Data Parallelization Algorithms for the Direct Simulation Monte Carlo Method for Rarefied Gas Flows on the Basis of OpenMP Technology
- Authors: Bykov N.Y.1,2, Fyodorov S.A.1,2
-
Affiliations:
- Federal Research Center “Computer Science and Control” of the Russian Academy of Sciences
- Peter the Great St. Petersburg Polytechnic University
- Issue: Vol 63, No 12 (2023)
- Pages: 1993-2015
- Section: Mathematical physics
- URL: https://journal-vniispk.ru/0044-4669/article/view/233019
- DOI: https://doi.org/10.31857/S0044466923120086
- EDN: https://elibrary.ru/JAJPFH
- ID: 233019
Cite item
Full Text
Abstract
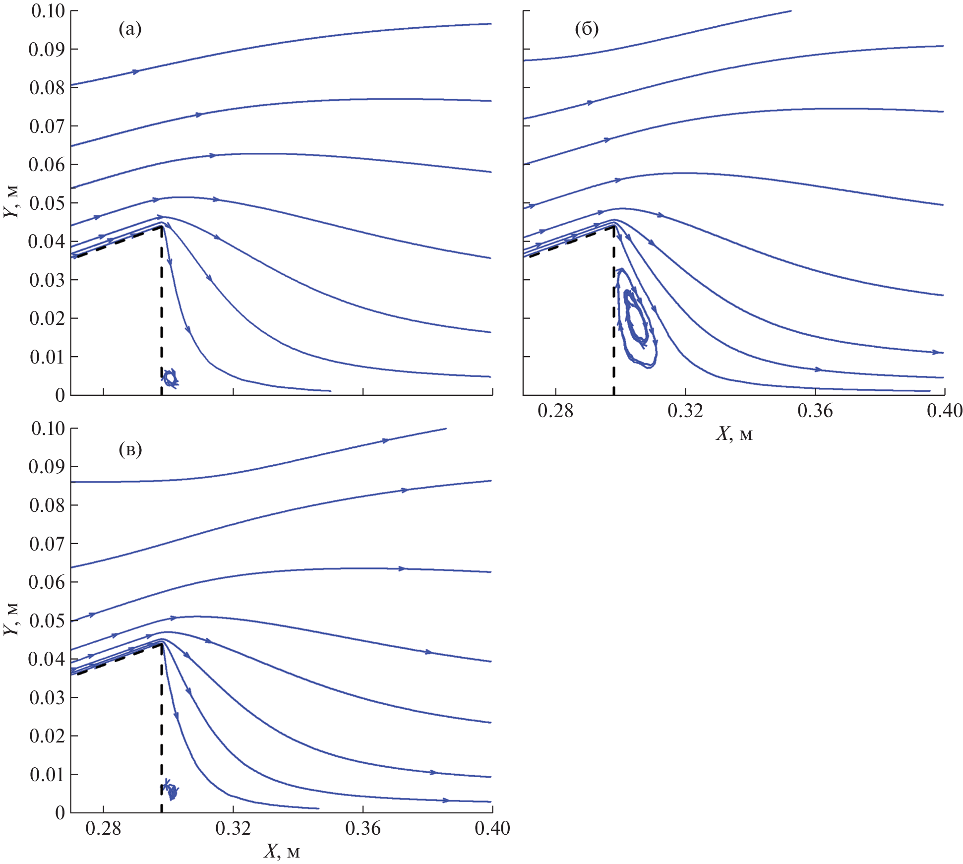
A data parallelization algorithm for the direct simulation Monte Carlo method for rarefied gas flows is considered. The scaling of performance of the main algorithm procedures are analyzed. Satisfactory performance scaling of the parallel particle indexing procedure is shown, and an algorithm for speeding up the operation of this procedure is proposed. Using examples of solving problems of free flow and flow around a cone for a 28-core node with shared memory, an acceptable speedup of the entire algorithm was obtained. The efficiency of the data parallelization algorithm and the computational domain decomposition algorithm for free flow is compared. Using the developed parallel code, a study of the supersonic rarefied flow around a cone is carried out.
