Волноводная модель развитого турбулентного пограничного слоя
- Авторы: Жаров В.А.1, Липатов И.И.1, Селим Р.С.1
-
Учреждения:
- МФТИ
- Выпуск: Том 63, № 5 (2023)
- Страницы: 827-839
- Раздел: МАТЕМАТИЧЕСКАЯ ФИЗИКА
- URL: https://journal-vniispk.ru/0044-4669/article/view/136139
- DOI: https://doi.org/10.31857/S0044466923050241
- EDN: https://elibrary.ru/GGJGQN
- ID: 136139
Цитировать
Полный текст
Аннотация
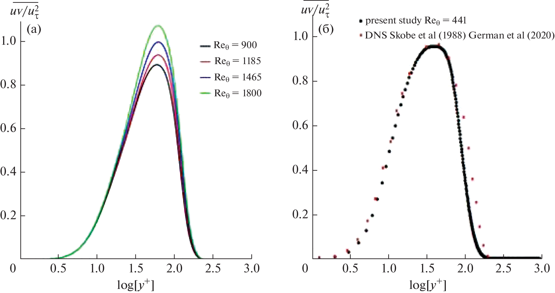
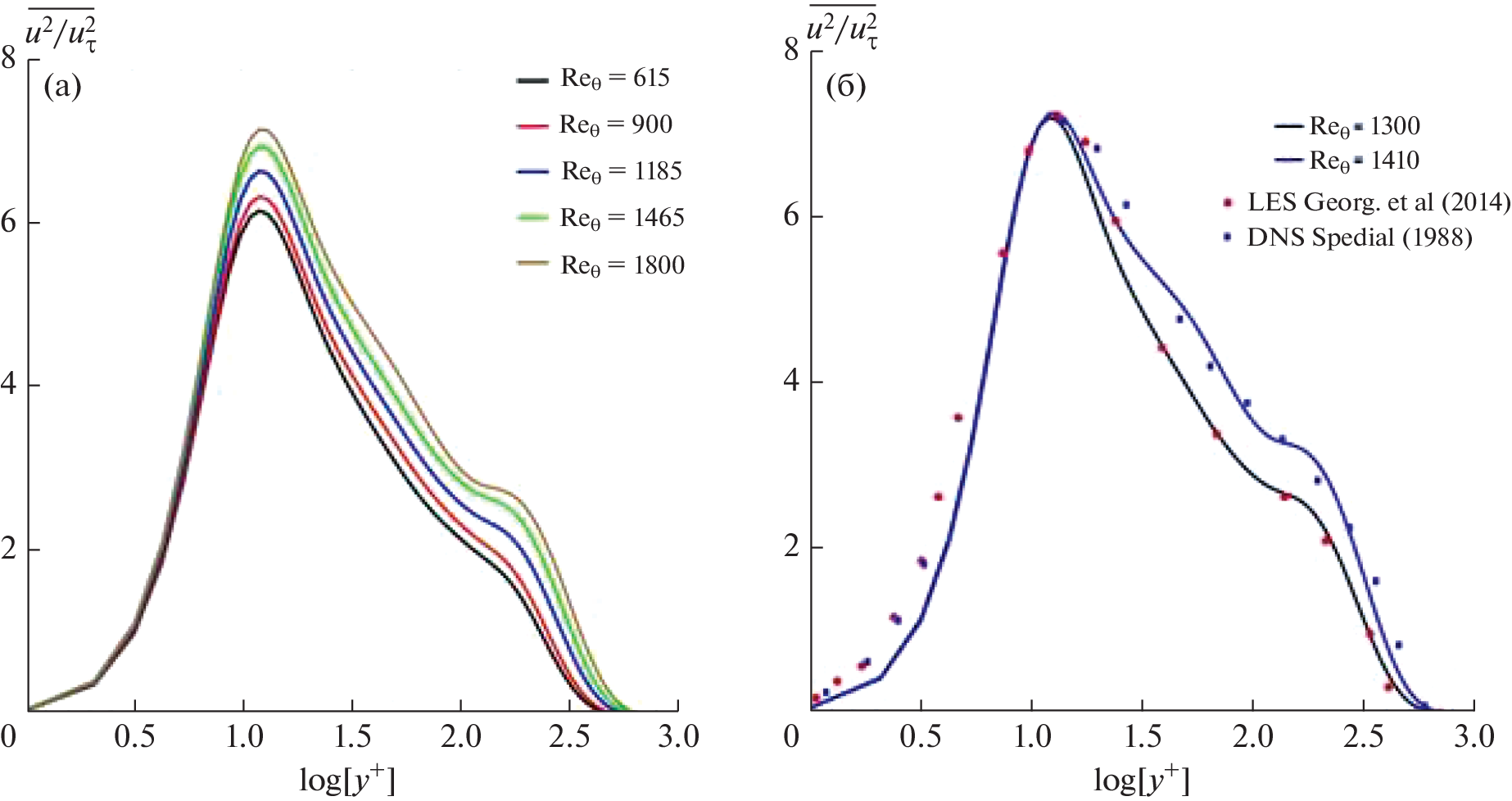
В работе представлено исследование развитого турбулентного пограничного слоя, возникающего при обтекании вязкой несжимаемой жидкостью пластины под нулевым углом атаки и с нулевым продольным градиентом давления. Для описания турбулентного пограничного слоя использован волноводный подход, в котором турбулентные пульсации связаны с волнами Толлмина–Шлихтинга, находящимися в состоянии трехволнового резонанса. Для исследования исходной нелинейной системы уравнений предложена оценка гидродинамических величин, которая не нарушает общепринятый подход в пограничном слое, но приводит к появлению нового малого параметра: отношению толщины потери импульса пограничного слоя к длине затухания наименее затухающей моды волн Толлмина–Шлихтинга. На основе метода многих масштабов получены уравнения для когерентной и стохастической частей пульсаций. Определены дисперсионные характеристики волн наименее затухающей моды на профиле средней продольной скорости развитого турбулентного пограничного слоя; проанализированы условия множественного трехволнового резонанса этой моды волн Толлмина–Шлихтинга. Для когерентной части пульсаций проведено сравнение пульсационных характеристик с известными численными результатами. Библ. 31. Фиг. 7. Табл. 1.
Об авторах
В. А. Жаров
МФТИ
Email: v_zharov@mail.ru
Россия, 141701, М.о., Долгопрудный, Институтский пер., 9
И. И. Липатов
МФТИ
Email: v_zharov@mail.ru
