Формирование особенности в несжимаемом пограничном слое на движущейся вверх по потоку стенке при заданном внешнем давлении
- Авторы: Безродных С.И.1, Заметаев В.Б.1, Чжун Т.Х.2
-
Учреждения:
- ФИЦ ИУ РАН
- МФТИ
- Выпуск: Том 63, № 12 (2023)
- Страницы: 2081-2093
- Раздел: МАТЕМАТИЧЕСКАЯ ФИЗИКА
- URL: https://journal-vniispk.ru/0044-4669/article/view/233036
- DOI: https://doi.org/10.31857/S0044466923120074
- EDN: https://elibrary.ru/UWBYWH
- ID: 233036
Цитировать
Полный текст
Аннотация
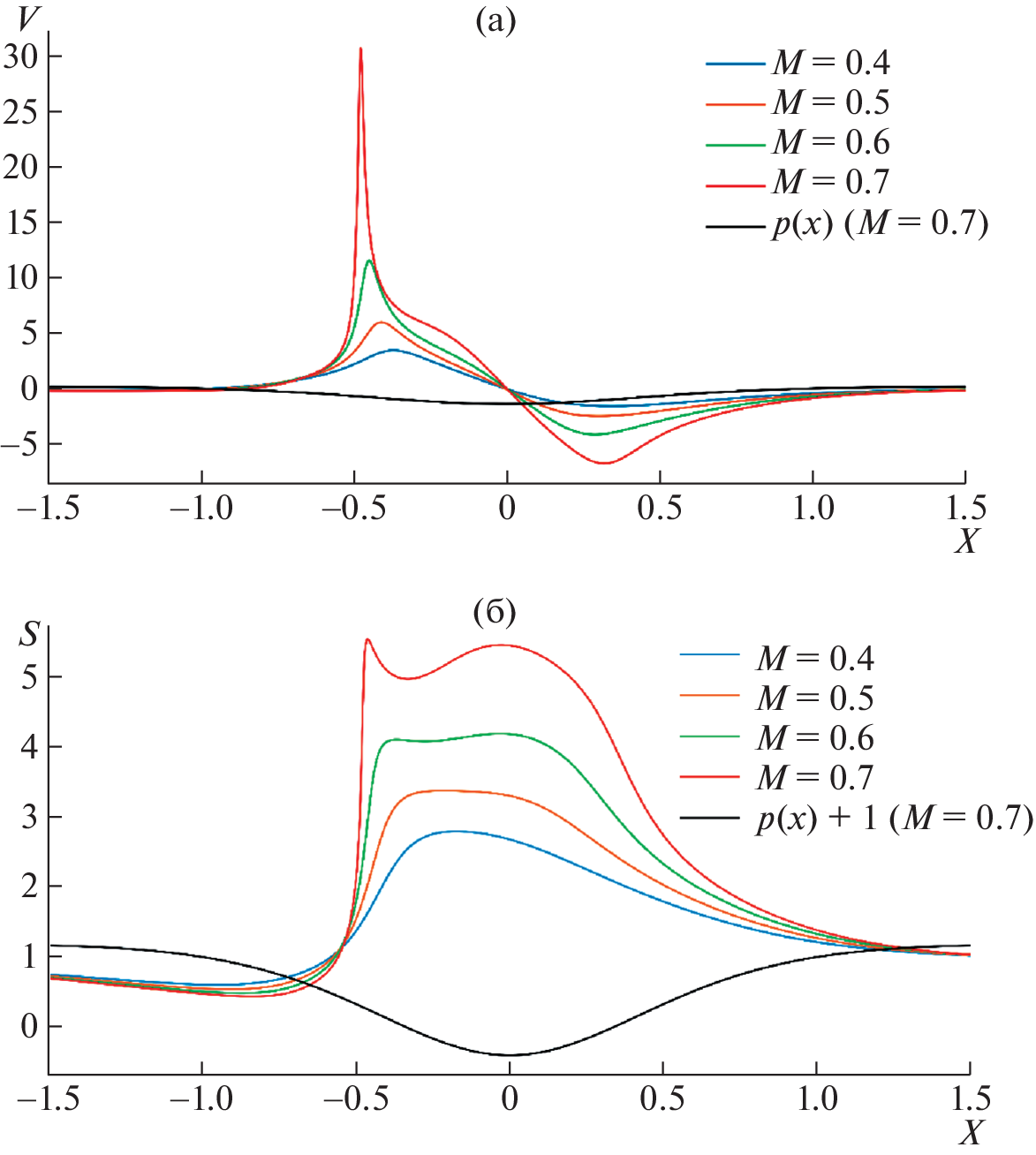
Рассматривается двумерное ламинарное обтекание плоской пластины вязкой несжимаемой жидкостью при больших числах Рейнольдса. В рамках асимптотической теории исследуется влияние тела, сносимого вниз по потоку с малой скоростью относительно пластины, на пограничный слой Блазиуса. Исследуется случай, в котором внешнее малое тело, моделируемое потенциальным диполем, движется вниз по потоку с постоянной скоростью. Эта классическая задача формально нестационарна, однако в результате перехода в подвижную систему координат, связанную с диполем, она описывается стационарными решениями уравнений пограничного слоя на движущейся вверх по потоку стенке. Найденные численно решения этой задачи содержат закрытые и открытые висячие отрывные зоны в поле течения. В работе рассчитаны нелинейные режимы влияния диполя на пограничный слой с противотоками и обнаружено, что по мере возрастания интенсивности диполя растет и заданное им давление, действующее на пограничный слой, что вызывает по достижении некоторой критической интенсивности диполя особенность внутри поля течения. Изучена асимптотика решения задачи вблизи уединенной особой точки поля течения и найдено, что вертикальная составляющая скорости обращается в ней в бесконечность, вязкое напряжение в нуль, а при бо́льших интенсивностях диполя решение задачи не существует. Библ. 16. Фиг. 6.
