Стеклокомпозиты на основе эпоксиизоцианатных связующих с повышенными тепло-, термостойкостью и физико-механическими характеристиками
- Authors: Борисов С.В.1, Ярославцев Н.A.1, Кобелев A.А.2, Буравов Б.А.1, Ваниев М.A.1, Соколов П.Э.3, Акчурин Т.К.3, Новаков И.А.1
-
Affiliations:
- Волгоградский государственный технический университет
- Академия Государственной противопожарной службы МЧС России
- Институт архитектуры и строительства (ИАиС) Волгоградского государственного технического университета
- Issue: Vol 97, No 11-12 (2024)
- Pages: 764-775
- Section: Compositional Materials
- URL: https://journal-vniispk.ru/0044-4618/article/view/284510
- DOI: https://doi.org/10.31857/S0044461824110045
- EDN: https://elibrary.ru/LFPOEH
- ID: 284510
Cite item
Full Text
Abstract
Установлено, что рост содержания оксазолидоновых фрагментов в трехмерно сшитой структуре полимеров, обусловленный увеличением доли полиизоцианата в рецептуре связующих, приводит к росту значений модуля упругости и разрушающего напряжения при статическом изгибе, тепло- и термостойкости получаемых материалов. Стеклокомпозиты, изготовленные на основе алюмоборосиликатного ровинга и разработанного связующего (при содержании последнего 18–22 мас%), характеризуются значениями температуры изгиба под нагрузкой 150 МПа до 239°С и разрушающего напряжения при статическом изгибе до 1450 МПа. После 300 циклов замораживания (–20°С, ≤1 ч) и оттаивания (+20°С, 1 ч) разрушающее напряжение при статическом изгибе стеклокомпозитов на основе эпоксиизоцианатных связующих практически не изменилось (не более 5.3%).
Full Text
