Органические вещества в составе отработанных диатомитовых фильтровальных порошков процесса рафинации подсолнечного масла и их применение
- Авторы: Косулина Т.П.1, Гребенкина А.В.1, Цокур О.С.2, Герасименко Е.О.1
-
Учреждения:
- Кубанский государственный технологический университет
- АО НИПИГАЗ
- Выпуск: Том 97, № 4 (2024)
- Страницы: 309-316
- Раздел: Органический синтез и технология органических производств
- URL: https://journal-vniispk.ru/0044-4618/article/view/268513
- DOI: https://doi.org/10.31857/S0044461824040054
- EDN: https://elibrary.ru/UJRDCL
- ID: 268513
Цитировать
Полный текст
Аннотация
Органические вещества в составе отработанных диатомитовых фильтровальных порошков образуются в процессе рафинации подсолнечного масла при фильтровании через диатомитовый порошок кизельгура. Методами хроматомасс-спектрометрии, ИК-спектроскопии и ЯМР установлено наличие моно- и диацилглицеринов в составе отработанных диатомитовых фильтровальных порошков. Обоснована возможность применения отхода процесса рафинации подсолнечного масла в качестве модификатора при утилизации нефтесодержащих отходов химическим способом при гашении оксида кальция в присутствии сорбента «Опоки дробленые модифицированные» и гидрофобизатора — отработанного диатомитового фильтровального порошка.
Полный текст
В России растут мощности действующих масложировых предприятий и производства продуктов питания на основе растительных масел. В 2023 г. производство подсолнечного масла в России составило 6 млн т.1 Для получения высококачественных продуктов их подвергают рафинации (очистке) от различных веществ липидной и нелипидной природы, в том числе и от восковых веществ. Растительные восковые вещества выделяют в процессе винтеризации — охлаждения масла до низких положительных температур с последующим фильтрованием через диатомитовый порошок (кизельгур) [1, 2].
Процессы окисления органических веществ на поверхности отходов приводят к самопроизвольному возгоранию и неконтролируемому горению этих отходов на полигоне при их хранении. Являясь пожароопасными, отходы масложировой промышленности при хранении наносят значительный ущерб окружающей среде, загрязняя атмосферный воздух выбросами различных токсичных веществ, почву и водоемы. Для минимизации негативного воздействия на окружающую среду возможно вовлечение отходов масложировой промышленности в ресурсооборот. Наличие в составе ценных органических веществ представляет интерес для применения отходов масложировой промышленности в областях народного хозяйства как ценный возобновляемый ресурс [3].
По уровню отрицательного воздействия на окружающую среду нефтепереработка занимает одно из первых мест среди ведущих отраслей промышленности. На предприятиях нефтедобывающей, нефтеперерабатывающей и нефтехимической промышленности, нефтебазах накоплено несколько десятков миллионов тонн нефтешламов, которые образуются при очистке сточных вод, в системе оборотного водоснабжения, бурения, подготовки нефти, во время ремонта оборудования, при чистке резервуаров. Накопление и хранение нефтесодержащих отходов осуществляется в открытых земляных резервуарах — нефтешламовых амбарах. Нефтешламовые амбары оказывают существенное влияние на окружающую среду — воздух, почву, воду, растительный и животный мир [4]. Проблема переработки нефтешламов в нефтедобывающей и нефтеперерабатывающей промышленности до сих пор полностью не решена.
Для утилизации нефтешлама ранее нами был предложен реагентный метод, заключающийся в смешении нефтешлама с обезвреживающей композицией, включающей оксид кальция, модификатор и сорбент [5]. В поиске доступных веществ, обладающих амфотерными свойствами, нами были использованы отходы масложировой промышленности — отработанные диатомитовые фильтровальные порошки в качестве модификатора (гидрофобизатора) в составе обезвреживающей композиции для утилизации нефтесодержащих отходов 3 класса опасности химическим способом [6]. Такой подход в технологии обезвреживания двух видов отходов решает проблему ликвидации накопленных на полигонах промышленных отходов с получением дешевых продуктов утилизации для применения в строительной индустрии как более доступных гидрофобизаторов, чем кремнийорганические, которые при соответствующей ориентации молекул в поверхностном слое способны предотвратить смачивание материала не только водой, но и углеводородными жидкостями [7].