Россия, 141701, М.о., Долгопрудный, Институтский пер., 9
Р. С. Селим
МФТИ
Автор, ответственный за переписку.
Email: v_zharov@mail.ru
Россия, 141701, М.о., Долгопрудный, Институтский пер., 9
Список литературы
- Kachanov Y.S. Physical mechanisms of laminar boundary layer transition // Annu. Rev. Fluid Mech.1994. V. 26. P. 411–482.
- Репик Е.У., Соседко Ю.П. Исследование прерывистой структуры течения в пристенной области турбулентного пограничного слоя. Турбулентные течения. – М.: Наука, 1974, 226 с.
- Robinson S.K. Coherent motions in the turbulent boundary layer // Annu. Rev. Fluid Mech 1991. V. 23. P. 601–639.
- Бойко А.В., Грек Г.Р., Довгаль А.В., Козлов В.В. Возникновение турбулентности в пристенных течениях. Новосибирск: Наука, 1999, 328 с.
- Белоцерковский О.М., Хлопков Ю.И., Жаров В.А., Горелов С.Л., Хлопков А.Ю. Организованные структуры в турбулентных течениях. Анализ экспериментальных работ по турбулентному пограничному слою. М.: МФТИ, 2009, 302 с.
- Borodulin V.I., Kachanov Y.S., Roschektayev A.P. The deterministic wall turbulence is possible // Advances in Turbulence XI. Proceedings of 11th EUROMECH European Turbulence Conference, June 25–28, 2007, Porto, Portugal // J.M.L.M. Palma and A. Silva Lopes, eds. – Heidelberg: Springer, 2007. P. 176–178.
- Borodulin V.I., Kachanov Y.S., Roschektayev A.P. Experimental detection of deterministic turbulence // Journal of Turbulence. 2011. V. 12. № 23. P. 1–34.
- Borodulin V.I., Kachanov Y.S. On the reproducibility of instantaneous and statistical characteristics of the deterministic turbulence // Theoretical and Applied Mechanics Letters // 2014. V. 4, 062004.
- Borodulin V.I., Kachanov Y.S. Experimental Study of Reproducibility of Instantaneous Structure of the Deterministic Wall Turbulence // Proceedings of 8th Intl. Symposium on Turbulence and Shear Flow Phenomena-TSFP-8. E.N.S.M.A. Poitiers, France. 2013. P. 1–6.