Существует множество ограничений в применении строительных бетонных конструкций, армированных стальной арматурой, в связи с тем что она имеет большой удельный вес, высокую теплопроводность, низкую химическую стойкость, а также является проводником электрического тока, что приводит к электрохимической коррозии элементов конструкции [1]. Альтернативой является использование композитной стеклопластиковой арматуры. Основными ее недостатками являются низкие значения модуля упругости и теплостойкости, что во многом определяется типом используемого связующего [2]. В качестве последнего применяются композиции на основе эпоксидных смол, отверждаемых ангидридами дикарбоновых кислот [3, 4]. Однако даже в этом случае получаемые материалы не являются достаточно устойчивыми к воздействию высоких температур. При температурах более 200°С прочностные характеристики арматуры на основе эпоксиангидридных связующих снижаются [2]. Поэтому в бетонных конструкциях, к которым предъявляются требования огнестойкости, использовать арматуру из стеклопластика не рекомендуется [5].
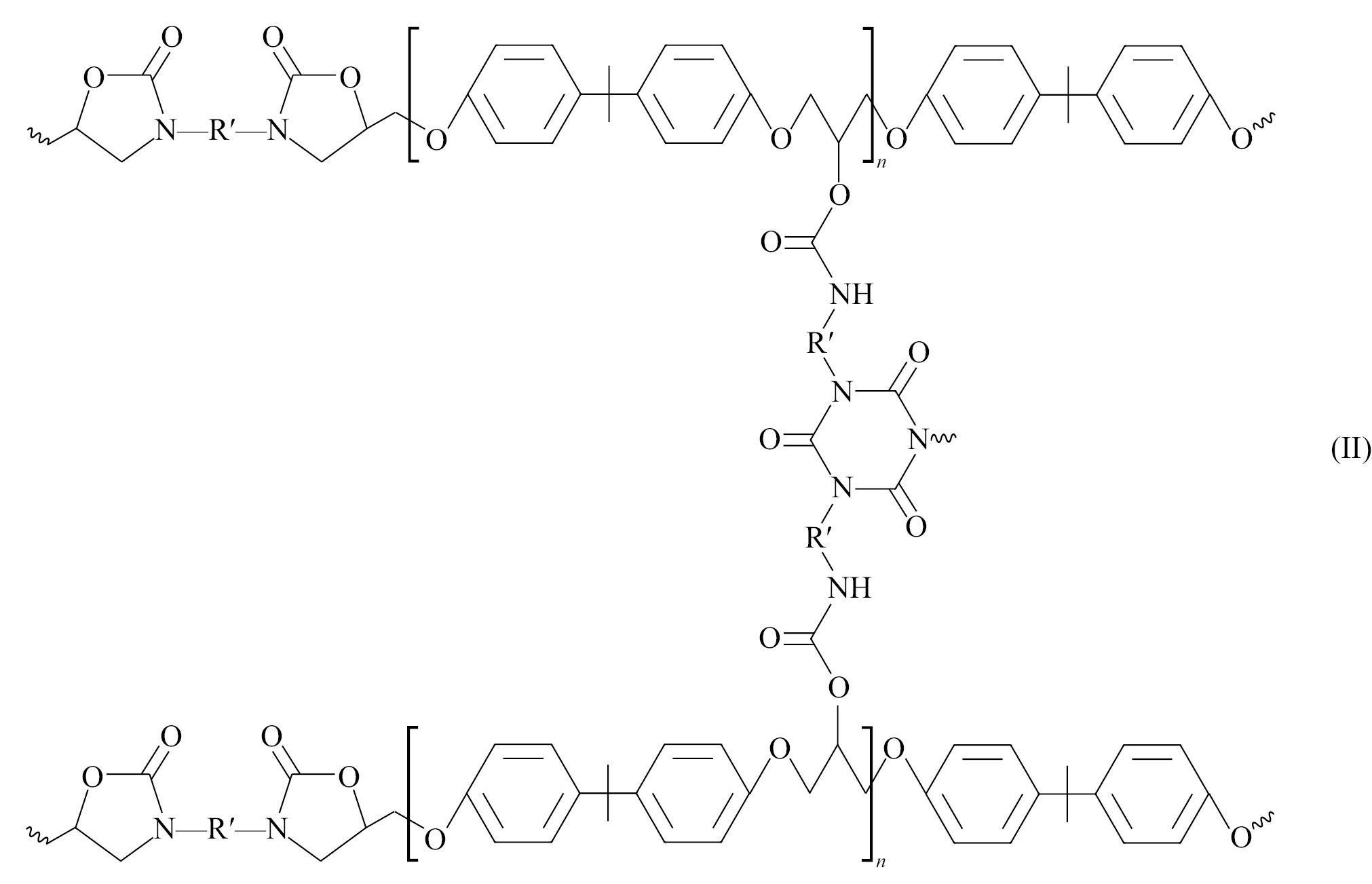
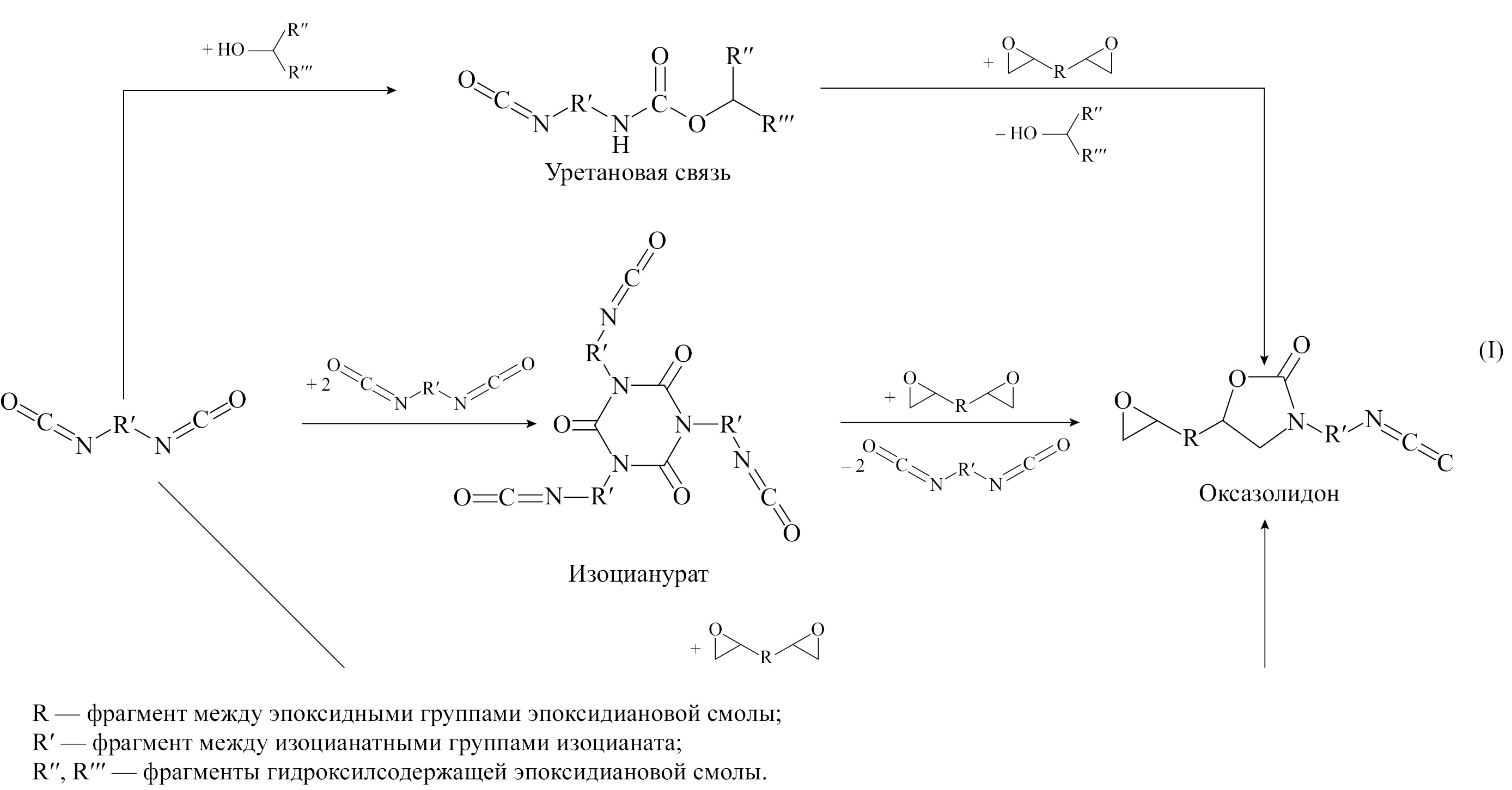
Для расширения диапазона температур эксплуатации стеклопластиковой арматуры целесообразно использование связующих, позволяющих получать полимерные матрицы с более высокой теплостойкостью. В частности, теплостойкость эпоксидных смол зависит от плотности сшивания и жесткости полимерной структуры, которые в свою очередь зависят от химического строения и функциональности отвердителя и олигомера, а также от их количественного соотношения в составе, условий отверждения, типа и количества используемого для отверждения катализатора [6–8]. Одним из способов повышения теплостойкости связующих эпоксидного типа является совмещение их с ароматическими и циклоалифатическими изоцианатами. В процессе отверждения эпоксиизоцианатных связующих предполагается формирование сшитой полимерной структуры (I), включающей два типа гетероциклов — изоцианураты и оксазолидоны, которая приводит к повышению теплостойкости, термостабильности и физико-механических характеристик получаемых материалов [9, 10].