Цель работы — определение состава отхода масложировой промышленности — отработанного диатомитового фильтровального порошка (О-2), образующегося при рециклинге в процессе рафинации подсолнечного масла, и рассмотрение возможности его применения по новому назначению в технологии утилизации нефтешламов.
Экспериментальная часть
Отходы рафинации подсолнечного масла изучены на примере отработанных диатомитовых фильтровальных порошков O-1 и O-2, образующихся на стадии винтеризации в цехе рафинации филиала «МЖК Краснодарский» ООО «МЭЗ Юг Руси». O-1 содержит осадок, образующийся при фильтровании охлажденного масла через слой кизельгура и утилизируемый без регенерации. Отходы O-2 образуются в результате рециклинга при многократном использовании осадка (порошка) после его регенерации путем тепловой обработки и отделения жировой фазы (органического продукта) в центробежном поле. При первом использовании фильтровального порошка его внутренние поры заполнены маслом, поступающим на винтеризацию. При регенерации масло вытесняется органическими веществами. Выделяемый в центробежном поле органический продукт при повторном использовании регенерированного фильтровального порошка характеризуется большим удельным содержанием органических веществ по отношению к объему пор [8].
Количество органических веществ в отходах O-1 и O-2 определено методом непрерывной экстракции хлористым метиленом в аппарате Сокслета по методике.2
Переэтерификация глицеридов экстракта отхода рафинации подсолнечного масла проведена метилированием метилатом натрия в растворе метанола.3
Масс-спектры регистрировали на газовом хроматографе с масс-селективным детектором GCMS-QP2010 Plus (Shimadzu), оснащенном капиллярной колонкой SLB-5MS (Zebron) длиной 30 м, диаметром 0.25 мм, состав фазы: 5% дифенил, 95% фениларилендиметил. Регистрацию масс-спектров проводили при следующих условиях: электронная ионизация (70 эВ), температура ионного источника 200°С, температура переходной линии 300°С, режим регистрации по полному ионному току (TIC).
ИК-спектры получены на спектрометре Spectrum Two с Фурье-преобразованием, в интервале 4000–700 см–1, спектральное разрешение ±1 см–1, с использованием насадки полного внутреннего отражения.
Спектры ЯМР 1Н, 13С и корреляционные спектры записаны на спектрометре Agilent 400\54 (400 МГц на ядрах атомов водорода и 105 МГц на ядрах атомов углерода) в CDCl3 при комнатной температуре. Химические сдвиги сигналов атомов водорода и углерода приведены относительно сигнала тетраметилсилана (ТМС).
Определение вымываемости загрязняющих веществ проводили методом тонкослойной храматографии (ТСХ) на пластинах Sorbfil размером 10 × 10 см, элюент — метилен хлористый,4 каталожный номер 75-09-2, проявление проводили в УФ-свете (длина волны λ = 365 нм).5 Количественная оценка концентрации загрязняющих веществ в пробе методом внешнего стандарта зарегистрирована на денситометре Сорбфил (ООО «ИМИД»), состоящего из аппликатора автоматического АПА-2, осветительной камеры, цветной видеокамеры, компьютера с программой «Денситометр Сорбфил» версии 2.0 для расчета.
В составе обезвреживающей композиции применили: оксид кальция, отработанные диатомитовые фильтровальные порошки (O-2) и отработанный сорбент «Опоки дробленые модифицированные» (ОДМ-2Ф). Последовательно перемешивали предварительно разогретые до температуры 80–85°С нефтешлам и отработанный диатомитовый фильтровальный порошок в пропорции 1:(0.03–0.1) с измельченным оксидом кальция в количестве 80 мас% и отработанным сорбентом ОДМ-2Ф (10–20 мас%) и добавляли рассчитанное количество воды для гашения оксида кальция с учетом содержания воды в нефтешламе и водопоглощаемости отработанного ОДМ-2Ф. В процессе гашения извести смесь разогревается в результате экзотермической реакции до 107 ± 5°С. Смесь перемешивали с образованием однородных гидрофобных сыпучих мелкодисперсных порошков продуктов утилизации.
