Исследование неклассического переноса с применением численных методов решения уравнения Больцмана
- Авторы: Аристов В.В.1, Воронич И.В.1, Забелок С.А.1
-
Учреждения:
- ФИЦ ИУ РАН
- Выпуск: Том 63, № 12 (2023)
- Страницы: 2025-2034
- Раздел: МАТЕМАТИЧЕСКАЯ ФИЗИКА
- URL: https://journal-vniispk.ru/0044-4669/article/view/233028
- DOI: https://doi.org/10.31857/S0044466923120050
- EDN: https://elibrary.ru/JBEPWO
- ID: 233028
Цитировать
Полный текст
Аннотация
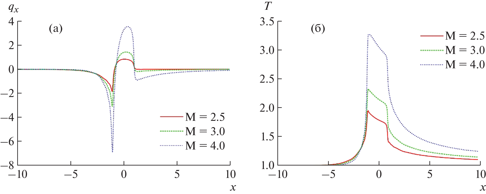
Рассмотрено современное состояние исследований неравновесных течений газа с неклассическим переносом, в которых принципиально нарушаются законы Стокса и Фурье (и соответственно метод Чепмена–Энскога неприменим). Для надежного подтверждения эффектов используются расчетные методы различной природы: прямое решение уравнения Больцмана и прямое моделирование Монте-Карло. Неклассический аномальный перенос проявляется на масштабах 5–10 длин свободного пробега, что подтверждает тот факт, что необходимым условием эффектов является сильная неравновесность течения. Рассмотрены двумерные задачи о сверхзвуковом течении около плоской пластины в переходном режиме, а также о сверхзвуковом потоке через мембраны (сетки), где за сеткой течение соответствует задаче о пространственно неоднородной релаксации. В этой области формируются неравновесные распределения, демонстрирующие аномальный перенос. Обсуждается связь эффекта со вторым началом термодинамики, рассматриваются возможности для экспериментальной проверки, а также намечаются перспективы создания на этой основе некоторых новых микроприборов.
Об авторах
В. В. Аристов
ФИЦ ИУ РАН
Email: aristovvl@yandex.ru
Россия, 117333, Москва, ул. Вавилова, 44
И. В. Воронич
ФИЦ ИУ РАН
Email: i.voronich@frccsc.ru
Россия, 119333, Москва, ул. Вавилова, 40
С. А. Забелок
ФИЦ ИУ РАН
Автор, ответственный за переписку.
Email: aristovvl@yandex.ru
Россия, 117333, Москва, ул. Вавилова, 44
Список литературы
- Akhlaghi H., Roohi E., Stefanov S. A comprehensive review on micro- and nano-scale gas flow effects: slip-jump phenomena, Knudsen paradox, thermally-driven flows, and Knudsen pumps // Phys. Reports. 2023. 997. P. 1–60.
- Holway L. Existence of kinetic theory solutions to the shock structure problem // Phys. Fluids. 1964. 7. P. 911–913.
- Коган М.Н. Динамика разреженного газа. Кинетическая теория. М.: Наука, 1967.
- Бишаев А.М., Рыков В.А. О продольном потоке тепла в течении Куэтта // Изв. АН СССР. МЖГ. 1980. № 3. С. 162–166.
- Aristov V.V. A steady state, supersonic flow solution of the Boltzmann equation // Phys. Letters A. 1998. 250. P. 354–359.
- Aristov V.V., Frolova A.A., Zabelok S.A. A new effect of the nongradient transport in relaxation zones // Europhys. Letters. 2009. V. 88. 30012.
- Aristov V.V., Frolova A.A., Zabelok S.A. Supersonic flows with nontraditional transport described by kinetic methods // Commun. Comput. Phys. 2012. V. 11. P. 1334–1346.
- Aristov V.V., Frolova A.A., Zabelok S.A. Nonequilibrium kinetic processes with chemical reactions and complex structures in open systems // Europhys. Letters. 2014. 106. 20002.
- Ilyin O.V. Anomalous heat transfer for an open non-equilibrium gaseous system // J. Stat. Mech. Theory Exp. 2017. 053201.
- Аристов В.В., Фролова А.А., Забелок С.А. Возможность аномального теплопереноса в течениях с неравновесными граничными условиями // Докл. АН. 2017. V. 473. № 3. С. 286–290.
- Myong R.S. A full analytical solution for the force-driven compressible Poiseuille gas flow based on a non-linear coupled constitutive relation // Phys. Fluids. 2011. V. 23. 012002.
- Venugopal V., Praturi D.S., Girimaji S.S. Non-equilibrium thermal transport and entropy analyses in rarefied cavity flows // J. Fluid Mech. 2019. V. 864. P. 995–1025.
- Todd B.D., Evans D.J. The heat flux vector for highly inhomogeneous nonequilibrium fluids in very narrow pores // J. Chem. Phys. 1995.V. 103. 9804.
- Aristov V.V., Voronich I.V., Zabelok S.A. Direct methods for solving the Boltzmann equations: Comparisons with direct simulation Monte Carlo and possibilities // Phys. Fluids. 2019. V. 31. 097106.
- Aristov V.V., Voronich I.V., Zabelok S.A. Nonequilibrium nonclassical phenomena in regions with membrane boundaries // Phys. Fluids. 2021. V. 33. 012009.
- Kolobov V.I., Arslanbekov R.R., Aristov V.V., Frolova A.A., Zabelok S.A. Unified solver for rarefied and continuum flows with adaptive mesh and algorithm refinement // J. Comp. Phys. 1997. V. 223. P. 589–608.
- Voronich I., Vershkov V. Development of VRDSMC method for wide range of weakly disturbed rarefied gas flows // Proc. of 2nd European Conference on Non-equilibrium Gas Flows. 2015. P. 15–44.
- Bird G.A. Aerodynamic properties of some simple bodies in the hypersonic transition regime // AIAA J. 1966. V. 4. № 1. P. 55–60.
- Черемисин Ф.Г. Решение плоской задачи аэродинамики разреженного газа на основе кинетического уравнения Больцмана // Докл. АН СССР. 1973. Т. 209(4). С. 811–814.
- Aoki K., Kanba K., Takata S. Numerical analysis of a supersonic rarefied gas flow past a flat plate // Phys. Fluids. 1997. V. 9. P. 1144.
- Abramov A.A., Butkovskii A.V., Buzykin O.G. Rarefied gas flow past a flat plate at zero angle of attack // Phys. Fluids. 2020. V. 32. 087108.
- Аристов В.В., Забелок С.А., Фролова А.А. Моделирование неравновесных структур кинетическими методами. М.: Физматкнига, 2017.
- Aristov V.V. Direct methods for solving the Boltzmann equation and study of nonequilibrium flows. Dordrecht: Kluwer Academic Publishers, 2001 (2nd ed. Springer, 2012).
- Кубо Р. Термодинамика. М.: Мир, 1970.
- Nguyen N.N., Graur I., Perrier P., Lorenzani L. Variational derivation of thermal slip coefficients on the basis of the Boltzmann equation for hard-sphere molecules and Cercignani-Lampis boundary conditions: Comparison with experimental results // Phys. Fluids. 2020. V. 32. 102011.
- Torrese M. Rapport de stage de M1 Mécanique: Conception d’une tuyère pour des écoulements raréfiés. Dissertation. Marseille: Aix-Marseille Université Château-Gombert, 2022.
Дополнительные файлы