Трехмерное сшивание эпоксиизоцианатного связующего должно происходить в результате тримеризации полиизоцианата и формирования эфирных и уретановых связей, в то время как образование оксазолидоновых колец должно приводить к росту полимерной цепи и увеличению ее жесткости [9]. Структура формирующегося продукта представлена ниже:
Цель работы — получение и изучение свойств эпоксиизоцианатных связующих, полученных на основе эпоксидиановой смолы марки ЭД-20 и полиизоцианата.
Экспериментальная часть
Для исследований использовали эпоксидиановою смолу марки ЭД-20 (массовая доля эпоксидных и гидроксильных групп — 22.0 и 1.7% соответственно, ООО «Композит проект»), полиизоцианат марки Wannate PM-200 (массовая доля изоцианатных групп 32%, Wanhua Chemical Group Co., Ltd), изометилтетрагидрофталевый ангидрид (98.5 мас%, ООО «Композит проект»), триэтиламин (99%, Sigma-Aldrich, кат. номер PHR1117) и 2,4,6-трис(диметиламинометил)фенол (98.5 мас%, ООО «Композит проект»).
Рецептуры эпоксиизоцианатных связующих разрабатывали таким образом, чтобы варьировалось мольное соотношение между суммой эпоксидных и гидроксильных групп эпоксидиановой смолы и изоцианатными группами полиизоцианата (табл. 1).
Таблица 1. Состав исследуемых эпоксиангидридного и эпоксиизоцианатных связующих
Компонент | Содержание компонентов в эпоксиизоцианатных связующих в зависимости от мольного отношения (—ОН + СН2ОСН—):ОСN—, мас. ч. | Содержание компонентов в эпоксиангидридном связующем, мас. ч. | ||||
2.00 | 1.50 | 1.00 | 0.67 | 0.50 | ||
Эпоксидиановая смола марки ЭД-20 | 100.00 | |||||
Полиизоцианат | 39.40 | 52.50 | 78.75 | 118.13 | 157.50 | — |
Изометилтетрагидрофталевый ангидрид | — | 82.00 | ||||
Триэтиламин | 0.14 | 0.15 | 0.18 | 0.22 | 0.26 | — |
2,4,6-Трис(диметиламинометил) фенол | — | 0.18 | ||||
В качестве армирующего наполнителя для получения стеклокомпозитов использовался ровинг из алюмоборосиликатного стекла с номинальной линейной плотностью 1200 ± 60 текс и силановым замасливателем ЕС 17-1200-350 (ООО «П-Д Татнефть-Алабуга Стекловолокно»).
Для получения образцов эпоксиизоцианатных связующих эпоксидную смолу смешивали с ароматическим полиизоцианатом и вакуумировали (остаточное давление 5 кПа) при температуре 80°С в течение 1 ч. Смесь охлаждали до 20°С и добавляли 0.1 мас% триэтиламина в качестве катализатора. Композиции отверждались в полипропиленовых формах при температуре 80°С в течение 3 ч. В дальнейшем образцы термостатировали при температуре 200°С в течение 24 ч.
Для получения образцов эпоксиангидридного связующего эпоксидную смолу смешивали с изометилтетрагидрофталевым ангидридом и вакуумировали (остаточное давление 5 кПа) при температуре 80°С в течение 1 ч. Смесь охлаждали до 20°С и добавляли ускоритель отверждения 2,4,6-трис(диметиламинометил)фенол в количестве 0.1 мас%. Композиция отверждалась в форме из полипропилена при температуре 110°С в течение 3 ч. В дальнейшем образцы термостатировали при температуре 200°С в течение 24 ч.
Механическую обработку заготовок отвержденных связующих осуществляли на гравировально-фрезерном станке с числовым программным управлением OMNI CNC 6090 ROUTER (Omni CNC Technology Co., Ltd) с использованием концевой фрезы 1.5 × 5 × 3.175 мм в режиме 2D-обработки по профилю со скоростью подачи и вращения инструмента 5 и 18 000 об·мин–1 соответственно.
Образцы стеклокомпозитов цилиндрической формы диаметром 4.1–4.3 мм с массовой долей связующего 18–22% получали методом пултрузии через фильеру внутренним диаметром 4 мм. Перед пропиткой волокон связующее вакуумировали, а после термостатировали в режиме, описанном выше для процесса отверждения образцов связующего.
Реологические исследования проводили методом динамической вискозиметрии1 с помощью программируемого ротационного вискозиметра Brookfield LVDV-II + Pro (Brookfield Engineering Laboratories, Inc.) с использованием шпинделя SC4-27 (Brookfield Engineering Laboratories, Inc.) при 25°С и скоростях сдвига от 0.1 до 61.2 с–1. Значение времени гелеобразования было рассчитано путем экстраполяции зависимости величины обратной относительной вязкости от времени к нулю, где относительная вязкость (ηотн) — отношение вязкости в текущий момент времени к исходному ее значению. Скорость изменения вязкости оценивали по углу наклона кривых 1/ηотн–время [10].
Содержание гель-фракции в сополимерах определяли гравиметрическим методом спустя 32 ч выдерживания образцов в среде толуола (х.ч., АО «ЭКОС-1») в аппарате Сокслета.
Разрушающее напряжение, модуль упругости и относительную деформацию при статическом изгибе определяли в соответствии с методикой2 с помощью испытательной машины Zwick Z5.0 TH (ZwickRoell GmbH & Co. KG). Скорость движения верхней траверсы составила 2 мм·мин–1. Образцы отвержденного связующего имели форму брусков 80 × 10 × 4 мм, образцы стеклокомпозитов имели цилиндрическую форму диаметром 4.1–4.3 мм, длиной 80 мм.