Обсуждение результатов
Определен компонентный состав органической части отхода рафинации подсолнечного масла по данным хроматомасс-спектрометрии. Сложная смесь органических веществ в O-1 рассмотрена нами по 10 наиболее интенсивным пикам в хроматограмме. Фрагментация молекул, регистрируемых в масс-селективном детекторе, обнаруженных соединений характерна для сложных эфиров высших спиртов и высших органических кислот [9]. На хроматограмме (рис. 1, а) идентифицированы пики с временем выхода 8.5 (3), 9.6 (4) и 9.8 мин (5), соответствующие метиловым эфирам жирных кислот: пальмитиновой (С15Н31СООСН3), стеариновой (С17Н35СООСН3), олеиновой (С17Н33СООСН3), что подтверждает присутствие ацилглицеринов в порошке O-1 [3]. Пики 1 и 2 соответствуют низкомолекулярным веществам, определяющим цвет и запах масла.
Рис. 1. Хроматограмма метилированных органических веществ в отработанном диатомитовом фильтровальном порошке O-1 (а) и O-2 (б).
В результате использования ресурсосберегающих технологий [8] винтеризации растительного масла, предполагающих рециклинг отработанных диатомитовых фильтровальных порошков, получают порошок O-2. Рециклинг выгоден с точки зрения экономии расхода дорогостоящего кизельгура и извлечения в процессе регенерации воскосодержащего продукта для использования в качестве полезного возобновляемого вторичного ресурса. При исследовании экстракта сложной смеси компонентов органических веществ O-2 рассмотрены 11 наиболее интенсивных пиков на хроматограмме (рис. 1, б): пики 6–14 соответствуют одорирующим веществам в растительном масле. Пики 15, 16 характеризуются высоким временем удерживания 8.5 и 9.3 мин соответственно, порошок O-2 содержит вещества, молекулярные ионы которых соответствуют метиловым эфирам высших жирных кислот (m/z 256, m/z 264).
ИК-спектры O-2 подтверждают наличие сложноэфирных связей (рис. 2) — интенсивная полоса поглощения в области 1742 см–1 соответствует валентным колебаниям карбонильной группы сложного эфира. Широкая полоса при 3410 см–1 — валентные колебания связи О—Н, что свидетельствует о присутствии спиртовых гидроксильных групп.6
Рис. 2. ИК-спектр экстракта O-2.
В спектрах ЯМР 1Н экстракта порошка O-2 (рис. 3, а) можно выделить следующие сигналы: 5.33, 5.25 м. д. — сигналы атомов водорода у двойной связи в кислоте, 4.29, 4.27, 4.14 м. д. — сигналы атомов водорода остатка глицерина, 2.30 м. д. — сигналы атомов водорода метильных групп рядом с карбоксильной группой, 2.03, 2.01 м. д. — сигналы атомов водорода в альфа-положении от углерода при двойной связи, 1.60 м. д. — сигналы атомов водорода в бета-положении к группе C=O, 1.29, 1.24 м. д. — сигналы других атомов водорода алифатической цепи остатков жирных кислот, 0.87 м. д. — сигналы атомов водорода концевых метильных групп остатков жирных кислот.
Рис. 3. Спектр ЯМР 1Н (а) и ЯМР 13С (б) экстракта O-2.
Спектры ЯМР 1Н очень похожи на соответствующие спектры триацилглицеринов [10, 11], хотя имеют существенные отличия в том, что типичный для триацилглицеринов сигнал метиленовых звеньев глицериного фрагмента — пара дублет дублетов в спектрах исследованного нами образца имеет вид, характерный для моно- и диацилглицеринов, у которых метиленовые звенья глицеринового фрагмента химически неэквивалентны.
В спектрах ЯМР 13С (рис. 3, б) 130.2, 130.0, 129.7, 128.0, 127.9 м. д. — сигнал sp2-гибридизованных углеродов кратных связей, 77.3, 77.0, 76.7 м. д. соответствуют сигналам атомов углерода глицеринового остатка моно- и диглицеридов, 34.0–22.7 м. д. — сигналы внутрицепочечных метиленовых звеньев, 14.1, 14.0 м. д. — сигнал углеродов концевых метильных групп.
Совокупность спектральных данных позволяет утверждать, что основным компонентом органической фазы, накапливаемым в отработанном диатомитовом фильтровальном порошке, являются моно- и диацилглицерины, продукты частичного гидролиза триацилглицеринов [10, 11]. Спектры ЯМР показывают, что в отходе отсутствуют ценные компоненты растительного масла, такие как триглицериды и фосфолипиды. Таким образом, основными компонентами органических веществ, осевшими на отработанном диатомитовом фильтровальном порошке, являются моно- и диацилглицерины.