About the authors
N. Yu. Bykov
Federal Research Center “Computer Science and Control” of the Russian Academy of Sciences; Peter the Great St. Petersburg Polytechnic University
Email: nbykov2006@yandex.ru
119333, Moscow, Russia; 195251, St. Petersburg, Russia
S. A. Fyodorov
Federal Research Center “Computer Science and Control” of the Russian Academy of Sciences; Peter the Great St. Petersburg Polytechnic University
Author for correspondence.
Email: nbykov2006@yandex.ru
119333, Moscow, Russia; 195251, St. Petersburg, Russia
References
- Boltzmann L. Weitere studien über das wärmegleichgewicht unter gasmolecülen // Wien. Acad. Sitzungsber. 1872. № 66. P. 275–370.
- Нагнибеда Е.А., Кустова Е.В. Кинетическая теория процессов переноса и релаксации в потоках неравновесных реагирующих газов. СПб.: Изд-во Санкт-Петербургского гос. ун-та, 2003. 272 с.
- Додулад О.И., Клосс Ю.Ю., Потапов А.П., Черемисин Ф.Г., Шувалов П.В. Моделирование течений разреженного газа на основе решения кинетического уравнения Больцмана консервативным проекционным методом // Ж. вычисл. матем. и матем. физ. 2016. Т. 56. № 6. С. 89–105.
- Черемисин Ф.Г. Решение уравнения Больцмана в режиме сплошной среды // Ж. вычисл. матем. и матем. физ. 2023. Т. 63. № 2. С. 336–348.
- Bhatnagar P.L., Gross E.P., Krook M. Model for collision processes in gases. I. Small amplitude processes in charged and neutral one-component systems // Phys. Rev. 1954. Rev. 94. P. 511–524.
- Shakhov E.M. Generalization of the Krook kinetic relaxation equation // Fluid Dynamics. 1968. V. 3. № 5. P. 95–96.
- Шахов Е.М. Метод исследования движений разреженного газа. М.: Наука, 1974. 205 с.
- Titarev V.A. Application of the Nesvetay Code for Solving Three-Dimensional High-Altitude Aerodynamics Problems // Comput. Math. and Math. Phys. 2020. V. 60. № 4. P. 737–748.
- Titarev V.A., Morozov A.A. Arbitrary Lagrangian-Eulerian discrete velocity method with application to laser-induced plume expansion // Appl. Math. and Comput. VSI:Num Hyp. 2022. V. 429. P. 127241.
- Pfeiffer M., Mirza A., Nizenkov P. Multi-species modeling in the particle-based ellipsoidal statistical Bhatnagar-Gross-Krook method for monatomic gas species // Phys. of Fluids. 2021. V. 33. P. 036106.
- Берд Г. Молекулярная газовая динамика. М.: Мир, 1981.
- Bird G.A. Molecular gas dynamics and the direct simulation of gas flows. Oxford: Clarenton Press, 1994.
- Bird G.A. The DSMC Method. CreateSpace Independent Publishing Platform, 2013.
- Bird G.A. Approach to translational equilibrium in a rigid sphere gas // Phys. Fluids. 1963. V. 6. P. 1518–1519.
- Dietrich S., Boyd I.D. Scalar and parallel optimized implementation of the direct simulation Monte Carlo method // J. Comput. Phys. 1996. V. 126. № 2. P. 328–342.
- Ivanov M., Kashkovsky A., Gimelshein S., Markelov G., Alexeenko A., Bondar Y.A., Zhukova G., Nikiforov S., Vaschenkov P. SMILE system for 2D/3D DSMC computations // Proc. of 25th Internat. Symposium on Rarefied Gas Dynamics. St. Petersburg, Russia. 2006. P. 21–28.
- Bykov N.Y., Gorbachev Yu.E. Cluster formation in copper vapor jet expanding into vacuum: the direct simulation Monte Carlo. Vacuum. 2019. V. 163. P. 119–127.
- Plimpton S.J., Moore S.G., Borner A., Stagg A.K., Koehler T.P., Torczynski J.R., Gallis M.A. Direct simulation Monte Carlo on petaflop supercomputers and beyond // Phys. Fluids. 2019. V. 31. P. 086101.
- Scanlon T., White C., Borg M.K., Cassineli P.R., Farbar E., Boyd I.D., Reese J., Brown R. Open source Direct Simulation Monte Carlo (DSMC) chemistry modelling for hypersonic flows // AIAA Journal. 2015. V. 53. № 6. P. 1670–1680.