Температуру изгиба под нагрузкой определяли на приборе GT-HV2000-3 (GOTECH Testing Machines Inc.) в среде силиконовой жидкости ПМС-200 (техн., ООО «СИЛАН»). Измерения характеристик образцов отвержденных связующих проводили согласно методике3 при изгибающем напряжении 1.8 МПа, а стеклокомпозитов — согласно методике4 при 150 МПа.
Термоокислительную деструкцию полимеров изучали термогравиметрическим методом согласно методике.5 Испытание проводили с помощью дериватографа Q-1500D (MOM) в среде воздуха в динамическом режиме нагрева (10 град·мин–1). Масса навески составляла 100 ± 5 мг. Полученные данные обрабатывали с использованием программного обеспечения Netzsch Proteus 8.0.3.
Исследование спектральных характеристик эпоксиизоцианатных связующих в инфракрасном диапазоне проводили с помощью ИК-Фурье-спектрометра ФТ-801 Simex с использованием приставки для метода нарушенного полного внутреннего отражения с элементом из селенида цинка. Полученные спектры обрабатывали с помощью программного обеспечения ZaIR 3.5.
Морозостойкость стеклокомпозитов оценивали по изменению разрушающего напряжения при статическом изгибе после заданного количества циклов замораживания и оттаивания образцов. Образцы имели цилиндрическую форму диаметром 6.1–6.3 мм и длиной 110 мм. Образцы помещали в морозильную камеру и выдерживали при температуре минус (20 ± 2)°С в течение 1 ч, затем извлекали из морозильной камеры, погружали в сосуд с водой и выдерживали при температуре плюс (20 ± 2)°С в течение 1 ч. Испытание продолжали в течение 300 циклов замораживания–оттаивания. В случае вынужденных перерывов при испытании на морозостойкость, превышающих 1 ч, образцы хранили в морозильной камере.
Напряжение сцепления стеклокомпозитов с бетоном определяли методом статического изгиба армированной бетонной балки (рис. 1) в соответствии со схемой нагружения рис. 2 согласно методике6 с помощью испытательной машины Zwick Z5.0 TH (ZwickRoell GmbH & Co. KG). Нагружение образцов проводили со скоростью 5 кН·мин–1. Для изготовления бетонной балки использовали образцы стеклокомпозитов цилиндрической формы диаметром 6.1–6.3 мм и длиной 324 мм, изготовленные по описанной выше методике. Бетон, соответствующий прочности при изгибе и сжатии 5.8 и 24.3 МПа соответственно, изготавливали на основе портландцемента марки ПЦ-500-Д20 (АО «Себряковцемент») и песка рядового (ООО «НерудСтройСнаб») в соотношении 1 к 3 при водоцементном отношении 0.5.
Рис. 1. Схема установки образца стеклокомпозита в бетон при испытаниях балки на изгиб.
А-А — сечение бетонной балки вдоль армирующего стержня, d — диаметр армирующего стеклокомпозита.
1 — образец стеклокомпозита, 2 — поливинилхлоридная трубка, 3 — стальной цилиндр.
Рис. 2. Схема испытания образца изгибом балки.
Р — направление приложения силы.
Твердость отвержденных связующих определяли при температуре 23 ± 2°С с помощью дюрометра Шора типа D согласно методике.7
Обсуждение результатов
Эпоксиизоцианатные связующие обладают значительно более высокой динамической вязкостью по сравнению с эпоксиангидридным (табл. 2, рис. 3). При увеличении содержания полиизоцианата величина динамической вязкости связующих снижается в 1.3–1.5 раза.
Таблица 2. Динамическая вязкость эпоксиангидридного и эпоксиизоцианатных связующих
Содержание полиизоцианата в связующем, мас. ч. | Динамическая вязкость (23°С) при скорости сдвига 0.136 с–1, Па·с | Динамическая вязкость (45°С) при скорости сдвига 1.700 с–1, Па·с | ||
по истечении 15 мин после совмещения компонентов | по истечении 30 мин после совмещения компонентов | по истечении 15 мин после совмещения компонентов | по истечении 30 мин после совмещения компонентов | |
0 (Эпоксиангидридное связующее) | 1.8 | 1.8 | 0.3 | 0.3 |
39.40 | 36.3 | 41.6 | 2.6 | 2.9 |
52.50 | 25.1 | 28.7 | 2.2 | 2.4 |
78.75 | 18.6 | 21.2 | 1.8 | 2.0 |
118.13 | 13.6 | 15.6 | 1.2 | 1.3 |
157.50 | 9.1 | 10.9 | 0.8 | 0.9 |
Примечание. На 100 мас. ч. эпоксидиановой смолы марки ЭД-20 эпоксиангидридные композиции содержат 82 мас. ч. изометилтетрагидрофталевого ангидрида и 0.18 мас. ч. 2,4,6-трис(диметиламинометил)фенола, а эпоксиизоцианатные – различное количество полиизоцианата и 0.1 мас% триэтиламина.
Рис. 3. Зависимости изменения динамической вязкости эпоксиангидридного (110°С) (а) и эпоксиизоцианатных (80°С) (б) связующих от времени отверждения.
На 100 мас. ч. эпоксидиановой смолы марки ЭД-20 эпоксиангидридная композиция содержит 82 мас. ч. изометилтетрагидрофталевого ангидрида и 0.18 мас. ч. 2,4,6-трис(диметиламинометил)фенола, а эпоксиизоцианатные — различное количество полиизоцианата и 0.1 мас% триэтиламина. Подписи на кривых соответствуют содержанию полиизоцианата (мас. ч.) в рецептуре.
Согласно данным литературы [11], вязкость составов, используемых в пултрузионной технологии, обычно составляет 400–800 мПа·с. Это обстоятельство предопределяет необходимость проведения пропитки армирующего наполнителя при повышенной температуре. В частности, при 45°С уровень динамической вязкости является более приемлемым для пултрузионной технологии, а потеря текучести по прошествии 30 мин практически не фиксируется. Следует также отметить, что повышение температуры испытаний до 45°С привело к снижению вязкости эпоксиизоцианатных связующих в 10–14 раз, а эпоксиангидридного только в 6.