Наличие моно- и диацилглицеринов в составе отхода O-2 позволило использовать их в качестве модификатора при обезвреживании нефтесодержащих отходов химическим способом в составе трехкомпонентной композиции СаО:O-2:ОДМ-2Ф (опоки дробленые модифицированные) с высокой эффективностью.
Нефтесодержащие отходы представляют собой аномально устойчивые эмульсии, постоянно изменяющиеся под воздействием атмосферы и различных процессов, протекающих в них [12, 13]. Сложность эффективной утилизации нефтесодержащих отходов связана с их химическим составом. По составу нефтесодержащие отходы очень разнообразны и являются сложными гетерогенными системами, состоящими из механических примесей (песка, глины и т. д.), минерализованной воды и нефти (нефтепродуктов). Отходы содержат в среднем 10–56 мас% нефтепродуктов, 30–85 мас% воды, 13–46 мас% твердых частиц. Соотношение данных компонентов зависит от источника образования, условий и продолжительности хранения. В отходах присутствуют соли щелочных, щелочно-земельных и тяжелых металлов, что увеличивает их токсичность [14]. В нефтешламах содержатся преимущественно высокомолекулярные предельные углеводороды от С13 до С30 разветвленного строения [13].
Методом ИК-спектроскопии в составе нефтешлама определено наличие предельных высших углеводородов (рис. 4): интенсивные полосы — 2919, 2850 см–1 могут быть отнесены к валентным колебаниям СH-связей метиленовых и метильных групп (υаsСН2 и υsСН3), полосы в области 1462, 1376 см–1 соответствуют деформационным колебаниям СH-связей метиленовых групп.7
Рис. 4. ИК-спектр предельных высокомолекулярных углеводородов.
Разработка рецептуры для получения продукта утилизации нефтешлама заключается в определении оптимального соотношения компонентов обезвреживающей композиции и минимальной вымываемости загрязняющих веществ в водную среду из продукта утилизации методом тонкослойной хроматографии. В таблице приведены результаты пяти опытов по совместному обезвреживанию нефтешлама и отработанного диатомитового фильтровального порошка (O-2): различные соотношениях компонентов обезвреживающей композиции и соответствующая им концентрация загрязняющих веществ в водной вытяжке продуктов утилизации. В ходе исследования определено оптимальное соотношение нефтешлам:отработанный диатомитовый фильтровальный порошок (O-2), соответствующее минимальной концентрации загрязняющих веществ в водных вытяжках продуктов утилизации.
Состав обезвреживающей композиции
Соотношение нефтешлам:O-2 | Соотношение СаО:ОДМ-2Ф | Концентрация загрязняющих веществ в водной вытяжке продуктов утилизации, мг·дм–3 |
1:0.1 | 0.8:0.2 | 0.56 ± 0.02 |
1:0.1 | 0.8:0.1 | 0.37 ± 0.01 |
1:0.05 | 0.8:0.2 | 0.31 ± 0.02 |
1:0.05 | 0.8:0.1 | 0.21 ± 0.02 |
1:0.03 | 0.8:0.1 | 0.29 ± 0.02 |
Наиболее экологически безопасным является продукт утилизации, концентрация загрязняющих веществ в водной вытяжке которого составила сЗВ = 0.21 мг·дм–3, что на 90% ниже вымываемости загрязняющих веществ из нефтешлама процессов нефтепереработки и на 77% по сравнению с продуктами утилизации на основе двухкомпонентной обезвреживающей композиции.
