Quasi-Gasdynamic Model and Numerical Algorithm for Describing Mixtures of Different Fluids
- Авторлар: Elizarova T.G.1, Shil’nikov E.V.1
-
Мекемелер:
- Federal Research Center Keldysh Institute of Applied Mathematics, Russian Academy of Sciences
- Шығарылым: Том 63, № 7 (2023)
- Беттер: 1193-1205
- Бөлім: Mathematical physics
- URL: https://journal-vniispk.ru/0044-4669/article/view/136194
- DOI: https://doi.org/10.31857/S0044466923070050
- EDN: https://elibrary.ru/ZXOZPY
- ID: 136194
Дәйексөз келтіру
Толық мәтін
Аннотация
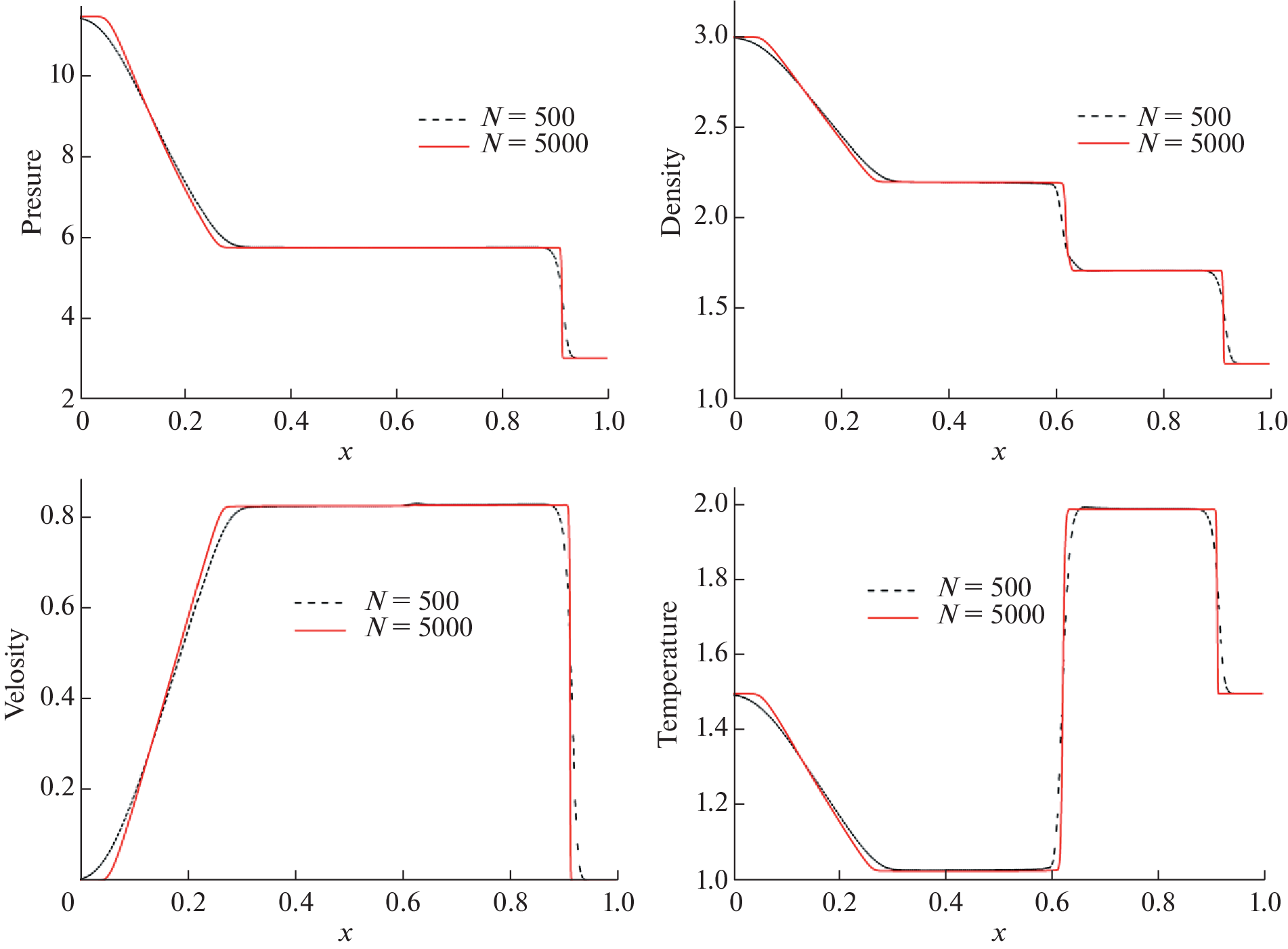
An elegant and easy-to-implement numerical algorithm for simulating flows of homogeneous gas mixtures with component temperatures and velocities assumed to be equal is constructed and tested. The algorithm yields monotone density profiles for the components even if their specific heat ratios are widely different. The algorithm can be used to simulate some flows of gas–liquid mixtures.
Авторлар туралы
T. Elizarova
Federal Research Center Keldysh Institute of Applied Mathematics, Russian Academy of Sciences
Email: telizar@mail.ru
125047, Moscow, Russia
E. Shil’nikov
Federal Research Center Keldysh Institute of Applied Mathematics, Russian Academy of Sciences
Хат алмасуға жауапты Автор.