Скорость изменения вязкости исследуемых эпоксиизоцианатных связующих выше, чем эпоксиангидридного (рис. 4, а). В целом выявлен экстремальный характер зависимости изменения обозначенной характеристики от содержания полиизоцианата. Разница между значениями скоростей изменения вязкости для двух связующих с минимальным содержанием полиизоцианата составляет около 5.2%. Вероятно, это может быть обусловлено тем, что при прочих равных условиях и низком содержании полиизоцианата (52.5 мас.ч. на 100 мас.ч. эпоксидиановой смолы и ниже) формирование изоциануратов затруднено ввиду недостаточного количества изоцианатных групп, поскольку бóльшая часть их задействована при образовании связей с гидроксильными группами эпоксидной смолы [12]. Поскольку образование оксазолидоновых гетероциклов и простых эфирных связей происходит при более высоких температурах (150°С и выше) [13, 14], чем тримеризация изоцианата и образование уретановых связей, продукт взаимодействия полиизоцианата и эпоксидной смолы, по всей видимости, будет представлять собой смесь олигомеров с высокой молекулярной массой. Скорость изменения вязкости в результате реакции снижается с уменьшением содержания эпоксидной смолы, что в целом согласуется с литературными данными [15]. Возрастающая зависимость времени гелеобразования от содержания полиизоцианата (рис. 4, б) в целом подтверждает это. Время гелеобразования эпоксиизоцианатных связующих существенно ниже, чем у эпоксиангидридного (в 6.1–4.2 раза).
Рис. 4. Зависимости скорости изменения вязкости (а) и времени гелеобразования (б) связующих при температуре отверждения от содержания полиизоцианата.
Эпоксиангидридная композиция содержит 100 мас. ч. эпоксидиановой смолы марки ЭД-20, 82 мас. ч. изометилтетрагидрофталеивого ангидрида и 0.18 мас. ч. 2,4,6-трис(диметиламинометил)фенола. Эпоксиизоцианатные композиции содержат 100 мас. ч. эпоксидиановой смолы марки ЭД-20, 0.1 мас% триэтиламина и различное количество полиизоцианата.
Содержание полиизоцианата в связующем оказывает влияние на изменение твердости нетермостатированных образцов в процессе отверждения материалов (рис. 5). Оценка этого изменения для недоотвержденных образцов целесообразна для определения времени, достаточного для проведения основной стадии отверждения, которое в случае большинства образцов составляет 180 мин. Следует отметить, что независимо от времени отверждения твердость образцов до термостатирования ниже, чем после такой термообработки (табл. 3). Это объясняется тем, что при повышенных температурах происходит формирование трехмерно сшитой структуры, включающей оксазолидоновые фрагменты [7, 16].
Рис. 5. Зависимость твердости нетермостатированных образцов от времени отверждения материалов и содержания полиизоцианата.
Содержание полиизоцианата (мас. ч.) на 100 мас. ч. эпоксидиановой смолы марки ЭД-20: 1 — 39.40, 2 — 52.50, 3 — 78.75, 4 — 118.13, 5 — 157.50.
Таблица 3. Свойства отвержденных эпоксиангидридного и эпоксиизоцианатных связующих
Характеристика | Эпокси-ангидридное связующее | Содержание полиизоцианата в эпоксиизоцианатных связующих, мас. ч. | ||||
39.40 | 52.50 | 78.75 | 118.13 | 157.50 | ||
Твердость после термостатирования, усл. ед. Шор Д | 87 | 87 | 88 | 90 | 90 | 91 |
Массовая доля золь-фракции, % | 1.0 | 10.4 | 4.5 | 3.8 | 2.7 | 1.8 |
Модуль упругости при статическом изгибе, ГПа | 3.11 ± 2.0% | 3.39 ± 5.1% | 3.25 ± 3.8% | 3.63 ± 4.4% | 3.24 ± 5.5% | 3.31 ± 4.0% |
Разрушающее напряжение при статическом изгибе, МПа | 109 ± 12% | 137 ± 9% | 122 ± 12% | 121 ± 16% | 126 ± 10% | 118 ± 10% |
Относительная деформация при статическом изгибе, % | 4.0 ± 17% | 4.5 ± 11% | 4.0 ± 16% | 3.5 ± 17% | 3.7 ± 8% | 3.8 ± 13% |
Температура изгиба под нагрузкой 1.8 МПа, °С | 116 | 94 | 141 | 172 | 208 | 239 |
Изменение массы после выдержки в дистиллированной воде в течение 5500 ч, % | +0.36 | +0.31 | +0.44 | +0.78 | +0.83 | +1.25 |
Изменение массы после выдержки в 40%-ном растворе NaOH в течение 5500 ч, % | –1.82 | –0.89 | –0.56 | –0.43 | –0.78 | –1.11 |
Температура потери 5% массы, °С | 335 | 377 | 377 | 377 | 365 | 369 |
Температура потери 10% массы, °С | 360 | 406 | 403 | 400 | 392 | 396 |
Коксовый остаток при температуре 900°С, мас% | — | 7.2 | 4.0 | 7.3 | 5.9 | 4.5 |
Примечание. Эпоксиангидридная композиция содержит 100 мас. ч. эпоксидиановой смолы марки ЭД-20, 82 мас. ч. изометилтетрагидрофталевого ангидрида и 0.18 мас. ч. 2,4,6-трис(диметиламинометил)фенола. Эпоксиизоцианатные композиции содержат 100 мас. ч. эпоксидиановой смолы марки ЭД-20, 0.1 мас% триэтиламина и различное количество полиизоцианата. Композиции отверждались при 80°С (эпоксиангидридная — при 110°С) в течение 3 ч с последующим термостатированием при 200°С в течение 24 ч.