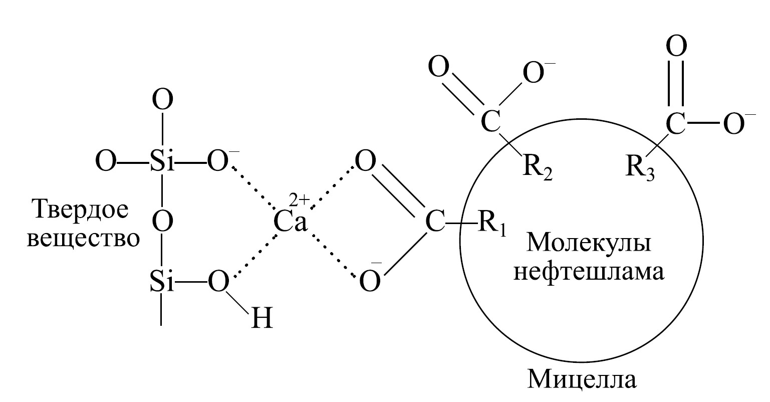
Для упрощения химического способа обезвреживания нефтешлама ранее предложен способ, по которому O-2 проявляет двойственную активность в обезвреживающей композиции — и реагента, и модификатора в составе трехкомпонентной обезвреживающей композиции, состоящей из СаО, O-2 и ОДМ-2Ф, с получением продуктов утилизации [5]. Отработанный диатомитовый порошок O-2 содержит в своем составе органическую и минеральную части, т. е. обладает двойственными свойствами и модификатора-гидрофобизатора, и кремнеземсодержащего сорбента. Наличие в составе модификатора сложных эфиров, спиртов, углеводородов, состоящих из гидрофобного «хвоста» (углеводородные цепи), способствует проявлению гидрофобизирующих свойств. Моно- и диацилглицерины при взаимодействии с гидроксидом кальция, гидролизуясь в щелочной среде, образуют кальциевые соли карбоновых кислот. Соли карбоновых кислот формируют мицеллы, в которых внутренняя область состоит из гидрофобных углеводородных цепей — неполярная фаза, в которой и растворяются неполярные молекулы нефтешлама. Поверхностный слой мицеллы составляют карбоксилат-анионы, по-видимому, именно карбоксилатные группы через катионы кальция «закрепляют» мицеллы на поверхности диатомитового порошка (рис. 5).
Рис. 5. Предположительное строение образующейся мицеллы.
Эффективность обезвреживания нефтешлама высока, концентрация загрязняющих веществ в водной вытяжке продукта утилизации 0.11–0.15 мг·дм–3, что стало предпосылкой для применения обезвреживающей композиции в качестве гидрофобизирующих добавок в бетон [15, 16].
В основе механизма действия гидрофобизирующих добавок лежит возможность взаимодействия гидрофобизатора и других ингредиентов модификатора с неорганическими соединениями цемента при наличии в этих соединениях реакционноспособных групп. Действие гидрофобизирующих веществ проявляется при наличии реакционноспособной группы и гидрофобного радикала — углеводородов в составе нефтесодержащих отходов, при этом возникает энергетически наиболее выгодное состояние системы: гидрофильные группы взаимодействуют с ионами, выделяющимися в процессе гидролиза минералов цемента, и хемосорбционно связываются с гидратированной поверхностью цемента, а гидрофобные углеводородные радикалы (цепи), обращенные к воде, вследствие взаимного отталкивания влияют на формирование цементного камня в бетоне [15].
Совокупность полученных ранее данных о гидрофобности бетонов с добавкой продукта утилизации [15, 16] и результатов исследований состава отработанного диатомитового фильтровального порошка дают возможность с большой вероятностью предположить, что продукт утилизации, содержащий в своем составе моно- и диацилглицерины и кремнеземсодержащий сорбент, может быть использован для придания гидрофобных свойств бетону наряду с ранее полученными гидрофобизирующими добавками [15, 16].
Выводы
В отходах масложировой промышленности — отработанных диатомитовых фильтровальных порошках накапливаются продукты гидролиза триацилглицеринов — моно- и диацилглицерины, которые при взаимодействии с гидроксидом кальция образуют кальциевые мыла, проявляющие амфотерные свойства.
По аналогии с ранее проведенными исследованиями можно предположить возможность использования продукта утилизации нефтешлама, полученного на основе трехкомпонентной обезвреживающей композиции, содержащей отработанные диатомитовые фильтровальные порошки, сорбент ОДМ-2Ф и CaO, в качестве гидрофобизирующей добавки, позволяющей улучшить качество бетонных конструкций гидротехнического назначения, что задает направление дальнейших исследований свойств бетона, содержащего в своем составе продукт утилизации отходов нефтепереработки и масложировой промышленности.
Благодарности
Исследования выполнены с использованием научного оборудовании ЦКП «Исследовательский центр пищевых и химических технологий» ФГБОУ ВО «Кубанский государственный технологический университет» и ФГБОУ ВО «Кубанский государственный университет». Выражаем благодарность проф. Г. Д. Крапивину за помощь в расшифровке ЯМР- и ИК-спектров.