Email: shilnikov@imamod.ru
125047, Moscow, Russia
Әдебиет тізімі
- Лифшиц Е.М., Питаевский Л.П. Физическая кинетика. М.: Физматлит, 2002.
- Зельдович Я.Б., Райзер Ю.П. Физика ударных волн и высокотемпературных гидродинамических явлений. М.: Наука, 1966.
- Головачев Ю.П. Численное моделирование течений газа в ударном слое. М.: Наука, Физматлит, 1996.
- Елизарова Т.Г. Квазигазодинамические уравнения и методы расчета газодинамических течений. М.: Научный мир, 2007.
- Elizarova T.G., Zlotnik A.A., Shil’nikov E.V. Regularized equations for numerical simulation of flows of homogeneous binary mixtures of viscous compressible gases // Comp. Math. and Math. Phys. 2019. V. 59. № 11. P. 1832–1847.https://doi.org/10.1134/S0965542519110058
- Elizarova T.G., Shil’nikov E.V. Numerical simulation of gas mixtures based on the quasi-gasdynamic approach as applied to the interaction of shock wave with a gas bubble // Comp. Math. and Math. Phys. 2021. V. 61. № 1. P. 118–128.https://doi.org/10.1134/S096554252101004
- Shilnikov E.V., Elizarova T.G. About one numerical method of compressible multifluid flow modelling in Euler formulation. In: Proc. IRF2020: 7th Inter. Conf. Integrity–Reliability–Failure. J.F. Silva Gomes and S.A. Meguid (ed.), INEGI-FEUP, 2020. P. 613–622.
- Хайталиев И.Р., Шильников Е.В. Исследование свойств квазигазодинамической системы уравнений на решении задачи Римана для смеси газов. Препринт ИПМ им. М.В. Келдыша РАН, № 52 2021 г. (перевод: Shilnikov E.V., Khaytaliev I.R. Investigation of the properties of a quasi-gas-dynamic system of equations based on the solution of the Riemann problem for a mixture of gases. Preprints KIAM RAS, 2021, № 52, 12 p).
- Abgrall R., Karni S. Computations of compressible multifluids // J. Comp. Phys. 2001. № 2. P. 594–623.
- Banks J.W., Schwendeman D.W., Karila A.K., Henshaw W.D. A high-resolution Godunov method for compressible multi-material flow on overlapping grids // J. Comp. Phys. 2007. V. 223. Iss. 1. P. 262–297.
- Borisov V.E. and Rykov Yu.G. Modified Godunov method for multicomponent flow simulation // J. Phys.: Conf. Ser. 2019. 1250 012006. https://doi.org/10.1088/1742-6596/1250/1/012006
- Борисов В.Е., Рыков Ю.Г. Численное моделирование течений многокомпонентных газовых смесей с использованием метода двойного потока // Матем. моделирование. 2020. Т. 32. № 9. С. 15–29.
- Zlotnik A., Fedchenko A., Lomonosov T. Entropy correct spatial discretizations for 1D regularized systems of equations for gas mixture dynamics // Symmetry. 2022. V. 14. P. 2171.https://doi.org/10.3390/sym14102171
- github.com/unicfdlab/QGDsolver
- Kraposhin M.V., Smirnova E.V., Elizarova T.G., Istomina M.A. Development of a new OpenFOAM solver using regularized gas dynamic equations // Comp. & Fluid. 2018. V. 166. P. 163–175.https://doi.org/10.1016/j.compfluid.2018.02.010
- Елизарова Т.Г. Осреднение по времени как приближенный способ построения квазигазодинамических и квазигидродинамических уравнений // Ж. вычисл. матем. и матем. физ. 2011. Т. 51. № 11. С. 2096–2105 (перевод: Elizarova T.G. Time averaging as an approximate technique for constructing quasi-gasdynamic and quasi-hydrodynamic equations // Comp. Math. and Math. Phys. 2011. V. 51. № 11. P. 1973–1982).
- Шеретов Ю.В. Динамика сплошных сред при пространственно-временном осреднении. М.-Ижевск, 2009.
- Denner F., Cheng-Nian Xiao, Berend G.M. van Wachem Pressure-based algorithm for compressible interfacial flows with acoustically-conservative interface discretization // J. Comp. Phys. 2018. V. 367. P. 192–234. ISSN 0021-9991.https://doi.org/10.1016/j.jcp.2018.04.028
- Keiichi Kitamura, Meng-Sing Liou1, Chih-Hao Chang Extension and comparative study of AUSM-family schemes for compressible multiphase flow simulations // Commun. Comp. Phys. 2014. V. 16. № 3. C. 632–674. https://doi.org/10.4208/cicp.020813.190214a
- Liou, Meng-Sing, Chih Chang, Loc Hoang Nguyen, Theo G. Theofanous How to solve compressible multifluid equations: a simple, robust and accurate method // AIAA J. 2007. V. 46. P. 2345–2356.
Қосымша файлдар










