimodal gelation in viscous flow fluids // Russ. J. Phys. Chem. B. 2020. V. 14. N 1. P. 100–110. https://doi.org/10.1134/S1990793120010236].
Дополнительные файлы








