Numerical Study of Instability of Medium Interface During Thermonuclear Combustion of a Cylindrical Shelled Microtarget
- Authors: Khishchenko K.V.1, Charakhch’yan A.A.2
-
Affiliations:
- Joint Institute for High Temperatures, Russian Academy of Sciences
- Federal Research Center “Computer Science and Control,” Russian Academy of Sciences
- Issue: Vol 63, No 4 (2023)
- Pages: 678-693
- Section: Mathematical physics
- URL: https://journal-vniispk.ru/0044-4669/article/view/136171
- DOI: https://doi.org/10.31857/S0044466923040099
- EDN: https://elibrary.ru/IPFYTI
- ID: 136171
Cite item
Full Text
Abstract
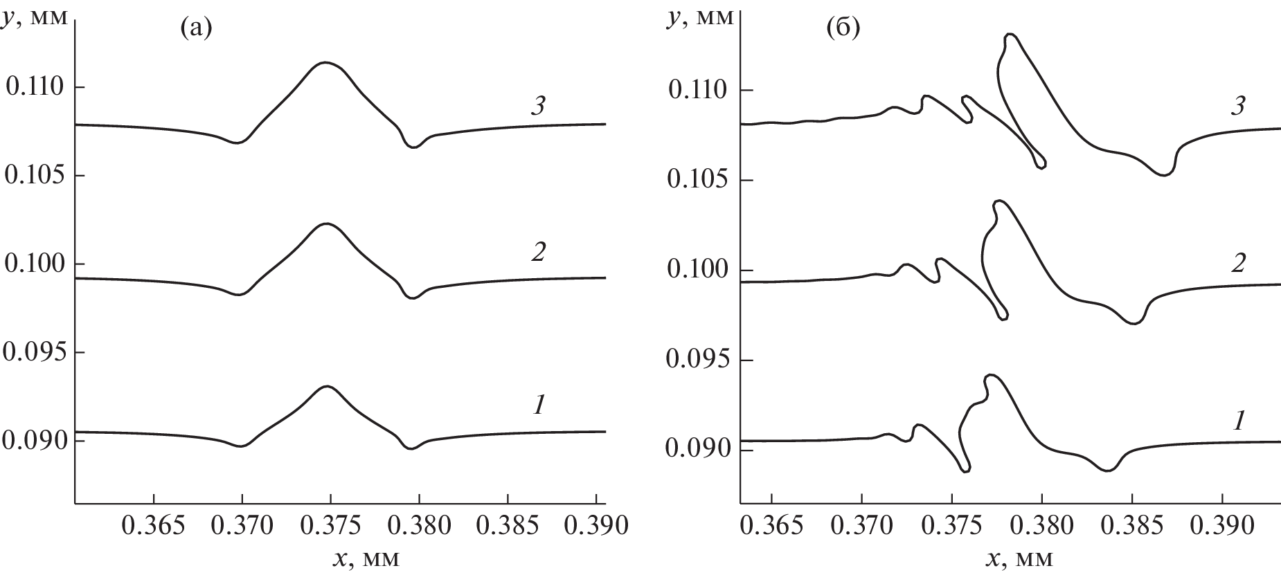
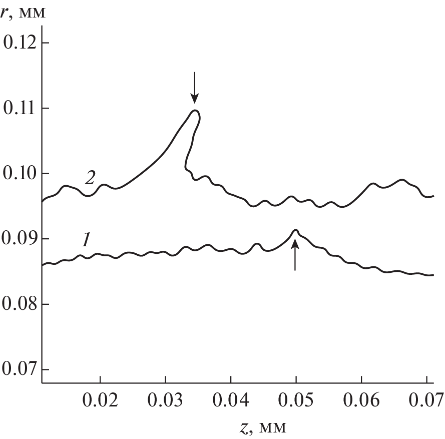
The study is limited to two-dimensional disturbances of the interface between media. A computational technology based on the explicit interface separation in the form of one of the lines of a regular grid is used. A method for visualizing spontaneous disturbances at an early stage when they cannot yet be seen on the interface profile is proposed. It is shown that the computer rounding error plays an insignificant role in their formation. For the late stage of the disturbance development, a method for obtaining the profile of the local oscillation amplitude along the interface is proposed. The features of spontaneous disturbance at different stages of its development are studied. It is shown that the spontaneous disturbance tends to grid convergence, at least until the beginning of the process of formation of a quasi-stationary shockless combustion wave. It is shown that during the formation of a quasi-stationary wave and its subsequent motion, an additional spontaneous disturbance arises. The interaction of a specified sinusoidal disturbance having an initial amplitude of up to 0.1 of the wavelength with a quasi-stationary combustion wave is studied. It is shown that the Kelvin–Helmholtz instability is the main mechanism for the development of instability at the nonlinear stage. The combustion wave is not destroyed. The profiles of the oscillation amplitude of the given disturbance are obtained, from which it is possible to extract the universal time-independent part.