Это также подтверждается результатами ИК-спектроскопии (рис. 6, спектры а, б): после термостатирования фиксируются полосы поглощения оксазолидоновых фрагментов (1750 см–1), чего не наблюдалось в спектрах образцов до термостатирования. Кроме того, исчезает полоса поглощения изоцианатной группы (2270 см–1), снижаются интенсивности полос поглощения изоциануратных (1705 см–1) и эпоксидных циклов (915 см–1) и увеличивается интенсивность полосы поглощения, характерная для простой эфирной группы (1105 см–1).
Рис. 6. ИК-спектры эпоксиизоцианатного связующего, содержащего 100 мас. ч. эпоксидиановой смолы марки ЭД-20, 0.1 мас% триэтиламина и 39.4 мас. ч. полиизоцианата, до термостатирования (а), после термостатирования (б) и его золь-фракции (в).
Золь-фракция отвержденных эпоксиизоцианатных связующих содержит изоциануратные гетероциклы (1705 см–1), уретановые связи (1770–1700 см–1) и остаточные эпоксидные группы (915 см–1) (рис. 4, в).
При увеличении доли полиизоцианата в рецептуре связующих наблюдается рост содержания изоцианурата (увеличение интенсивности полосы поглощения в области 1705 см–1, соответствующей колебаниям карбонильной группы изоцианурата, которая перекрывает полосу поглощения, соответствующую колебаниям карбонильной группы уретановой связи, в области 1770–1700 см–1). Наблюдается снижение содержания оксазолидона (уменьшение интенсивности полосы поглощения в области 1750 см–1, соответствующей колебаниям карбонильной группы оксазолидона) и простых эфирных связей (уменьшение интенсивности полосы поглощения в области 1105 см–1, соответствующей колебаниям алифатической простой эфирной связи) в композиции после отверждения (рис. 7). Вместе с тем отвержденные эпоксиизоцианатные связующие содержат остаточные эпоксидные группы (присутствует полоса поглощения в области 915 см–1, соответствующая колебаниям оксиранового кольца) (рис. 7) [9].
Рис. 7. Изменение интенсивности полос поглощения в ИК-спектрах отвержденных эпоксиизоцианатных связующих. На 100 мас. ч. эпоксидиановой смолы марки ЭД-20 композиции содержат различное количество полиизоцианата и 0.1 мас% триэтиламина. Подписи на кривых соответствуют максимальной частоте исследуемой полосы поглощения.
Отвержденное эпоксиангидридное связующее содержит меньше золь-фракции, чем эпоксиизоцианатные связующие (табл. 3). Это может быть связано с тем, что при отверждении эпоксиизоцианатных связующих возникают значительные стерические затруднения, причиной которых является образование большого количества тримера изоцианата — изоцианурата, повышающего плотность сшивания композиции, в результате чего некоторые реакционноспособные группы оказываются заблокированными [9]. Также следует отметить, что с увеличением в связующем доли эпоксидной смолы после отверждения наблюдается увеличение массовой доли золь-фракции.
Отвержденные эпоксиизоцианатные связующие характеризуются повышенными значениями модуля упругости и разрушающего напряжения при статическом изгибе по сравнению с материалом эпоксиангидридного связующего. Увеличение прочности при статическом изгибе и модуля упругости относительно эпоксиангидридного связующего достигает 26 и 17% соответственно. Это может быть связано со структурой материала, содержащего оксазолидоновые и изоциануратные гетероциклы [9]. Отсутствие пропорциональной зависимости между значениями прочностных характеристик и содержанием полиизоцианата может быть обусловлено тем, что увеличение содержания полиизоцианата в связующем приводит к формированию большего количества изоцианурата. При этом увеличение содержания эпоксидной смолы способствует росту в материале количества оксазолидоновых фрагментов, уретановых и простых эфирных связей. В свою очередь каждая из упомянутых структур оказывает различное влияние на прочность материала.
Материалы на основе эпоксиизоцианатных связующих характеризуются более высокими щелочестойкостью и водопоглощением (табл. 3). Более низкая щелочестойкость эпоксиангидридного связующего может быть обусловлена наличием сложных эфирных связей, которые способны вступать в реакции щелочного гидролиза. Более высокое водопоглощение эпоксиизоцианатных связующих, вероятно, связано со способностью атомов азота образовывать водородные связи с молекулами воды [16], что подтверждается ростом водопоглощения с увеличением содержания полиизоцианата в связующем. В целом уровень стойкости к действию щелочной среды и дистиллированной воды можно характеризовать как достаточно высокий, в большинстве случаев не превышающий 1 мас%.
При увеличении доли эпоксидной смолы в эпоксиизоцианатном связующем наблюдается рост термической стабильности, что отражается в повышении температуры потери 10% массы (табл. 3). Это связано с наличием в структуре эпоксиизоцианатных связующих гетероциклических фрагментов — изоциануратных и оксазолидоновых. Термостойкость материалов на основе эпоксиизоцианатных связующих на 30–47°С выше, чем эпоксиангидридного.
Стеклокомпозиты на основе эпоксиизоцианатных связующих характеризуются более высокими значениями разрушающего напряжения при статическом изгибе (до 13%) при сравнительно близких значениях модуля упругости (табл. 4). Наблюдается увеличение разрушающего напряжения при статическом изгибе стеклокомпозитов, изготовленнных практически по всем рецептурам связующих. Исключение составляет связующее, содержащее 39.4 мас. ч. полиизоцианата. Вероятно, это обусловлено наличием непрореагировавших эпоксидных групп, что подтверждается высоким содержанием в связующем золь-фракции, обсуждаемой ранее.