- Иванов М.С., Рогазинский С.В. Метод прямого статистического моделирования в динамике разреженного газа // М.: ВЦ СО АН СССР. 1988. С. 177.
- Stefanov S., Roohi E., Shoja-Sani A. A novel transient-adaptive subcell algorithm with a hybrid application of different collision techniques in direct simulation Monte Carlo (DSMC) // Physics of Fluids. 2022. V. 34. P. 092003.
- Wilmoth R.G. Application of a parallel direct simulation Monte Carlo method to hypersonic rarefied flows // AIAA Journal. 1992. V. 30. № 10. P. 2447–2452.
- Ivanov M., Markelov G., Taylor S., Watts J. Parallel DSMC strategies for 3D computations // Proc. parallel CFD’96. North Holland, Amsterdam, 1997. P. 485–492.
- Kyun Ho Lee, Seok Weon Choi Interaction effect analysis of thruster plume on LEO satellite surface using parallel DSMC method // Comput. & Fluids. 2013. V. 80. P. 333–341.
- Revathi Jambunathan, Deborah A. Levin. Advanced Parallelization Strategies Using Hybrid MPI-CUDA Octree DSMC Method for Modeling Flow Through Porous Media // Comput. and Fluids. 2017. V. 149. P. 70–87.
- Гришин И.А., Захаров В.В., Лукьянов Г.А. Параллелизация по данным прямого моделирования Монте‑Карло в молекулярной газовой динамике // Препринт № 3–98. Институт высокопроизводительных вычислений и баз данных. Санкт-Петербург. 1998.
- Быков Н.Ю., Лукьянов Г.А. Параллельное прямое моделирование Монте-Карло нестационарных течений разреженного газа на суперкомпьютерах массивно-параллельной архитектуры // Препринт № 5–97. Институт высокопроизводительных вычислений и баз данных. Санкт-Петербург. 1998.
- Быков Н.Ю., Горбачев Ю.Е., Лукьянов Г.А. Параллельное прямое моделирование методом Монте-Карло истечение газа в вакуум от импульсного источника // Теплофиз. и аэромеханика. 1998. Т. 5. № 3. С. 439–445.
- Shamseddine M., Lakkis I. A Novel Spatio-Temporally Adaptive Parallel Three-Dimensional DSMC Solver for Unsteady Rare Þed Micro/Nano Gas Flows // Comput. and Fluids. 2019. Vol. 186. P. 1–14.
- Wolfgang Wagner. A Convergence Proof for Bird’s Direct Simulation Monte-Carlo Method for the Boltzmann Equation // J. of Statistical Physics. 1992. V. 66. № 3/4. P. 1011–1044.
- Gao D., Schwartzentruber T.E. Optimizations and Open MP implementation for the direct simulation Monte Carlo method // Comput. & Fluids. 2011. V. 42. P. 73–81.
- Vogenitz F.W., Takata G.Y. Rarefied hypersonic flow about cones and flat plates by Monte Carlo simulation // AIAA Journal. 1971. V. 9. Iss. 1. P. 94–100.
- Ерофеев А.И. Расчет обтекания конуса под углом атаки гиперзвуковым потоком разреженного газа // Уч. Зап. ЦАГИ. 1979. Т. 10. № 6. С. 122–127.
- Ларина И.Н., Рыков В.А. Пространственное обтекание конических тел потоком разреженного газа // Ж. вычисл. матем. и матем. физ. 1989. Т. 29. № 1. С. 110–117.
- Taylor J.C., Moss J.N., Hassan H.A. Study of hypersonic flow past sharp cones // AIAA. 1989. P. 89–1713.
- Краснов Н.Ф. Аэродинамика тел вращения. М.: Машиностр., 1964. 572 с.
- Kopal Z. Tables of supersonic flow around Cones. Technical report N. 1. MIT., 1947.
- Tskhakaya D., Schneider R. Optimization of PIC codes by improved memory management // J. of Comput. Phys. 2007. V. 225. P. 829–839.
- Романенко А.А., Снытников А.В. Оптимизация переупорядочивания модельных частиц при реализации метода частиц в ячейках на GPU // Вестн. Новосибирского гос. ун-та. Серия: Информационные технологии. 2019. Т. 17. № 1. С. 82–89.
Supplementary files





