About the authors
K. V. Khishchenko
Joint Institute for High Temperatures, Russian Academy of Sciences
Email: konst@ihed.ras.ru
125412, Moscow, Russia
A. A. Charakhch’yan
Federal Research Center “Computer Science and Control,” Russian Academy of Sciences
Author for correspondence.
Email: chara@ccas.ru
119333, Moscow, Russia
References
- Лебо И.Г., Тишкин В.Ф. Исследование гидродинамической неустойчивости в задачах лазерного термоядерного синтеза методами математического моделирования. М.: Физматлит, 2006.
- Змитренко Н.В., Кучугов П.А., Ладонкина М.Е., Тишкин В.Ф. Моделирование развития неустойчивости Кельвина–Гельмгольца в задачах физики высоких плотностей энергии // Научная визуализация. 2020. Т . 12. № 1. С. 103–111. https://doi.org/10.26583/sv.12.1.09
- Бельков С.А., Бондаренко С.В., Вергунова Г.А. и др. Влияние пространственной неоднородности нагрева на сжатие и горение термоядерной мишени при прямом многопучковом облучении лазерным импульсом мегаджоульного уровня // ЖЭТФ. 2017. Т. 151. № 2. С. 396–408. https://doi.org/10.7868/S0044451017020183
- Гуськов С.Ю., Демченко Н.Н., Змитренко Н.В. и др. Сжатие и горение термоядерной мишени при зажигании фокусирующейся ударной волной в условиях нарушения симметрии облучения лазерными пучками // ЖЭТФ. 2020. Т. 157. № 5. С. 889–900. https://doi.org/10.31857/S0044451020050120
- Долголева Г.В., Лебо И.Г. К вопросу о разработке нейтронного источника для ядерно-термоядерного реактора с лазерным возбуждением // Квантовая электроника. 2019. Т. 49. № 8. С. 796–800.
- Долголева Г.В., Лебо А.И., Лебо И.Г. Моделирование сжатия термоядерных мишеней на уровне энергии лазера порядка 1 МДж // Матем. моделирование. 2016. Т. 28. № 1. С. 23–32.
- Тишкин В.Ф., Гасилов В.А., Змитренко Н.В. и др. Современные методы математического моделирования развития гидродинамических неустойчивостей и турбулентного перемешивания // Матем. моделирование. 2020. Т. 32. № 8. С. 57–90. https://doi.org/10.20948/mm-2020-08-05
- Аврорин Е.Н., Бунатян А.А., Гаджиев А.Д. и др. Численные расчеты термоядерной детонации в плотной плазме // Физика плазмы. 1984. Т. 10. Вып. 3. С. 514–521.
- Basko M.M., Churazov M.D., Aksenov A.G. Prospects of heavy ion fusion in cylindrical geometry // Laser and Particle Beams. 2002. V. 20. P. 411–414. https://doi.org/10.1017/S0263034602203080
- Vatulin V.V., Vinokurov O. A. Fast ignition of the DT fuel in the cylindrical channel by heavy ion beams // Laser and Particle Beams. 2002. V. 20. P. 415–418. https://doi.org/10.1017/S0263034602203092
- Ramis R., Meyer-ter-Vehn J. On thermonuclear burn propagation in a pre-compressed cylindrical DT target ignited by a heavy ion beam pulse // Laser and Particle Beams. 2014. V. 32. P. 41–47. https://doi.org/10.1017/S0263034613000839
- Basov N.G., Gus’kov S.Yu., Feoktistov L.P. Thermonuclear gain of ICF targets with direct heating of ignitor // J. Sov. Laser Res. 1992. V. 13. № 5. P. 396–399. https://doi.org/10.1007/BF01124892
- Tabak M., Hammer J., Glinsky M.E., et al. Ignition and high gain with ultrapowerful lasers // Phys. Plasmas. 1994. V. 1. № 5. P. 1626–1634. https://doi.org/10.1063/1.870664
- Фролова А.А., Хищенко К.В., Чарахчьян А.А. Быстрое зажигание пучком протонов и горение цилиндрической оболочечной DT-мишени // Физика плазмы. 2019. Т. 45. № 9. С. 804–824. https://doi.org/10.1134/S0367292119080043
- Ландау Л.Д., Лифшиц Е.М. Гидродинамика. М.: Наука, 1986.
- Феоктистов Л.П. Термоядерная детонация //УФН. 1998. Т. 168. № 11. С. 1247–1255. https://doi.org/10.3367/UFNr.0168.199811f.1247
- Хищенко К.В., Чарахчьян А.А. Отражение детонационной волны от плоскости симметрии внутри цилиндрической мишени для управляемого термоядерного синтеза // Ж. вычисл. матем. и матем. физ. 2021. Т. 61. № 10. С. 131–149. https://doi.org/10.31857/S0044466921100069
- Richtmyer R.D. Taylor instability in shock acceleration of compressible fluids // Commun. Pure Appl. Math. 1960. V. 13. P. 297–319. https://doi.org/10.1002/cpa.3160130207
- Дразин Ф. Введение в теорию гидродинамической устойчивости. М.: Физматлит, 2005.