Таблица 4. Свойства стеклокомпозитов на основе эпоксиангидридного и эпоксиизоцианатных связующих
Характеристика | Эпокси-ангидридное связующее | Содержание полиизоцианата в эпоксиизоцианатных связующих, мас. ч. | ||||
39.40 | 52.50 | 78.75 | 118.13 | 157.50 | ||
Модуль упругости при статическом изгибе, ГПа | 50.0 | 49.8 | 50.0 | 50.4 | 49.6 | 49.5 |
Разрушающее напряжение при статическом изгибе, МПа | 1280 | 1290 | 1450 | 1420 | 1350 | 1310 |
Относительная деформация при статическом изгибе, % | 2.6 | 2.6 | 2.9 | 2.7 | 2.7 | 2.6 |
Температура изгиба под нагрузкой 150 МПа, °С | 82 | 97 | 138 | 177 | 219 | 243 |
Относительное изменение разрушающего напряжения при статическом изгибе после 300 циклов замораживания и оттаивания, % | –19.5 | –0.8 | +1.4 | +5.3 | +0.7 | –2.1 |
При увеличении доли полиизоцианата в рецептуре связующего наблюдается рост деформационной теплостойкости как отвержденного связующего, так и стеклокомпозита на его основе (табл. 3 и 4). Это может быть связано с повышением жесткости полимерной сетки в результате образования большего количества изоцианурата и меньшего количества простых эфирных связей [9]. Увеличение деформационной теплостойкости относительно эпоксиангидридного связующего достигает 106%, а композита — 193%.
Стеклокомпозиты на основе эпоксиизоцианатных связующих характеризуются повышенной морозостойкостью. После 300 циклов замораживания и оттаивания разрушающее напряжение при статическом изгибе стеклокомпозитов на основе эпоксиангидридного связующего понизилось на 19.5%, в то время как разрушающее напряжение при статическом изгибе стеклокомпозитов на основе эпоксиизоцианатных связующих практически не изменилось. Следует отметить, что высокий уровень водопоглощения не оказал негативного влияния на морозостойкость.
По совокупности достигнутых физико-механических характеристик и теплостойкости рецептуру, содержащую 157.5 мас. ч. полиизоцианата, можно рекомендовать для изготовления композитной арматуры для строительства. В связи с этим представляют интерес результаты испытаний разработанных стеклокомпозитов в составе бетонных конструкций, для чего определено напряжение сцепления стеклокомпозитов с бетоном. Стеклокомпозиты на основе эпоксиизоцианатного связующего, содержащего 157.5 мас. ч. полиизоцианата, характеризуются напряжением сцепления с бетоном 3.18 МПа, что на 12% выше, чем у композита на основе эпоксиангидридного связующего.
Выводы
Связующие, включающие эпоксидиановую смолу, полиизоцианат и триэтиламин, могут быть использованы в пултрузионной технологии создания полимерных композиционных материалов, отличающихся повышенными тепло- и термостойкостью. С увеличением в рецептуре связующих содержания полиизоцианата в материале после отверждения зафиксирован рост содержания изоциануратных циклов, снижение содержания оксазолидоновых циклов и простых эфирных связей. Указанные структурные изменения приводят к росту значений модуля упругости и разрушающего напряжения при статическом изгибе, тепло- и термостойкости. По совокупности исследуемых характеристик рецептура, содержащая 157.5 мас. ч. полиизоцианата на 100 мас. ч. эпоксидиановой смолы, может быть использована для изготовления стеклопластиковой арматуры, применяемой при создании пожаробезопасных бетонных конструкций.
Благодарности
При выполнении работы использовано оборудование ЦКП «Физико-химические методы исследования» Волгоградского государственного технического университета.
Финансирование работы
Работа выполнена в рамках государственного задания на выполнение научных исследований межрегионального научно-образовательного центра Юга России при финансовой поддержке Минобрнауки РФ (соглашение № FZUS-2024-0001).
Конфликт интересов
Авторы заявляют об отсутствии конфликта интересов, требующего раскрытия в данной статье.
1 ГОСТ 25271–93. Пластмассы. Смолы жидкие, эмульсии или дисперсии. Определение кажущейся вязкости по Брукфильду.
2 ГОСТ 4648–2014. Пластмассы. Метод испытания на статический изгиб.
3 ГОСТ 12021–2017. Пластмассы и эбонит. Метод определения температуры изгиба под нагрузкой.
4 ГОСТ 32657–2014. Композиты полимерные. Методы испытаний. Определение температуры изгиба под нагрузкой.
5 ГОСТ Р 56721–2015. Пластмассы. Термогравиметрия полимеров.
6 ГОСТ 31938–2012. Арматура композитная полимерная для армирования бетонных конструкций. Общие технические условия.
7 ГОСТ 24621–2015. Пластмассы и эбонит. Определение твердости при вдавливании с помощью дюрометра (твердость по Шору).
About the authors
С. В. Борисов
Волгоградский государственный технический университет
Author for correspondence.
Email: borisov.volgograd@yandex.ru
ORCID iD: 0000-0003-4400-0822
к.т.н.
Russian Federation, 400005, г. Волгоград, пр. им. Ленина, д. 28Н. A. Ярославцев
Волгоградский государственный технический университет
Email: borisov.volgograd@yandex.ru
ORCID iD: 0009-0009-4684-1837
Russian Federation, 400005, г. Волгоград, пр. им. Ленина, д. 28
A. А. Кобелев
Академия Государственной противопожарной службы МЧС России
Email: borisov.volgograd@yandex.ru
ORCID iD: 0000-0003-2957-8685
к.т.н.
Russian Federation, 129366, г. Москва, ул. Бориса Галушкина, д. 4Б. А. Буравов
Волгоградский государственный технический университет
Email: borisov.volgograd@yandex.ru
ORCID iD: 0000-0001-9039-571X
к.х.н.
