Анализ влияния квантовых эффектов на оптические характеристики плазмонных наночастиц методом дискретных источников
- Авторы: Еремин Ю.А.1, Лопушенко В.В.1
-
Учреждения:
- МГУ им. М.В. Ломоносова, ВМК
- Выпуск: Том 63, № 11 (2023)
- Страницы: 1911-1921
- Раздел: МАТЕМАТИЧЕСКАЯ ФИЗИКА
- URL: https://journal-vniispk.ru/0044-4669/article/view/233023
- DOI: https://doi.org/10.31857/S004446692311011X
- EDN: https://elibrary.ru/KSAEFB
- ID: 233023
Цитировать
Полный текст
Аннотация
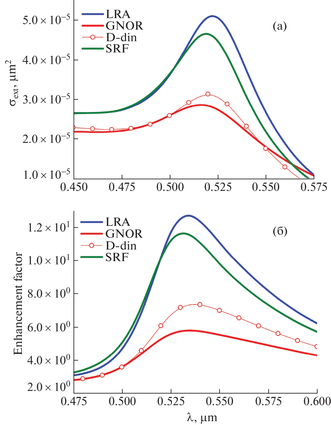
Метод дискретных источников адаптирован для исследования проявления поверхностных квантовых эффектов, основанных на мезоскопических граничных условиях с параметрами Фейбельмана. Проводится сравнительный анализ влияния объемных эффектов нелокальности в рамках теории обобщенного нелокального отклика и поверхностных эффектов на оптические характеристики золотых и серебряных наночастиц. Установлено, что если учет эффекта нелокальности для благородных металлов всегда сопровождается снижением амплитуды и сдвигом в коротковолновую область, то влияние поверхностного эффекта существенно зависит от геометрии частиц. При этом мезоскопические граничные условия в значительной степени восстанавливают амплитуду плазмонного резонанса по сравнению с объемным эффектом нелокальности. Это различие особенно заметно при сравнительном анализе коэффициента усиления поля на поверхности частиц. Также установлено существенное отличие в поведении плазмонного резонанса для золотых и серебряных частиц для случая мезоскопических граничных условий. Библ. 27. Фиг. 6.
Об авторах
Ю. А. Еремин
МГУ им. М.В. Ломоносова, ВМК
Email: eremin@cs.msu.ru
Россия, 119991, Москва, Ленинские горы, 1, стр. 52
В. В. Лопушенко
МГУ им. М.В. Ломоносова, ВМК
Автор, ответственный за переписку.
Email: lopushnk@cs.msu.ru
Россия, 119991, Москва, Ленинские горы, 1, стр. 52
Список литературы
- Barnes W.L., Dereux A., Ebbesen T.W. Surface plasmon subwavelength optics // Nature. 2003. V. 424. P. 824.
- Chon J.W.M., Iniewski K. Nanoplasmonics. Advanced Device Applications. CRC Press. 2018.
- Shi H., Zhu X., Zhang S. et al. Plasmonic metal nanostructures with extremely small features: new effects, fabrication and applications // Nanoscale Adv. 2021. V. 3. P. 4349.
- David C., Garcìa de Abajo F.J. Surface Plasmon Dependence on the Electron Density Profile at Metal Surfaces // ACS Nano. 2014. V. 8. № 9. P. 9558.
- Zhu W., Esteban R., Borisov A.G. et al. Quantum mechanical effects in plasmonic structures with subnanometre gaps // Nat. Commun. 2016. V. 7. 11495.
- Ullrich C.A. Time-Dependent Density-Functional Theory: Concepts and Applications. OUP Oxford. 2011.
- Sinha-Roy R., Garcìa-Gonźlez P., Weissker H.-C. et al. Classical and ab initio plasmonics meet at sub-nanometric noble metal rods // ACS Photonics. 2017. V. 4. № 6. P. 1484.
- Toscano G., Straubel J., Kwiatkowski A. et al. Resonance shifts and spill-out effects in self-consistent hydrodynamic nanoplasmonics // Nat. Commun. 2015. V. 6. № 1. P. 7132.
- Mortensen N.A., Raza S., Wubs M. et al. A generalized non-local optical response theory for plasmonic nanostructures // Nat. Commun. 2014. V. 5. 3809.
- Kupresak M., Zheng X., Gae V., Moshchalkov V.V. Appropriate nonlocal hydro- dynamic models for the characterization of deep-nanometer scale plasmonic scatterers // Adv. Theory Simul. 2019. V. 3. 1900172.
- Feibelman P.J. Surface electromagnetic fields // Prog. Surf. Sci. 1982. V. 12. 287.
- Deng H.-Y. A theory of electrodynamic response for bounded metals: Surface capacitive effects // Ann. Phys. 2020. V. 418. 168204.
- Yang Y., Zhu D., Yan W. et al. A general theoretical and experimental framework for nanoscale electromagnetism // Nature (London). 2019. V. 576. 248.
- Gonçalves P.A.D., Christensen T., Rivera N. et al. Plasmon–emitter interactions at the nanoscale // Nat. Commun. 2020. V. 11. 366.
- Stamatopoulou P.E., Tserkezis C. Finite-size and quantum effects in plasmonics: manifestations and theoretical modelling [Invited] // Optical Materials Express. 2022. V. 12. № 5. P. 1869.
- Mortensen N.A. Mesoscopic electrodynamics at metal surfaces (Review) // Nanophotonics 2021. V. 10. № 10. P. 2563.
- Yang F., Ding K. Transformation optics approach to mesoscopic plasmonics // Phys. Rev. B. 2022. V. 105. L121410.
- Mortensen N.A., Gonçalves P.A.D., Shuklin F.A. et al. Surface-response functions obtained from equilibrium electron-density profiles // Nanophotonics. 2021. V. 10. № 14. P. 3647.
- Еремин Ю.А., Свешников А.Г. Математическая модель учета эффекта нелокальности плазмонных структур на основе метода дискретных источников // Ж. вычисл. матем. и матем. физ. 2018. Т. 58. № 4. С. 586.
- Еремин Ю.А., Свешников А.Г. Квазиклассические модели квантовой наноплазмоники на основе метода Дискретных источников (обзор) // Журн. вычисл. матем.и матем. физ. 2021. Т. 61. № 4. С. 34.
- Doicu A., Eremin Yu., Wriedt T. Acoustic and Electromagnetic Scattering Analysis Using Discrete Sources. San Diego: Academic Press, 2000.
- Еремин Ю.А., Свешников А.Г. Математические модели задач нанооптики и биофотоники на основе метода дискретных источников // Ж. вычисл. матем. и матем. физ. 2007. Т. 47. № 2. С. 266.
- Бахвалов Н.С. Численные методы. М.: Наука, 1975.
- Колтон Д., Кресс Р. Методы интегральных уравнений в теории рассеяния. М.: Мир, 1987.
- Еремин Ю.А., Захаров Е.В. Аналитическое представление для интегрального поперечника рассеяния в рамках интегрофункционального метода Дискретных источников // Дифференц. ур-ния. 2022. Т. 58. № 8. С. 1073.
- Svendsen M.K., Wolff C., Jauho A.-P. et al. Role of diffusive surface scattering in nonlocal plasmonics // J. Phys.: Condens. Matter. 2020. V. 32. 395702.
- Echarri R.A., Gonçalves P.A.D., Tserkezis C. et al. Optical response of noble metal nanostructures: Quantum surface effects in crystallographic facets // Optica. 2021. V. 8. № 5. P. 710.
Дополнительные файлы