Ключевые слова
Об авторах
С. И. Безродных
ФИЦ ИУ РАН
Email: sbezrodnykh@mail.ru
Россия, 119333, Москва, ул. Вавилова, 44, корп. 2
В. Б. Заметаев
ФИЦ ИУ РАН
Email: zametaev.vb@mipt.ru
Россия, 119333, Москва, ул. Вавилова, 44, корп. 2
Тэ Ха Чжун
МФТИ
Автор, ответственный за переписку.
Email: zametaev.vb@mipt.ru
Россия, 141701, М.о., Долгопрудный, Институтский пер., 9
Список литературы
- Сычев В.В., Рубан А.И., Сычев Вик.В., Королев Г.Л. Асимптотическая теория отрывных течений. Под ред. Сычева В.В. М.: Наука. Гл. ред. Физ. Мат. литер., 1987.
- Moore F.K. On the separation of the unsteady laminar boundary-layer. In Boundary Layer Research (ed. H. Görtler). Springer, 1958. P. 296–311.
- Rott N. Unsteady viscous flow in the vicinity of a stagnation point // Q. Appl. Math. 1956. V. 13. № 4. P. 444–451.
- Sears W.R. Some recent developments in airfoil theory // J. Aeronaut. Sci. 1956. V. 23. № 5. P. 490–499.
- Timoshin S. Concerning marginal singularities in the boundary-layer flow on a downstream-moving surface // J. Fluid Mech. 1996. V. 308. P. 171–194.
- Ruban A.I., Araki D., Yapalparvi R., Gajjar J.S.B. On unsteady boundary-layer separation in supersonic flow. Part 1. Upstream moving separation point // J. Fluid Mech. 2011. V. 678. P. 124–155.
- Жук В.И. О локальных рециркуляционных зонах в сверхзвуковом пограничном слое на движущейся поверхности // Ж. вычисл. матем. и матем. физ. 1982. Т. 22. № 5. С. 249–255.
- Yapalparvi R., Van Dommelen L. Numerical solution of unsteady boundary-layer separation in supersonic flow: Upstream moving wall // J. Fluid Mech. 2012. V. 706. P. 413–430.
- Ruban A.I., Djehizian A., Kirsten J., Kravtsova M.A. On quasi-steady boundary-layer separation in supersonic flow. Part 2. Downstream moving separation point // J. Fluid Mech. 2020. V. 900. A9-1–A9-32.
- Timoshin S.N., Thapa P. On-wall and interior separation in a two-fluid boundary layer // J. Engineer. Math. 2019. V. 199. P. 1–21.
- Egorov I.V., Ilukhin I.M., Neiland V.Ya. Numerical modeling of the interaction between shock wave and boundary layer past moving surface // Fluid Dyn. 2020. V. 55. P. 110–117.
- Gaifullin A.M., Zubtsov A.V. Asymptotic structure of unsteady flow over a semi-infinite plate with a moving surface // Fluid Dyn. 2013. V. 48. P. 77–88.
- Чжун Т.Х., Безродных С.И., Заметаев В.Б. Несжимаемый пограничный слой с противотоками при заданном градиенте давления // Ж. вычисл. матем. и матем. физ. 2022. Т. 62. № 6. С. 1007–1015.
- Сычев Вик.В. О ламинарном отрыве на медленно движущейся вверх по потоку поверхности // Ученые записки ЦАГИ. 2016. Т. 47. Вып. 3. С. 1–26.
- Kravtsova M.A., Zametaev V.B., Ruban A.I. An effective numerical method for solving viscous-inviscid interaction problems // Philosophic. Transact. 2005. V. 363. № 1830. P. 1157–1167.
- Абрамовиц М., Стиган И. Справочник по срециальным функциям с формулами, графиками и математическими таблицами. М.: Наука. Физматлит, 1979.
Дополнительные файлы