Конфликт интересов
Авторы заявляют об отсутствии конфликта интересов, требующего раскрытия в данной статье.
1 Выпуск растительных масел в РФ в 2024 году может достигнуть 9.5 млн т — эксперты // сайт ФГБУ «Центр Агроаналитики». 30.01.2024. URL: https://specagro.ru/news/202401/vypusk-rastitelnykh-masel-v-rf-v-2024-godu-mozhet-dostignut-95-mln-t-eksperty
2 ГОСТ 12801–98. Материалы на основе органических вяжущих для дорожного и аэродромного строительства. Методы испытаний.
3 ГОСТ 31665–2012. Масла растительные и жиры животные. Получение метиловых эфиров жирных кислот.
4 ГОСТ 9968–86. Метилен хлористый технический. Технические условия.
5 ГОСТ 28366–89. Реактивы. Метод тонкослойной хроматографии.
6 Отто М. Современые методы аналитической химии. Т. 1 / Пер. с нем. под ред. А. В. Гармаша. М.: Техносфера, 2003. С. 254–256 [Otto M. Analytische Chemie Zwcite, vollständig überarbeitete Auflage. WILEY-VCH, 2000].
Казицына Л. Л., Куплетская Н. Б. Применение УФ-, ИК-, ЯМР- и масс-спектроскопии в органической химии. М.: Изд-во Москов. ун-та, 1979. С. 211, 216–217.
Беллами Л. Инфракрасные спректры сложных молекул / Пер. с англ. под ред. Ю. А. Пентина. М.: ИЛ, 1963. С. 137, 254 [Bellamy L. J. The infra-red spectra of complex molecules. London: Methuen & Co. Ltd; New York: John Wiley & Sons, Inc.].
7 Отто М. Современые методы аналитической химии. Т. 1 / Пер. с нем. под ред. А. В. Гармаша. М.: Техносфера, 2003. С. 253, 254, 256 [Otto M. Analytische Chemie Zwcite, vollständig überarbeitete Auflage. WILEY-VCH, 2000].
Казицына Л. Л., Куплетская Н. Б. Применение УФ-, ИК-, ЯМР- и масс-спектроскопии в органической химии. М.: Изд-во Москов. ун-та, 1979. С. 64–66, 207.
Беллами Л. Инфракрасные спректры сложных молекул / Пер. с англ. под ред. Ю. А. Пентина. М.: ИЛ, 1963. С. 24 [Bellamy L. J. The infra-red spectra of complex molecules. London: Methuen & Co. Ltd; New York: John Wiley & Sons, Inc.].
Об авторах
Татьяна Петровна Косулина
Кубанский государственный технологический университет
Email: grebenkinaanna94@mail.ru
ORCID iD: 0000-0002-8171-5555
д.х.н., проф.
Россия, 350072, г. Краснодар, ул. Московская, д. 2Анна Владимировна Гребенкина
Кубанский государственный технологический университет
Автор, ответственный за переписку.
Email: grebenkinaanna94@mail.ru
ORCID iD: 0009-0009-3936-8295
Россия, 350072, г. Краснодар, ул. Московская, д. 2
Ольга Сергеевна Цокур
АО НИПИГАЗ
Email: grebenkinaanna94@mail.ru
ORCID iD: 0009-0006-4154-4698
к.т.н.
Россия, 350000, г. Краснодар, ул. Красная, д. 118Евгений Олегович Герасименко
Кубанский государственный технологический университет
Email: grebenkinaanna94@mail.ru
ORCID iD: 0000-0002-4267-9571
д.т.н., проф.
Россия, 350072, г. Краснодар, ул. Московская, д. 2Список литературы
- Garcés R., Andrés-Gil C., Venegas-Calerón M., Martínez-Force E., Moreno-Pérez A. J., Salas J. J. Characterization of sunflower seed and oil wax ester composition by GC/MS, a final evaluation // LWT — Food Sci. Technol. 2023. V. 173. ID 114365. https://doi.org/10.1016/j.lwt.2022.114365
- Chalapud M. C., Baümler E. R., Carelli A. A. Characterization of waxes and residual oil recovered from sunflower oil winterization waste // Eur. J. Lipid Sci. Technol. 2017. ID 201500608. https://doi.org/10.1002/ejlt.201500608
- Корнена Е. П., Калманович С. А., Мартовщук Е. В., Терещук Л. В., Мартовщук В. И., Позняковский В. М. Экспертиза масел, жиров и продуктов их переработки. Качество и безопасность / Под общ. ред. В. М. Позняковского. Новосибирск: Сиб. универ. изд-во, 2007. С. 64–68.