Russian Federation, 400005, г. Волгоград, пр. им. Ленина, д. 28М. A. Ваниев
Волгоградский государственный технический университет
Email: borisov.volgograd@yandex.ru
ORCID iD: 0000-0001-6511-5835
д.т.н., доцент
Russian Federation, 400005, г. Волгоград, пр. им. Ленина, д. 28П. Э. Соколов
Институт архитектуры и строительства (ИАиС) Волгоградского государственного технического университета
Email: borisov.volgograd@yandex.ru
ORCID iD: 0000-0002-3960-5010
к.т.н., доцент
Russian Federation, 400074, г. Волгоград, ул. Академическая, д. 1Т. К. Акчурин
Институт архитектуры и строительства (ИАиС) Волгоградского государственного технического университета
Email: borisov.volgograd@yandex.ru
ORCID iD: 0000-0003-0410-1995
к.т.н., доцент
Russian Federation, 400074, г. Волгоград, ул. Академическая, д. 1И. А. Новаков
Волгоградский государственный технический университет
Email: borisov.volgograd@yandex.ru
ORCID iD: 0000-0002-0980-6591
д.х.н., академик РАН
Russian Federation, 400005, г. Волгоград, пр. им. Ленина, д. 28References
- Окольникова Г. Э., Герасимов С. В. Перспективы использования композитной арматуры в строительстве // Экология и строительство. 2015. № 3. С. 14–21. https://www.elibrary.ru/vjsovb
- Борисова Т. А., Зиннуров Т. А., Куклин А. Н. Исследование влияния температурного воздействия на работу стеклопластиковой арматуры в бетонных конструкциях // Изв. Казан. гос. архитектурно-строительного ун-та. 2018. № 2 (44). С. 136–144. https://www.elibrary.ru/xqcnjj
- Хозин В. Г., Гиздатуллин А. Р. Совместимость полимеркомпозитной арматуры с цементным бетоном в конструкциях // Строительные материалы. 2017. № 11. С. 30–38. https://www.elibrary.ru/zwufxj
- Фролов Н. П. Стеклопластиковая арматура и стеклопластобетонные конструкции. М.: Стройиздат, 1980. С 15–18.
- Kapsalis P., Triantafillou T., Korda E., Van Hemelrijck D., Tysmans T. Tensile performance of textile-reinforced concrete after fire exposure: Experimental investigation and analytical approach // J. Compos. Construct. 2022. V. 26. N 1. https://doi.org/10.1061/(ASCE)CC.1943-5614.0001162
- Rajasekharan R., Kitey R. Effect of cross-linking on dynamic mechanical and fracture behavior of epoxy
- variants // Composites. Part B: Engineering. 2016. V. 85. P. 336–342. https://doi.org/10.1016/j.compositesb.2015.09.017
- Клебанов М. С. Эпоксидные смолы для полимерных материалов с повышенной теплостойкостью // Пласт. массы. 2020. № 3–4. С. 60–63. https://doi.org/10.35164/0554-2901-2020-3-4-60-63
- Qi Y., Weng Zh., Kou Y., Li J., Cao Q., Wang J., Zhang S., Jian X. Facile synthesis of bio-based tetra-functional epoxy resin and its potential application as high-performance composite resin matrix // Chinese J. Polym. Sci. 2021. V. 214. 108749. https://doi.org/10.1016/j.compositesb.2021.108749
- Zhang L., Lin J., Sodano H. A. Isocyanurate transformation induced healing of isocyanurate–oxazolidone polymers // J. Appl. Polym. Sci. 2020. V. 137. https://doi.org/10.1002/app.48698
- Симонов-Емельянов И. Д., Зарубина A. Ю., Трофимов А. Н., Суриков П. В., Щеулова Л. К. Особенности реокинетики процесса отверждения диановых эпоксидных олигомеров промышленных марок аминным отвердителем // Вестн. МИТХТ им. М. В. Ломоносова. 2010. Т. 5. № 3. С. 102–107. https://www.elibrary.ru/mtanuf
- Русских Г. И., Башара В. А., Блазнов А. Н. Технология непрерывного формования стеклопластиков: Монография. Бийск: Алтай. гос. техн. ун-т им. И. И. Ползунова, 2016. C. 125–132. https://www.elibrary.ru/zadtoh
- Бляхман Е. М., Литвинова М. Л., Гвадыбадзе Л. Б. Исследование взаимодействия эпоксидного олигомера с диизоцианатом в присутствии третичного амина // Высокомолекуляр. соединения. 1980. Т. 22. № 5. С. 346–349.
- Федосеев М. С., Державинская Л. Ф., Щербань Р. В. Влияние природы эпоксиизоцианатных связующих на термомеханические и адгезионные свойства полимеров и композитов // Материаловедение. 2021. № 2. С. 29–35. https://doi.org/10.31044/1684-579X-2021-0-2-29-35
- Pilawka R., Kowalska J., Czech Z. Effect of 1-substituted imidazole derivatives for the curing process of epoxy-isocyanate composition // Polish J. Chem. Technol. 2013. V. 15. P. 36–41. https://doi.org/10.2478/pjct-2013-0065
- Тигер Р. П., Бадаева И. Г., Бондаренко С. П., Энтелис С. Г. Кинетика и механизм циклической тримеризации изоцианатов на каталитической системе третичный амин–окись алкилена // Высокомолекуляр. соединения. 1977. Т. 19. № 2. С. 419–427.
- Delebecq E., Pascault J.-P., Boutevin B., Ganachaud F. On the versatility of urethane/urea bonds: Reversibility, blocked isocyanate, and non-isocyanate polyurethane // Chem. Rev. 2013. V. 113. N 1. P. 80–118. https://pubs.acs.org/doi/10.1021/cr300195n
Supplementary files