- Васильев А.А., Троцюк А.В. Экспериментальное исследование и численное моделирование расширяющейся многофронтовой детонационной волны // Физика горения и взрыва. 2003. Т. 39. № 1. С. 92–103.
- Чарахчьян А.А. Неустойчивость Рихтмайера–Мешкова границы раздела сред при прохождении через нее двух последовательных ударных волн // Приклад. мех. и техн. физ. 2000. Т. 41. № 1. С. 28–37.
- Charakhch’yan A.A. Reshocking at the non-linear stage of Rictmyer–Meshkov instability // Plasma Phys. Controlled Fusion. 2001. V. 43. P. 1169–1179. https://doi.org/10.1088/0741-3335/43/9/301
- Schilling O., Latini M., Don M.S. Erratum: Physics of reshock and mixing in single-mode Richtmyer–Meshkov instability [Phys. Rev. E 76, 026319 (2007)] // Phys. Rev. E. 2012. V. 85. P. 049904(E). https://doi.org/10.1103/PhysRevE.85.049904
- Федоренко Н.В. Ионизация при столкновениях ионов с атомами // УФН. 1959. Т. 68. № 8. С. 481–511. https://doi.org/10.3367/UFNr.0068.195907g.0481
- Khishchenko K.V. Equations of state for two alkali metals at high temperatures // J. Phys.: Conf. Ser. 2008. V. 98. P. 032023. https://doi.org/10.1088/1742-6596/98/3/032023
- Charakhch’yan A.A., Khishchenko K.V. Plane thermonuclear detonation waves initiated by proton beams and quasi-one-dimensional model of fast ignition // Laser and Particle Beams. 2015. Vol. 33. P. 65–80. https://doi.org/10.1017/S0263034614000780
- Калиткин Н.Н. Модель атома Томаса–Ферми с квантовыми и обменными поправками // ЖЭТФ. 1960. Т. 38. № 5. С. 1534–1540.
- Калиткин Н.Н., Кузьмина Л.В. Таблицы термодинамических функций вещества при высокой концентрации энергии. Препринт ИПМ АН СССР 14., 1976.
- Holzapfel W.B. Equation of state for Cu, Ag, and Au and problems with shock wave reduced isotherms // High Pressure Res. 2010. V. 30. P. 372–394. https://doi.org/10.1080/08957959.2010.494845
- Баско М.М. Диффузионное описание переноса энергии заряженными продуктами термоядерных реакций // Физика плазмы. 1987. Т. 13. № 8. С. 967–973.
- Hirt C.W., Amsden A.A., Cook J.L. An arbitrary Lagrangian–Eulerian computing method for all flow speeds // J. Comput. Phys. 1974. V. 14. № 3. P. 227–253.
- Van Leer B. A second-order sequel to Godunov’s method // J. Comput. Phys. 1979. V. 32. № 1. P. 101–136.
- Родионов А.В. Повышение порядка аппроксимации схемы С. К. Годунова // Ж. вычисл. матем. и матем. физ. 1987. Т. 27. № 12. С. 1853–1860.
- Colella P., Woodward P.R. The piecewise parabolic method (PPM) for gas-dynamical simulations // J. Comput. Phys. 1984. V. 54. P. 174–201. https://doi.org/10.1016/0021-9991(84)90143-8
- Чарахчьян А.А. Расчет сжатия дейтерия в конической мишени в рамках уравнений Навье–Стокса для двухтемпературной магнитной гидродинамики // Ж. вычисл. матем. и матем. физ. 1993. Т. 33. № 5. С. 766–784.
- Де Бор К. Практическое руководство по сплайнам. М.: Радио и связь, 1985.
- Годунов С.К., Забродин А.В., Иванов М.Я. и др. Численное решение многомерных задач газовой динамики. М.: Наука, 1976.
- Грынь В.И., Фролова А.А., Чарахчьян А.А. Сеточный генератор барьерного типа и его применение для расчета течений с подвижными границами // Ж. вычисл. матем. и матем. физ. 2003. Т. 43. № 6. С. 904–917.
- Charakhch’yan A.A., Ivanenko S.A. A variational form of the Winslow grid generator // J. Comput. Phys. 1997. V. 136. P. 385–398. https://doi.org/10.1006/jcph.1997.5750
- Иваненко С.А. Построение невырожденных сеток // Ж. вычисл. матем. и матем. физ. 1988. Т. 28. № 10. С. 1498–1506.
- Meyer K.A., Blewett P.J. Numerical investigation of the stability of a shock-accelerated interface between two fluids // Phys. Fluids. 1972. V. 15. № 5. P. 753–759.
Supplementary files