- Онлайн-курс лекций д.ф.-м.н., профессора Юрия Семеновича Качанова “ИСТОКИ ТУРБУЛЕНТНОСТИ. ФИЗИЧЕСКАЯ ПРИРОДА”. Лекция 7. 11.03.2022: “Детерминированная турбулентность – новый подход к исследованию турбулентности”. https://www.youtube.com/channel/UCyTkQLOSbkb5tecI-STYAbQ
- Жаров В.А. О волновой теории развитого турбулентного пограничного слоя // Ученые записки ЦАГИ. 1986.Т. XVII, № 5. С. 28–38.
- Жаров В.А. Волноводная модель когерентной и стохастической составляющих развитого турбулентного пограничного слоя. // Труды ЦАГИ. 2014, вып. 2731. С. 3–50.
- Жаров В.А., Липатов И.И., Селим Р.С. Волноводная модель организованных структур в турбулентном пограничном слое на пластине с нулевым продольным градиентом давления. // Ученые записки Ц-АГИ. 2020.Т. VI. № 6. С. 51–59.
- Каток A.Б., Хасселблат Б. Введение в современную теорию динамических систем. М.: “ФАКТОРИАЛ”, 1999. С. 768.
- Колмогоров А.Н. Избранные труды Математика и Механика. M: Наука, 1985, 569 с.
- Жаров В.А. Модельное представление когерентной структуры в развитом турбулентном пограничном слое // Ученые записки ЦАГИ. 2014. Т. XLV. № 5. С. 33–46.
- Musker A.J. Explicit expression for the smooth wall velocity distribution in turbulent boundary layer // AIAA Journal. 1979. V. 17 (6). P. 655–657.
- Landahl M.T. A wave-guide model for turbulent shear flow // J. Fluid Mech. 1967. V. 29. Pt. 3. P. 441–459.
- Zelman M.B. Tollmien–Schlichting–wave resonant mechanism for subharmonic–type transition // J. Fluid Mech. 1993. V. 252. P. 449–478.
- Hussain A.K.M.F., Reynolds W.C. The mechanics of an organized wave in turbulent shear flow. Part 2. Experimental results // J. Fluid Mech. 1972. V. 54. P. 241–261.
- Nayfeh A.H. Perturbation Methods. // Wily. 1973. 425 p. (Найфэ А. Методы возмущений. М.: Наука. 1986. 454 с.)
- Zhang W., Liu P., Guo H. Conditional Sampling and Wavelet Analysis in Early Stage of Step-Generated Transition // AIAA J. 2018. V. 56. P. 2471–2477.
- Pushpender K.S., Tapan K.S. Effect of frequency and wave number on the three-dimensional routes of transition by wall excitation // Phys. Fluids. 2019. V. 31. P. 64–107.
- Mathematica 5.0 User’s Guide. Wolfram Research, 2003. P. 1301.
- Селим Р.С. Собственные моды уравнения Орра-Зоммерфельда в развитом турбулентном пограничном слое // Труды МАИ. 2019. Bып № 109, URL: http://trudymai.ru/published.php?ID=111352.
- Жаров В.А., Ле Ван Ха. Построение профиля продольной скорости по заданному касательному напряжению в развитом турбулентном пограничном слое на пластине. Ученые записки ЦАГИ, 2016. № 8. Т. XLVII. С. 50–60.
- Klebanoff P.S. Characteristics of turbulence in a boundary layer with zero pressure gradient. NACA Rep. 1247 (1955) (Шлихтинг Г. Теория пограничного слоя. М.: Физматлит. 1974. 712 с.)
- Spalart P.R. Direct simulation of a turbulent boundary layer up to Reθ = 14000 // J. Fluid Mech. 1988. V. 137. P. 61–98.
- Jimenez J., Hoyas S., Simens M., Mizuno Y. Turbulent boundary layer and channels at moderate Reynold number // J. Fluid Mech. 2010. V. 667. P. 335–360.
- Skote M., Henningson Dan S., and Henkes R.A.W.M. Direct numerical simulation of self-similar turbulent boundary layers in adverse pressure gradients // Flow Turbulence and Combustion. 1998. V.60. № 1. P. 47–85.
- German S., Guillermo A. Reynolds shear stress modeling in turbulent boundary layers’ subject to very strong Favorable Pressure Gradient // Computers and Fluids. 2020. https://doi.org/10.1016/j.compfluid.2020.104494
Дополнительные файлы


