- Мазлова Е. А., Мещеряков С. В. Проблемы утилизации нефтешламов и способы их переработки. М.: Изд. дом «Ноосфера», 2001. С. 56.
- Косулина Т. П., Антониади Д. Г., Цокур О. С., Максимович В. Г. Снижение экологической опасности на территории нефтяных месторождений в Краснодарском крае путем утилизации нефтесодержащих отходов реагентным способом // Нефт. хоз-во. 2015. № 12. С. 158–160. ID 25067502. https://www.elibrary.ru/vcojax [Kosulina T. P., Antoniadi D. G., Tsokur O. S., Maksimovich V. G. Reducing the ecological hazards on the territory of oil deposites in Кrasnodar region by utilization of oily waste using reagent method // Oil Industry. 2015. N 12. P. 158–160. ID 25067502. https://www.elibrary.ru/vcojax].
- Пат. РФ 2602440 (опубл. 2016). Способ утилизации нефтесодержащих отходов.
- Шилова М. В. Кремний органические гидрофобизаторы — эффективная защита строительных материалов и конструкций // Строительные материалы. 2003. № 12. С. 40–41. ID 9558300. https://www.elibrary.ru/ibegzf
- Пат. РФ 2261896 (опубл. 2005). Способ очистки растительных масел от восков.
- Косулина Т. П., Цокур О. С., Левашов А. C., Лукина Д. Ю. Некоторые свойства и состав отходов масложировой промышленности стадии винтеризации растительного масла // Эколог. вестн. науч. центров ЧЭС. 2013. № 4. С. 67–75. ID 21094110. https://www.elibrary.ru/rtprbf
- Vasilin V. K., Stroganova T. A., Krapivin G. D., Butina E. A., Gerasimenko E. O., Dubrovskaya I. A. Using the nuclear magnetic resonance method to identify vegetable oils and their mixtures // Int. J. Ecosystems Ecology Sci. (IJEES). 2022. V. 12. N 2. P. 595–606. ID 55139002. https://doi.org/10.31407/ijees12.2 https://www.elibrary.ru/zkydiw.
- Крапивин Г. Д., Строганова Т. А., Василин В. К. Разработка экспресс-метода определения иодного числа и содержания ω-3 жирных кислот в растительных маслах и животных жирах // Изв. вузов. Пищ. технология. 2023. № 2–3 (392). С.105–111. ID 54050562. https://doi.org/10.26297/0579-3009.2023.2-3.17 https://www.elibrary.ru/mdwzzc
- Вайсман Я. И., Глушанкова И. С., Рудакова Л. В., Дьяков М. С. Исследования физико-химических свойств и термической деструкции отходов нефтеперерабатывающих предприятий // Науч. исслед. и инновации. 2010. Т. 4. № 3. С. 21–27. ID 14866507. https://www.elibrary.ru/lguowo
- Мазлова Е. А., Мещеряков С. В. Экологические характеристики нефтяных шламов // Химия и технология топлив и масел. 1999. № 1. С. 40–42. ID 37284675. https://www.elibrary.ru/suxzpw
- Ермаков В. В., Сухоносова А. Н., Быков Д. Е., Пирожков Д. А. Определение класса опасности нефтешламов // Экология и пром-сть России. 2008. № 7. С. 14–15. ID 11684319. https://www.elibrary.ru/jvrwyv
- Косулина Т. П., Цокур О. С., Черных В. Ф. Применение продуктов утилизации тяжелых нефтяных отходов в качестве гидрофобизирующих добавок // Экология и пром-сть России. 2019. Т. 23. № 4. С. 36–40. ID 37238946. https://doi.org/10.18412/1816-0395-2019-4-36-40 https://www.elibrary.ru/coavro
- Пат. РФ 2633016 (опубл. 2017). Комплексная добавка для бетонной смеси.
Дополнительные файлы








